Экономико-математическая модель оптимальных рационов кормления животных
Санкт-Петербургский
Государственный Аграрный Университет
Кафедра
экономико-математических методов и статистики
Курсовая
работа
«Экономико-математическая
модель оптимальных рационов кормления животных».
Санкт-Петербург
г.
Содержание
Введение
. Постановка задачи
. Исходная информация и порядок её
подготовки
. Структурная
экономико-математическая модель задачи
Заключение
Список используемой литературы
Введение
Составление оптимального рациона кормления
животных имеет большое значение для сельскохозяйственных животных и для
сельского хозяйства в целом. Необходимость составления оптимальных рационов
обусловлена требованием полноценного кормления животных и стремлением
добиваться максимальной продуктивности скота и птицы при возможно наименьших
затратах труда, материально - денежных средств, кормов и т.п. на их содержание.
Необходимость составления оптимальных рационов объясняется еще и тем, что часто
в различных кормах содержатся одинаковые кормовые компоненты, но в различном
количестве. Поэтому с этой точки зрения одни корма могут заменять другие. Но
экономически такая замена оправдана лишь в случаях, когда стоимость единицы
питательности корма ниже стоимости соответствующей единицы другого корма.
Полноценное кормление служит основой высокой
плодовитости и продуктивности взрослых животных и благоприятствует
скороспелости и увеличению живого веса молодняка, что в конечном итоге
способствует повышению эффективности животноводства. Правильное использование
кормов - один из крупных резервов увеличения и удешевления производства
продуктов животноводства.
В целом математическое моделирование
представляет собой совокупность приемов и правил, обеспечивающих формализацию
экономических процессов и явлений и представление их либо в компактных, так
называемых структурных моделей процесса, либо в виде развернутой системы
математических неравенств и уравнений.
Предметом изучения математического моделирования
в сельском хозяйстве являются количественные характеристики экономических
явлений и процессов, протекающих в сельскохозяйственном производстве, изучение
их взаимосвязей, факториальной зависимости при развитии экономической системы.
В моей курсовой работе я попытаюсь сравнить
экономико-математическую модель оптимальных рационов кормления животных в
интерпретации трех авторов. За основу я возьму материал из учебника Тунеева
М.М. и Сухорукова В.Ф. «Экономико-математические методы в организации и
планировании сельскохозяйственного производства» и буду сравнивать с
материалами профессора Гатаулина А.М. «Математическое моделирование
экономических процессов в сельском хозяйстве» и Р.Г. Кравченко «Математическое
моделирование экономических процессов в сельском хозяйстве». Я постараюсь
выяснить, в чем схожесть их суждений, а чем они отличаются и почему.
1. Постановка задачи
Рацион - это набор и количество кормов,
потребляемых животным в сутки. Рационы составляют с учетом вида, возраста и
продуктивности животных, а также физиологических, зоотехнических и
экономических факторов.
Рассчитать оптимальный кормовой рацион,
учитывающий зоотехнические и экономические требования, при помощи традиционных
методов подбора очень сложно, а при большом наборе кормов практически
невозможно, поэтому задачу целесообразно решать с помощью
экономико-математических методов и ЭВМ.
Тунеев М.М. и Сухоруков В.Ф.
«Экономико-математические методы в организации и планировании
сельскохозяйственного производства» формулируют экономико-математическую задачу
следующим образом: из имеющихся в хозяйстве кормов, а также приобретенных
кормов и кормовых добавок составить рацион, который полностью удовлетворял бы
биологические потребности животного в питательных веществах и имел минимальную
стоимость[3].
Гатаулин А.М. «Математическое моделирование
экономических процессов в сельском хозяйстве» постановку задачи формулируют
несколько иначе: из имеющихся в наличии кормов составить такой рацион, который
по содержанию питательных веществ, соотношению отдельных видов кормов и групп
полностью отвечал бы требованиям животных и одновременно был самым дешевом.
Критерий оптимальности - минимум стоимости рациона[1]. Однако Тунеев М.М. и
Сухоруков В.Ф. отмечают, что при особых постановках задачи или решении задачи в
системе экономико-математических моделей кроме основного критерия оптимальности
- минимум себестоимости рациона - возможны и другие критерии оптимальности[33.
Как Тунеев М.М. и Сухоруков, так и В.Ф Гатаулин
А.М. пишут, что целесообразно принимать за единицу измерения основных
переменных величин количество килограммов того или иного корма в рационе, а для
вспомогательных - те единицы измерения, которые используются в справочниках по
кормлению животных (например, потребность в микроэлементах в граммах или
миллиграммах).
Р.Г. Кравченко «Математическое моделирование
экономических процессов в сельском хозяйстве» приводится три основных варианта
постановки экономико-математической задачи, учитывающие наиболее типичные
требования.
Первый вариант: определить оптимальный рацион
кормления скота. Для обеспечения заданной продуктивности рацион должен
содержать не менее необходимого количества питательных веществ при
зоотехнически допустимом соотношении отдельных групп и видов кормов. Содержание
отдельных кормов не должно превышать установленного уровня.
Второй вариант: определить оптимальный рацион
кормления с соблюдением всех требований, указанных в первом варианте, за
исключением ограничений по содержанию кормов различных групп.
Третий вариант: определить оптимальный рацион
кормления с соблюдением требований по первому и второму вариантам, за
исключением ограничений по содержанию отдельных видов кормов.
По всем трем вариантам постановки
экономико-математической задачи по определению оптимальных рационов кормления у
Р.Г. Кравченко критерием оптимальности служат показатели экономичности рациона.
Наиболее распространенным из них является стоимость рациона. Кроме того,
критерием оптимальности могут быть минимальный вес рациона или наиболее
благоприятное соотношения кормовых единиц и переваримого протеина. Чаще всего в
производстве применяется постановка задачи по первому варианту с критерием
оптимальности - минимум стоимости рациона.
Далее Р.Г. Кравченко раскрывает смысл основных и
вспомогательных переменных задачи, содержание основных и дополнительных
ограничений. Так основными переменными экономико-математической задачи являются
корма, которыми располагает сельскохозяйственное предприятие; корма и различные
минеральные, белковые и витаминные добавки, которые предприятие может
приобретать. Единицами измерения этих переменных служат меры веса, выбор
которых зависит от того, для какого вида скота и птицы и на какой период
рассчитывается рацион. Вспомогательными переменными задачи являются отраженная
переменная по суммарному содержанию кормовых единиц в рационе и отраженная
переменная по суммарному содержанию переваримого протеина. Необходимость
введения вспомогательных переменных связана с установлением научно-обоснованных
границ содержания отдельных групп кормов и с заменой части протеина корма
карбамидом. Основными ограничениями экономико-математической задачи записывают
условия по балансу питательных веществ. Технико-экономические коэффициенты
переменных по основным ограничениям указывают на содержание питательных веществ
в весовой единице корма (в 1 кг.). Дополнительные ограничения ставят по
определенным нормам содержания отдельных видов или групп кормов в рационе. При
помощи вспомогательных ограничений записывают суммарное количество кормовых
единиц и переваримого протеина в рационе[2].
. Исходная информация и порядок её подготовки
Для разработки экономико-математической задачи
оптимального рациона кормления различных видов животных Тунеев М.М. совместно с
Сухоруковым В.Ф «Экономико-математические методы в организации и планировании
сельскохозяйственного производства» предлагают следующее:
установить для какой половозрастной
рассчитывается рацион;
установить на какой период содержания
рассчитывается рацион;
определить физиологическое состояние животного и
его продуктивность в этот период;
изучить состояние кормовой базы хозяйства;
определить суточную потребность животного в
питательных веществах;
установить виды кормов, производимых в хозяйстве
и включаемых в рацион;
определить физиологически допустимые пределы
ввода различных групп кормов и добавок в рацион;
рассчитать стоимость единицы каждого вида
корма[3].
У Гатаулина А.М. «Математическое моделирование
экономических процессов в сельском хозяйстве» исходная информация представлена
в более подробном виде. Он пишет, что для составления модели оптимального
рациона кормления скота (птицы) необходимо установить следующее:
вид или половозрастную группу скота (птицы), для
которой рассчитывается рацион (кормовая смесь); период (сутки, неделя, декада,
месяц); живую массу одной головы; планируемую продуктивность;
содержание питательных веществ в рационе в
зависимости от продуктивности животных, живой массы, физиологического состояния
(устанавливается специалистом хозяйства с учетом фактического состояния дел; в
плановых расчетах можно использовать нормативно-справочные сведения);
предельные нормы скармливания отдельных кормов данному
виду скота (птицы) или допустимые зоотехнические нормы потребления кормов (из
справочной литературы);
виды кормов и кормовых добавок, из которых могут
быть составлены кормовые рационы (смеси), по их назначению в хозяйстве;
содержание всех видов питательных веществ в
единице корма или кормовой добавки (определяют путем анализа кормов в
агрохимической лаборатории или из справочных таблиц по питательности);
цену единицы кормов и кормовых добавок (из
хозрасчетных заданий или данных бухгалтерии)[1].
У Р.Г. Кравченко «Математическое моделирование
экономических процессов в сельском хозяйстве» исходная информация представлена
в том же виде, что и у Тунеева М.М. и Сухорукова В.Ф. «Экономико-математические
методы в организации и планировании сельскохозяйственного производства».
Таким образом, исходная информация для
составления модели оптимального рациона кормления животных у Гатаулина А.М.
«Математическое моделирование экономических процессов в сельском хозяйстве»
описана более полно и развернуто, чем у Тунеева М.М. и Сухорукова В.Ф.
«Экономико-математические методы в организации и планировании
сельскохозяйственного производства» и Р.Г. Кравченко «Математическое
моделирование экономических процессов в сельском хозяйстве».
. Структурная экономико-математическая модель
задачи
Рассмотрим структурную модель, представленную
Тунеевым М.М. и Сухоруковым В.Ф. «Экономико-математические методы в организации
и планировании сельскохозяйственного производства».
Для записи математической модели представлены
следующие обозначения:
Индексы:
i - питательные
вещества;
j - виды корма,
подкормки;
h - группы кормов.
Множества:
М - питательные вещества;

- соотношения питательных веществ;
М2 - ограничения по
отдельным видам кормов, подкормок;
Н - групп кормов;
Н1 - соотношения
групп кормов; - виды кормов, подкормок;
N1
- вспомогательные переменные.I
Условные обозначения:
xj
- количество корма, кормовой добавки j-го
вида в рационе;
xj(i)
- общее количество кормовых единиц в рационе;
cj
- себестоимость, цена приобретения j-го
корма, кормовой добавки;
аij
-
содержание i-го питательного
вещества в единице измерения j-го
вида корма, кормовой добавки;
ahj
- содержание кормовых единиц в единице измерения j-го
вида корма по h-й группе кормов;

- коэффициенты пропорциональности
между группами кормов;
bi - суточная
потребность животного в i-м питательном веществе;
bi(j),bi(j) -
допустимые нижний и верхний пределы введения в рацион j-го вида
корма;
αij -
логический коэффициент, равный 1 или 0.
Требуется
найти вектор X (xj , xi), обеспечивающий минимум себестоимости кормового рациона:
f (x)
= ∑ cj
xj
→ min
при
следующих условиях:
)
содержания в рационе не менее требуемого по нормам количества питательных
веществ:
∑ aij xj ≥
bi (i є M),
общая
питательность рациона должна составлять (кормовых ед.):
∑ аij xj - xj(i) = 0 ,
xj(i) ≥ bi (i є M), (j є N1);
2)
содержания в рационе различных групп кормов в пределах, удовлетворяющих
зоотехнические требования кормления животных:
βhi xj(i) ≤ ∑ahj xj ≤ βhi xj(i) ( h є H);
)
соблюдения в рационе соотношения отдельных питательных веществ и групп кормов:
∑ wh i xj - ∑ w’h
j xj ≤ 0 (h є H1
) , (i є M1);
4)
содержания отдельных видов кормов в рационе в биологически обусловленных
границах:
bi (j) ≤
αi j xj ≤ bi(j) (i є
M2);
)
неотрицательности переменных:
xj ≥
0, xj (i) ≥
0.
В
некоторых случаях при расчете оптимальных рационов кормления, исходя из
конкретных, специфических условий предприятия, постановщик задачи может
дополнительно ввести ряд ограничений. Схема матрицы задачи приведена в таблице
1[3].
Таблица 1. - Схема матрицы
задачи расчета оптимальных рационов кормления животных
|
Индексы
и множества ограничений
|
Ограничения
|
Переменные
|
Тип
ограничений
|
Свободные
члены ограничений
|
|
|
j є N
|
j єN1 xj(i)
|
|
|
|
i є
M
|
Питательные вещества
Кормовые единицы
|
ai j ai j
|
-1 1
|
≥
= ≥
|
bi 0 bi
|
|
h є H
|
Группы
кормов
|
ah j
-ah
j
|
- βhj
βhj
|
≤ ≤
|
0 0
|
|
i є M1
h є H1
|
Соотношение
питательных веществ Соотношение групп кормов
|
wij , w’ij wh
j , w’h
j
|
|
≤
≤
|
0 0
|
|
i є M2
|
Отдельные
виды кормов
|
αij
|
|
≥ ≤
|
bi(j) bi(j)
|
|
Другие
ограничения
|
|
|
|
|
|
f
|
Целевая
функция - стоимость рациона
|
cj
|
|
→
|
min
|
|
|
|
|
|
|
|
У Гатаулина А.М. «Математическое моделирование
экономических процессов в сельском хозяйстве» система переменных и ограничений
представлены иначе.
Все ограничения по экономическому содержанию и
характеру формализации в модели Гатулин А.М. выделяет в группы:
I - по балансу
питательных веществ;
II - по
содержанию сухого вещества;
III - по
удельному весу групп кормов в рационе;
IV - по удельному
весу видов кормов внутри группы.
В целях формализации записей приведенных
ограничений Гатулин А.М. предлагает ввести ряд обозначений:
i - индекс
ограничений, показывающий порядковый номер элемента питания;
j - индекс
переменной, показывающий порядковый номер вида корма в рационе;
Vij
-
содержание питательного элемента i-го
вида в единице (1кг) j-го
вида корма;
xj
-
искомое количество корма j-го
вида, входящего в рацион;
bi
-
требуемое по норме количество i-го
вида питательного вещества в рационе.
В соответствии с выделенными ранее группами
ограничений Гатулин А.М. вводит обозначения множеств: I1
, I2
, I3
,I4. Он
вводит также обозначения множеств видов кормов J
и подмножество видов однородных кормов H.
С учетом введенных обозначений обобщенная форма записи
I группы ограничений
будет иметь вид:
группа ограничений отражает требования
обеспечения содержания сухого вещества в рационе не более допустимого
количества:
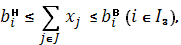
III группа ограничений
отражает физиологически допустимые пределы скармливания кормов. Эти
дополнительные ограничения показывают нижние и верхние пределы отклонений по
каждой группе кормов и математически представляются парами неравенств:
или в общем виде:
где 
,
- нижний и верхний пределы
физиологически допустимых норм содержания данной группы кормов в рационе.
IV группа
ограничений отражает физиологические, зоотехнические или экономические
требования по удельному весу отдельных видов кормов внутри однородных групп. Для
формализованной записи таких ограничений вводят коэффициенты
пропорциональности:
где 
, коэффициент пропорциональности.
V группа
ограничений - неотрицательность переменных величин:
Математическая запись целевой
функции имеет вид:
где 
- стоимость (себестоимость) единицы
корма j-го вида[1].
Структурная экономико-математическая
модель Р.Г. Кравченко «Математическое моделирование экономических процессов в
сельском хозяйстве» имеет такую же систему переменных и ограничений, как и у
Гатаулина А.М. «Математическое моделирование экономических процессов в сельском
хозяйстве», за исключением II группы ограничений, которая
отражает требования обеспечения содержания сухого вещества в рационе не более
допустимого количества. У Кравченко Р.Г. эта группа ограничений отсутствует.
математический модель оптимальный
кормление
Заключение
Сравнив экономико-математическую модель
оптимальных рационов кормления животных с позиции трех разных авторов Гатаулина
А.М. «Математическое моделирование экономических процессов в сельском
хозяйстве», Кравченко Р.Г. «Математическое моделирование экономических
процессов в сельском хозяйстве» и Тунеева М.М. совместно с Сухоруковым В.Ф.
«Экономико-математические методы в организации и планировании
сельскохозяйственного производства» можно сделать вывод, что в их суждениях
очень много сходства, но так же есть и различия.
Постановку задачи все три автора формулирую
практически одинаково: из имеющихся в наличии кормов составить такой рацион,
который по содержанию питательных веществ, соотношению отдельных видов кормов и
групп полностью отвечал бы требованиям животных и одновременно имел бы самую
низкую себестоимость. За основной критерий оптимальности все три автора
предлагают принять - минимум себестоимости рациона. Но Кравченко и Тунеев
совместно с Сухоруковым уточняют, что критерии оптимальности могут быть и
другими.
Исходная информация в рассматриваемой модели
тремя авторами представлена одинаково, только Гатаулин А.М. расписывает её
более подробно, указывая где берут эту информацию и как её определяют.
Сама математическая модель, по моему мнению, у
Гатаулина А.М. и Кравченко Р.Г. описана более понятно и не вызывает больших
трудностей в её составлении при решении задач.
Список используемой литературы
1) Гатаулин А.М. «Математическое
моделирование экономических процессов в сельском хозяйстве». - СПб.: ООО «ИТК
ГРАНИТ», 2009 - стр. 142.
) Кравченко Р.Г. «Математическое
моделирование экономических процессов в сельском хозяйстве». - М.: «Колос»,
1978 - стр.165.
) Тунеев М.М., Сухоруков В.Ф.
«Экономико-математические методы в организации и планировании
сельскохозяйственного производства». - М.: «Финансы и статистика», 1986 - стр.
50.