Алгоритмизация модели системы массового обслуживания и ее реализация в программе GPSS World
Оглавление
Введение
Глава 1. Основные цели, проблемы и этапы построения
имитационной модели
Глава 2. Разработка программы имитационного моделирования
"функционирования вычислительной системы"
2.1 Постановка задачи
.2 Анализ исходных данных и выбор недостающих
.3. Создание концептуальной модели
.4 Составление таблицы определений
.5 Построение блок - схемы алгоритма
.6 Построение блок - диаграммы
.7 Программирование модели на GPSS
.8 Программирование модели на Visual Basic
Глава 3. Получение результатов и их интерпретация
3.1 Анализ результатов GPSSV-модели
.2 Анализ результатов модели, построенной на Visual Basic
Заключение
Список использованной литературы
Введение
Имитационное моделирование применяется к процессам, в ход которых может
время от времени вмешиваться человеческая воля. Человек, руководящий операцией,
может в зависимости от сложившейся обстановки, принимать те или иные решения,
подобно тому, как шахматист, глядя на доску, выбирает свой очередной ход. Затем
приводится в действие математическая модель, которая показывает, какое
ожидается изменение обстановки, в ответ на это решение и к каким последствиям
оно приведет спустя некоторое время. Следующее текущее решение принимается уже
с учетом реальной новой обстановки и т. д. В результате многократного
повторения такой процедуры руководитель как бы "набирает опыт",
учится на своих и чужих ошибках и постепенно выучивается принимать правильные
решения - если не оптимальные, то почти оптимальные.
Цель данной курсовой работы: изучение всех аспектов создания имитационной
модели, рассмотрение непосредственных алгоритмов имитационного моделирования.
Для достижения поставленной цели в работе ставятся следующие задачи:
. Изучить этапы построения имитационных моделей.
. Изучить алгоритмы имитационного моделирования систем массового
обслуживания.
. Продемонстрировать программу, имитирующую функционирования
вычислительной системы, с учетом дополнительных условий.
Глава 1.
Основные цели, проблемы и этапы построения имитационной модели
Основная общая цель моделирования заключается в наблюдении за системой,
подверженной воздействию внешних или внутренних факторов при достижении
системой определенного состоянии, которое может быть как задано, так и
неизвестно, из-за отсутствия информации или по каким либо иным причинам.
Моделирование позволяет определить сможет ли система функционировать при таких
условиях или нет, во время этого перехода. В зависимости от реальной модели и
цели расширяются и конкретизируются.
Определение качества функционирования большой системы, выбор оптимальной
структуры и алгоритма поведения, построение системы в соответствие с
поставленной перед ней целью - главная проблема при проектировании современных
больших систем (в том числе и АСУ, САПР и т. д.). Этапы построения имитационной
модели:
. Определение системы;
. Формулирование модели. Переход от реальной системы к некоторой
логической схеме (абстрагирование);
. Подготовка данных (отбор данных, необходимых для построения
модели и представления их в соответствующей форме);
. Трансляция модели (описание модели на языке, применимом для
использования ЭВМ);
. Оценка адекватности (повышение до приемлемого уровня степени
уверенности с которой можно судить относительно выводов о реальной системе,
полученной на основании обращения к модели);
. Планирование эксперимента;
. Экспериментирование (процесс осуществления имитации с целью
получения желаемых данных и анализа чувствительности);
. Интерпретация (построение выводов по данным, полученным путем
имитаций);
. Реализация и документирование (практическое использование модели
и результатов моделирования).
Имитационное моделирование используется, когда для описания сложной
системы недостаточно аналитического моделирования. В имитационной модели
поведение компонент сложной системы описывается набором алгоритмов, которые
затем реализуют ситуации, которые возникают в реальной системе. Алгоритмы,
которые модулируют по исходным данным и фактическим значением параметров
сложных систем позволяют получить информацию о возможном поведении сложной
системы (СС). На основе этой информации исследователь может принять
соответствующее решение. Имитационная модель (ИМ) сложной системы рекомендуется
в следующих случаях:
Нет законченной постановки задачи исследования и идет процесс познания
объекта моделирования. ИМ - способ изучения явления;
Математические средства аналитического моделирования сложные и громоздкие
и ИМ дает наиболее простой способ;
Кроме оценки влияния параметров СС необходимо наблюдать поведение
компонент СС некоторый период;
ИМ - единственный способ исследования СС, то есть невозможны наблюдения в
реальных условиях за объектом;
Необходимо контролировать протекание процессов в СС, уменьшая и ускоряя
скорость их протекания в ходе имитации;
При подготовке специалистов и освоении новой техники;
Изучение новых ситуаций в СС, проверка новых стратегий и принятие решений
перед проведением экспериментов на реальной системе;
Предвиденье узких мест и трудностей в поведении СС при введении новых
компонент;
ИМ - наиболее распространенный метод анализа и синтеза СС.
Глава 2.
Разработка программы имитационного моделирования "функционирования
вычислительной системы"
2.1
Постановка задачи
Специализированная вычислительная система состоит из трех процессоров и
общей оперативной памяти. Задания, поступающие на обработку через интервалы
времени 5±2 мин, занимают объем оперативной памяти размером в 10кб. После
трансляции первым процессором в течение 5±1 мин их объем увеличивается до 20кб,
и они поступают в оперативную память. Затем после редактирования во втором
процессоре, которое занимает 2,5±0,5 мин на 10кб каждый, объем задания
достигает до 30кб. Отредактированные задания через оперативную память поступают
в третий процессор на решение, требующее 1,5±0,4 мин на каждый 10кб, и покидают
систему, минуя оперативную память. Смоделировать работу вычислительной системы
в течение 24 ч. В задании на моделирование объекта четко и ясно описаны
специализированная вычислительная система, и процессы, протекающие в ней.
2.2 Анализ
исходных данных и выбор недостающих
Время прихода заданий 5±2 мин. Каждое задание занимает объем ОП в 10кб.
Время трансляции ПП 5±1, после чего задание занимает объем ОП в 20 кб. Время
редактирования ВП 2,5±0,5 мин на 10 кб, объем возрастает до 30кб. Время решения
ТП 1,5±0,4 мин на 10кб, задания покидают систему, минуя оперативную память. Эти
данные являются входными параметрами. В задании сказано, что необходимо
определить характеристики занятия оперативной памяти по всем трем видам
заданий. Теперь проанализируем законы распределения исходных данных. Время
прихода задания в ВС равномерно распределено в интервале от 3 до 7 мин, т.е.
задания с одинаковой вероятностью могут поступать через интервалы 3, 4, 5, 6, 7
мин. и занимают объём ОП в 10 кб. Время трансляции ПП от 4 до 6 мин. после чего
задание занимает объем ОП в 20кб. Время редактирования ВП от 2 до 3 мин на
каждую страницу, объем возрастает до 30кб. Время решения ТП распределено в
интервале от 1,1 до 1,9 мин после этого задание покидает систему, минуя ОП.
Итак, можно сделать выводы, что исходные данные для моделирования достаточны.
.3 Создание
концептуальной модели
Специализированная вычислительная система состоит из трех процессоров и
общей ОП. Сначала задания размером в 10 кб ОП поступают на обработку в ПП.
После трансляции ПП их объем увеличивается до 20кб, и они поступают в ОП. Затем
поступают на редактирование в ВП, после чего их объем возрастает до 30кб, и они
поступают в ОП. Далее задания поступают в ТП на решение, после чего и покидают
систему, минуя оперативную память.
Рис 1 - СМО в виде блок схемы.
Рис 2 - СМО в виде Q - схемы
2.4
Составление таблицы определений
|
№
|
Название устройства
|
Описание
|
|
1
|
OP
|
общая память
|
|
2
|
CP1
|
первый процессор
|
|
3
|
CP2
|
второй процессор
|
|
4
|
CP3
|
третий процессор
|
Генерацию заявок в GPSS выполняет команда GENERATE. Обработка в
устройстве будет моделироваться блоком ADVANCE.
Выход из системы - блок TERMINATE.
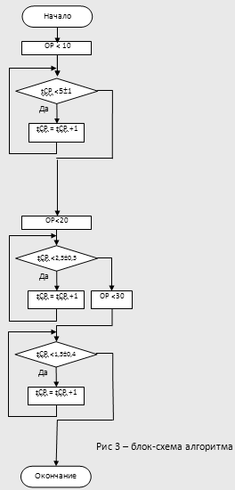
2.5
Построение блок - схемы алгоритма
На этом этапе создается схема алгоритма, описывающая функционирование ВС.

2.7
Программирование модели на GPSS
Программа модели:
GENERATE,2 ;ИНТЕРВАЛ ПОСТУПЛЕНИЯ ЗАДАНИЙ
QUEUE OP ;ВХОД В ОЧЕРЕДЬ
OP
SEIZE CP1 ;ЗАНЯТИЕ
ПРОЦЕССОРА P1
DEPART OP ;ВЫХОД ИЗ
ОЧЕРЕДИ OP
ADVANCE,1
;ОБРАБОТКА В P1
RELEASE CP1 ;ОСВОБОЖДЕНИЕ P1
QUEUE OP ;ВХОД В ОЧЕРЕДЬ
OP
SEIZE CP2 ;ЗАНЯТИЕ
ПРОЦЕССОРА P2
DEPART OP ;ВЫХОД ИЗ
ОЧЕРЕДИ OP
ADVANCE.5,0.5 ;ОБРАБОТКА В P2.5,0.5 CP2 ;ОСВОБОЖДЕНИЕ P2
QUEUE OP ;ВХОД В ОЧЕРЕДЬ
OP
SEIZE CP3 ;ЗАНЯТИЕ
ПРОЦЕССОРА P3
DEPART OP ;ВЫХОД ИЗ
ОЧЕРЕДИ OP
ADVANCE.5,0.4 ;ОБРАБОТКА В P3.5,0.41.5,0.4CP3 ;ОСВОБОЖДЕНИЕ P3
TERMINATE ;УНИЧТОЖЕНИЕ ТРАНЗАКТА 1440 ;ВРЕМЯ РАБОТЫ
ВЫЧИСЛИТЕЛЬНОЙ СИСТЕМЫ
TERMINATE 1 ;УНИЧТОЖЕНИЕ ТРАНЗАКТА
START
1
2.8
Программирование модели на Visual Basic
имитационный модель таблица диаграмма
Программа модели:
Explicitn = 1440t0, t1, t2, t21, t22, t3, t31, p, t32, t33,
kz1, kz2, kz3, z, b1, b2, b3, q, q1, q2, q3, vremo, qmax, qc As DoubleМодель()Timer=
5 + Int(Rnd * 4) - 2= 0: t2 = 0: p = 0: t3 = 0: t21 = 0: t22 = 0: t31 = 0: t32
= 0: t33 = 0: kz1 = 0: kz2 = 0: kz3 = 0: b1 = 0: b2 = 0: b3 = 0: z = 0: q = 0:
q2 = 0: q1 = 0: q3 = 0: vremo = 0: qmax = 0: qc = 0z < nqmax < q1 Then
qmax = q1t0 <= 0 Then= q1 + 1= 5 + Int(Rnd * 4) - 2= t0 - 1If((q1 > 0)
And (t1 <= 0)) Then= q1 - 1= 5 + Int(Rnd * 2) - 1= b1 + t1= q2 + 1= p1 + 1t1
> 0 Then= t1 - 1IfIf((q2 > 0) And (t2 <= 0)) Then= q2 - 1= 2.5 +
Int(Rnd * 1) - 0.5= 2.5 + Int(Rnd * 1) - 0.5= t21 + t22= b2 + t2= q3 + 1= p2 +
1t2 > 0 Then= t2 - 1IfIf((q3 > 0) And (t3 <= 0)) Then= q3 - 1= 1.5 +
Int(Rnd * 0.8) - 0.4= 1.5 + Int(Rnd * 0.8) - 0.4= 1.5 + Int(Rnd * 0.8) - 0.4=
t31 + t32 + t33= t3 + b3= p + 1t3 > 0 Then= t3 - 1IfIf= z + 1= qc + q + q2 +
q3.Cells(1, 1) = "общее время".Cells(2, 1) = "Время работы
первого процессора".Cells(3, 1) = "Время работы второго
процессора"
Application.Cells(4, 1) = "Время работы третьего
процессора"
Application.Cells(5, 1) = "Количество заданий в
первой ОП"
Application.Cells(6, 1) = "Количество заданий в
второй ОП"
Application.Cells(7, 1) = "Количество заданий в
третьей ОП"""
Application.Cells(8, 1) = "Коэффициент занятости
первого процессора"
Application.Cells(9, 1) = "Коэффициент занятости
второго процессора"
Application.Cells(10, 1) = "Коэффициент занятости
третьего процессора"""
Application.Cells(11, 1) = "Максимальное
количество заданий в ОП"
Application.Cells(12, 1) = "Общее количество
выполненных заданий"
Application.Cells(1, 2) = z.Cells(2, 2) = b1.Cells(3, 2) =
b2.Cells(4, 2) = b3.Cells(5, 2) = q1.Cells(6, 2) = q2.Cells(7, 2) = q3.Cells(8,
2) = b1 / z.Cells(9, 2) = b2 / z.Cells(10, 2) = b3 / z.Cells(11, 2) =
qmax.Cells(12, 2) = p Sub
Глава 3.
Получение результатов и их интерпретация
3.1 Анализ
результатов GPSSV-модели
После проведения эксперимента были получены листинги со статистикой об
объектах моделирования.
По представленным сведениям можно сказать следующее:
1. Моделируемая система содержит один накопитель (STORAGES) с именем OP;
2. Количество выполненных заданий моделируемым процессом - 281.
3. Максимальное количество заданий в ОП - 6.
. Среднее время, потраченное на обработку всех заданий первым
процессором - 5,008 минут; вторым процессором - 4,961 минут; третьим процессором
- 4,484 минут
. Среднее количество занятых каналов в процессе (AVE. C.) 1,962
. Коэффициент использования (UTIL.) составил 0,984 первого процессора; 0,972 - второго
процессора, 0,875 - третьего процессора.
3.2 Анализ
результатов модели, построенной на Visual Basic
После проведения эксперимента на Visual Basic получаем результат:
|
Общее время
|
1440
|
|
Время работы первого
процессора
|
1163
|
|
Время работы второго
процессора
|
1036
|
|
Время работы третьего
процессора
|
854,7
|
|
Количество заданий в первой
ОП
|
4
|
|
Количество заданий в второй
ОП
|
0
|
|
Количество заданий в
третьей ОП"
|
0
|
|
Коэффициент занятости
первого процессора
|
0,807639
|
|
Коэффициент занятости
второго процессора
|
0,719444
|
|
Коэффициент занятости
третьего процессора"
|
0,593542
|
|
Максимальное количество
заданий в ОП
|
6
|
|
Общее количество
выполненных заданий
|
259
|
Выводы по проделанному эксперименту на лицо.
Теперь попробуем поменять входные параметры для анализа выходных
результатов. Пусть объем задания во втором процессоре достигает не 30кб, а 50
кб. Посмотрим что получилось:
|
Общее время1440
|
|
|
Время работы первого
процессора
|
|
Время работы второго
процессора
|
1044
|
|
Время работы третьего
процессора
|
1127,5
|
|
Количество заданий в первой
ОП
|
2
|
|
Количество заданий в второй
ОП
|
0
|
|
Количество заданий в
третьей ОП"
|
56
|
|
Коэффициент занятости
первого процессора
|
0,813889
|
|
Коэффициент занятости
второго процессора
|
0,725
|
|
Коэффициент занятости
третьего процессора"
|
0,782986
|
|
Максимальное количество
заданий в ОП
|
5
|
|
Общее количество
выполненных заданий
|
205
|
Коэффициент занятости третьего процессора заметно увеличилась, оно и
понятно, потому что время работы третьего процессора возросло из-за большой
очереди заданий в ОП, вследствие чего и уменьшилось число выполненных заданий.
Поэтому можно предположить, что для более эффективной работы измененной
имитационной модели необходимо увеличить скорость выполнения заданий 3
процессора. Пусть третьему процессору требуется 1±0,2 мин на выполнение заданий
объемом в 10кб. Получим:
|
Общее время1440
|
|
|
Время работы первого
процессора
|
1171
|
|
Время работы второго
процессора
|
1032
|
|
Время работы третьего
процессора
|
1032
|
|
Количество заданий в первой
ОП
|
4
|
|
Количество заданий в второй
ОП
|
0
|
|
Количество заданий в
третьей ОП"
|
0
|
|
Коэффициент занятости
первого процессора
|
0,813194
|
|
Коэффициент занятости
второго процессора
|
0,716667
|
|
Коэффициент занятости
третьего процессора"
|
0,716667
|
|
Максимальное количество
заданий в ОП
|
6
|
|
Общее количество
выполненных заданий
|
258
|
Получаем похожую ситуацию, что и в первой имитационной модели. Лишь
увеличилось время работы третьего процессора вслед за коэффициентом занятости.
И нет очереди в третьей ОП, в отличие от нашей второй полученной модели.
Вывод: для эффективной работы имитационной модели, необходимо увеличивать
объем ОП в соответствии с мощностью процессоров.
Заключение
В данном курсовом проекте была спроектирована СМО для поставленной задачи
с использованием программы GPSS World.
Была построена концептуальная модель;
Была проведена алгоритмизация модели и ее реализация в программе GPSS
World.
А также был проведен эксперимент над представленной моделью, который
определил характеристики занятия оперативной памяти по всем трем видам заданий.
В ходе выполнения курсовой работы были получены основные навыки по
имитационному моделированию производственной фирмы. Что включает в себя:
изучение подобных, ранее созданных проектов различных производственных фирм;
способность ставить и проводить имитационные эксперименты с моделями процессов
функционирования систем на современных компьютерах для оценки
вероятностно-временных характеристик систем; анализ научно-технической
литературы в области компьютерного моделирования.
В результате выполнения работы получены результаты числового фактора и
размера минимальной гарантированной прибыли. Благодаря тщательному подходу к
заданию курсовой работы, созданная компьютерная имитационная модель в среде Visual Basic 6.0, превосходно имитирует работу вычислительной
системы и выдает результаты соответствующие действительности. Компьютерное
моделирование является основным системообразующим методом интеллектуального
анализа данных, позволяющего исследовать сложные системы, выявлять скрытые
закономерности, прогнозировать последствия принимаемых решений на компьютерной
модели, а не на живых людях.
Список
использованной литературы
. Бережная Е.В., Бережной В.И. Математические методы
моделирования экономических систем: Учеб. Пособие. - М.: Финансы и статистика,
2006. - 432с.
. Варфоломеев В.И. Алгоритмическое моделирование
элементов экономических систем: Практикум. Учеб. пособие. - М.: Финансы и
статистика, 2000. - 280 с.
. Емельянов А.А., Власова Е.А., Дума Р.В,; Под ред. А.
А. Емельянова. Имитационное моделирование экономических процессов: Учеб.
пособие. - М.: Финансы и статистика, 2002. - 368 стр.
. Карпов Ю. Имитационное моделирование систем.
Введение в моделирование с AnyLogic 5. - БХВ-Петербург, 2006. - 400с.
. Кельтон В.Д., Лоу А.М. Имитационное моделирование.
Классика CS. 3-е изд. - СПб.: Питер; Киев: Издательская группа BHV, 2004. - 847
с.
. Кобелев Н. Б. Основы имитационного моделирования
сложных экономических систем: Учеб. Пособие. - М.: Дело, 2003. -336с.
. Колемаев В.А. Экономико-математическое
моделирование: Моделирование макроэкономических процессов и систем: Учебник для
студентов вузов. - М: ЮНИТИ-ДАНА, 2005. - 295с.
. Лычкина Н.Н. Имитационное моделирование
экономических процессов. - Академия АйТи, 2005. - 164с.
9. Рыжиков Ю.И.
<http://www.labirint.ru/authors/34120/> Имитационное моделирование.
Теория и технологии. Альтекс <http://www.labirint.ru/pubhouse/505/>,
2004. - 384с.
. Шеннон Р.N.
Имитационное моделирование систем - искусство и наука. 1978. - 425с.