Модели массового обслуживания

  • Вид работы:
    Контрольная работа
  • Предмет:
    Менеджмент
  • Язык:
    Русский
    ,
    Формат файла:
    MS Word
    130,69 Кб
  • Опубликовано:
    2016-03-15
Вы можете узнать стоимость помощи в написании студенческой работы.
Помощь в написании работы, которую точно примут!

Модели массового обслуживания

Содержание

1. Моделирование процесса массового обслуживания.

. Разнотипные каналы массового обслуживания

. Решение одноканальной модели массового обслуживания с отказами

Список литературы

1. Моделирование процесса массового обслуживания

Системы массового обслуживания - это такие системы, в которые в случайные моменты времени поступают заявки на обслуживание, при этом поступившие заявки обслуживаются с помощью имеющихся в распоряжении системы каналов обслуживания.

С позиции моделирования процесса массового обслуживания ситуации, когда образуются очереди заявок (требований) на обслуживание, возникают следующим образом. Поступив в обслуживающую систему, требование присоединяется к очереди других (ранее поступивших) требований. Канал обслуживания выбирает требование из находящихся в очереди, с тем чтобы приступить к его обслуживанию. После завершения процедуры обслуживания очередного требования канал обслуживания приступает к обслуживанию следующего требования, если таковое имеется в блоке ожидания.

Цикл функционирования системы массового обслуживания подобного рода повторяется многократно в течение всего периода работы обслуживающей системы. При этом предполагается, что переход системы на обслуживание очередного требования после завершения обслуживания предыдущего требования происходит мгновенно, случайные моменты времени.

Примерами систем массового обслуживания могут служить:

1. посты технического обслуживания автомобилей;

. посты ремонта автомобилей;

. персональные компьютеры, обслуживающие поступающие заявки или требования на решение тех или иных задач;

. станции технического обслуживания автомобилей;

. аудиторские фирмы;

. отделы налоговых инспекций, занимающиеся приемкой и проверкой текущей отчетности предприятий;

. телефонные станции и т. д.

Основными компонентами системы массового обслуживания любого вида являются:

- входной поток поступающих требований или заявок на обслуживание;

дисциплина очереди;

механизм обслуживания.

Входной поток требований. Для описания входного потока требуется задать вероятностный закон, определяющий последовательность моментов поступления требований на обслуживание и указать количество таких требований в каждом очередном поступлении. При этом, как правило, оперируют понятием «вероятностное распределение моментов поступления требований». Здесь могут поступать как единичные, так и групповые требования (требования поступают группами в систему). В последнем случае обычно речь идет о системе обслуживания с параллельно-групповым обслуживанием.

Дисциплина очереди - это важный компонент системы массового обслуживания, он определяет принцип, в соответствии с которым поступающие на вход обслуживающей системы требования подключаются из очереди к процедуре обслуживания.

Механизм обслуживания определяется характеристиками самой процедуры обслуживания и структурой обслуживающей системы. К характеристикам процедуры обслуживания относятся: продолжительность процедуры обслуживания и количество требований, удовлетворяемых в результате выполнения каждой такой процедуры. Для аналитического описания характеристик процедуры обслуживания оперируют понятием «вероятностное распределение времени обслуживания требований».

Следует отметить, что время обслуживания заявки зависит от характера самой заявки или требований клиента и от состояния и возможностей обслуживающей системы. В ряде случаев приходится также учитывать вероятность выхода обслуживающего прибора по истечении некоторого ограниченного интервала времени.

Структура обслуживающей системы определяется количеством и взаимным расположением каналов обслуживания (механизмов, приборов и т. п.). Прежде всего следует подчеркнуть, что система обслуживания может иметь не один канал обслуживания, а несколько; система такого рода способна обслуживать одновременно несколько требований. В этом случае все каналы обслуживания предлагают одни и те же услуги, и, следовательно, можно утверждать, что имеет место параллельное обслуживание.

. Разнотипные каналы массового обслуживания

Система обслуживания может состоять из нескольких разнотипных каналов обслуживания, через которые должно пройти каждое обслуживаемое требование, т. е. в обслуживающей системе процедуры обслуживания требований реализуются последовательно. Механизм обслуживания определяет характеристики выходящего (обслуженного) потока требований.

Простейшей одноканальной моделью с вероятностными входным потоком и процедурой обслуживания является модель, характеризуемая показательным распределением как длительностей интервалов между поступлениями требований, так и длительностей обслуживания. При этом плотность распределения длительностей интервалов между поступлениями требований имеет вид

,

где  - интенсивность поступления заявок в систему

Плотность распределения длительностей обслуживания:

,

где  - интенсивность обслуживания

Потоки заявок и обслуживании простейшие.

Пусть система работает с отказами. Необходимо определить абсолютную и относительную пропускную способность системы.

Представим данную систему массового обслуживания в виде графа (рис. 1), у которого имеются два состояния:- канал свободен (ожидание);- канал занят (идет обслуживание заявки).

Рис. 1. Граф состояний одноканальной СМО с отказами

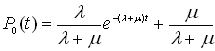
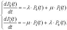
Обозначим вероятности состояний: P0(t) - вероятность состояния «канал свободен»; P1(t) - вероятность состояния «канал занят». По размеченному графу состояний (рис. 1) составим систему дифференциальных уравнений Колмогорова для вероятностей состояний:


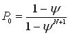
Система линейных дифференциальных уравнений (4.3) имеет решение с учетом нормировочного условия P0(t) + P1(t) = 1 . Решение данной системы называется неустановившимся, поскольку оно непосредственно зависит от t и выглядит следующим образом:

,

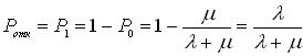
P1(t) = 1 - P0(t) = 1 .

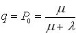
Нетрудно убедиться, что для одноканальной СМО с отказами вероятность P0(t) есть не что иное, как относительная пропускная способность системы q.

Действительно, P0 - вероятность того, что в момент t канал свободен и заявка, пришедшая к моменту t, будет обслужена, а следовательно, для данного момента времени t среднее отношение числа обслуженных заявок к числу поступивших также равно P0(t), т. е.

 = P0(t),

По истечении большого интервала времени (при ) достигается стационарный (установившийся) режим:

,

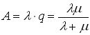
Зная относительную пропускную способность, легко найти абсолютную. Абсолютная пропускная способность (А) - среднее число заявок, которое может обслужить система массового обслуживания в единицу времени:

.

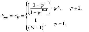
Вероятность отказа в обслуживании заявки будет равна вероятности состояния «канал занят»:

.

Данная величина Pотк может быть интерпретирована как средняя доля не обслуженных заявок среди поданных.

Система массового обслуживания имеет один канал. Входящий поток заявок на обслуживание - простейший поток с интенсивностью . Интенсивность потока обслуживания равна  (т. е. в среднем непрерывно занятый канал будет выдавать  обслуженных заявок). Длительность обслуживания - случайная величина, подчиненная показательному закону распределения. Поток обслуживании является простейшим пуассоновским потоком событий. Заявка, поступившая в момент, когда канал занят, становится в очередь и ожидает обслуживания.

Предположим, что независимо от того, сколько требований поступает на вход обслуживающей системы, данная система (очередь + обслуживаемые клиенты) не может вместить более N-требований (заявок), т. е. клиенты, не попавшие в ожидание, вынуждены обслуживаться в другом месте. Наконец, источник, порождающий заявки на обслуживание, имеет неограниченную (бесконечно большую) емкость.

Граф состояний СМО в этом случае имеет вид, показанный на рис. 2.

Рис. 2. Граф состояний одноканальной СМО с ожиданием (схема гибели и размножения)

Состояния СМО имеют следующую интерпретацию:- «канал свободен»; S1 - «канал занят» (очереди нет); S2 - «канал занят» (одна заявка стоит в очереди); Sn - «канал занят» (n -1 заявок стоит в очереди); SN - «канал занят» (N - 1 заявок стоит в очереди).

Стационарный процесс в данной системе будет описываться следующей системой алгебраических уравнений:

,

где ; n - номер состояния.

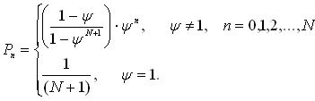
Решение приведенной выше системы уравнений (4.10) для нашей модели СМО имеет вид


Тогда


Следует отметить, что выполнение условия стационарности  для данной СМО не обязательно, поскольку число допускаемых в обслуживающую систему заявок контролируется путем введения ограничения на длину очереди (которая не может превышать N - 1), а не соотношением между интенсивностями входного потока, т. е. не отношением .

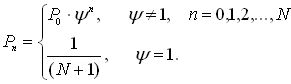
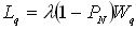
Определим характеристики одноканальной СМО с ожиданием и ограниченной длиной очереди, равной (N - 1):



относительная пропускная способность системы:


абсолютная пропускная способность:


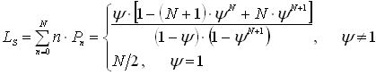
среднее число находящихся в системе заявок:


среднее время пребывания заявки в системе:


средняя продолжительность пребывания клиента (заявки) в очереди:


среднее число заявок (клиентов) в очереди (длина очереди):


. Решение одноканальной модели массового обслуживания с отказами

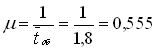
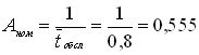
Пусть одноканальная СМО с отказами представляет собой один пост ежедневного обслуживания (ЕО) для мойки автомобилей. Заявка - автомобиль, прибывший в момент, когда пост занят, - получает отказ в обслуживании. Интенсивность потока автомобилей = 1,0 (автомобиль в час). Средняя продолжительность обслуживания - 1,8 часа. Поток автомобилей и поток обслуживании являются простейшими.

Требуется определить в установившемся режиме предельные значения:

- относительной пропускной способности q;

абсолютной пропускной способности А;

вероятности отказа Pотк ;

Сравните фактическую пропускную способность СМО с номинальной, которая была бы, если бы каждый автомобиль обслуживался точно 1,8 часа и автомобили следовали один за другим без перерыва.

Решение

. Определим интенсивность потока обслуживания:

.

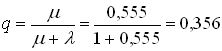
. Вычислим относительную пропускную способность:

.

Величина q означает, что в установившемся режиме система будет обслуживать примерно 35% прибывающих на пост ЕО автомобилей.

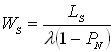
. Абсолютную пропускную способность определим по формуле:

.

Это означает, что система (пост ЕО) способна осуществить в среднем 0,356 обслуживания автомобилей в час.

. Вероятность отказа:

.

массовый обслуживание отказ модель

Это означает, что около 65% прибывших автомобилей на пост ЕО получат отказ в обслуживании.

. Определим номинальную пропускную способность системы:

 (автомобилей в час).

Оказывается, что Аном в 1,5 раза  больше, чем фактическая пропускная способность, вычисленная с учетом случайного характера потока заявок и времени обслуживания.

Список литературы

1.       Акулич И.Л. Математическое программирование в примерах и задачах. М.: Высш. шк., 2013. - 176с.

2.      Боборыкин В.А. Математические методы решения транспортных задач. СПб.: СЗПИ, 2014. - 170с.

.        Горчаков А.А., Орлова А.А. Компьютерные экономико-математические модели. М.: ЮНИТИ, 2015. - 242с.

.        Карманов В.г. Математическое программирование. М.: Наука, 2014. - 260с.

.        Конюховский П.В. Математические методы исследования операций в экономике. СПб.: Питер, 2014. - 208с.

.        Кузнецов Ю.Н., Кузубов В.И., Волощенко А. Б. Математическое программирование. М.: Высшая школа, 2011. - 220с.

.        Фомин Г.П. Математические методы и модели в коммерческой деятельности. М.: Финансы и статистика, 2015. - 616c.

Похожие работы на - Модели массового обслуживания

 

Не нашли материал для своей работы?
Поможем написать уникальную работу
Без плагиата!
Без нейросетей!