Системы массового обслуживания с ожиданием

  • Вид работы:
    Курсовая работа (т)
  • Предмет:
    Менеджмент
  • Язык:
    Русский
    ,
    Формат файла:
    MS Word
    151,61 Кб
  • Опубликовано:
    2015-07-16
Вы можете узнать стоимость помощи в написании студенческой работы.
Помощь в написании работы, которую точно примут!

Системы массового обслуживания с ожиданием

Учреждение образования «Брестский государственный университет имени А.С. Пушкина»

Кафедра математического моделирования










Курсовая работа

СИСТЕМЫ МАССОВОГО ОБСЛУЖИВАНИЯ С ОЖИДАНИЕМ












Брест, 2012

СОДЕРЖАНИЕ

ВВЕДЕНИЕ

. ОСНОВЫ ТЕОРИИ МАССОВОГО ОБСЛУЖИВАНИЯ

.2 Понятие случайного процесса

.2 Задачи теории массового обслуживания

.3 Классификация систем массового обслуживания

. СИСТЕМЫ МАССОВОГО ОБСЛУЖИВАНИЯ С ОЖИДАНИЕМ

.1 Одноканальная СМО с ожиданием

.2 Многоканальная СМО с ожиданием

ЗАКЛЮЧЕНИЕ

СПИСОК ЛИТЕРАТУРЫ

ВВЕДЕНИЕ

Под системой массового обслуживания (СМО) понимают динамическую систему, предназначенную для эффективного обслуживания потока заявок (требований на обслуживание) при ограничениях на ресурсы системы.

Модели СМО удобны для описания отдельных подсистем современных вычислительных систем, таких как подсистема процессор - основная память, канал ввода-вывода и т. д. Вычислительная система в целом представляет собой совокупность взаимосвязанных подсистем, взаимодействие которых носит вероятностный характер. Заявка на решение некоторой задачи, поступающая в вычислительную систему, проходит последовательность этапов счета, обращения к внешним запоминающим устройствам и устройствам ввода-вывода. После выполнения некоторой последовательности таких этапов, число и продолжительность которых зависит от трудоемкости программы, заявка считается обслуженной и покидает вычислительную систему. Таким образом, вычислительную систему в целом можно представлять совокупностью СМО, каждая из которых отображает процесс функционирования отдельного устройства или группы однотипных устройств, входящих в состав системы.

Совокупность взаимосвязанных СМО называется сетью массового обслуживания (стохастической сетью).

Для начала мы рассмотрим основы теории СМО, затем перейдем к ознакомлению в подробном содержании к СМО с ожиданием и замкнутым СМО. Также в курс включена практическая часть, в которой мы подробно познакомимся с тем, как применить теорию на практике.

1. ОСНОВЫ ТЕОРИИ МАССОВОГО ОБСЛУЖИВАНИЯ

Теория массового обслуживания составляет один из разделов теории вероятностей. В этой теории рассматриваются вероятностные задачи и математические модели (до этого нами рассматривались детерминированные математические модели). Напомним, что:

Детерминированная математическая модель отражает поведение объекта (системы, процесса) с позиций полной определенности в настоящем и будущем.

Вероятностная математическая модель учитывает влияние случайных факторов на поведение объекта (системы, процесса) и, следовательно, оценивает будущее с позиций вероятности тех или иных событий.

Т.е. здесь как, например, в теории игр задачи рассматриваются в условиях неопределенности.

Рассмотрим сначала некоторые понятия, которые характеризуют «стохастическую неопределенность», когда неопределенные факторы, входящие в задачу, представляют собой случайные величины (или случайные функции), вероятностные характеристики которых либо известны, либо могут быть получены из опыта. Такую неопределенность называют еще «благоприятной», «доброкачественной».

1.1 Понятие случайного процесса

Строго говоря, случайные возмущения присущи любому процессу. Проще привести примеры случайного, чем «неслучайного» процесса. Даже, например, процесс хода часов (вроде бы это строгая выверенная работа - «работает как часы») подвержен случайным изменениям (уход вперед, отставание, остановка). Но до тех пор, пока эти возмущения несущественны, мало влияют на интересующие нас параметры, мы можем ими пренебречь и рассматривать процесс как детерминированный, неслучайный.

Пусть имеется некоторая система S (техническое устройство, группа таких устройств, технологическая система - станок, участок, цех, предприятие, отрасль промышленности и т.д.). В системе S протекает случайный процесс, если она с течением времени меняет свое состояние (переходит из одного состояния в другое), причем, заранее неизвестным случайным образом.

Примеры:

. Система S - технологическая система (участок станков). Станки время от времени выходят из строя и ремонтируются. Процесс, протекающий в этой системе, случаен.

. Система S - самолет, совершающий рейс на заданной высоте по определенному маршруту. Возмущающие факторы - метеоусловия, ошибки экипажа и т.д., последствия - «болтанка», нарушение графика полетов и т.д.

1.2 Задачи теории массового обслуживания

Примеры систем массового обслуживания (СМО): телефонные станции, ремонтные мастерские, билетные кассы, справочные бюро, станочные и другие технологические системы, системы управления гибких производственных систем и т.д.

Каждая СМО состоит из какого-то количества обслуживающих единиц, которые называются каналами обслуживания (это станки, транспортные тележки, роботы, линии связи, кассиры, продавцы и т.д.). Всякая СМО предназначена для обслуживания какого-то потока заявок (требований), поступающих в какие-то случайные моменты времени.

Обслуживание заявки продолжается какое-то, вообще говоря, случайное время, после чего канал освобождается и готов к приему следующей заявки. Случайный характер потока заявок и времени обслуживания приводит к тому, что в какие-то периоды времени на входе СМО скапливается излишне большое количество заявок (они либо становятся в очередь, либо покидают СМО не обслуженными). В другие же периоды СМО будет работать с недогрузкой или вообще простаивать.

Процесс работы СМО - случайный процесс с дискретными состояниями и непрерывным временем. Состояние СМО меняется скачком в моменты появления каких-то событий (прихода новой заявки, окончания обслуживания, момента, когда заявка, которой надоело ждать, покидает очередь).

Предмет теории массового обслуживания - построение математических моделей, связывающих заданные условия работы СМО (число каналов, их производительность, правила работы, характер потока заявок) с интересующими нас характеристиками - показателями эффективности СМО. Эти показатели описывают способность СМО справляться с потоком заявок. Ими могут быть: среднее число заявок, обслуживаемых СМО в единицу времени; среднее число занятых каналов; среднее число заявок в очереди; среднее время ожидания обслуживания и т.д.

Математический анализ работы СМО очень облегчается, если процесс этой работы марковский, т.е. потоки событий, переводящие систему из состояния в состояние - простейшие. Иначе математическое описание процесса очень усложняется и его редко удается довести до конкретных аналитических зависимостей.

1.3 Классификация систем массового обслуживания

Первое деление (по наличию очередей):

1.      СМО с отказами;

2.      СМО с очередью.

В СМО с отказами заявка, поступившая в момент, когда все каналы заняты, получает отказ, покидает СМО и в дальнейшем не обслуживается.

В СМО с очередью заявка, пришедшая в момент, когда все каналы заняты, не уходит, а становится в очередь и ожидает возможности быть обслуженной.

СМО с очередями подразделяются на разные виды в зависимости от того, как организована очередь - ограничена или не ограничена. Ограничения могут касаться как длины очереди, так и времени ожидания, «дисциплины обслуживания».

Итак, например, рассматриваются следующие СМО:

·              СМО с нетерпеливыми заявками (длина очереди и время обслуживания ограничено);

·              СМО с обслуживанием с приоритетом, т.е. некоторые заявки обслуживаются вне очереди и т.д.

Кроме этого СМО делятся на открытые СМО и замкнутые СМО.

В открытой СМО характеристики потока заявок не зависят от того, в каком состоянии сама СМО (сколько каналов занято). В замкнутой СМО - зависят. Например, если один рабочий обслуживает группу станков, время от времени требующих наладки, то интенсивность потока «требований» со стороны станков зависит от того, сколько их уже исправно и ждет наладки.

Классификация СМО далеко не ограничивается приведенными разновидностями, но этого достаточно.

2. СИСТЕМЫ МАССОВОГО ОБСЛУЖИВАНИЯ С ОЖИДАНИЕМ

.1 Одноканальная СМО с ожиданием

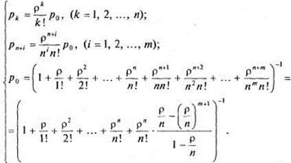
Рассмотрим простейшую СМО с ожиданием - одноканальную систему (n - 1), в которую поступает поток заявок с интенсивностью ; интенсивность обслуживания  (т.е. в среднем непрерывно занятый канал будет выдавать  обслуженных заявок в единицу (времени). Заявка, поступившая в момент, когда канал занят, становится в очередь и ожидает обслуживания.

Система с ограниченной длиной очереди. Предположим сначала, что количество мест в очереди ограничено числом m, т.е. если заявка пришла в момент, когда в очереди уже стоят m-заявок, она покидает систему не обслуженной. В дальнейшем, устремив m к бесконечности, мы получим характеристики одноканальной СМО без ограничений длины очереди.

Будем нумеровать состояния СМО по числу заявок, находящихся в системе (как обслуживаемых, так и ожидающих обслуживания):

 - канал свободен;

 - канал занят, очереди нет;

 - канал занят, одна заявка стоит в очереди;

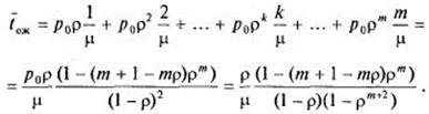
 - канал занят, k-1 заявок стоят в очереди;

 - канал занят, т-заявок стоят в очереди.

ГСП показан на рис. 1. Все интенсивности потоков событий, переводящих в систему по стрелкам слева направо, равны , а справа налево - . Действительно, по стрелкам слева направо систему переводит поток заявок (как только придет заявка, система переходит в следующее состояние), справа же налево - поток «освобождений» занятого канала, имеющий интенсивность  (как только будет обслужена очередная заявка, канал либо освободится, либо уменьшится число заявок в очереди).

Рисунок 1. Одноканальная СМО с ожиданием

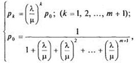
Изображенная на рис. 1 схема представляет собой схему размножения и гибели. Напишем выражения для предельных вероятностей состояний:

 (1)

или с использованием: :

 (2)


 (3)

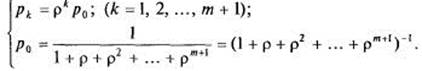
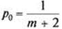
в связи с чем предельные вероятности принимают вид:

(4).

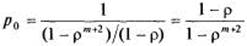
Выражение (3) справедливо только при < 1 (при = 1 она дает неопределенность вида 0/0). Сумма геометрической прогрессии со знаменателем = 1 равна m+2, и в этом случае:

.

Определим характеристики СМО: вероятность отказа , относительную пропускную способность q, абсолютную пропускную способность А, среднюю длину очереди , среднее число заявок, связанных с системой , среднее время ожидания в очереди , среднее время пребывания заявки в СМО .

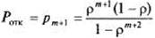
Вероятность отказа. Очевидно, заявка получает отказ только в случае, когда канал занят и все т-мест в очереди тоже:

 (5).

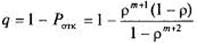
Относительная пропускная способность:

 (6).

Абсолютная пропускная способность:

.

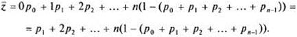
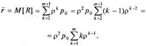
Средняя длина очереди. Найдем среднее число -заявок, находящихся в очереди, как математическое ожидание дискретной случайной величины R-числа заявок, находящихся в очереди:

.

С вероятностьюв очереди стоит одна заявка, с вероятностью- две заявки, вообще с вероятностьюв очереди стоят k-1 заявок, и т.д., откуда:

 (7).

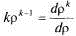
Поскольку , сумму в (7) можно трактовать как производную по  от суммы геометрической прогрессии:

.

Подставляя данное выражение в (7) и используя  из (4), окончательно получаем:

(8).

Среднее число заявок, находящихся в системе. Получим далее формулу для среднего числа -заявок, связанных с системой (как стоящих в очереди, так и находящихся на обслуживании). Поскольку , где  - среднее число заявок, находящихся под обслуживанием, а k известно, то остается определить . Поскольку канал один, число обслуживаемых заявок может равняться 0 (с вероятностью ) или 1 (с вероятностью 1 - ), откуда:

.

и среднее число заявок, связанных с СМО, равно:

(9).

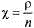
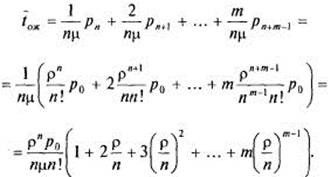
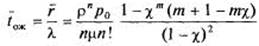
Среднее время ожидания заявки в очереди. Обозначим его ; если заявка приходит в систему в какой-то момент времени, то с вероятностью  канал обслуживания не будет занят, и ей не придется стоять в очереди (время ожидания равно нулю). С вероятностью  она придет в систему во время обслуживания какой-то заявки, но перед ней не будет очереди, и заявка будет ждать начала своего обслуживания в течение времени  (среднее время обслуживания одной заявки). С вероятностью  в очереди перед рассматриваемой заявкой будет стоять еще одна, и время ожидания в среднем будет равно , и т.д.

Если же k=m+1, т.е. когда вновь приходящая заявка застает канал обслуживания занятым и m-заявок в очереди (вероятность этого ), то в этом случае заявка не становится в очередь (и не обслуживается), поэтому время ожидания равно нулю. Среднее время ожидания будет равно:

,

если подставить сюда выражения для вероятностей (4), получим:

(10).

Здесь использованы соотношения (7), (8) (производная геометрической прогрессии), а также  из (4). Сравнивая это выражение с (8), замечаем, что иначе говоря, среднее время ожидания равно среднему числу заявок в очереди, деленному на интенсивность потока заявок.

 (11).

Среднее время пребывания заявки в системе. Обозначим  - матожидание случайной величины - время пребывания заявки в СМО, которое складывается из среднего времени ожидания в очереди  и среднего времени обслуживания . Если загрузка системы составляет 100%, очевидно, , в противном же случае:

.

Отсюда:

.

Системы с неограниченным ожиданием. В таких системах значение т не ограничено и, следовательно, основные характеристики могут быть получены путем предельного перехода  в ранее полученных выражениях (1), (2) и т.п.

Заметим, что при этом знаменатель в последней формуле (2) представляет собой сумму бесконечного числа членов геометрической прогрессии. Эта сумма сходится, когда прогрессия бесконечно убывающая, т.е. при <1.

Может быть доказано, что <1 есть условие, при котором в СМО с ожиданием существует предельный установившийся режим, иначе такого режима не существует, и очередь при  будет неограниченно возрастать. Поэтому в дальнейшем здесь предполагается, что <1.

Если, то соотношения (4) принимают вид:

 (12).

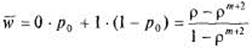
При отсутствии ограничений по длине очереди каждая заявка, пришедшая в систему, будет обслужена, поэтому q=1, .

Среднее число заявок в очереди получим из (8) при :

.

Среднее число заявок в системе по формуле (9) при :

.

Среднее время ожиданияполучим из формулы (10) при:

.

Наконец, среднее время пребывания заявки в СМО есть:

.

2.2 Многоканальная СМО с ожиданием

система массовый обслуживание ожидание

Система с ограниченной длиной очереди. Рассмотрим канальную СМО с ожиданием, на которую поступает поток заявок с интенсивностью ; интенсивность обслуживания (для одного канала) ; число мест в очереди .

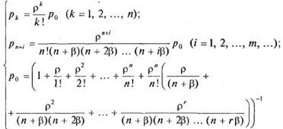
Состояния системы нумеруются по числу заявок, связанных системой:

нет очереди:

 - все каналы свободны;

 - занят один канал, остальные свободны;

 - заняты -каналов, остальные нет;

- заняты все -каналов, свободных нет;

есть очередь:

 - заняты все n-каналов; одна заявка стоит в очереди;

 - заняты все n-каналов, r-заявок в очереди;

 - заняты все n-каналов, r-заявок в очереди.

ГСП приведен на рис. 2. У каждой стрелки проставлены соответствующие интенсивности потоков событий. По стрелкам слева направо систему переводит всегда один и тот же поток заявок с интенсивностью , по стрелкам справа налево систему переводит поток обслуживании, интенсивность которого равна , умноженному на число занятых каналов.

Рисунок 2 - Многоканальная СМО с ожиданием


Граф типичен для процессов размножения и гибели, для которой решение ранее получено. Напишем выражения для предельных вероятностей состояний, используя обозначение : (здесь используется выражение для суммы геометрической прогрессии со знаменателем ).

Таким образом, все вероятности состояний найдены.

Определим характеристики эффективности системы.

Вероятность отказа. Поступившая заявка получает отказ, если заняты все n-каналов и все m-мест в очереди:

Относительная пропускная способность дополняет вероятность отказа до единицы:


Абсолютная пропускная способность СМО:

 (15)

Среднее число занятых каналов. Для СМО с отказами оно совпадало со средним числом заявок, находящихся в системе. Для СМО с очередью среднее число занятых каналов не совпадает со средним числом заявок, находящихся в системе: последняя величина отличается от первой на среднее число заявок, находящихся в очереди.

Обозначим среднее число занятых каналов . Каждый занятый канал обслуживает в среднем -заявок в единицу времени, а СМО в целом обслуживает в среднем А-заявок в единицу времени. Разделив одно на другое, получим:

.

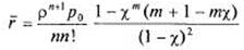
Среднее число заявок в очереди можно вычислить непосредственно как математическое ожидание дискретной случайной величины:

 (16)

где .

Здесь опять (выражение в скобках) встречается производная суммы геометрической прогрессии (см. выше (7), (8) - (10)), используя соотношение для нее, получаем:


Среднее число заявок в системе:

система массовый обслуживание ожидание

Среднее время ожидания заявки в очереди. Рассмотрим ряд ситуаций, различающихся тем, в каком состоянии застанет систему вновь пришедшая заявка и сколько времени ей придется ждать обслуживания.

Если заявка застанет не все каналы занятыми, ей вообще не придется ждать (соответствующие члены в математическом ожидании равны нулю). Если заявка придет в момент, когда заняты все n-каналов, а очереди нет, ей придется ждать в среднем время, равное  (потому что «поток освобождений» -каналов имеет интенсивность ). Если заявка застанет все каналы занятыми и одну заявку перед собой в очереди, ей придется в среднем ждать в течение времени  (по  на каждую впереди стоящую заявку) и т. д. Если заявка застанет в очереди -заявок, ей придется ждать в среднем в течение времени . Если вновь пришедшая заявка застанет в очереди уже m-заявок, то она вообще не будет ждать (но и не будет обслужена). Среднее время ожидания найдем, умножая каждое из этих значений на соответствующие вероятности:

 (17)

Так же, как и в случае одноканальной СМО с ожиданием, отметим, что это выражение отличается от выражения для средней длины очереди (16) только множителем , т. е.

.

Среднее время пребывания заявки в системе, так же, как и для одноканальной СМО, отличается от среднего времени ожидания на среднее время обслуживания, умноженное на относительную пропускную способность:

.

Системы с неограниченной длиной очереди. Мы рассмотрели канальную СМО с ожиданием, когда в очереди одновременно могут находиться не более m-заявок.

Так же, как и ранее, при анализе систем без ограничений необходимо рассмотреть полученные соотношения при .

Вероятности состояний получим из формул предельным переходом (при ). Заметим, что сумма соответствующей геометрической прогрессии сходится при  и расходится при >1. Допустив, что <1 и устремив в формулах величину m к бесконечности, получим выражения для предельных вероятностей состояний:

 (18)

Вероятность отказа, относительная и абсолютная пропускная способность. Так как каждая заявка рано или поздно будет обслужена, то характеристики пропускной способности СМО составят:


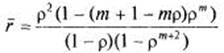
Среднее число заявок в очереди получим при  из (16):

,

а среднее время ожидания - из (17):

.

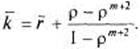
Среднее число занятых каналов , как и ранее, определяется через абсолютную пропускную способность:

.

Среднее число заявок, связанных с СМО, определяется как среднее число заявок в очереди плюс среднее число заявок, находящихся под обслуживанием (среднее число занятых каналов):

.

СМО с ограниченным временем ожидания.

Ранее рассматривались системы с ожиданием, ограниченным только длиной очереди (числом m-заявок, одновременно находящихся в очереди). В такой СМО заявка, разраставшая в очередь, не покидает ее, пока не дождется обслуживания. На практике встречаются СМО другого типа, в которых заявка, подождав некоторое время, может уйти из очереди (так называемые «нетерпеливые» заявки).

Рассмотрим СМО подобного типа, предполагая, что ограничение времени ожидания является случайной величиной.

Предположим, что имеется n-канальная СМО с ожиданием, в которой число мест в очереди не ограничено, но время пребывания заявки в очереди является некоторой случайной величиной со средним значением, таким образом, на каждую заявку, стоящую в очереди, действует своего рода пуассоновский «поток уходов» с интенсивностью:

Если этот поток пуассоновский, то процесс, протекающий в СМО, будет марковским. Найдем для него вероятности состояний. Нумерация состояний системы связывается с числом заявок в системе - как обслуживаемых, так и стоящих в очереди:

нет очереди:

 - все каналы свободны;

 - занят один канал;

 - заняты два канала;

 - заняты все n-каналов;

есть очередь:

 - заняты все n-каналов, одна заявка стоит в очереди;

 - заняты все n-каналов, r-заявок стоят в очереди и т. д.

Граф состояний и переходов системы показан на рис. 23.

Рисунок 3 - СМО с ограниченным временем ожидания

Разметим этот граф, как и раньше; у всех стрелок, ведущих слева направо, будет стоять интенсивность потока заявок . Для состояний без очереди у стрелок, ведущих из них справа налево, будет, как и раньше, стоять суммарная интенсивность потока обслуживании всех занятых каналов. Что касается состояний с очередью, то у стрелок, ведущих из них справа налево, будет стоять суммарная интенсивность потока обслуживания всех n-каналов плюс соответствующая интенсивность потока уходов из очереди. Если в очереди стоят r-заявок, то суммарная интенсивность потока уходов будет равна .

Как видно из графа, имеет место схема размножения и гибели; применяя общие выражения для предельных вероятностей состояний в этой схеме (используя сокращенные обозначения , запишем:

 (20)

Отметим некоторые особенности СМО с ограниченным ожиданием сравнительно с ранее рассмотренными СМО с «терпеливыми» заявками.

Если длина очереди не ограничена и заявки «терпеливы» (не уходят из очереди), то стационарный предельный режим существует только в случае  (при  соответствующая бесконечная геометрическая прогрессия расходится, что физически соответствует неограниченному росту очереди при ).

Напротив, в СМО с «нетерпеливыми» заявками, уходящими рано или поздно из очереди, установившийся режим обслуживания при  достигается всегда, независимо от приведенной интенсивности потока заявок . Это следует из того, что ряд для  в знаменателе формулы (20) сходится при любых положительных значениях  и .

Для СМО с «нетерпеливыми» заявками понятие «вероятность отказа» не имеет смысла - каждая заявка становится в очередь, но может и не дождаться обслуживания, уйдя раньше времени.

Относительная пропускная способность, среднее число заявок в очереди. Относительную пропускную способность q такой СМО можно подсчитать следующим образом. Очевидно, обслужены будут все заявки, кроме тех, которые уйдут из очереди досрочно. Подсчитаем, какое в среднем число заявок покидает очередь досрочно. Для этого вычислим среднее число заявок в очереди:

 (21)

На каждую из этих заявок действует «поток уходов» с интенсивностью . Значит, из среднего числа -заявок в очереди в среднем будет уходить, не дождавшись обслуживания, -заявок в единицу времени и всего в единицу времени в среднем будет обслуживаться -заявок. Относительная пропускная способность СМО будет составлять:


Среднее число занятых каналов  по-прежнему получаем, деля абсолютную пропускную способность А на :

 (22)

Среднее число заявок в очереди. Соотношение (22) позволяет вычислить среднее число заявок в очереди , не суммируя бесконечного ряда (21). Из (22) получаем:

,

а входящее в эту формулу среднее число занятых каналов можно найти как математическое ожидание случайной величины Z, принимающей значения 0, 1, 2,..., n с вероятностями ,:

.



ЗАКЛЮЧЕНИЕ

Выше были рассмотрены примеры простейших систем массового обслуживания (СМО). Понятие «простейшие» не означает «элементарные». Математические модели этих систем применимы и успешно используются в практических расчетах.

Возможность применения теории принятия решений в системах массового обслуживания определяется следующими факторами:

. Количество заявок в системе (которая рассматривается как СМО) должно быть достаточно велико (массово).

. Все заявки, поступающие на вход СМО, должны быть однотипными.

. Для расчетов по формулам необходимо знать законы, определяющие поступление заявок и интенсивность их обработки. Более того, потоки заявок должны быть пуассоновскими.

. Структура СМО, т.е. набор поступающих требований и последовательность обработки заявки, должна быть жестко зафиксирована.

. Необходимо исключить из системы субъектов или описывать их как требования с постоянной интенсивностью обработки.

К перечисленным выше ограничениям можно добавить еще одно, оказывающее сильное влияние на размерность и сложность математической модели.

. Количество используемых приоритетов должно быть минимальным. Приоритеты заявок должны быть постоянными, т.е. они не могут меняться в процессе обработки внутри СМО.

В ходе выполнения работы была достигнута основная цель - изучен основной материал «СМО с ожидания», которая была поставлена преподавателем учебной дисциплины.

СПИСОК ЛИТЕРАТУРЫ

1.    Кениг, Д. Методы теории массового обслуживания /Д.Кениг, Д.Штойян.: Пер. с нем. /Под. ред. Г.П.Климова. М., 1981.

2. Ивченко, Г.И. Теория массового обслуживания/ Г.И.Ивченко, В.А.Каштанов, И.Н.Коваленко. М., 1982.

. Гнеденко, Б.В. Введение в теорию массового обслуживания / Б.В.Гнеденко, И.Н.Коваленко. М., 1987.

. Саати, Т.Л. Элементы теории массового обслуживания и ее приложения / Т.Л Саати/ : Пер. с англ. /Под. ред. И.Н. Коваленко, изд-ие 2. М., 1971.

Похожие работы на - Системы массового обслуживания с ожиданием

 

Не нашли материал для своей работы?
Поможем написать уникальную работу
Без плагиата!
Без нейросетей!