Моделирование организации труда
КУРСОВАЯ
РАБОТА
По
дисциплине:
"АНАЛИЗ
И МОДЕЛИРОВАНИЕ ТРУДОВЫХ ПОКАЗАТЕЛЕЙ"
Тема:
"Моделирование организации труда"
Оглавление
Введение
Глава 1.
Изучение модели организации труда
.1 Сущность
модели организации труда
.2
Математическое моделирование
.3 Словесные
модели
Глава 2.
Факторы, влияющие на уровень организации труда
Практическая
часть
Задание 1
Задание 2
Задание 3
Задание 4
Задание 5
Задание 6
Заключение
Список
литературы
Введение
Сегодня наибольшее внимание уделяется эффективному использованию
высокопроизводительной, сложной и дорогостоящей техники, которое возможно
только в том случае, если грамотно и рационально организован труд людей ее
эксплуатирующих, обслуживающих и ремонтирующих.
Наряду с правильным подбором и подготовкой персонала,
необходимо подчеркнуть важность проектирования трудового процесса, когда в
условиях массового выпуска продукции реализуется возможность экономии затрат
труда и рабочего времени на производство продукции, что позволяет
максимизировать прибыль.
Одним из важнейших направлений обеспечения социальной
направленности рыночной экономики является рационально построенная организация
труда на всех уровнях управления.
Организованный на научной основе труд является ведущим
фактором роста его производительности и снижения издержек производства, что в
свою очередь служит основой обеспечения конкурентоспособности хозяйствующих
субъектов рыночной экономики.
Все вышесказанное обуславливает актуальность темы:
моделирование организации труда.
Цель курсовой работы - анализ моделирования организации
труда.
Для достижения поставленной цели требуется решить
следующие задачи: - изучить существующие модели организации труда; - провести
анализ факторов, оказывающих влияние на уровень организации труда.
Структура курсовой работы.
Теоретический раздел включает: первую главу,
посвященную изучению модели организации труда. Здесь проводится анализ моделей
организации труда и применения математических методов, используемых при анализе
организации труда. Вторая глава, которая звучит как - "Факторы, влияющие
на уровень организации труда", дает характеристику основных факторов,
влияющих на уровень организации труда.
Практический раздел состоит из 6 заданий, посвященных
планированию, анализу и моделированию трудовых показателей.
Глава 1. Изучение модели организации
труда
.1 Сущность модели организации труда
Модель в общем смысле (обобщенная модель)
есть создаваемый с целью получения и (или) хранения информации специфический
объект (в форме мысленного образа, описания знаковыми средствами либо
материальной системы), отражающий свойства, характеристики и связи
объекта-оригинала произвольной природы, существенные для задачи, решаемой
субъектом.
Модели объектов являются более простыми
системами, с четкой структурой, точно определенными взаимосвязями между
составными частями, позволяющими более детально проанализировать свойства
реальных объектов и их поведение в различных ситуациях. [3]
Таким образом, моделирование представляет
собой инструмент анализа сложных систем и объектов.
К моделям выдвигается ряд обязательных
требований:
во-первых, модель должна быть адекватной
объекту, т. е. как можно более полно соответствовать ему с точки зрения
выбранных для изучения свойств;
во-вторых, модель должна быть полной. Это
означает, что она должна давать возможность с помощью соответствующих способов
и методов изучения модели исследовать и сам объект, т. е. получить некоторые
утверждения относительно его свойств, принципов работы, поведения в заданных
условиях.
По способу моделирования различают
следующие типы моделей:
аналитические, когда поведение объекта
моделирования описывается в виде функциональных зависимостей и логических
условий;
имитационные, в которых реальные процессы
описываются набором алгоритмов, реализуемых на ЭВМ.
По характеру моделируемой системы модели
делятся[5]:
на детерминированные, в которых все
элементы объекта моделирования постоянно четко определены;
на стохастические, когда модели включают в
себя случайные элементы управления.
При построении любой модели процесса
управления желательно придерживаться следующего плана действий [10]:
) Сформулировать цели изучения системы;
) Выбрать те факторы, компоненты и
переменные, которые являются наиболее существенными для данной задачи;
) Учесть тем или иным способом
посторонние, не включенные в модель факторы;
) Осуществить оценку результатов, проверку
модели, оценку полноты модели.
Сам процесс моделирования может быть
представлен в виде цикла, в котором можно выделить пять этапов [5]:
. Постановка проблемы и ее анализ -
выделяются важные черты и свойства объекта, исследуются взаимосвязи элементов в
структуре объекта, формулируются гипотезы, объясняется поведение и развитие
объекта.
. Построение модели - выбирается тип
модели, оценивается возможность его применения для решения поставленных задач,
уточняется перечень отображаемых параметров моделируемого объекта и связи между
ними. Для сложных объектов определяется возможность построения нескольких
моделей, отражающих различные аспекты функционирования объекта.
. Подготовка исходной информации - осуществляется
сбор данных об объекте (на основании изучения модели). Затем происходит их
обработка с помощью методов теории вероятности, математической статистики и
экспертных процедур.
. Проведение расчетов и анализ результатов
эксперимента - производится оценка достоверности результатов.
. Применение результатов на практике -
работа с моделируемым объектом с учетом его предполагаемых свойств, полученных
при изучении моделей. При этом полагается, что эти свойства с достаточным
уровнем вероятности действительно присущи данному объекту. Последнее положение
должно основываться на результатах предыдущего этапа.
Если полученные на пятом этапе результаты
недостаточны, изменился сам объект или его окружающая среда, то происходит
возврат к первому этапу и новое прохождение цикла моделирования.
.2 Математическое моделирование
Для управленческой деятельности, особенно
в процессе принятия решений, наиболее полезны модели, которые выражаются
словами или формулами, алгоритмами и иными математическими средствами.
Математическое моделирование экономических
явлений и процессов с целью оптимизации процессов управления - область
научно-практической деятельности, получившая мощный стимул к развитию во время
и сразу после второй мировой войны[10]. Эта тематика развивалась в рамках
интеллектуального движения, связанного с терминами "кибернетика",
"исследование операций", а позже - "системный анализ",
"информатика".
Впрочем, имелась и вполне практическая
задача - контроль качества боеприпасов, вышедшая на первый план именно в годы
второй мировой войны. Методы статистического контроля качества приносят
наибольший экономический эффект среди всех экономико-математических методов
управления. Только дополнительный доход от их применения в промышленности США
оценивается как 0,8 % валового национального продукта США, т.е. 24 миллиардов
долларов (в ценах 2003 г.) [11]. Важная проблема - учет неопределенности.
Основное место она занимает в вероятностно-статистических моделях экономических
и социально-экономических явлений и процессов.
Особое место занимают имитационные
системы, позволяющие отвечать на вопрос: "Что будет, если...?".
Основа имитации (смысл которой мы будем понимать как анализ экономического
явления с помощью вариантных расчетов) - это математическая модель. Имитационная
система - это совокупность моделей, имитирующих протекание изучаемого процесса,
объединенная со специальной системой вспомогательных программ и информационной
базой, позволяющих достаточно просто и оперативно реализовать вариантные
расчеты [4]. Таким образом, под имитацией понимается численный метод проведения
машинных экспериментов с математическими моделями, описывающими поведение
сложных систем в течение продолжительных периодов времени, при этом
имитационный эксперимент состоит из следующих шести этапов [15]:
) формулировка задачи;
) построение математической модели;
) составление программы для ЭВМ;
) оценка пригодности модели;
) планирование эксперимента;
) обработка результатов эксперимента.
Имитационное моделирование (simulation
modelling) широко применяется в различных областях, в том числе в экономике.
Экономико-математические методы управления
можно разделить на несколько групп:
· методы оптимизации;
· методы, учитывающие неопределенность,
прежде всего вероятностно-статистические;
· методы построения и анализа имитационных
моделей;
· методы анализа конфликтных ситуаций
(теории игр).
Во всех этих группах можно выделить
статическую и динамическую постановки. При наличии фактора времени используют
дифференциальные уравнения и разностные методы.
Теория игр (более подходящее название -
теория конфликта, или теория конфликтных ситуаций) зародилась как теория
рационального поведения двух игроков с противоположными интересами. Она
наиболее проста, когда каждый из них стремится минимизировать свой средний
проигрыш, т.е. максимизировать свой средний выигрыш. Отсюда ясно, что теория
игр склонна излишне упрощать реальное поведение в ситуации конфликта. Участники
конфликта могут оценивать свой риск по иным критериям. В случае нескольких
игроков возможны коалиции. Большое значение имеет устойчивость точек равновесия
и коалиций.
В экономике еще 150 лет назад теория
дуополии (конкуренции двух фирм) О.Курно была развита на основе соображений,
которые мы сейчас относим к теории игр. Новый толчок дан классической
монографией Дж. фон Неймана и О. Моргенштейна, вышедшей вскоре после второй
мировой войны. В учебниках по экономике обычно разбирается "дилемма
заключенного" и точка равновесия по Нэшу (ему присуждена Нобелевская
премия по экономике за 1994 г.) [12].
Моделирование процессов управления
предполагает последовательное осуществление трех этапов исследования:
Первый - от исходной практической проблемы
до теоретической чисто математической задачи.
Второй - внутриматематическое изучение и
решение этой задачи.
Третий - переход от математических выводов
обратно к практической проблеме [2].
В области моделирования процессов
управления, как, впрочем, и в иных областях применения математики,
целесообразно выделять четверки составляющих: ЗАДАЧА - МОДЕЛЬ - МЕТОД - УСЛОВИЯ
ПРИМЕНИМОСТИ.
Задача, как правило, порождена
потребностями той или иной прикладной области. Вполне понятно, что при этом
происходит одна из возможных математических формализаций реальной ситуации.
Например, при изучении предпочтений потребителей у экономистов - маркетологов
возникает вопрос: различаются ли мнения двух групп потребителей. При
математической формализации мнения потребителей в каждой группе обычно
моделируются как независимые случайные выборки, т.е. как совокупности
независимых одинаково распределенных случайных величин, а вопрос маркетологов
переформулируется в рамках этой модели как вопрос о проверке той или иной
статистической гипотезы однородности. Речь может идти об однородности
характеристик, например, о проверке равенства математических ожиданий, или о
полной (абсолютной однородности), т.е. о совпадении функций распределения,
соответствующих двух совокупностям [2].
Задача может быть порождена также
обобщением потребностей ряда прикладных областей. Одна и та же математическая
модель может применяться для решения самых разных по своей прикладной сущности
задач.
Важно подчеркнуть, что выделение перечня
задач находится вне математики. Выражаясь инженерным языком, этот перечень
является сутью технического задания, которое специалисты различных областей
деятельности дают специалистам по математическому моделированию.
Метод, используемый в рамках определенной
математической модели - это уже во многом, если не в основном, дело
математиков. В эконометрических моделях речь идет, например, о методе
оценивания, о методе проверки гипотезы, о методе доказательства той или иной
теоремы, и т.д. В первых двух случаях алгоритмы разрабатываются и исследуются
математиками, но используются прикладниками, в то время как метод
доказательства касается лишь самих математиков.
Ясно, что для решения той или иной задачи
в рамках одной и той же принятой исследователем модели может быть предложено
много методов.
1.3 Словесные модели
Базу менеджмента, основанного на
лояльности, заложил в 1908 году профессор Гарварда Дж. Ройс. Он является
автором книги "Философия лояльности", где впервые научно определено
понятие "лояльность".
В рамках предлагаемой словесной модели
бизнес-лояльность рассматривается с точки зрения трех самостоятельных базисных
аспектов: лояльность потребителей, лояльность сотрудников и лояльность
инвесторов.
Каждый раз за словом
"лояльность" понимается что-то свое [9]:
· приверженность (с точки зрения
покупателей);
· добросовестность (с точки зрения
сотрудников);
· взаимное доверие, уважение и поддержка
(с точки зрения инвесторов).
Но, несмотря на ярко выраженные
компоненты, эта система должна рассматриваться только как единое целое,
поскольку невозможно создать лояльных покупателей, не обращая внимания на
лояльность сотрудников, или воспитать лояльность сотрудников без должного
внимания к лояльности инвесторов. Ни одна из частей не может существовать
отдельно от двух других, но все три вместе позволяют организации достигать
невиданных высот в развитии.
Необходимо четко понимать, что менеджмент,
основанный на лояльности, прежде всего обращен на людей. В первую очередь здесь
рассматриваются именно люди и их роль в бизнесе. Это скорее модель мотивации и
поведения, чем маркетингового, финансового или производственного развития. Лишь
во вторую очередь менеджмент, основанный на лояльности, обобщает людей в более
абстрактные категории и управляет техническими процессами.
Как показывает практика, люди всегда
оказываются более готовыми работать на организацию, которая имеет цель
служения, чем на организацию, которая существует только ради того, чтобы
"делать деньги". Поэтому люди охотно работают в церкви или в
общественных организациях.
Менеджеры, желающие успешно использовать
модель управления, основанную на эффекте лояльности, не должны рассматривать
прибыль как первоочередную цель, но как необходимый элемент благосостояния и
выживания трех составляющих каждой бизнес-системы: покупателей, сотрудников и
инвесторов.
Еще в начале ХХ в. Г. Форд говорил, что
"организация не может работать без прибыли, ... иначе она умрет. Но и
создавать организацию только ради прибыли ... значит привести ее к верной
гибели, так как у нее не будет стимула к существованию" [7].
Основа рассматриваемой модели лояльности -
не прибыль, а привлечение дополнительного количества покупателей, процесс,
который осознанно или неосознанно лежит в основе большинства преуспевающих
организаций. Создание целевого количества покупателей пронизывает все сферы
бизнеса компании. Силы, управляющие взаимосвязями между покупателями,
сотрудниками и инвесторами, называют силами лояльности. Критерий успешности -
возвращаются ли покупатели, чтобы купить больше, или они идут куда-то еще, т.е.
проявляют ли они лояльность.
Как причина, лояльность инициирует
несколько экономических эффектов, которые влияют на всю бизнес систему примерно
следующим образом [12]:
. Прибыли и рыночная доля растут, когда
наиболее перспективные покупатели охватывают весь спектр деятельности компании,
создавая о ней хорошее общественное мнение и повторно приходя за покупками. За
счет большого и качественного предложения компания может себе позволить быть
более привередливой при выборе новых покупателей и концентрироваться на более
прибыльных и потенциально лояльных проектах их привлечения, дальше стимулируя
свой долгосрочный рост.
. Долгосрочный рост позволяет фирме
привлекать и сохранять лучших сотрудников. Постоянное поддержание целевого
количества покупателей увеличивает лояльность сотрудников, давая им чувство
гордости и удовлетворения своей работой. Далее, в процессе взаимодействия
постоянные сотрудники узнают больше о своих постоянных покупателях, в
частности, как лучше их обслуживать, чтобы объем покупок рос. Этот
увеличивающийся объем продаж подстегивает и лояльность покупателей, и
лояльность сотрудников.
. Лояльные сотрудники в долгосрочном
периоде учатся снижать издержки и повышать качество работы (эффект научения).
Организация может использовать эту дополнительную продуктивность для расширения
системы вознаграждения, для покупки лучшего оборудования и обучения. Все это, в
свою очередь, подстегнет продуктивность сотрудников, рост вознаграждений и,
следовательно, лояльность.
. Такая спираль продуктивности дает такое
преимущество в издержках, которое очень сложно скопировать для чисто
конкурентных организаций. Долгосрочные преимущества в издержках, соединенные с
устойчивым ростом количества лояльных покупателей, приносят прибыль, очень
привлекательную для инвесторов. Это, в свою очередь, расширяет возможности
компании по привлечению и сохранению "правильных" инвесторов. модель имитационный
управление лояльность
5. Лояльные инвесторы ведут себя как
партнеры. Они стабилизируют систему, снижают издержки по поиску капитала и дают
гарантии, что полученные отвлеченные денежные потоки будут вложены обратно в
бизнес как инвестиции. Это укрепляет организацию и увеличивает ее
производственный потенциал.
Без сомнения, каждая организация
уникальна, но все же в той или иной мере показатели ее прибылей будут
укладываться в общую модель экономических эффектов, получаемых от постоянства
или лояльности покупателей. Среди них стоит особо отметить следующие [9]:
· издержки привлечения (реклама,
направленная новым покупателям, комиссионные по продажам новым покупателям,
накладные расходы продаж и т.д.);
· базовая прибыль (цена, которую платят
вновь появившиеся покупатели, превышает затраты организации на создание
товара);
· рост выручки (как правило, если
покупатель доволен параметрами товара, он склонен увеличивать объемы покупок с
течением времени);
· издержки сбережений (близкое знакомство
с товарами организации уменьшает зависимость покупателей от ее сотрудников в
вопросах информации и советов);
· отзывы (удовлетворенные уровнем
обслуживания покупатели рекомендуют организацию своим друзьям и знакомым);
· дополнительная цена (постоянные
покупатели, сотрудничающие с организацией достаточно долго, чтобы изучить все
ее товары и услуги, получают несоизмеримо больше от продолжения отношений и не
нуждаются в дополнительных скидках или рекламных акциях).
Чтобы оценить истинный долгосрочный
потенциал лояльности покупателя или группы покупателей, необходимо знать их
предрасположенность к проявлению постоянства. Так некоторые покупатели
перебегут к конкуренту и за 2% скидку, а другие останутся и при 20% разнице в
цене. То количество усилий, которое требуется для переманивания различных типов
покупателей, называется коэффициентом лояльности. В некоторых организациях для
оценки коэффициентов лояльности используется история развития или поведение
покупателей на отдельных сегментах [12].
В других, особенно в тех, чье будущее
слабо связано с прошлым, пытаются методами анализа данных нащупать, на сколько
велика должна быть скидка, чтобы покупатели перешли к их организации. Но,
несмотря на все трудности в измерении, использование коэффициента лояльности
позволяет организациям идентифицировать сохранение покупателей и внедрять
оправданную практику, проверенную на одном департаменте, во всю организацию.
Развитие систем измерения, анализа и
управления денежными потоками, полученными от лояльности, может привести
организацию к инвестициям, которые в дальнейшем обеспечат рост количества
покупателей и организации в целом.
Итак, модель лояльности подробно
обоснована на словесном уровне. В этом обосновании упоминалось математическое и
компьютерное обеспечение. Однако для принятия первоначальных решений их
использование не требуется.
При более тщательном анализе ситуации
словесных моделей, как правило, не достаточно. Необходимо применение достаточно
сложных математических моделей.
Глава 2. Факторы, влияющие на уровень
организации труда
Использование совокупного потенциального
фонда рабочего времени в целом и отдельных его элементов непосредственно
связано с состоянием организации труда на предприятии.
Показатель уровня организации труда на
предприятии или в отдельном его подразделении за любой период времени определяется
по формуле:

где Тр.и - фактическое, рационально используемое рабочее время за
данный период, ч.
При расчете рационально используемой величины берутся фактические
затраты времени, но не выше нормативных значений.
Если время обслуживания в базисном периоде составило 2600 чел.-ч,
а по действующим нормативам - 2300 чел.-ч, то в расчет принимается последняя
величина. Разница же относится к лишним затратам времени (это требование справедливо
по отношению к любому элементу рациональных затрат).
Коэффициент непосредственных затрат рабочего времени на выполнение
объема работ Ki определяется по формулам:
К1=Тн.э./Фп,
Или К1=(Тп.э.+Топ+Тобс)/Фп
где Тн.э. - непосредственные затраты рабочего времени
на выполнение объема работ, ч.
Аналогично определяются коэффициенты и по другим элементам,
входящим в состав рациональных
затрат рабочего времени:
- коэффициент затрат времени на выполнение работ,
необусловленных производственным заданием;
- коэффициент регламентированных неявок.
Эта группа показателей характеризует рациональное использование
совокупного потенциального фонда рабочего времени.
Ко второй группе относятся показатели, свидетельствующие о
величине и направленности имеющихся резервов: неявки, потери и лишние затраты
рабочего времени.
При анализе организационных резервов роста производительности
труда важным является выявление не только явных, но и скрытых внутрисменных
потерь рабочего времени и лишних затрат.
Эти виды потерь многообразны, методы их расчета различны.
В одном случае они могут быть определены по данным учета прямым
счетом (преждевременного окончания работы с разрешения администрации,
сокращения рабочего дня на работах с неблагоприятными условиями труда), в
другом - необходимо применение специальных методов.
Так, расчет потерь рабочего времени из-за невыполнения норм
отдельными работниками осуществляется поэтапно.
Сначала определяется возможный рост производительности труда,
который мог бы иметь место при выполнении норм всеми рабочими:
где 
, 
, - численность рабочих, у которых уровень выполнения норм
составляет соответственно 80-90, 90-100 %;

, 
- среднее
выполнение норм соответственно в тех же пределах;
D - удельный вес рабочих, не выполняющих нормы, в общей их
численности, %.
Потери рабочего времени из-за невыполнения норм Тн.н.
рассчитываются по формуле:
где Q - объем продукции за соответствующий период, н-ч;
К - коэффициент выполнения норм выработки работниками цеха
(участка).
Значительна также величина потерь рабочего времени в связи с
несовершенством разделения и кооперации труда. Следствием этого являются
отвлечение работников на выполнение несвойственных им функций,
неудовлетворительная структура кадров, нерациональные формы и способы
организации труда, расстановки кадров и т. д.
Возможная экономия рабочего времени при внедрении бригадной
организации груда Тбр рассчитывается по формуле:
где У - рост выработки рабочих, при
коллективной форме организации труда, %;
d - удельный вес рабочих в
бригадах в обшей численности ППП, %.
Суммированием всех потерь рабочего времени
определяется их общая величина, а затем и показатель, характеризующий реальные
резервы роста производительности труда.
Значительные потери рабочего времени связаны с недостатками в
организации рабочего места, в его оснащении, планировке и обслуживании. Расчет
этих затрат осуществляется по формуле:
где Тл.р.м. - затраты времени в связи с
неправильной организацией рабочего места, ч;
t - фактические затраты
времени на выполнение функций при неправильной организации рабочего места, ч;
t1 - затраты
времени на выполнение функций при рациональной организации рабочего места, ч;
п - количество выполняемых в
течение смены функций;
Д - число рабочих дней в году;
т - количество исследуемых
факторов.
Основным способом выявления лишних затрат
труда являются специальные наблюдения (фотографии рабочего времени,
хронометражи и др.).
Совершенствованию организации труда, а,
следовательно, и более эффективному использованию фонда рабочего времени способствует
широкое внедрение типовых проектов организации рабочих мест.
Рациональность использования совокупного
фонда времени зависит также от квалификационного уровня работников. Чем выше
квалификация, тем при прочих равных условиях, выше выработка работника а
единицу рабочего времени. Величина лишних затрат времени из-за более низкой квалификации,
чем требуется для выполнения данной работы, Тл.к. определяется следующим
образом:
где В1 - рост выработки у рабочих, прошедших обучение, в
базисном периоде,
%; В2 - рост выработки у остальных рабочих за тот же период,
%;
Ч - число работников, которые должны повысить квалификацию в
плановом периоде, чел.;
Пв - плановое выполнение норм выработки всеми рабочими, %;
Ф - фонд рабочего времени одного среднесписочного рабочего,
ч.
Величина дополнительных затрат труда по причине неосвоения
частью работников передовых приемов труда Тл.п. рассчитывается по формуле
где t1, t0 - затраты времени соответственно до и после овладения
данным приемом;
Ч - численность работников, не освоивших данный прием;
n - количество одноименных приемов (операций) в смену;
m - число исследуемых видов приемов;
Ф - фонд рабочего времени одного среднесписочного работника,
дн.
Определяя величину сокращения лишних затрат времени в связи с
внедрением мероприятий по улучшению санитарно-гигиенических и эстетических
условий труда, необходимо руководствоваться данными исследований НИИ труда о
количественной взаимосвязи уровня условий труда и роста его производительности.
Методы расчета, состав и содержание показателей использования
совокупного фонда рабочего времени едины для всех групп работников. Указанные
показатели одновременно характеризует и состояние организации труда на любом
уровне и в любом коллективе.
Следует, однако, подчеркнуть, что эти показатели являются
основными, но не единственными при оценке уровня организации труда. Для полной
и объективной оценки потенциальных возможностей трудового коллектива необходимо
учитывать действие дополнительных показателей социального характера.
Совокупный потенциальный фонд времени по структуре
составляющих его элементов и по их функциональной направленности неоднороден.
Необходимо всячески поощрять рост рациональных затрат, что
должно найти отражение и в оценке организации труда. Для этого рассчитывается
уровень функционального разделения труда Уф.р. на начало и конец исследуемого
периода по формулам:

,
где Т1 - суммарные затраты рабочего времени на непосредственное
преобразование предмета труда (
, ч.;

- потенциальный фонд рабочего времени по всем остальным функциям,
ч.
Затем рассчитывается изменение уровня функционального разделения
труда за рассматриваемый период.
Практическая часть
Практическая часть представлена заданиями, посвященными планированию,
анализу и моделированию трудовых показателей.
Задание 1.
Определить плановую среднемесячную и среднеявочную численность рабочих
цеха.
В течение года цех выпускает прокат, данные приведены в таблице.
|
Показатели
|
Количество,
тонн
|
Трудоемкость 1 т. нормо-час
|
|
Сортовая сталь
Тонколистовая сталь Катанка
|
86000 23000 17000
|
9 10 11
|
Работа выполняется операторами станков, оплачиваемыми сдельно.
В цехе работает вспомогательный персонал с повременной оплатой.
|
Профессии
|
Единиц обслуживания в смену
(субъектов, объектов)
|
Норма обслуживания одним
рабочим в смену
|
|
Кладовщики-раздатчики
инструмента Наладчики
|
По расчету явочной
численности рабочих-сдельщиков и повременщиков 300 станков в смену
|
50 чел. 10 станков
|
При выполнении расчетов следует учесть плановые показатели:
эффективный фонд рабочего времени одного
среднесписочного рабочего -1800час. в год
процент выполнения норм -120%
коэффициент списочного состава -1,13
Цех работает в две смены.
Решение:
1. Расчет численности рабочих-сдельщиков:
1.1 
.2
где

-трудоемкость
единицы продукции i-го вида;

86000*9+23000*10+17000*11=774000+230000+187000=1
191 000н.ч/т
.2

где

-трудоемкость
производственной программы;

-эффективный
фонд рабочего времени 1 среднесписочного рабочего;

-коэффициент
выполнения норм.
.3

=
где

ССЧ
- среднесписочная численность;
СЯЧ
- среднеявочная численность.
2. Расчет численности рабочих-повременщиков
(наладчики):
где n-количество Единиц обслуживания в
смену;

-норма
обслужив;
S-количество
смен.

=60*1,13=68
чел
3. Расчет численности кладовщиков:

=
4. Сводная таблица:
|
СЯЧ (чел)
|
ССЧ (чел)
|
|
сдельщики
|
488
|
551
|
|
повременщики (налад.)
|
60
|
68
|
|
кладовщики
|
11
|
12
|
Задание 2.
В отчетном году рабочее время распределилось следующим образом:
Отработано, чел/дней 170000
Неявки на работу:
очередные отпуска 13500
отпуска по учебе 2300
отпуска в связи с родами 1500
по болезни 8100
отпуска с разрешения администрации 1100
выходные и праздничные дни 86300
целодневные простои 980
прогулы 270
Календарный день планового и отчетного годов 365 дней
|
вариант
|
8
|
|
Среднесписочная
численность, чел
|
850
|
Составить отчетный и плановый баланс рабочего времени одного
среднесписочного рабочего.
Планируются следующие изменения:
· у 330 рабочих отпуск увеличится на 3 дня;
· отпуска на учебу увеличатся на 12%;
· отпуска по беременности и родам увеличатся на 5%;
· неявки по болезни сокращаются на 15%;
· отпуска с разрешения администрации в плане не учитываются.
Определить рост производительности труда (Пт) в связи с увеличением
эффективного фонда рабочего времени, экономию численности и изменение
коэффициента списочного состава в анализируемые периоды.
Решение:
1. Отчетный период:
Очередные
отпуска=
Отпуска
по учебе=
Отпуска
в связи с берем. и родами=
дня
Отпуска
по болезни=
Отпуска
с разреш. админ=
Выходные
и праздничные дни=
Целодневные
простои=
Прогулы=
2. Планируемый период:
Очередные
отпуска=
Отпуска
по учебе=
Отпуска
в связи с берем. и родами=
дня
Неявки
по болезни=
|
Отчетный период
|
Планируемый период
|
|
КФ=365дня
|
КФ=365дня
|
|
НФ=365-101,53=263,47дня
|
НФ=365-101,53=263,47дня
|
|
ЭФ=263,47-32,63=230,84дня
|
ЭФ=263,47-30,03=233,44дня
|
КФ(календарный фонд рабочего времени);
НФ(номинальный фонд)=КФ-праздн.и вых.дни;
ЭФ(эффективный фонд)=НФ-неявки.
. Определение изменения производительности
труда, в связи с изменением эффективного фонда рабочего времени:

*100%
4. Определение экономии численности за счет
изменения эффективного фонда рабочего времени:
. Определение коэффициента списочного состава и
его анализ в динамике:
Вывод: в результате увеличения эффективного
фонда рабочего времени, производительность труда увеличилась на 13%. Экономия
численности составила 10 человек. Неявки составили 0,01.
Задание 3.
Выполнить плановый расчет повышения производительности труда на
предприятии.
Определить плановый уровень производительности труда ППП.
а) Объем производства в базисном периоде - 270000 тыс. руб., численность
работающих - 100000 чел., в т.ч. рабочих-сдельщиков основного производства - 43
%, вспомогательных рабочих с повременной оплатой - 37 %.
б) Планируется:
) Объем производства (по вариантам), тыс. руб.
|
№ варианта
|
Объем
производства,тыс.руб
|
|
8
|
325000
|
) Уровень выполнения норм рабочими-сдельщиками - 110%.
) Эффективный фонд рабочего времени одного среднесписочного рабочего
базисного периода - 1800 час.
в) Планируемое изменение структуры производства по сравнению с базисным
периодом уменьшает численность работников на 60 чел.
г) Проведение мероприятий по повышению технического уровня производства
позволяет снизить:
технологическую трудоемкость рабочих-сдельщиков на 3730000 нормо-час. за
счет механизации ручного труда;
трудоемкость вспомогательных работ за счет механизации
погрузочно-разгрузочных работ на 890000 чел/час.
д) За счет совершенствования организации труда предусматривается:
повысить нормы выработки рабочих-сдельщиков на 10%;
повысить нормы обслуживания рабочих-повременщиков на 20%.
е) Снизить потери от брака с 7% в базисном до 3% в планируемом периоде.
ж) Увеличить эффективный фонд рабочего времени против базисного периода в
расчете на одного среднесписочного рабочего на 50 час.
з) В базовом периоде условно-постоянный персонал составил 25000 чел. По
мере увеличения объема производства на 1% численность этого персонала
увеличивается на 0,5%.
Решение:

=
1. Планирование изменения объема производства:

100=
20,4%
2. Производиться оценка возможного изменения
численности по отношению к расчетной численности:

120370
чел.
3. Проводятся мероприятия по снижению
трудоемкости и выявлению непроизводственных затрат рабочего времени.
Мероприятия по экономии численности за счет:
.1 Экономия численности за счет механизации
ручного труда рабочих-сдельщиков:

технологическая
трудоемкость рабочих-сдельщиков;

эффективный
фонд рабочего времени 1 среднесписочного рабочего;

−коэффициент
выполнения норм.
3.2 Экономия численности за счет механизации
погрузочно-разгрузочных работ вспомогательных рабочих:

=
3.3 Экономия численности за счет повышения норм
выработки рабочих-сдельщиков:
3.4 Экономия численности за счет повышения норм
обслуживания рабочих-повременщиков:
.5 Экономия численности за счет снижения брака:
3.6 Экономия численности за счет увеличения
эффективного фонда рабочего времени:
.7 Экономия численности за счет увеличения объема
производства:
. Расчет общей экономии численности:


5. Расчет изменения производительности труда, за
счет проведения мероприятий:
6. Расчет изменения производительности труда за
счет изменения каждого фактора:
7. Расчет доли экономии численности от каждого
мероприятия:
Проверка:

=0,0862+0,0226+0,2153+0,339+0,0977+0,1191+0,1167=0,9966≈1
Вывод:
Рост производительности труда за счет внедрения мероприятий по
экономии численности составил 22,2%. Наибольшая доля влияния мероприятия по
экономии численности на производительность труда рабочих - повременщиков за
счет увеличения норм обслуживания составила - 33,9%.
Задание 4.
. Определить плановый прямой фонд заработной платы рабочих-сдельщиков и
рабочих-повременщиков раздельно и суммарно (в целом) по показателям:
Работы, выполняемые рабочими-сдельщиками
|
Изделия
|
Количество по плану на год,
шт.
|
Комплексная сдельная
расценка, руб. за ед.
|
|
А Б В Г
|
700 150 400 380
|
650 375 280 960
|
Плановая численность рабочих-повременщиков по вариантам:
|
Вариант
|
8
|
|
Рабочие 2-го разряда
|
150
|
|
Рабочие 3-го разряда
|
210
|
Эффективный фонд рабочего
времени (плановый) 1800 час. 230 дней в год
плановый уровень выполнения норм 120%
. Определить плановый часовой фонд заработной платы при условии, что
положением о премировании предусмотрено начисление премии сдельщикам в размере
10% прямого заработка, 20 % рабочих заняты во 2-й смене (с 16 до 24 час.).
Другие выплаты в структуре часового фонда не планируются.
. Определить дневной фонд заработной платы при условии, что предусмотрены
доплаты подросткам. На предприятии работают 2 подростка, эффективный фонд
рабочего времени каждого подростка составил 900 часов в год. Доплаты до
эффективного фонда рабочего времени рабочего должны исчислятся из расчета
часовой тарифной ставки 2-го разряда.
. Определить годовой фонд заработной платы при условии, что доплаты по
районному коэффициенту к дневному фонду заработной платы - 15%, средняя
продолжительность очередных и дополнительных отпусков - 28 календарных дней, на
выполнение гособязанностей с сохранением заработной платы в среднем каждый
рабочий тратит - 0,5 дня, прочие доплаты в структуре годового фонда составляют
1 процент к дневному фонду с учетом районного коэффициента.
Примечание:
а) тарификацию применять соответственно расчетам, выполненным в задании
1;
б) коллективным договором предусмотрены доплаты за работу в ночное время
в размере 0,40 часовой тарифной ставки за каждый час соответствующей работы;
в) расчет заработной платы производить из условия применения тарифной
сетки (для государственных предприятий).
|
Разряд
|
1
|
2
|
3
|
4
|
5
|
6
|
7
|
8
|
|
Кт
|
1,0
|
1,04
|
1,143
|
1,27
|
1,41
|
1,56
|
1,71
|
1,89
|
Часовая тарифная ставка 1-го разряда исходя из МРОТ равного 5205 рублей в
месяц. Среднее число рабочих часов в месяц - 169,1 часа.
Решение:
1. Расчет прямого фонда оплаты труда:
руб
.2 

=30,78*1,04=32,0112
руб.

30,78*1,143=35,181
руб.

21941442
руб.
2. Расчет часового фонда оплаты труда:
где d-доля
рабочих, работающих в ночную смену;
%допл - процент доплат за ночное время.

=23 483
593, 34 руб.
3. Расчет дневного фонда оплаты труда:
3.1

где,

4. Расчет годового фонда оплаты труда:
4.1

=
.2

=
.3

.4

27072395,53*0,01=270
723,96 руб.
Вывод: ФЗПпрям=22929492 руб, ФЗПчас=23483593,34
руб,
ФЗПдн=23541213,5 руб, ФЗПгод=31227742,42руб.
Задание 5.
Определить влияние факторов, оказывающих влияние на величину фонда
заработной платы (ФЗП):
- численность работников обоих разрядов (для варианта 7-9);
Степень влияния рассчитывать по варьируемым величинам, изменение которых
проходит с интервалом 2%.Число интервалов должно быть не менее пяти.
Предлагается использовать модель для расчета влияния трудовых факторов на
величину ФЗП.
где ФЗПСД
- фонд заработной платы сдельщиков;
ФЗППОВР
- фонд заработной платы повременщиков.
,
где N -
число выпускаемых видов изделий;
Рсд
- расценка сдельная на единицу i-ого вида продукции;
Q - объем
производства i-ого вида продукции.
,
где М
- число j-ых разрядов, присвоенных работникам;
Тэфф
- эффективный фонд рабочего времени;
Тсч
- тарифная ставка часовая;
Т
к-т - тарифный коэффициент j-ого разряда;
Ч
- численность работников j-ого разряда.
Следует рассчитать и ФЗП с учетом районного коэффициента:
,
где Кт прем - коэффициент премирования, %.
Следует рассчитать и ФЗП с учетом районного коэффициента
,
где Кт район - коэффициент районирования, %.
Значение показателей следует использовать из задания 4 курсовой работы
соответствующего варианта.
Полученные результаты свести в таблицу, на её основе построить графики и
сделать соответствующие выводы.
Решение:
Расчет производиться в программе Microsoft Excel.
|
% премирования
рабочих-сдельщиков
|
ФОТсд
|
ФОТ поврем
|
ФОТ с премией
|
ФОТ с районным
коэффициентом
|
IФОТ с рк
|
|
|
1,1
|
988050
|
21941442
|
23028297
|
26482541,55
|
_
|
10%
|
|
1,12
|
988050
|
21941442
|
23048058
|
26505266,7
|
1,001
|
12%
|
|
1,14
|
988050
|
21941442
|
23067819
|
26527991,85
|
1,001
|
14%
|
|
1,16
|
988050
|
21941442
|
23087580
|
26550717
|
1,001
|
16%
|
|
1,18
|
988050
|
21941442
|
23107341
|
26573442,15
|
1,001
|
18%
|
|
1,2
|
988050
|
21941442
|
23127102
|
26596167,3
|
1,001
|
20%
|
Построение графика, на основе таблицы:
Вывод: из-за увеличения процента премирования
рабочих-сдельщиков на 2%, фонд оплаты труда с районным коэффициентом увеличился
на 0,1%.
Задание 6.
Произвести анализ трудовых показателей предприятия исходя из условий (таблица)
. Анализ производительности труда.
.1. Оценка уровня и динамики показателей производительности труда.
.2. Анализ изменения рабочего времени, структуры персонала, анализ
взаимосвязей показателей производительности труда
.3. Оценка влияния трудовых факторов на изменение объема производства.
. Анализ использования средств на оплату труда.
.1. Анализ изменения фонда заработной платы
.2. Оценка фонда заработной платы в системе скорректированных
показателей.
.3. Оценка затрат заработной платы на тысячу рублей произведенной
продукции.
.4 Определение средней заработной платы по всем категориям персонала
.5. Оценка влияния трудовых факторов (численности и средней заработной
платы) на изменение фонда заработной платы.
.6. Оценка изменения структуры фонда заработной платы рабочих.
. Оценка соотношения между темпами роста производительности труда и
средней заработной платы промышленно-производственного персонала.
|
Исходные данные формы 2-т
|
|
|
8
|
|
Базисный Год 0
|
Текущий Год 1
|
|
1. Среднесписочная
численность промышленно-производственного персонала (ППП), чел. из них:
рабочих служащих 2. Отработано рабочими чел. дней чел. час 3. Фонд оплаты
труда ППП, тыс.руб. из них: служащих рабочих в т.ч. прямой фонд доплаты в
структуре часового фонда дневного фонда годового фонда 4. Объем продукции (в
сопоставимых ценах), тыс.руб.
|
7063 6004 1059 1344896
9817741 161664 18896 142768 105648 17132 1428 18560 593716
|
6885 5809 1076 1312834
9321121 159571 20131 139440 101791 18127 1116 18406 655383
|
Решение:
1. Анализ производительности труда:
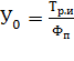
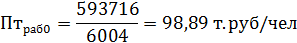
.1 Расчет производительности труда для ППП:

=11,13
т.руб/чел
Производительность труда промышленно - производственного персонала
в отчетном году повысилась на 11,13 тыс. рублей на единицу промышленно -
производственного персонала, что составило 13%.
1.2
Расчет производительности труда для рабочих:

13,93
т.руб/чел
В отчетном году производительность труда увеличилась на 13,93
тыс.рублей на одного рабочего, что составило на 14,09% выше по сравнению с
базисным годом.
.3
Расчет дневной производительности труда:

0,05
т.руб на чел-дни
Производительность труда повысилась на 0,05 тыс.рублей на один
человеко-дней, что выше на 13,08% по сравнению с базисным годом.
1.4 Расчет часовой производительности труда:

0,01
т.руб на чел-час
В отчетном году производительность труда часовая повысилась на
16,6% по сравнению с базисным годом, что составило на 0,01 тыс.рублей на один
человеко-час.
1.5 Расчет годового фонда рабочего времени:
Д=

2 дня
В отчетном году по сравнению с базисным увеличился годовой фонд
рабочего времени одного рабочего на 1%, что составило 2 дня.
1.6 Расчет времени смены:
t=

-0,21
В отчетном году по сравнению с базисным продолжительность рабочего
дня в часах снизилась на 3%, что составило 0,2 часа в день.
1.7 Расчет доли рабочих:

-0,01
В отчетном году удельный вес рабочих в общей численности
промышленно - производственного персонала по сравнению с базисным снизился на
2%, что составило 0,01 доля рабочих от общей численности ППП.
2. Факторный анализ:
Q=
2.1 
Под влиянием численности промышленно - производственного персонала
объем производства уменьшился на 14669,7 тыс. рублей.
.2


т. руб
Под влиянием удельного веса рабочих в общей численности ППП объем
производства снизился на 6755,01 тыс.рублей.
.3


т. руб
Под влиянием годового фонда рабочего времени в днях на единицу
рабочего объем производства увеличился на 5066,26 тыс. рублей.
2.4

Под влиянием продолжительности рабочего дня объем производства
снизился на 16468,81 тыс. рублей.
.5

-
)
Под влиянием часовой производительности труда объем производства
повысился на 92669,73 тыс.рублей.
Проверка:

=
=655383-593716=61667
т.руб

=
+
+
=59842,47
т. руб
.6
Определим связь показателей производительности труда
через индексы:

*It
,113=1,167*0,971
,113=1,113
1,132=1,140921*0,9925
,132=1,132
1,141=1,130841*1,0088
,141=1,141
3. Этапы анализа:
.1 Определение абсолютного и относительного отклонения
ФЗП, в целом по предприятию и по категориям:

=159571-161664=-2093
т.руб
Фонд заработной платы промышленно -
производственного персонала в отчетном году снизился на 2093 тыс. руб., что
составило 1,3%.
Фонд заработной платы служащих в отчетном
году увеличился на 1235 тыс. руб., что составило 6,5 %.

т.руб
Фонд заработной платы рабочих в отчетном
году снизился на 3328 тыс. руб., что составило 2,4%.
IФЗП=
I
I
I
.2
Определение изменения ФЗП в системе скорректированных показателей, с учетом
объективных и субъективных факторов:

=159571-178477,06=-18906,06 т.руб.
Фонд заработной платы промышленно - производственного персонала в
системе скорректированных показателей в отчетном году снизился на 18906,06 тыс.
руб., что составило 10,6%.

=20131-20861,2=-730,2 т.руб.
Фонд заработной платы служащих в системе
скорректированных показателей в отчетном году снизился на 730 тыс. руб., что
составило 3,5%.

=139440-157615=-18175,9 т.руб.
Фонд заработной платы рабочих в системе
скорректированных показателей в отчетном году снизился на 18175,9 тыс. руб.,
что составило 11,5%.
3.3 Определение затрат заработной платы на 1 рубль
произведенной продукции:
З=
В
1 рубле произведенной продукции 27 коп. - затраты на заработную плату.
В
1 рубле произведенной продукции 24 коп. - затраты на заработную плату.
.4
Определение средней заработной платы всего персонала и по категориям, в текущем
периоде и в системе скорректированных показателей:
Категории работников Скорректированный период (0) Отчетный
период (1) Абсолютное отклонение
Относительное
|
отклонение, I
|
|
|
|
ППП
|
25,269
|
23,18
|
-2,1
|
0,917
|
|
Служащие
|
19,698
|
18,71
|
-0,99
|
0,949
|
|
Рабочие
|
26,252
|
24,00
|
-2,3
|
0,914
|
Скорректированный период:

руб.
Отчетный
период:

руб
.5
Оценка влияния трудовых факторов (численности и средней заработной платы) на
изменение фонда заработной платы:
Факторный
анализ:
Под
влиянием численности промышленно-производственного персонала фонд заработной
платы снизился на 4497,88 руб.
Под
влиянием численности рабочих фонда заработной платы снизился на 5119,14 руб.

Под
влиянием численности служащих фонд заработной платы увеличился на 334,87 руб.
Под
влиянием средней заработной платы промышленно-производственного персонала фонд
заработной платы снизился на 14382,77 руб.

=5809*(24,00-26,252)=-13081,87 руб.
Под
влиянием средней заработной платы рабочих фонд заработной платы снизился на
13081,87 руб.

служ=1076*(18,71-19,698)=-1063,09
руб.
Под
влиянием средней заработной платы служащих фонд заработной платы снизился на
1063,09 руб.
Проверка:
.6
Оценка структуры ФЗП:
d=
I
Фонд заработной платы прямой в отчетном
году, по сравнению с базисным, снизился на 1,4%.
I
Фонд заработной платы часовой в отчетном
году, по сравнению с базисным, увеличился на 8,3 %.
I
Фонд заработной платы дневной в отчетном
году, по сравнению с базисным, снизился на 20%.
I
Фонд заработной платы годовой в отчетном
году, по сравнению с базисным, увеличился на 15%.
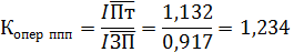
3.7 Оценка изменения себестоимости из-за сложившегося
отношения между темпами роста производительности и темпами роста средней
заработной платы:

т.р/ед.прод
Коэффициент
опережения (1,234) 

из-за
сложившегося отношения между темпами роста производительности и темпами роста
средней заработной платы.
Заключение
Таким
образом, в первой главе курсовой работы раскрыта сущность модели организации
труда. Представлены требования, предъявляемые к моделям. Так же раскрыты модели
организации труда: математическая модель (процесс
установления соответствия реальному объекту некоторого набора математических
символов и выражений) и словесная модель.
Выбор
этих моделей обусловлен тем, что для управленческой
деятельности, особенно в процессе принятия решений, наиболее полезны модели,
которые выражаются словами или формулами, алгоритмами и иными математическими
средствами.
Математические модели наиболее удобны для исследования и
количественного анализа, позволяют не только получить решение для конкретного
случая, но и определить влияние параметров системы на результат решения.
Во второй главе работы проведен анализ факторов, оказывающих
влияние на уровень организации труда. К ним относятся:
- явные и скрытые внутрисменные потери рабочего времени;
потеря рабочего времени в связи с несовершенством разделения
и кооперации труда;
недостатки в организации рабочего места, в его оснащении,
планировке и обслуживании.
Рациональность использования совокупного фонда времени
зависит также от квалификационного уровня работников. Чем выше квалификация,
тем при прочих равных условиях выше выработка работника а единицу рабочего
времени.
В практической части курсовой работы выполнен расчет заданий
по планированию, анализу
и моделированию трудовых показателей. По каждому из заданий сделан вывод.
Список литературы
1.
Авилов А.В. Рефлексивное управление. Методологические основания. - М., 2003. -
167 с.
.
Бережная Е.В., Бережной В.И. Математические методы моделирования экономических
систем: Учеб. пособие. - М., 2008. - 386 с.
.
Блюмгардт А. Модели корпоративного управления. - Киев: Наук. думка, 2010. - 157
с.
.
Болтянский В.Г. Математические методы оптимального управления. - М., 1969. -
121 с.
.
Большаков А.С. Моделирование в менеджменте: Учеб. пособие. - М., 2007. - 464 с.
.
Гончаров В. В. Менеджмент в рамках основных фаз управленческого цикла. - М.,
2008. - 232 с.
.
Друкер П.Ф. Задачи менеджмента в XXI веке. - М., 2001. - 546 с.
.
Кузин Б.И., Юрьев В.Н., Шахдинаров Г.М. Методы и модели управления фирмой:
Учеб. для вузов. - СПб., 2011. - 432 с.
.
Мескон М.Х., Альберт М., Хедоури Ф. Основы менеджмента/ Пер. с англ. - М.,
2002. - 764 с.
.
Неуймин Я.Г. Модели в науке и технике. История, теория, практика. - Л., 1984. -
190 с.
.
Орлов А.И. Менеджмент. - М., 2003. - 368 с.
.
Репин В.В., Елиферов В.Г. Процессный подход к управлению: Моделирование
бизнес-процессов. - М., 2005. - 2-е изд. - 404 с.
.
Родина Л.А Формирование модели информационного обеспечения управленческой
деятельности. - СПб., 2009. - 229 с.
.
Рубцов С.В. К вопросу о построении общей теории менеджмента // Менеджмент в
России и за рубежом. - 2008. - № 6. - С. 19-25.