Анализ автоматизированной электромеханической системы
Содержание
Введение
.
Анализ заданной структурной схемы, ее преобразования для расчетов
.
Определение передаточной функций системы для управляющего и возмущающего
воздействий
.
Проверка на устойчивость методами Гурвица и ЛАЧХ - ЛФЧХ.
Заключение
Библиографический
список
Введение
Теория автоматизированного управления и теория
автоматизированного регулирования, информатика и техническая кибернетика
является научной базой теории автоматического управления техническими
системами.
Основной задачей теории автоматического
управления является воспроизведение с наименьшей погрешностью некоторого
входного сигнала, при этом цель регулирования состоит к сведению к минимуму
ошибки между входным и выходным сигналами.
В теории автоматического управления решается
задача верхнего уровня, на котором формулируется управляющее воздействие для
автоматического регулятора. Система автоматического управления является верхним
уровнем в иерархии управления объектами. Система автоматического регулирования
играет роль низкого уровня, на котором выполняется коррекция отклонения
траектории движения объекта, соответствующей управляющему сигналу, из-за
действия случайных возмущений и помех, неопределенности описания объекта и т.д.
В общем случае, система автоматического регулирования связанная непосредственно
с процессами производства и остается базой для построения системы
автоматического управления.
Целью данной работы является приведение анализа
и синтеза автоматизированной электромеханической системы в соответствии
индивидуальным заданием.
1. Анализ заданной структурной
схемы, ее преобразования для расчетов
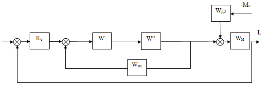
На рисунке 1.1 показана структурная схема
автоматизированной электромеханической системы, анализ и преобразования которой
будет проводиться.
Структура системы, является линейной и
представляет класс систем трехконтурного подчиненного регулирования. Первый
(внутренний) контур охвачен отрицательной обратной связью по моменту ОСМ,
второй - отрицательной обратной связью по скорости ОСС, третий - отрицательной
обратно связью по положению ОСП.
Каждый контур имеет свой регулятор: РМ(момента),
РС (скорости), РП (положения). Работают эти контуры в строгой подчиненности от
внутреннего к внешнему. Когда один выполняет свои функции, другие ему не
мешают, ожидая своей очереди.
Главная задача системы - обеспечить для рабочего
механизма требуемые движения через скорость ω, перемещение
L и движущие силы от
момента двигателя М с заданной точностью и быстродействием.
Рисунок 1.1 - Обобщенная структурная схема автоматизированной
электромеханической системы.
-Мс
LЗ
-
Рисунок 1.2 - Структурная схема
автоматизированной электромеханической системы
) коэффициент обратной связи по току
КОМ =
=

;
) коэффициент полной компенсации
момента
ККМ = 
;
) коэффициент обратной связи по
скорости
КОС = 
;
) коэффициент полной компенсации
скорости двигателя
КKW = 
.
Величины М, w, L являются
выходными и обеспечиваются электродвигателем, представленным двумя звеньями с
передаточными функциями:
WД1(p) =
;
WД2(p) =
;
КД1 - добротность
механической характеристики двигателя;
КД1 =
;
КД2 - жесткость механической
характеристики;
КД2 =
;
ТМ - электромеханическая постоянная
времени;
ТМ =
;
С - машинная постоянная;
С=
;
Uн
- номинальное напряжение якоря, В;
Iн
- номинальный ток якоря, А;
Rд
- активное сопротивление на входе якоря двигателя, Ом;
J - момент
инерции системы, приведенный к валу двигателя,
;
Dwн - снижение скорости двигателя при
номинальном моменте нагрузки Мн относительно скорости холостого хода
w0 (без
нагрузки);
.
В международной системе единиц СИ
скорость измеряется в радианах в секунду. Если скорость Nн задана в
оборотах в секунду, то
wн =
.
Скорость холостого хода для двигателей
постоянного тока определяется по формуле
w0 =
.
Зная параметр С, можно определить номинальный
момент двигателя
Мн =
,
и электромеханическую постоянную времени
ТМ =
.
Электромагнитная постоянная времени
цепи якоря
ТЭ =
,
где Lц.
я - суммарная индуктивность цепи якоря двигателя.
wн =
·2·3,14=157 (рад/с),
С=
=1,25 (В·с),
Мн=1,25·6=7,5 (А·В·с),
w0=
=176 (рад/с),
Δwн=(176-157)·
=38 (рад/с),
КД1=
=0,197 (А·В·с),
КД2=
=5,076 (1/А·В·с),
ТМ=0,058·5,076=0,29 (с),
ТЭ=0,29:5=0,058 (с),
КОМ=
=0,67 (1/А·с),
КОС=
=0,07 (В·с).
Принимаем КОМ = 0,67; КОС
= 0,07.
|
С,
В∙с
|
wн, рад/с
|
w0, рад/с
|
Dwн, рад/с
|
Мн,
А∙В∙с
|
КД1,
А∙В∙с2
|
КД2,
1/(А∙В∙с2)
|
ТМ,
с
|
ТЭ,
с
|
КОМ,
1/(А∙с)
|
КОС,
В∙с
|
|
1,25
|
157
|
176
|
38
|
7,5
|
0,197
|
5,076
|
0,29
|
0,058
|
0,67
|
0,07
|
2. Определение передаточной функций
системы для управляющего и возмущающего воздействий
Заданная система является многоконтурной
системой с перекрестными связями. Для нахождения передаточной функции
необходимо избавиться от перекрестных связей, используя правило переноса
сумматоров или узлов.
Перенесем узел против хода сигнала. Структурная
схема примет вид:




WД1(p) =
= 
WД2(p) =
=
;
WП(p) = 

;
WОМ(p) =
= 
;
WОС(p) =
= 
;
WМ(p) = 
=
;
Сокращая изначальные формулы и
подставляя коэффициенты, получаем передаточную функцию по управляющему воздействию:
Подставляя коэффициенты, получаем
передаточную функцию по возмущающему воздействию:
3. Определение устойчивости
критерием Гурвица
и ЛАЧХ - ЛФЧХ
Определение устойчивости критерием
Гурвица.
Критерий устойчивости Гурвица - это
критерий в форме определений, составляемых из коэффициентов характеристического
уровня. Определителей составляется n, где n - порядок
уравнения линий САР. Определители Гурвица составляется по следующим правилам:
· Характеристические уравнение
приводится к виду an>0.
· Число строк и столбцов определителя ∆k
равно k.
· По диагонали располагаются
коэффициенты характеристического уровня от a1
до ak.
· Слева от диагонали коэффициенты с
убывающими индексами, справа - с возрастающими индексами. Левее a0
пишутся 0.
· Все коэффициенты с индексами,
значения которых больше степени характеристического уравнения, замешаются
нулями.
Критерий устойчивости Гурвица: линейная САР
устойчива, если все коэффициенты характеристического уравнения и все n
определителей Гурвица положительны.
Рассмотрим знаменатель передаточной
функции 
:

+
a0
= 0,001334;1 = 0,11404;2 =
;3 = 
;4 = 423,8044;5
= 5763,8439;6 = 2638,8792;7 = 301,5344;
Δ7=
=

=
=-12967930841348,516651<0;
Δ1=0,11404>0;
Δ2=
= 0,288>0;
Δ3=
= 3,386293>0;
Δ4 =
= -2894,213753 <0;
Δ5 =
= -16439592,79963<0;
Δ6 =
= -43006472367,161149<0;
Система не устойчива.
Проверим систему на устойчивость
методом ЛАЧХ-ЛФЧХ.

=
= 
;
k = 0,915-
коэффициент передачи;
Вычисляем сопрягающие частоты:
w1 = 
=0,11 Гц;
w2 = 
=0,44 Гц;
w3 = 
=17,7 Гц;
w4 =
=0,114 Гц;
w5 = 
=0,458 Гц;
w6 = 
=13,6 Гц;
w7 = 
=15,2 Гц;
w8 = 
=9,8 Гц;
w9 = 
=25 Гц;
w10 = 
=85,52 Гц.
автоматизированный электромеханический управляющий гурвиц
Система не устойчива.
Заключение
Теория автоматизации и теория автоматического
управления, информатика являются базой теории автоматического управления
техническими системами. В настоящее время интенсивно развиваются иерархические
многоуровневые системы управления технологическими процессами и объектами,
сложные автоматизированные системы, в которых существенную роль играет
информация и компьютеризация процессов ее обработки, поскольку любая система
выполняет свою задачу при помощи сбора, передачи, обработки и использования
информации на основе принципа обратной связи.
Главной задачей авторов было обобщение
материалов по наиболее проверенным практикой теоретическим методам исследования
и расчета автоматических систем.
Выполнение лабораторных работ и курсового
проекта, заданий для самостоятельной работы позволят студенту освоить
эффективные и достаточно простые методы исследования и методики анализа и
синтеза автоматических систем, предназначенных для решения конкретной задачи.
Библиографический список
1. Ерофеев,
А. А. Теория автоматического управления [Текст] / А. А. Ерофеев. СПб.:
Политехника, 1998. 295 с.
2. Трофимов,
А. И. Методы теории автоматического управления, ориентированные на применение
ЭВМ. Линейные стационарные и нестационарные модели [Текст] / А. И. Трофимов, Н.
Д. Егупов, А. Н. Дмитриев. М.: Энергоатомиздат, 1997. 656 с.
3. Титов,
В. С. Основы теории управления [Текст] : учебное пособие / В. С. Титов, Т. А.
Ширабакина, И. Е. Чернецкая; Курск. гос. техн. ун-т. Курск, 2002. 267 с.
4. Ширабакина,
Т. А. Основы автоматизации и системы автоматического управления: учебное
пособие [Текст]/ Т. А. Ширабакина, В. И. Вахания, В. С. Титов; Курск. гос.
техн. ун-т. Курск, 2004. 247 с.