Моделирование экономических процессов в сельском хозяйстве
Содержание
Введение
. Теоретические основы моделирования оптимизационной
программы развития сельскохозяйственной организации
. Оптимизация развития сельскохозяйственной организации с
учетом внешнеэкономических связей
.1 Постановка экономико-математической задачи
.2 Структурная экономико-математическая модель
.3 Обоснование исходной информации задачи
.4 Анализы оптимального решения
Заключение
Список используемых источников
моделирование оптимизационный сельскохозяйственный
математический
Введение
Модель - это такой материальный или мысленно представляемый объект,
который в процессе исследования замещает объект-оригинал так, что его
непосредственное изучение дает новые знания об объекте-оригинале.
Под моделированием понимается процесс построения, изучения и применения
моделей. Оно тесно связано с такими категориями, как абстракция, аналогия,
гипотеза и др. Процесс моделирования обязательно включает и построение
абстракций, и умозаключения по аналогии, и конструирование научных гипотез.
Правильное определение сбалансированного развития отраслей в каждом
сельскохозяйственном предприятии является важной научной и практической
проблемой экономики сельского хозяйства.
В сложившихся экономических условиях, когда цены на сельскохозяйственную
продукцию значительно ниже цен на продукцию промышленности, когда заработная
плата работников сельского хозяйства в несколько раз ниже, чем в других
отраслях народного хозяйства, когда износ основных средств в
сельскохозяйственных предприятиях достиг 60-70% проблема сбалансированного
сочетания отраслей сельхозпредприятия встала на первый план, так как от
правильной специализации производства и сочетания отраслей зависят такие
важнейшие экономические показатели хозяйства, как уровень рентабельности, выход
продукции на единицу земельной площади, производительность труда.
Нужно отметить, что моделирование сельскохозяйственных предприятий имеет
ряд особенностей. Так, оптимальное решение, полученное при использовании
методов математического программирования, может не всегда соответствовать
оптимуму с экономических позиций. Это несоответствие тем больше, чем меньше
учтено в модели количественных связей между отдельными факторами, влияющими
друг на друга и на конечные результаты. Иначе говоря, в модели должны найти
отражение все условия, определяющие данную экономическую проблему. В перечне
этих условий наряду с экономическими должны быть агротехнические,
зоотехнические, биологические, технические и другие. Для этого необходимы
прочные знания в области технологии, техники, экономики, планирования и
организации сельскохозяйственного производства. Большое, можно сказать,
решающее значение для грамотного построения экономико-математической модели и
получения приемлемых оптимальных решений имеет достоверная информация о
конкретном моделируемом объекте. Полнота и правильность информации позволяют
достаточно точно описать на языке математики все зависимости, связи между
изучаемыми экономическими явлениями.
1. Теоретические основы моделирования оптимизационной программы развития
сельскохозяйственной организации
Сельскохозяйственная организация является важнейшим комплексообразующим
объектом агропромышленного комплекса. По этой причине прогнозная программа
любого аграрного (агропромышленного, корпоративного) формирования
предусматривает детальную проработку и оптимизацию развития
сельскохозяйственного подразделения-поставщика незаменимых продуктов питания и
сырья для промышленности.
Обоснование оптимальной прогнозной программы развития
сельскохозяйственной организации или как самостоятельного субъекта
хозяйствования, или в совокупности с другими производствами или подразделениями
включает совокупность ограничений, описывающих особенности функционирования
этого подразделения. Эти ограничения во всех аграрных формирования в основном
совпадают. В этой связи следует вначале остановиться на ЭММ обоснования
прогнозной программы развития отдельно взятой сельскохозяйственной организации.
Это особенно актуально по той причине, что большинство сельскохозяйственных
организаций не входят в состав аграрных или корпоративных формирований.
Обоснование прогнозной программы развития связано с закреплением
выявленного в процессе предварительной работы на основе
математико-статистического анализа положительных тенденций в развитии отраслей,
производств и хозяйства в целом и преодолении (или сведения к минимуму) влияния
отрицательных особенностей развития или факторов внутреннего или внешнего
воздействия.
Прогнозная программа развития сельхозорганизации призвана обеспечить, с
одной стороны, поддержание сбалансированности и пропорционального развития
народнохозяйственного комплекса, а с другой - интенсивное развитие экономики
хозяйства с целью решения производственно-экономических и социальных задач
коллектива. Реализация этих положений осуществляется, во-первых, посредством
производства и реализации сельхозпродукции в объеме не менее договорных
поставок, и, во-вторых, при учете в прогнозной программе развития всех
ресурсов, факторов, особенностей отраслей и производств, оказывающих влияние на
эффективность использования ресурсов, ресурсосбережение, самоокупаемость и
экономическую безопасность.[11, c.52]
Указанные основополагающие принципы функционирования сельхозорганизации
определяют содержание требований и условий по моделированию прогнозной
программы развития сельхозорганизации.
Реализация этих особенностей призвана обеспечить решение двух важнейших
проблем:
во-первых, сельскохозяйственная организация как часть
народнохозяйственного, в том числе агропромышленного комплекса, призвана
результатами своей деятельности способствовать поддержанию сбалансированности в
экономике с целью повышения ее эффективности и решения всего комплекса
производственно-экономических и социальных проблем общества;
во-вторых, необходимо обеспечить интенсивное использование ресурсов
хозяйства и возможностей коллектива с целью наращивания объемов производства,
повышения доходности экономики и обеспечения высокого уровня жизни коллектива.
Экономико-математическая модель программы развития сельскохозяйственного
предприятия представляет собой оптимизационную задачу, концентрированное
выражение наиболее существенных взаимосвязей и закономерностей поведения
управляемой системы в математической форме.
Экономико-математические модели также подразделяют на детерминистические
и стохастические. К детерминистическим относят модели, результат которых
полностью и однозначно определяется набором независимых переменных. Эти модели
стоят на основе правил линейной алгебры, они представляют собой системы
уравнений, совместно решаемых для получения результатов. Стохастические модели
описывают случайные процессы, подчиняющиеся законам теории вероятности. В этих
моделях, либо исходные данные, либо искомый результат выражаются не
определёнными величинами, а в виде некоторой статистической функции
распределения этих величин. К стохастическим относят модели, основанные на
принципах выравнивания статистических рядов, дающих количественную
характеристику явлений, величина которых варьирует в определённых пределах и
распределяется в нутрии них также закономерным образом. Эти модели описывают
вариационный ряд укрупнено, при помощи того или иного набора характеризующих
его параметров распределения или при помощи графиков нормального распределения.
Рассмотрим несколько моделей параметров развития
сельскохозяйственных отраслей различных авторов:
По мнению Брасловца М.Е. и Кравченко Р.Г, развитие сельского хозяйства, в
современных условиях требует все большего углубления специализации и повышения
концентрации производства на основе межхозяйственной кооперации, что открывает
широкие возможности к более крупному, высокотоварному, механизированному
производству. Процесс специализации, концентрации и кооперации производства
ведет к созданию межхозяйственных, колхозно-совхозных предприятий и
объединений, совхозов-заводов, образованию аграрно-промышленных объединений.
Они определяют также важность марксистского учения об общественном разделении
труда в описанном процессе. Экономико-математические методы обеспечивают
формирование сбалансированного плана специализации и сочетания отраслей, который
определяется как наилучший (оптимальный) ив всех допустимых при заданных
условиях производства.
Следовательно, обоснование специализации, и концентрации производства в
сельскохозяйственных предприятиях, так же как и других вопросов, целесообразно
осуществлять методами оптимального планирования.
Основными группами ограничений являются; ограничения по затратам ресурсов на
производство продукции (земли, труда, техники, материально-денежных средств);
по производству и использованию кормов; по применению минеральных и
органических удобрений; по использованию капиталовложений в отраслях; по
насыщению севооборотов - отдельными сельскохозяйственными культурами;
ограничения по гарантированным объемам производства продукции.
Леньков И.И. выделяет несколько моделей: экономико-математическое
моделирование специализации и сочетания отраслей сельскохозяйственного
предприятия в условиях кооперирования; экономико-математическое моделирование
специализации и сочетания отраслей сельскохозяйственного предприятия с учетом
ресурсов подразделений; стохастическая экономико-математическая модель
оптимизации специализации и сочетания отраслей сельскохозяйственного
предприятия.
Межхозяйственная специализация и агропромышленная кооперация призваны
создать дополнительные условия для повышения уровня концентрации производства.
В свою очередь увеличение размеров отраслей сверх определенного уровня должно
сопровождаться улучшением экономических показателей. Чтобы отразить изменение
информации по мере увеличения размеров отраслей, разработана
линейно-динамическая экономико-математическая модель. Критерий оптимальности -
максимум стоимости товарной продукции.
Выделяются следующие ограничения:
По использованию и формированию землепользования хозяйства;
По использованию и формированию трудовых ресурсов;
По размерам товарных отраслей;
По материальному обеспечению прогнозной программы сельхозорганизации
(по балансу основных видов кормов, по потребности в побочных кормах или
кормах животного происхождения);
По добавкам кормов к минимальной норме и формированию оптимальных
рационов кормления животных;
По балансу питательных веществ, содержащихся в кормах;
По содержанию питательных веществ в добавках;
Производственно-технологические ограничения на размеры отраслей
(по поголовью молодняка, по площади однородных или отдельных видов
сельхозкультур, по размерам технологически взаимосвязанных отраслей);
По материальному обеспечению прогнозной урожайности сельхозкультур
(по внесению и производству органических удобрений, по внесению и закупке
минеральных удобрений);
По техническому обеспечению прогнозных показателей отраслей и производств
сельхозорганизации (по формированию основных фондов, по сумме кредита, по
формированию амортизационных отчислений на реновацию);
По среднегодовой сумме прибыли;
По производству и распределению товарной продукции
Экономико-математическое моделирование специализации и сочетания отраслей
сельскохозяйственного предприятия с учетом ресурсов подразделений.
Важным является то обстоятельство, что оптимальная программа развития
предприятия в целом не есть сумма соответствующих программ развития
подразделений. Причина этого кроется в том, что во-первых, производственные
ресурсы подразделений не пропорциональны соответствующим предприятия в целом.
Во-вторых, ресурсный потенциал отраслей, показатели выхода продукции, затрат и
окупаемости ресурсов в разрезе подразделений часто существенно отличаются.
Актуальность подхода диктуется и тем, что в рамках подразделений могут
сформироваться хозяйственные образования типа кооператива, акционерного предприятия
и т.д., существенно отличающиеся внутренней структурой производства, размерами
отраслей, технико-экономическими показателями. Перечисленные образования,
создаваемые в рамках реформируемых колхозов и совхозов будут отличаться чаще
всего тесными кооперативными связями, кооперацией в использовании техники и
т.д. Программа их развития, пусть на начальном этапе формирования, будет тесно
взаимосвязана и эти предприятия можно рассматривать, как подразделения
хозяйства.
По своей конструкции экономико-математическая модель будет иметь
блочно-диагональную структуру. Наряду с блоками, каждый из которых описывает
функционирование подразделения, будет промежуточный связующий блок, описывающий
возможный обмен ресурсами и продукцией. При этом перераспределение ресурсов
должно осуществляться в рамках предложений коллективов подразделений или
сформированных на их основе хозяйственных образований. Поскольку итоги
хозяйствования рассчитываются в разрезе подразделений, то перераспределение
ресурсов и продукции между подразделениями должно осуществляться на условиях
самоокупаемости и взаимной выгоды.
Ограничения блоков будут совпадать с соответствующими ограничениями
статической экономико-математической модели оптимизации специализации и
сочетания отраслей. Ограничения связующего блока будут включать производство и
распределение по каналам реализации товарных видов продукции.Отличия
экономико-математической модели проявляются через переменные промежуточного
блока, обеспечивающие кооперативные связи и через связующий блок. [8, с. 256]
Курносов А.П. и Смнельникова М.М. считают, что наиболее эффективно задача
моделирования параметров развития сельскохозяйственных отраслей может быть
решена при комплексном рассмотрении всех отраслей сельского хозяйства, во всех
возможных районах размещения их, в целом по колхозному и совхозному сектору.
Тем самым обеспечивается системный подход с учетом взаимообусловленности и
взаимоувязки факторов.
Возможны две постановки экономико-математической задачи
В первой постановке составляется и решается задача по фактическим данным.
Цель решения такой задачи - экономический анализ фактического размещения и
специализации данного объекта.
Результаты решения задачи по фактическим данным позволяют сделать оценку
фактического развития, размещения и специализации сельского хозяйства с точки
зрения наилучшего использования имеющихся природно-климатических и
экономических условий для обеспечения максимально возможного уровня
производства.
Таким образом, анализ результатов решения этой задачи позволяет выяснить
недостатки существующего размещения и специализации сельскохозяйственного
производства и их причины, производственные резервы и конкретные направления
совершенствования и углубления размещения и специализации данного объекта. В
этом заключается основное значение решения экономико-математической задачи
оптимизации размещения и специализации сельского хозяйства по отчетным данным.
Вторая постановка предполагает решение прогнозной или плановой
экономико-математической задачи на основе соответствующей исходной информации.
Данная задача решается как статическая задача линейного программирования
с матрицами блочно-диагональной структуры. Система неравенств, характеризующих
нормы затрат и наличие ресурсов, строится здесь по зонам (районам, областям).
Каждая зона представляется отдельным блоком. Затем все блоки объединяются в
одну задачу с помощью связывающего блока, в котором отражены условия по общему
объему производства сельскохозяйственной продукции и общему объему
перераспределяемых ресурсов.
Эта базовая модель служит основой для разработки конкретных
экономико-математических моделей задачи оптимизации плана размещения и
специализации сельскохозяйственного производства и представляет наиболее общую
модель данного класса.
Переменные в задачах размещения и специализации сельскохозяйственного
производства по технологическим признакам, отражаемым в развернутой
экономико-математической модели, можно разделить на две большие группы: одни
отражают состав производимой сельскохозяйственной продукции, другие - изменяющийся
состав и объем используемых ресурсов.
В задаче оптимизации плана развития, размещения и специализации
сельскохозяйственного производства основными группами ограничений по блокам
являются ограничения по земельным ресурсам, трудовым ресурсам, производству и
потреблению кормов, использованию основных производственных фондов, объемам
гарантированного производства продукции, учету агробиологических условий и
возможным ареалам размещения.
Критерий развития производства определяется его целью. Следовательно, рост
производительности труда, экономия совокупного времени выступают показателем
всеобщего критерия развития производства.
При решении задач оптимизации плана развития, размещения и специализации
сельского хозяйства наиболее приемлемыми критериями являются минимум
производственных затрат (себестоимости) на получение заданного объема
продукции; минимум приведенных затрат на производство заданного объема
продукции с учетом затрат на транспортировку.
При существующих же ценах наиболее признанным для практических расчетов
критерием является минимум затрат при заданных объемах продукции. Это
обусловлено тем, что снижение себестоимости, так же как и рост прибыли,
свидетельствует об экономии рабочего времени и повышении производительности
труда. Расчеты на минимум затрат позволяют в некоторой степени абстрагироваться
от существующих цен, их изменения в законодательном порядке, колебания
реализационных цен на сельскохозяйственную продукцию в зависимости от ее
качества, сроков продажи и форм реализации, что очень трудно учесть при
плановых расчетах.
Возможны и другие критерии оптимальности в каждом конкретном случае
решения рассматриваемого класса задач (максимум валовой продукции, товарной
продукции, уровень рентабельности) [7, с.415-430].
Таким образом, мы видим, что существуют различные подходы и приемы в
составлении данной модели. Поэтому необходимо с учетом конкретных условий
определенного хозяйства попытаться выбрать и применить наиболее оптимальный
вариант.
2. Оптимизация развития сельскохозяйственной организации с учетом
внешнеэкономических связей
.1 Постановка экономико-математической задачи
Проблема оптимизации и специализации сельского хозяйства является частью
комплексной народно-хозяйственной проблемы. Это пространственное распределение
производства различных видов сельскохозяйственной продукции, осуществляемое на
основе общественного распределения труда с учетом народно-хозяйственных
потребностей в соответствующих видах продукции и конкретных
природно-экономических условий ее производства (почва, климат, рельеф,
биологические особенности растений и животных, размер и структура
сельскохозяйственных угодий, трудовые ресурсы, финансы, производственные
основные фонды, транспортные условия и т.д.).
Научной разработкой этого вопроса занимаются многие научно-исследовательские
и учебные институты. Выделены важнейшие предпосылки его решения, изучение и
комплексная оценка природных условий, учет сложившегося размещения уровня и
структуры сельскохозяйственного производства, определение ареалов размещения и
сравнительной эффективности производства продуктов растениеводства и
животноводства; экономическое обоснование и учет взаимосвязи с промышленностью,
прежде всего по переработке сельскохозяйственной продукции, определение
перспективных зон специализации и др.
В отраслевой задаче оптимизации структуры сельскохозяйственного
производства эффект получают за счет вариантности развития отраслей.
Итак, первым этапом составления экономико-математической задачи является
ее постановка, которая определяет цель решения задачи, установление планового
периода, ресурсы, факторы и условия, отражающие моделируемые процессы.
Постановка экономико-математической задачи по определению оптимальной
структуры сочетания и специализации отраслей в сельскохозяйственном предприятии
на плановый период формируется следующим образом. Исходя из научно обоснованных
планируемых объемов ресурсов, которые предлагается иметь в хозяйстве на
планируемый период времени, и соответствующих нормативов затрат, необходимо
определить такую структуру производства, которая полностью соответствовала бы
политике государства в области производства или закупки сельскохозяйственной
продукции, наилучшим образом учитывала природно-экономическую специфику
хозяйства, способствовала наиболее рациональному и эффективному использованию
земли, труда, материально-денежных и других средств производства и позволила бы
хозяйству получить таким образом наивысший экономический эффект.
Целью решения данной задачи являются определение размеров отраслей при
оптимизации их сочетания и использование ресурсов для получения максимума
денежной выручки.
Плановый период равен трем годам. Влияние на решение задачи оказывают
производственно-экономические, социальные, технологические факторы, которые
следует учитывать.
Рассматриваемое хозяйство должно развиваться с учетом имеющихся земельных
угодий. Вследствие влияния технологий, а также сложившейся
материально-технической базы, учитывая потребности в кормах, площади,
занимаемые различными культурами, будут изменяться.
Труд в связи с несовпадением рабочего времени и периода производства
целесообразно будет ограничить не только по годовому использованию, но также по
использованию его в напряженный период. При необходимости хозяйство может
привлечь труд со стороны.
Размеры отраслей ограничим по минимальной или по максимальной границам.
Кроме того, важно сбалансировать продукцию между отраслями растениеводства и
животноводства. При этом необходимо учитывать то, что с развитием
животноводства сельскохозяйственное предприятие должно ориентироваться по
возможности на самообеспечение кормами. Но здесь допускается также возможность
приобретения кормов, получения кормов от обмена или сдача в обмен, а также
использование побочной продукции и кормов животного происхождения. Размеры
отраслей животноводства должны быть увязаны с объемами и структурой
кормопроизводства, также должны быть установлены оптимальные рационы кормления
в соответствии с зоотехническими требованиями для каждой группы животных.
Хозяйство имеет определенные обязательства по реализации своей продукции
перед своими потребителями. Кроме того, сельскохозяйственное предприятие
стремится к функционированию в условиях самофинансирования, то есть все свои
программы развития и расширение производства оно должно будет производить за
счет собственных средств. Это предполагает наличие рыночного фонда, то есть
ресурсы должны приносить дополнительную прибыль, причем каналы реализации
предприятие выбирает в данном случае самостоятельно.
Использование модели специализации и сочетания отраслей осуществлялся в
двух аспектах:
с целью анализа;
с целью расчета на перспективу.
С целью анализа показателями исходной информации являются фактические
данные, и в результате решения экономико-математической задачи получается ответ
на вопрос: можно ли эффективнее перераспределить живой и прошлый труд между
отраслями сельскохозяйственного производства по данному критерию оптимальности
(в нашем случае критерием оптимальности является максимум прибыли).
2.2 Структурная экономико-математическая модель
Структурная экономико-математическая модель используется при описании
прошлого, настоящего и прогнозировании будущего.
Чтобы эти возможности моделей были реализованы, необходимо составлять и
решать развернутые экономико-математические модели. Развернутая (расширенная)
модель (задача) есть детализация структурной модели применительно к конкретному
объекту.
Отличие развернутой экономико-математической модели не только в
информации, но и в том, что новое знание о моделируемом объекте можем сразу
отразить в задаче, т.е. развернутая модель учитывает нюансы изучаемого явления
(часто важные).
Взаимосвязь структурной и развернутой моделей - один из наиболее важных и
существенных моментов всей теории моделирования.
Структурная экономико-математическая модель описывает объект в виде
символов и математических выражений.[5,c.72] Для ее построения необходимо ввести условные
обозначения, которые включают в себя три группы:
. Индексация;
2. Неизвестные величины;
. Известные величины.
Индексы:
j-
номер сельскохозяйственных культур и отраслей;
J0- множество сельскохозяйственных
культур и отраслей;
J1- множество отраслей растениеводства J1ÌJ0;
J2- множество отраслей животноводства J2ÌJ0;
J3- множество сельскохозяйственных
культур однородной группы J3ÌJ1;
J4 - множество групп однородных
сельскохозяйственных культур J4ÌJ1;
i-
номер ресурсов, питательных веществ, видов товарной продукции;
I1- множество видов земельных угодий;
I2- множество видов труда;
I4- множество видов питательных
веществ;
I5- множество видов товарной продукции;
h-
номер корма;
h=1 -
номер зеленого корма;
H0- множество видов кормов;
H1 - множество основных видов кормов H1ÌH0;
H2 - множество побочных кормов и кормов
животного происхождения H2ÌH0;
H3 - множество побочных кормов H3ÌH0;
H5 - множество кормов от обмена H5ÌH0;
H6 - множество кормов в обмен H6ÌH0.
Неизвестные величины:j- размер отрасли вида j;
-площадь сельскохозяйственной культуры вида j, принадлежащей к группе культур вида
j0;
- количество кормов, полученных от обмена;
- количество кормов в обмен;
хhˆ - количество побочных кормов и
кормов животного происхождения;
xhj- скользящая переменная по корму для вида или половозрастной
группы скота;
xh- точная потребность животноводства в зеленом корме;
- количество товарной продукции вида i, реализуемой по рыночным ценам;
- сумма материально-денежных затрат;
x-
сумма товарной продукции;
- сумма прибыли.
Известные величины:
Ai- ресурс земельного угодья вида i ;
сj- себестоимость единицы отрасли j;
сh- стоимость единицы корма h;
Вi- запас труда вида i;
Ri - максимальная возможность привлечения труда вида i;
Рi- объем договорных поставок продукции
i;
Wh- расход корма h на
внутрихозяйственные нужды;
- соответственно минимальный и максимальный размер отрасли j;
dij- выход товарной продукции вида i с единицы отрасли j;
sij- стоимость товарной продукции вида i отрасли j;
aij - расход земельного угодья вида i на единицу отрасли растениеводства j;
bij- расход труда вида i на единицу отрасли j;
dhj- выход корма h с
единицы отрасли растениеводства j;
Whjmin , Whjmax - соответственно минимальный и максимальный расход
корма h на единицу отрасли животноводства j;
Wh - объем корма h,
выделяемого на внутрихозяйственные нужды;
Wij- расход питательного вещества вида i на единицу отрасли животноводства j;
kih- содержание питательного вещества вида i в единице корма h;
, rij - соответственно минимальная и максимальная доля
сельскохозяйственной культуры вида j в земельном угодье вида i;
l -
разность между рыночной ценой и ценой продажи государству;
fh - коэффициент обмена корма.
В соответствии с постановкой экономико-математической задачи, введенными
индексами, неизвестными величинами и известными величинами запишем ограничения
построим структурную экономико-математическую модель для последующей записи
ограничений, перенесения в матрицу и решения.
Ограничения:
1. По использованию сельскохозяйственных
угодий:
2. По использованию труда:
3. По балансу основных кормов:
4. По балансу побочных кормов и кормов
животного происхождения:
5. По производству побочных кормов:
6. По покупным кормам:
7. По соотношению обмена:
8. По балансу питательных веществ:
9. По содержанию питательных веществ в
добавках:
10.По величине
скользящей переменной:
11.По точной
потребности в зеленой массе:
12.Технологические
ограничения по площади посева однородных сельскохозяйственных культур:
13.Технологические
ограничения по размерам отраслей:
14.По продаже
продукции государству:
а) с рыночным фондом
б) без рыночного фонда
15.По
материально-денежным затратам:
16.По стоимости
товарной продукции:
1. Неотрицательность переменных
xj,
,
,
,
,
, xhj,
,
,
,
,
Целевая функция:
.
Требуется найти: xj,
,
,
,
, хhˆ, xhj,
,
,
,
,
.
2.3 Обоснование исходной информации задачи
Экономико-математическая задача специализации и сочетания отрасли
сельскохозяйственного предприятия включает перечень переменных, ограничения, а
также матрицу задачи. Чтобы все это составить, необходимо обосновать исходную
информацию. При обосновании исходной информации следует учитывать цели решения
задачи (анализ хозяйственной деятельности, то есть анализ использования
ресурсов предприятия, прогнозирование развития хозяйства на перспективу).
В качестве объекта исследования выступает ОАО "Горецкое"
Горецкого района Могилевской области. Все исходные данные представлены в
Приложении А. При решении задачи на перспективу важным моментом является
определение величины планового периода. При этом следует учитывать особенности
переходной экономики, и особенность эта заключается в том, что долговременно
положительные либо отрицательные факторы не проявляли своего решающего
значения, их влияние неустойчиво, поэтому положительные тенденции в экономике
не стали определяющими. В переходной экономике влияние неустойчивых факторов в
модели усиливается, то есть экономические показатели сильно ослабляются от
ожидаемых значений, причем в большей степени это проявляется в худшую сторону.
В связи с этим величину планового периода ограничим тремя годами. Следующим
этапом в обосновании исходной информации является определение перечня культур и
отраслей, которые получат развитие в хозяйстве в перспективе. В нашем случае
это будут следующие культуры: зерновые, зернобобовые, кукуруза и зерно, овощи
открытого грунта, рапс, многолетние травы на сено, на семена, на зеленую массу
и на выпас, однолетние травы на зеленую массу и на выпас, кукуруза на силос и
зеленый корм, естественные сенокосы и пастбища на зеленую массу, улучшенные
сенокосы и пастбища на сено и зеленую массу. В животноводстве развивается
молочное, мясное (молодняк КРС) направление.
Далее определяем объемы ресурсов предприятия, возможные тенденции их
изменения на плановый период:
а) Земельные ресурсы (пашня, сенокосы, пастбища) планируем на фактическом
уровне.
б) запас годового труда определяем как количество среднегодового
отработанного времени (тыс. чел.час.) с учетом выбытия трудовых ресурсов 1% в
год (за 2 года- 2%)
в) Ресурс труда в напряженный период 45% от годового труда.
г) Возможно привлеченный труд определяем как 10% от количества
среднегодового труда.
Сводные данные представлены в таблице 2.3.1
Таблица 2.3.1 Производственные ресурсы предприятия
|
Показатели
|
Наличие
|
Прогноз
|
|
Пашня, га
|
7531,66
|
7532
|
|
Сенокосы, га
|
1933,66
|
1934
|
|
Пастбища, га
|
1441
|
1441
|
|
Отработано в с/х
производстве, чел.-час
|
802287
|
786241
|
|
Ресурс труда в напряженный
период, чел.-час
|
361029 (45% от годового труда)
|
353808
|
|
Возможно привлеченный труд,
чел.-ч
|
80228,7 (10% от годового труда)
|
78624,1
|
В таблице 2.3.2 представлены основные параметры отраслей растениеводства
ОАО "Горецкое" Горецкого района на 2013 год.
Обоснование информации по растениеводству
Определяем урожайность зерновых культур в массе после доработки на
перспективу по следующей корреляционной модели:
где
- расчетная (планируемая) урожайность зерновых
культур хозяйства на перспективу, ц/га;
-фактическая
урожайность зерновых культур на начало планового периода по хозяйству, ц/га;
-
фактическая урожайность зерновых культур по хозяйствам района, ц/га;
-
величина планового периода, лет (3 года)
-
коэффициент регрессии, характеризующий возможное среднегодовое приращение
урожайности в хозяйстве.
Коэффициент
приращения в зависимости от средней фактической урожайности на начало планового
периода может составить:
|
  
|
|
|
|
|
|
до 20
|
1,7-1,6
|
|
30,1-35
|
1,1-1,0
|
|
20,1-25
|
1,5-1,4
|
|
35,1-40
|
0,9-0,8
|
|
25,1-30
|
1,3-1,2
|
|
40 и более
|
0,7-0,6
|
При планировании урожайности отдельных видов зерновых культур используем
коэффициенты соотношения средней урожайности зерновых и отдельных видов
зерновых культур в рассматриваемом хозяйстве.
Подставив все значения получаем расчеты следующего вида:
Общий
показатель урожайности по зерновым: 32,46 = 29,8 +
Прогнозируемая
урожайность отдельных видов зерновых составит:
Озимые:
36,68 = 1,13*32,46
Яровые:
28,89 = 0,89*32,46
Зернобобовые:
31,16 = 0,96*32,46
Данные
по полученным значениям отражены в таблице 2.3.2
Таблица
2.3.2.- Расчет перспективной урожайности отдельных видов зерновых культур
|
Виды зерновых
|
Фактическая урожайность
отдельных зерновых
|
Фактическая урожайность
зерновых, ц/га
|
Коэффициент соотношения (2
: 3)
|
Расчетная урожайность
зерновых, ц/га (в физ. массе)
|
Расчетная урожайность
отдельных зерновых, ц/г
|
|
Озимые
|
33,7
|
29,8
|
1,13
|
32,46
|
36,68
|
|
Яровые
|
26,6
|
|
0,89
|
|
28,89
|
|
зернобобовые
|
28,6
|
|
0,96
|
|
31,16
|
Определяем по КМ соотношения урожайности зерновых и этих культур. После
расчета параметры этих КМ будут иметь следующий вид:
, (2.3.2)
где
-- расчетная
урожайность сельскохозяйственной культуры, ц/га
- средняя за 3 года фактическая урожайность
с.х.культуры, ц/га
-
коэффициенты регрессии
-
приращение урожайности зерновых культур (
)
Расчет
приращения урожайности зерновых: 32,6 - 29,8 = 2,66
Таблица
2.3.3 - Расчет урожайности отдельных сельскохозяйственных культур
|
Виды культур
|
a0
|
a1
|
Расчет
|
|
картофель
|
2,94
|
57
|
260,8
+ 2,94*e = 266,06
|
|
кукуруза на силос
|
14,1
|
109
|
|
|
многолетние травы на сено
|
1,13
|
0,68
|
|
|
однолетние травы на зеленую
массу
|
1,17
|
71
|
|
Далее проводим расчет урожайности по остальным сельскохозяйственным
культурам:
Урожайность многолетних трав :
- на зеленую массу = урожайность многолетних трав на сено*4,5 ,
143,055 ц/га = 31,79*4,5;
- на семена = урожайность многолетних трав на сено/10 ,
,18 ц/га = 31,79/10;
- на сенаж = урожайность многолетних трав на зеленую массу*0,45 ,
,31 ц/га = 31,79*0,45;
на травяную муку = урожайность многолетних трав на сено*0,8 ,
25,43 ц/га = 31,79*0,8;
Урожайность силосных культур = урожайность многолетних трав на зеленую
массу*0,75 ,
,29 ц/га = 143,055*0,75;
Урожайность сенокосов на сено = 65% от урожайности многолетних трав на
сено ,
,66 ц/га = 31,79*0,65;
Урожайность сенокосов на сенаж = урожайность сенокосов на сено*2 ,
,32 ц/га = 20,66*2;
Урожайность пастбищ на зеленую массу = 60% от урожайности многолетних
трав на зеленую массу ,
,833 ц/га = 143,055*0,6;
Урожайность пастбищ на сенаж = 45% от урожайности пастбищ на зеленую
массу ,
,62 ц/га = 85,833*0,45 = 38,62;
Урожайность озимой ржи на зеленую массу определяется по КМ: Yx=3.2x+5.8
,
где x - расчетная урожайность озимых зерновых ,
123,2 ц/га = 3,2*36,68 + 5,8;
Урожайность пожнивных = 80% от урожайности мн. трав на зеленую массу ,
114,44 ц/га = 143,055*0,8;
Урожайность остальных культур планируется на уровне фактической.
Все расчеты урожайности заносим в таблицу 2.3.4 (2 колонка)
В колонку 3 "на семена"- заносим норму высева семян на 1 га
В колонку 4 "на корм":
для основной продукции по зерновым продовольственным и в обмен на фураж
=10% от - урожайности (колонка 2)
для зерновых фуражных = урожайность (к.2)- расход на семена (к.3)
по картофелю товарному = 20% от урожайности картофеля (к.2)
по картофелю на корм = урожайность (к.2)- расход на семена (к.3)
по кукурузе на силос = 75%от урожайности (к.2)
по остальным кормовым культурам = урожайность (к.2)
Данные к.5 "товарная продукция" = урожайность(к.2)- расход на
семена (к.3)- на корм (к.4)
Выход побочной продукции (соломы) от урожайности зерновых составит: по
озимым 93% от урожайности , по яровым 88 % от урожайности (к.2).
В колонку 3 "на семена"- заносим норму высева семян на 1 га
В колонку 4 "на корм":
для основной продукции по зерновым продовольственным и в обмен на фураж
=10% от урожайности (колонка 2)
для зерновых фуражных = урожайность (к.2)- расход на семена (к.3)
по картофелю товарному = 20% от урожайности картофеля (к.2)
по картофелю на корм = урожайность (к.2)- расход на семена (к.3)
по кукурузе на силос = 75%от урожайности (к.2)
по остальным кормовым культурам = урожайность (к.2)
Данные к.5 "товарная продукция" =урожайность (к.2) - расход на
семена (к.3) - на корм (к.4)
Выход побочной продукции (соломы) от урожайности зерновых составит: по
озимым 93% от урожайности , по яровым 88 % от урожайности (к.2).
Затраты труда по культурам (колонка 8) (чел.час./га) рассчитываются по КМ
в зависимости от фактических затрат в среднем за 3 года по хозяйству (x1)
и расчетной урожайности по культурам, ц/га:
Затраты труда на 1 га озимых зерновых yx=13,6+0.712x1-0.416x2
Затраты труда на 1 га яровых зерновых: yx=7.3+0.712x1-0.416x2
,9 = 7,3 + 0,712 * 13,89;
Затраты труда на 1 га картофель yx = 18,6 + 0.67x1 -
0.194x2
,8 = 18,6 + 0,67 * 259,42 - 0,194 * 266,06 = 140,8;
Затраты труда на 1 га кукуруза на силос yx = 14,6 + 0.55x1
- 0.031x2
,19 = 14,6 + 0,55 * 22,09 - 0,031 * 372,71;
Затраты труда на 1 га однолетние травы на зеленый корм yx =
20.3 + 0.45x1 - 0.12x2
,48 = 20,3 + 0,45 * 66,65 - 0,12 * 90,04;
Затраты труда на 1 га многолетние травы на сено yx = (6.3 +
0.75x1 - 0.23x2)
,12 = 6,3 + 0,75 * 54,84 - 0,23 * 31,79;
Затраты труда на 1 га многолетние травы на семена = затраты труда по
многолетним травам на сено * 1,36;
Затраты труда на 1 га многолетние травы на зеленый корм семена = затраты
труда на многолетние травы на сено * 0,3;
Затраты труда на 1 га многолетние травы на сенаж семена = затраты труда
на многолетние травы на сено * 0,9;
Затраты труда на 1 га многолетние травы на травяную муку семена = затраты
труда на многолетние травы на сено * 1,3.
Затраты труда на 1 га пастбища, сенокосы, озимых зерновых, пожнивные
планируем по нормативу.
Затраты труда на 1 га рапса, сахарной свеклы, овощей планируем на
фактическом уровне.
Затраты труда по остальным с.х.культурам (зернобобовые) рассчитываются
по формуле 2.3.3:
ЗТг=Зт+0,5* ∆U*(ЗТн/Ун),
(2.3.3)
где Зт - перспективные годовые затраты труда, чел.час/га
ЗТн - нормативные затраты труда, чел.час/га
∆U - разница между расчетной и фактической урожайностью, ц/га
Ун - нормативная урожайность культуры, ц/га
Расчет затрат труда по зернобобовым: 34,17 = 33,16 + 0,5 * 2,6 *(13/16,7)
Затраты труда по культурам в напряженный период (колонка 9)
рассчитываем в процентах к затратам по труду за год по формуле 2.3.4:
ЗТнп = ЗТг * (ЗТнпн / ЗТнгод),
(2.3.4)
ЗТнп - перспективные затраты труда в напряженный период, чел.час./га;
ЗТг - перспективные годовые затраты труда, чел.час/га;
ЗТнпн - нормативные затраты труда в напряженный период, чел.час./га;
Зтнгод - нормативные затраты труда за год, чел.час./га.
Расчет затрат труда в напряженный период производится на основании
таблицы 2.3.4 а именно, к.9 = к.8*(к.7/к.6).
Таблица 2.3.4- Исходная информация по растениеводству
|
Культуры
|
Урожайность
|
Распределение продукции, ц
|
Затраты труда, чел.час/га
|
Питательность 1 Ц
|
Выход корма с 1 ГА
|
Выручка
|
Себестоимость, У.Е
|
Цена реализации, У.Е
|
|
нормотивная
|
расчетная
|
на семена
|
на корм
|
товарная(в обмен)
|
нормативные
|
расчетные
|
|
|
|
|
|
|
|
|
|
|
|
годовые
|
в напряж. период
|
годовые
|
в напряж. период
|
ц к. ед.
|
ц п.п.
|
ц к. ед.
|
ц п.п.
|
1 ц
|
на 1 га
|
1 ц
|
на 1 га
|
1 ц
|
1 га
|
|
Озимые продавольственные
|
34,9
|
36,7
|
3
|
3,7
|
30,03
|
26,8
|
12,1
|
8,23
|
3,7
|
1,2
|
0,106
|
44,04
|
3,89
|
18,8
|
564,6
|
16,42
|
602,65
|
18,8
|
689,96
|
|
Озимые фуражные
|
34,9
|
36,7
|
3
|
33,7
|
0,00
|
26,8
|
12,1
|
8,23
|
3,7
|
1,2
|
0,106
|
44,04
|
3,89
|
|
|
16,42
|
602,65
|
|
0,00
|
|
Яровые продовольственные
|
32,4
|
28,9
|
2,5
|
2,9
|
23,51
|
22,3
|
10,5
|
9,9
|
4,7
|
1
|
0,101
|
28,90
|
2,92
|
18,8
|
442,0
|
18,41
|
532,06
|
18,8
|
543,32
|
|
Яровые фуражные
|
32,4
|
28,9
|
2,5
|
26,4
|
0,00
|
22,3
|
10,5
|
9,9
|
4,7
|
1
|
0,101
|
28,90
|
2,92
|
|
|
18,41
|
532,06
|
|
0,00
|
|
Яровые в обмен на
концетраты
|
32,4
|
28,9
|
2,5
|
|
26,40
|
22,3
|
10,5
|
9,9
|
4,7
|
1
|
0,101
|
28,90
|
2,92
|
|
|
18,41
|
532,06
|
|
0,00
|
|
Зернобобовые продовольственные
|
16,7
|
31,2
|
3,5
|
3,1
|
24,58
|
13
|
7,1
|
34,17
|
18,7
|
1,1
|
0,192
|
34,32
|
5,99
|
18,8
|
462,1
|
2,69
|
84,08
|
18,8
|
586,56
|
|
Зернобобовые на корм
|
16,7
|
31,2
|
3,5
|
27,7
|
0,00
|
13
|
7,1
|
34,17
|
18,7
|
1,1
|
0,192
|
34,32
|
5,99
|
|
|
2,69
|
84,08
|
|
0,00
|
|
Картофель товарный
|
170
|
266,1
|
40
|
53,2
|
172,85
|
186,4
|
119,9
|
140,8
|
90,6
|
0,3
|
0,01
|
79,82
|
2,66
|
20,7
|
3578,0
|
17,58
|
4677,05
|
20,7
|
5507,44
|
|
Картофель на корм
|
170
|
266,1
|
40
|
226,1
|
0,00
|
186,4
|
119,9
|
140,8
|
90,6
|
0,3
|
0,01
|
79,82
|
2,66
|
|
|
17,58
|
4677,05
|
|
0,00
|
|
Кукуруза на зк
|
240
|
372,7
|
|
372,7
|
0,00
|
31,4
|
26,1
|
31,4
|
26,1
|
0,2
|
0,015
|
74,54
|
5,59
|
|
|
1,77
|
659,09
|
|
0,00
|
|
Кукуруза на силос
|
232
|
279,5
|
|
279,5
|
0,00
|
33,8
|
28
|
15,19
|
12,6
|
0,21
|
0,016
|
58,70
|
4,47
|
|
|
1,76
|
491,38
|
|
0,00
|
|
Корнеплоды
|
350
|
|
|
|
0,00
|
314
|
219
|
|
0,0
|
0,12
|
0,009
|
0,00
|
0,00
|
|
|
0,00
|
0,00
|
|
0,00
|
|
Однолетние травы на зеленый
корм
|
130
|
90,0
|
|
90,0
|
0,00
|
18,1
|
10,1
|
39,48
|
22,0
|
0,19
|
0,018
|
17,11
|
1,62
|
|
|
1,57
|
141,22
|
|
0,00
|
|
Многолетние травы на
травяную муку
|
26
|
25,4
|
|
25,4
|
0,00
|
41,6
|
29,1
|
41,6
|
29,1
|
0,71
|
0,094
|
18,06
|
2,39
|
|
|
0,53
|
149,90
|
|
0,00
|
|
Многолетние травы на сено
|
37,5
|
31,8
|
|
31,8
|
0,00
|
31,7
|
22,6
|
40,12
|
0,47
|
0,053
|
14,94
|
1,68
|
|
|
1,34
|
42,50
|
|
0,00
|
|
Многолетние травы на сенаж
|
120
|
14,3
|
|
14,3
|
0,00
|
25,8
|
19
|
25,8
|
19,0
|
0,32
|
0,036
|
4,58
|
0,51
|
|
|
1,58
|
22,58
|
|
0,00
|
|
Многолетние травы на
зеленый корм
|
170
|
143,1
|
|
143,1
|
0,00
|
18,4
|
11,1
|
18,4
|
11,1
|
0,2
|
0,027
|
28,61
|
3,86
|
|
|
1,76
|
251,47
|
|
0,00
|
|
Многолетние травы на семена
|
2,2
|
3,2
|
3,2
|
|
0,00
|
28,2
|
14,4
|
54,56
|
27,9
|
-
|
-
|
-
|
-
|
|
|
50,53
|
161,68
|
|
0,00
|
|
Рапс
|
24
|
10,6
|
0,1
|
|
10,51
|
12,1
|
6,2
|
9,25
|
4,7
|
-
|
-
|
-
|
-
|
30,6
|
321,5
|
20,37
|
216,07
|
30,6
|
324,60
|
|
Овощи открытого грунта
|
|
157,7
|
|
|
157,70
|
420
|
315
|
426,62
|
320,0
|
-
|
-
|
-
|
-
|
18,5
|
2917,5
|
12,01
|
1894,06
|
18,5
|
2917,45
|
|
Сенокосы на сено
|
28
|
20,7
|
|
20,7
|
0,00
|
19,1
|
14,2
|
19,1
|
14,2
|
0,42
|
0,055
|
8,68
|
1,14
|
|
|
0,97
|
20,01
|
|
0,00
|
|
Сенокосы на сенаж
|
88
|
41,3
|
|
41,3
|
0,00
|
23,8
|
17,8
|
23,8
|
17,8
|
0,25
|
0,028
|
10,33
|
1,16
|
|
|
1,58
|
65,24
|
|
0,00
|
|
Пастбища на сенаж
|
80
|
38,6
|
|
38,6
|
0,00
|
24,7
|
16,7
|
24,7
|
16,7
|
0,25
|
0,025
|
9,66
|
0,97
|
|
|
1,58
|
60,98
|
|
0,00
|
|
Пастбища на зеленый корм
|
120
|
143,1
|
|
143,1
|
0,00
|
12,4
|
7
|
12,4
|
7,0
|
0,2
|
0,025
|
28,61
|
3,58
|
|
|
0,59
|
84,32
|
|
0,00
|
|
Пожнивные
|
120
|
114,4
|
|
114,4
|
0,00
|
7,9
|
3,7
|
7,9
|
3,7
|
0,13
|
0,026
|
14,87
|
2,97
|
|
|
1,53
|
174,61
|
|
0,00
|
|
Озимая рожь на зеленый корм
|
100
|
123,2
|
|
123,2
|
0,00
|
8,9
|
4,1
|
8,9
|
4,1
|
0,19
|
0,021
|
23,41
|
2,59
|
|
|
16,53
|
2036,04
|
|
0,00
|
|
Сахарная свекла
|
|
291,9
|
0,2
|
|
291,69
|
|
|
314
|
219,0
|
0,25
|
0,012
|
72,97
|
3,50
|
4
|
1166,8
|
3,49
|
1020,08
|
4
|
1167,6
|
Обоснование информации по животноводству
Определяем продуктивность среднегодовой коровы (центнер), привес
молодняка КРС и свиней(грамм) в зависимости от фактической на начало
планового периода, приращения урожайности зерновых культур как мерила кормовой
базы :
, (2.3.5)
где
- соответственно перспективная продуктивность животных
и ее значение на начало планового периода;
t -
продолжительность планового периода (2 года);
-
приращение урожайности зерновых, ц;
a1 - коэффициент регрессии (для коров - 2,6; молодняка
КРС - 0,0054)
Информация
по расчету изложена в таблице 2.3.5.
Таблица.2.3.5.
Расчет продуктивности с.-х. животных
|
Показатели
|
Расчет
|
|
Надой молока на среднегодовую
корову ,ц
|
|
|
Среднесуточный привес
молодняка КРС, гр
|
|
|
Прирост ж.м. КРС на
перспективу, ц/гол.
|
|
Расход питат. вещ-в (ц. к.ед.) на производство 1ц продукции
животноводства определяем по КМ:
молоко Yx=0,63+20,7/x2 , где x2- надой
молока за год, ц
0,63 + 20,7/75679,32 = 0,6303;
привес КРС Yx=4,3+3,03/x2 ,где x2- среднесуточный
привес, кг
4,3 + 3,03/0,52266 = 10,1;
Определяем расход пит. веществ (ц. к.ед.) на среднегодовую гол.
животного= Расход пит. веществ (ц. к.ед.) на производство 1ц продукции *
среднегодовую продуктивность (в ц):
Коровы: 27,54 = 0,6303*43,72
молодняк КРС: 19,19 = 10,1*1,9
Для тех животных по которым будем рассчитывать рацион кормления со
скользящими переменными ,определяем расход переваримого протеина: в 1 ц к.ед.
содержится ПП для коров-0,105; молодняка КРС-0,102.
Затраты труда на среднегодовую голову рассчитываются по КМ в зависимости
от фактических затрат труда(х1) и продуктивности животного (х2):
Для среднегодовой коровы:
Yx= 60,2+0,85x1-1,62x2
60,2 + 0,85 * 180,56 - 1,62 * 43,72 = 142,8
Для среднегодовой головы молодняка КРС:
Yx= 26,6+0,6x1-0,7x2
26,6 + 0,6 * 27 - 0,7 * 1,9 = 41,47
Затраты труда в напряженный период рассчитываем по ранее приведенной
формуле.
Затраты труда в напряженный период по коровам:
34,135 = 142,8*(36,0/150,6);
Затраты труда в напряженный период для молодняка КРС:
,256 = 41,47*(7,6/28,0);
Все показатели по отрасли животноводства заносим в табл.2.3.6.
|
Вид животных
|
Продуктивность, ц
|
Расход ц к.ед. на
|
Расход пер.пр., ц/гол
|
Затраты труда, чел.час./гол
|
|
|
|
|
нормативные
|
прогнозные
|
|
|
1ц продукции
|
1 гол.
|
|
годовые
|
в напряж. период
|
годовые
|
в напряж. период
|
|
Коровы
|
43,72
|
0,63
|
27,54
|
2,9
|
150,6
|
36,0
|
142,8
|
34,135
|
|
Молодняк КРС
|
1,9
|
10,1
|
19,19
|
1,957
|
28,0
|
7,6
|
41,47
|
11,256
|
Рационы кормления определяем по нормативам исходя из перспективной
продуктивности.
Таблица 2.3.7- Рационы кормления 1 головы животных
|
Наименование кормов
|
Содержится в 1 ц корма, ц
|
На 1 голову откорма
молодняка КРС
|
|
Ц к.ед.
|
Ц п.п.
|
%
|
ц к.ед.
|
ц п.п.
|
ц корма
|
|
Концентраты
|
1
|
0,105
|
25
|
4,798
|
0,489
|
4,798
|
|
Сено
|
0,45
|
0,053
|
8
|
1,535
|
0,157
|
3,412
|
|
Сенаж
|
0,28
|
0,033
|
13
|
2,495
|
8,910
|
|
Солома
|
0,25
|
0,011
|
6
|
1,151
|
0,117
|
4,606
|
|
Силос
|
0,2
|
0,014
|
11
|
2,111
|
0,215
|
10,555
|
|
Корнеплоды
|
0,12
|
0,009
|
3
|
0,576
|
0,059
|
4,798
|
|
Картофель
|
0,3
|
0,01
|
3
|
0,576
|
0,059
|
1,919
|
|
Зеленый корм
|
0,19
|
0,021
|
26
|
4,989
|
0,509
|
26,260
|
|
Молоко
|
0,3
|
0,033
|
1
|
0,192
|
0,020
|
0,640
|
|
ЗЦМ
|
2,02
|
0,221
|
4
|
0,768
|
0,078
|
0,380
|
|
Итого
|
|
|
100
|
19,19
|
1,957
|
|
Нормы скармливания отдельных видов кормов для тех животных по которым
будем рассчитывать рацион со скользящими переменными.
Таблица 2.3.8- Предельные нормы скармливания кормов
|
Наименование кормов
ключевой переменной
|
Содержание в ц корма
|
не менее (75 %)
|
не более (125 %)
|
Максимальная СКВ на 1 гол.
|
|
ц к. ед.
|
ц п. п.
|
ц корма
|
ц к.ед.
|
ц п.п.
|
ц корма
|
ц к.ед.
|
ц п.п.
|
|
|
Концентраты
|
1
|
0,105
|
10,90
|
10,90
|
1,14
|
17,49
|
17,49
|
1,84
|
6,59
|
|
Сено
|
0,45
|
0,053
|
8,74
|
3,93
|
0,46
|
26,23
|
11,80
|
1,39
|
17,49
|
|
Сенаж
|
0,28
|
0,033
|
17,49
|
4,90
|
0,58
|
43,72
|
12,24
|
1,44
|
26,23
|
|
Солома
|
0,25
|
0,011
|
2,29
|
0,57
|
0,03
|
3,66
|
0,92
|
0,04
|
1,37
|
|
Силос
|
0,2
|
0,014
|
8,74
|
1,75
|
0,12
|
30,60
|
6,12
|
0,43
|
21,86
|
|
Корнеплоды:
|
0,12
|
0,009
|
0,00
|
0,00
|
0,00
|
34,98
|
4,20
|
0,31
|
34,98
|
|
Картофель
|
0,3
|
0,01
|
0,00
|
0,00
|
0,00
|
8,74
|
2,62
|
0,09
|
8,74
|
|
Зеленый и пастбищный корм
|
0,19
|
0,021
|
53,12
|
10,09
|
1,12
|
71,86
|
13,65
|
1,51
|
18,74
|
|
Травяная мука
|
0,68
|
0,091
|
0,00
|
0,00
|
0,00
|
2,19
|
1,49
|
0,20
|
2,19
|
Также, следует определить выход зеленого корма по месяцам. А именно в
процентном соотношении по каждому месяцу от урожайности. Данные отражены в таблице 2.3.9.
|
Таблица 2.3.9.- Выход
зеленого корма по месяцам пастбищного периода
|
|
|
|
Угодья и культуры
|
Всего,100% (Урожайность,
ц/га)
|
% к урожайности
|
|
|
Май (10%)
|
Июнь (20%)
|
Июль (20%)
|
Август (20%)
|
Сентябрь (20%)
|
Октябрь (10%)
|
|
Пастбища
|
143,10
|
21,47
|
42,93
|
28,62
|
28,62
|
14,31
|
7,16
|
|
Многолетние травы
|
143,10
|
18,60
|
40,07
|
40,07
|
27,19
|
17,17
|
|
|
Однолетние травы: 1 срока
|
90,04
|
|
13,51
|
63,03
|
13,51
|
|
|
|
2 срока
|
90,04
|
|
|
13,51
|
63,03
|
13,51
|
|
|
3 срока
|
90,04
|
|
|
|
13,51
|
63,03
|
13,51
|
|
Кукуруза на зеленый корм
|
372,70
|
|
|
|
|
372,70
|
|
|
Озимая рожь
|
123,20
|
123,20
|
|
|
|
|
|
|
Пожнивные культуры
|
114,40
|
|
|
|
|
22,88
|
91,52
|
|
|
|
|
|
|
|
|
|
|
Определяем расход кормов на внутрихозяйственные нужды.
1)Определяем количество семей по формуле 2.3.6.
=N/(1,8*1,4), (2.3.6)
где d- число семей в
хозяйстве;годовой запас труда на перспективу, тыс.чел.час;
,8- выработка на
среднегодового работника, чел.час.;
,4- число среднегодовых
работников на одну семью;
Приведенный расчет: 312 =
786,241/(1,8*1,4).
) Число коров в личном
пользовании: Yx=d*0,45 ,
где 0,45 - плотность коров в
расчете на 1 семью;
Приведенный расчет: 140 =
312*0,45.
) Определяем корма на
внутрихозяйственные нужды, исходя из того ,что на каждую семью выделяется 8 ц
концентратов, 20 ц соломы; на 1 корову 20ц сена, 65 ц зеленой массы.
Рассчитанные данные занесены
в таблицу 2.3.10.
Таблица 2.3.10- Расход кормов на внутрихозяйственные нужды
|
Вид корма
|
Содержание в 1 ц корма
|
ц
|
ц к.ед.
|
ц п.п.
|
|
ц к.ед.
|
ц п.п.
|
|
|
|
|
Концентраты
|
1
|
0,105
|
2496
|
2496
|
262,08
|
|
Сено
|
0,45
|
0,053
|
2800
|
1260
|
148,4
|
|
Зеленый корм
|
0,19
|
0,021
|
9100
|
1729
|
191,1
|
|
Солома
|
0,25
|
0,011
|
6240
|
1560
|
68,64
|
|
Итого
|
-
|
-
|
-
|
7045
|
670,22
|
Определяем
перспективный объем реализации продукции
Предполагается, что рост объемов реализации без закупок у населения по
продукции растениеводства составляет 3% в год, по продукции животноводства- 2%
( за 2 года соответственно - 6 и 4 %).
Договорные поставки по видам продукции для которой вводится рыночный фонд
(зерно, картофель, овощи) составляют 80% от перспективных объемов реализации,
по остальным видам продукции- 100%. Перспективный объем реализации находим как
разницу между фактическим объемом реализации и купленной у населения
продукцией, увеличенной на % роста.
Расчеты приведены в таблице 2.3.11.
Таблица 2.3.11.- Перспективный объем реализации продукции
|
Вид продукции
|
Фактический объем
реализации, ц
|
Куплено у населения, ц
|
Объем реализации на
перспективу, ц
|
Объем договорных поставок,
ц
|
|
Зерно
|
54133
|
-
|
57381
|
45904
|
|
Картофель
|
10340
|
-
|
10960,4
|
8768
|
|
Рапс
|
3776
|
-
|
4002,6
|
3202
|
|
Овощи
|
3290
|
-
|
3487,4
|
3487,4
|
|
Сахарная свекла
|
29300
|
-
|
31058
|
24846,4
|
|
Молоко
|
66120
|
151,5
|
68916
|
68916
|
|
Мясо: говядина
|
4143
|
0,7
|
4309,42
|
4309,42
|
Технологические
ограничения
1. Площадь посева зерновых от 35 до 58%
от площади пашни. Удельный вес отдельных видов зерновых в структуре зернового
клина определяем на основании следующих расчетов:
Таблица 2.3.12- Структура зернового клина
|
Наименование зерновых
культур
|
Фактическое значение, 2013
г.
|
Перспективное значение
|
|
га
|
%
|
минимальная
|
максимальная
|
|
Озимые
|
1637,6
|
48,64
|
38,9
|
58,37
|
|
Яровые
|
1465,6
|
43,53
|
34,8
|
52,2
|
|
Зернобобовые
|
263,3
|
7,83
|
6,3
|
9,4
|
|
Итого
|
3366,5
|
100
|
80
|
120
|
1. Площадь посева мн.трав на семена до
15% от общей площади посева мн.трав;
2. Площадь посева однолетних и многолетних
трав не менее 85% от фактической площади;
3. Площадь посева озимой ржи на з.м. не
более 5% площади пашни;
4. Площадь посева пожнивных не более 30%
от площади посева озимых зерновых;
5. Планируемое поголовье коров,
молодняка КРС составит от 100 до 130% от фактического поголовья. Планируемое
поголовье лошадей оставляем на фактическом уровне;
Таблица 2.3.13- Расчет предельного поголовья животных
|
Вид животных
|
Фактическое
|
Расчетное
|
|
2013 г.
|
минимальное
|
максимальное
|
|
Коровы
|
1749
|
2274
|
|
Молодняк КРС
|
2427
|
2427
|
3115
|
1. Выделяем ежегодно для посева мн.трав.
12 кг семян на 1 га и для восстановления травостоя на сенокосах и пастбищах 4
кг семян на 1га;
Предполагается реализация части продукции на рынке. Цены реализации
данной продукции на рынке на 45% выше реализационных цен.
Зерно обменивается на комбикорм с коэффициентом 1,25.
2.4 Анализ оптимального решения
В результате решения модельной программы развития сельскохозяйственного
предприятия ОАО "Горецкое" Горецкого района было получено оптимальное
решение (Приложение Б). В качестве критерия оптимальности был взят максимум
прибыли, который в конечном итоге был достигнут.
Для того чтобы проанализировать решение, проведем сравнение полученных
результатов с фактическими данными (2013 г.). Анализ решения начнем с анализа
использования производственных ресурсов (таблица 2.4.1).
Таблица 2.4.1 - Использование ресурсов.
|
Показатели
|
Фактическое значение
|
Расчетное значение
|
Расчётное в % к
фактическому
|
|
Пашня, га
|
7532
|
7532
|
100,00
|
|
Сенокосы, га
|
1934
|
1934
|
100,00
|
|
Пастбища, га
|
1441
|
1441
|
100,00
|
|
Запасы годового труда,
чел-ч
|
786241
|
786241
|
100,00
|
|
Труд в напряженный период,
чел-ч
|
353808
|
334435,2
|
94,52
|
Как видно из данной таблицы использование производственных ресурсов
пашни, сенокосов, пастбищ - осуществляется полностью.
Годовые трудовые ресурсы и трудовые ресурсы в напряженный период
позволяют нам полностью использовать имеющие сельскохозяйственные угодья, но
нагрузку произвести не целесообразно. Видно, что не имеется резервов увеличения
объемов произведенной продукции, так как трудовые ресурсы используются на 100 %
в обычное время, а в напряженный период данный показатель равен 94,52 %, что
свидетельствует о полной занятости предприятия, в результате чего следует
пояснить, что исследуемое предприятие достаточно эффективно использует трудовые
ресурсы.
Дальнейшим этапом анализа полученных результатов с фактическими будет
являться анализ размеров и структуры посевных площадей в хозяйстве (таблица
2.4.2).
Таблица 2.4.2 - Размер и структура посевных площадей
|
Культуры
|
Фактическая посеянная
площадь
|
Расчетная посеянная площадь
|
Расчетная посеянная площадь
в % к фактической
|
|
га
|
%
|
га
|
%
|
|
|
Зерновые, всего
|
3 367
|
44,70
|
3691,47
|
49,01
|
109,64
|
|
в т.ч. озимые
|
1637,6
|
21,74
|
2059,85
|
27,35
|
125,78
|
|
яровые
|
1465,6
|
19,46
|
1284,64
|
17,06
|
87,65
|
|
зернобобовые
|
263,6
|
3,50
|
346,99
|
4,61
|
131,64
|
|
Картофель
|
120
|
1,59
|
2290,53
|
30,41
|
1908,77
|
|
Овощи
|
93,3
|
1,24
|
22,11
|
0,29
|
23,70
|
|
Рапс
|
408,6
|
5,42
|
381,20
|
5,06
|
93,29
|
|
Однолетние травы
|
949
|
12,60
|
637,00
|
8,46
|
67,12
|
|
Многолетние травы
|
1556
|
20,66
|
360,00
|
4,78
|
23,14
|
|
Кукуруза на корм
|
927
|
12,31
|
43,21
|
0,57
|
4,66
|
|
Сахарная свекла
|
111
|
1,47
|
106,47
|
1,41
|
95,92
|
|
Всего
|
7532
|
100
|
7532
|
100
|
-
|
По данным таблицы 2.4.2 видно, что в расчетной структуре посевных
площадей произошли существенные изменения.
Наиболее существенные изменения произошли по площади посева картофеля
рост посевных площадей именно этой культуры объясняется тем что хозяйству
необходимо обеспечить оптимальное количество клубнеплодов для запланированного
производства животноводческой продукции, а также товарной продукцией. Так же
наблюдается незначительное увеличение площади посева зерновых культур, и
значительного уменьшения посевов овощей, кукурузы и многолетних трав.
Чтобы обеспечить равномерное поступление зеленого корма в течение
пастбищного периода рассчитывается точная потребность в зеленой массе по
месяцам из расчета, что в мае и октябре будет скормлено 10% от точной
потребности, а в остальные месяцы, т.е. июне, июле, августе и сентябре будет
скормлено по 20% от точной потребности в зеленой массе. Информация об этом
будет содержаться в таблице 2.4.3.
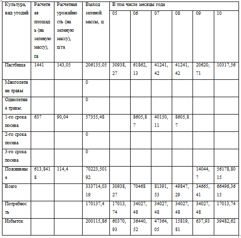
Таблица 2.4.3 - схема зеленого конвейера
Как видно из таблицы 2.4.3 по месяцам наблюдаеться избыток зеленой массы
на производство сенажа.
Затем необходимо проанализировать предполагаемый объем покупки кормов.
Таблица 2.4.4 - Предполагаемый объем покупки кормов, ц.
|
Вид корма
|
Расчетное значение
|
|
ЗЦМ
|
774,213
|
Согласно решению задачи в хозяйстве предполагаются концентраты от обмена
и зерно в обмен.
На следующем этапе произведем анализ поголовья животных (таблица 2.4.5)
Таблица 2.4.5 - Поголовье животных
|
Вид животных
|
Поголовье, гол.
|
Расчетное в % к
фактическому
|
|
фактическое
|
расчетное
|
|
|
Коровы
|
1739
|
1749
|
100,58
|
|
Молодняк КРС
|
2563
|
2427
|
94,69
|
Из анализа таблицы 2.4.5 видно, что в результате решения оптимизационной
задачи поголовье коров увеличиться на две головы, а поголовье молодняка КРС
уменьшиться на 136 голов. Данная структура соответствует оптимальному
обеспечению животных кормами.
Следующим этапом анализа станет рассмотрение изменений в рационе
кормления коров молочного стада (таблица 2.4.6).
Таблица 2.4.6 - Расход и структура кормов для коров
|
Вид корма
|
Фактическое значение
|
Расчетное значение
|
Расчетная к факту, %
|
|
ц
|
ц.к.ед.
|
п.п.
|
%
|
ц
|
ц.к.ед.
|
п.п.
|
%
|
|
|
Концентраты
|
10,9
|
10,9
|
1,14
|
33,04
|
5,54
|
5,54
|
0,58
|
20,12
|
50,83
|
|
Сено
|
8,74
|
3,93
|
0,46
|
13,33
|
14,14
|
6,36
|
0,67
|
23,10
|
161,75
|
|
Сенаж
|
17,49
|
4,9
|
0,58
|
16,81
|
26,20
|
7,34
|
0,77
|
26,64
|
149,80
|
|
Солома
|
2,29
|
0,57
|
0,03
|
0,87
|
1,40
|
0,35
|
0,04
|
1,27
|
61,14
|
|
Силос
|
8,74
|
1,75
|
0,12
|
3,48
|
21,90
|
4,38
|
0,46
|
15,90
|
250,57
|
|
Зеленый и пастбищный корм
|
53,12
|
10,09
|
1,12
|
32,46
|
18,80
|
3,57
|
0,38
|
12,97
|
35,39
|
|
Итого
|
|
32,14
|
3,45
|
100
|
|
27,54
|
2,89
|
100
|
x
|
В рацион кормления одной головы коровы молочного стада были внесены
существенные изменения. Снизилась доля концентратов на 49,17%, а следовательно
и снизились затраты на покупные корма. По остальным кормам также наблюдается
снижение расхода. Также увеличились доли сена, сенажа и силоса на 61,75%,
49,80% и 150,57% соответственно. Все это позволило оптимизировать содержание кормовых
единиц в рационе и обеспечить необходимую продуктивность коров молочного стада.
Для анализа результатов производственной деятельности необходимо также
проанализировать объем реализации продукции (таблицу 2.4.7).
Таблица 2.4.7 - Объемы реализации товарной продукции
|
Вид продукции
|
Фактическое значение
|
Расчетное значение
|
Расчетная к фактическому,%
|
|
|
Всего
|
В т.ч.
|
|
|
|
|
договорные поставки
|
рыночный фонд
|
|
|
Зерно
|
57381
|
71 923,84
|
45903,81
|
26020,03
|
125,34
|
|
Картофель
|
10960,4
|
395 917,94
|
8768,04
|
387149,90
|
3612,26
|
|
Рапс
|
4002,6
|
4 002,60
|
4002,60
|
-
|
100,00
|
|
Овощи
|
3487,4
|
3 487,40
|
3487,40
|
-
|
100,00
|
|
Сахарная свекла
|
31058
|
31 058,00
|
31058,00
|
-
|
100,00
|
|
Молоко
|
68916
|
76 466,28
|
76466,28
|
-
|
110,96
|
|
Мясо: говядина
|
4309,42
|
4 611,30
|
4611,30
|
-
|
107,01
|
Анализ данных таблицы 2.4.7 позволяет сказать, что наиболее значительно
выросла реализация картофеля - на 2512%, а также зерна на 25,34%, молока на
10,96% и говядины на 7,01%. По всем остальным товарным культурам рост не
наблюдается, и значения остаются неизменными.
Далее рассмотрим объем и структуру товарной продукции на основе
информации, приведенной в таблице 2.4.8.
Таблица 2.4.8 - Объем и структура товарной продукции (в сопоставимых
ценах 2009 года)
|
Вид продукции
|
Фактическое значение
|
Расчетное значение
|
Расч. в % к факту
|
|
кол-во
|
цена, у.е.
|
сумма у.е.
|
%
|
кол-во
|
цена, у.е.
|
сумма у.е.
|
%
|
|
|
Зерно
|
57381,0
|
18,8
|
1078762,8
|
25,1
|
71923,8
|
18,8
|
1352168,1
|
10,6
|
125,3
|
|
Картофель
|
10960,4
|
20,7
|
226880,3
|
5,3
|
395917,9
|
20,7
|
8195501,3
|
64,0
|
3612,3
|
|
Рапс
|
4002,6
|
30,6
|
122479,6
|
2,8
|
4002,6
|
30,6
|
122479,6
|
1,0
|
100,0
|
|
Овощи
|
3487,4
|
18,5
|
64516,9
|
1,5
|
3487,4
|
18,5
|
64516,9
|
0,5
|
100,0
|
|
Сахарная свекла
|
31058,0
|
4,0
|
124232,0
|
2,9
|
31058,0
|
4,0
|
124232,0
|
1,0
|
|
Молоко
|
68916,0
|
31,4
|
2166719,0
|
50,4
|
76466,3
|
31,4
|
2404099,8
|
18,8
|
111,0
|
|
Мясо: говядина
|
4309,4
|
119,5
|
514803,3
|
12,0
|
4611,3
|
119,5
|
550865,9
|
4,3
|
107,0
|
|
Всего
|
х
|
х
|
4298393,9
|
100
|
х
|
х
|
12813863,6
|
100
|
298,1
|
Анализируя данные таблицы 2.4.8, можно сделать вывод о том, что стоимость
товарной продукции растениеводства и животноводства в целом выросла на 198,1%.
В расчетной структуре товарной продукции растениеводства наибольший удельный
вес занимает картофель - 64,0% от общей выручки, в животноводстве - молоко 18,8
%.
Заключительным этапом в анализе решения задачи является анализ
эффективности сельскохозяйственного производства.
Таблица 2.4.9 - Основные показатели уровня производства
|
Показатели
|
Фактическое значение
|
Расчетное значение
|
Расчетная в % к фактической
|
|
Произведено на 100 га с/х
угодий:
|
|
|
|
|
- молока, ц
|
650,52
|
721,79
|
110,96
|
|
- говядины, ц
|
40,68
|
43,53
|
107,01
|
|
- товарной продукции, у. е.
|
40573,85
|
120953,97
|
298,11
|
|
Произведено на 100 га
пашни:
|
|
|
|
|
зерна, ц
|
761,83
|
954,91
|
125,34
|
|
картофеля, ц
|
145,52
|
5256,48
|
3612,26
|
|
Рапс
|
53,14
|
53,14
|
100,00
|
|
Сахарной свеклы
|
412,35
|
412,35
|
100,00
|
|
овощей, ц
|
46,30
|
46,30
|
100,00
|
|
Товарной продукции на 1
чел.-ч. у. е.
|
5,47
|
16,30
|
298,11
|
Анализ таблицы 2.4.9 позволяет сделать следующие выводы:
·
Уровень
производства по всем видам производства вырос, и общий темп роста товарной
продукции составил 298,11 % к фактическому уровню производства. Это во многом
обусловлено значительным ростом производства продукции растениеводства и
животноводства.
·
Уровень
производства зерна и картофеля вырос на 25,34% и 2512,26%. Это связано с
изменениями в структуре посевных площадей.
·
Уровень
производства молока возрос на 10,96%, а говядины - на 7,01%, что объясняется
как ростом продуктивности животных так и изменениями в структуре поголовья.
·
Увеличилось и
производство товарной продукции на 1 чел.-ч. Увеличение составило 198,11%. Это
произошло за счет снижения затрат годового труда и роста его
производительности, а также за счет увеличения товарности продукции.
Заключение
Анализируя решение задачи по определению оптимальной специализации и
сочетанию отраслей в ОАО"Горецкое" Горецкого района Могилевской области
можно сделать вывод о том, что предложенный расчёт обеспечит предприятию
максимум прибыли в размере 910761 у.е..
При этом в хозяйстве будут полностью использованы земельные и трудовые
ресурсы.
Далее следует сделать основные выводы по решению оптимизационной задачи:
·
площадь зерновых
увеличилась на 324,47 га, а площадь картофеля на 2170,53 га;
·
поголовье коров
увеличилось на 10 голов, а поголовье молодняка КРС увеличилось на 136 голов.
Продуктивность животных увеличится в связи с оптимальным уровнем кормления и
сбалансированным рационом.
·
в расчётном
рационе на голову коров расходуется несколько меньше ц к.ед. и ц п.п., однако
продуктивность животных за счет оптимизации рациона растет весьма существенно;
·
продажа зерна
увеличилась на 25,3% (273405,3у.е.),
·
продажа молока и
говядины также возросла на 11% и 7% соответственно.
·
расчётный объём
товарной продукции больше фактического на 198,1%;
·
доля выручки от
реализации продукции животноводства значительно ниже выручки от реализации
продукции животноводства;
·
по производству
молока наблюдается увеличение производства на 10,96%, т.к. выросла
продуктивность животных и улучшилось качество кормления; по производству
говядины увеличение на - 7,01 %.
·
производство
товарной продукции на 1 чел.-час возрастёт на 198,11%, это говорит нам о росте
производительность труда;
·
производство
товарной продукции на 100 га с/х угодий возросло в 2,98 раза, значит более
эффективно используются имеющиеся ресурсы.
Исходя из всего вышеизложенного, можно сделать вывод о том, что в ОАО
"Горецкое" Горецкого района целесообразно внедрение результатов
построения экономико-математической модели специализации и сочетания отраслей.
Список используемых источников
1. Гатаулин, А.М. и др. Математическое моделирование
экономических процессов в сельском хозяйстве / Гатаулин А.М., Гавриков А.В.,
Сорокина Т.М.; Под общ. ред. Гатаулина А.М. - М.: "Агропромиздат",
1990. - 49 с.
. Кравченко Р.Г. Математическое моделирование экономических
процессов в сельском хозяйстве. - М.: Колос, 1978. - 424 с.
. Курносов, А.П. Вычислительная техника и
экономико-математические методы в с/х: Учеб. пособие для с.-х. вузов/ А.П.
Курносов, М.М. Сикельникова. Издание 2-ое, перераб. и доп. - М.:
"Статистика", 1977.-430 с.
. Леньков, И.И. Экономико-математическое моделирование
экономических систем и производств в сельском хозяйстве. - Мн.: Дизайн ПРО,
1997. -306 с.
. Леньков, И.И. Моделирование и прогнозирование экономики
АПК: пособие /И.И. Леньков. - Минск: БГАТУ, 2010 - 218 с.
. Математическое моделирование процессов в агропромышленном
комплексе: Учеб. Пособие / О.А. Малафеев, А.В. Скробач, В.Ф. Скробач, В.С.
Шкрабак; Минсельхозпрод РФ. - СПб: ГАУ, 2000. - 336с.
. Методы оптимизации: методические указания по выполнению
контрольных работ. Составитель И.И. Леньков. Минск, 2003 год
. Новиков, Г.И. и др. Применение ЭММ в сельском хозяйстве /
Г.И. Новиков, К.В. Полузаров- М.: "Колос", 1975. - 155 с.
. Орехов, Н.А. Математические методы и модели в экономике:
учеб. Пособие для студ. Вузов, обуч. По эконом. спец. / Н.А. Орехов, А.Г.
Левин, Е.А. Горбунов; Под ред. Н.А. Орехова. - М.: ЮНИТИ, 2004.- 304с.
. Тунеев, М. М., Сухоруков В. Ф. Экономическо-математические
методы в организации и планировании сельскохозяйственного производства: Учеб.
пособие / 2-е изд. перераб. и доп. - М.: Финансы и статистика, 1986 - 88 с.
. Шимко П.Д. Власов М.П., Моделирование экономических
процессов: Учеб. Пособие - Ростов-на-Дону: "Феникс", 2005.