Статистико-экономический анализ растениеводства
КУРСОВАЯ РАБОТА
Статистико-экономический
анализ растениеводства
Введение
Растениеводство - одна из основных
отраслей сельскохозяйственного производства. Для удовлетворения потребления
населения в продовольствии в растениеводстве должен быть обеспечен значительный
рост среднегодового валового сбора зерна, повышена урожайность зерновых
культур, увеличено производство других основных видов сельскохозяйственной
продукции.
На территории нашей страны этой
отрасли присущи закономерности, определяющиеся социально-экономическими и
естественноисторическими особенностями:
растениеводство базируется на
различных формах собственности;
растениеводство, как отрасль
сельского хозяйства, отличается от других отраслей тем, что здесь в качестве
главного, незаменимого средства производства выступает земля;
в растениеводстве экономический
процесс воспроизводства неизменно переплетается с природным, естественным
процессами. Поэтому большая роль в производстве принадлежит естественным
факторам.
В связи с этими особенностями
производства, как отрасли сельского хозяйства, важной задачей статистики
растениеводства является совершенствование системы статистических показателей и
методов собирания их, проверки достоверности статистических данных и глубокого
экономико-статистического анализа состояния и развития производства.
Статистика растениеводства изучает
площади и структуру посевов, валовые сборы, урожайность сельскохозяйственных
культур, агротехнику.
Целью курсовой работы является
изучение изменения численности скота и воспроизводства стада, на примере
Краснозоренского района.
С этой целью используются:
группировки как метод статистического исследования, корреляционный и
дисперсионный методы, индексный анализ, построение и анализ рядов динамики,
анализ вариационных рядов, абсолютные, относительные и средние величины,
монографический, табличный, графический методы.
Предмет курсовой работы: показатели
животноводства.
Объект: сельскохозяйственные
предприятия Краснозоренского района.
Основными задачами
курсовой работы являются:
Источниками информации являются:
данные годовых отчетов сельскохозяйственных предприятий, учебные пособия,
периодическая литература, интернет-ресурсы.
1. Система показателей
отрасли растениеводства
статистический
прогнозирование растениеводство
Статистика растениеводства включает
статистику посевных площадей, статистику многолетних насаждений, статистику
агротехнических мероприятий, статистику валового сбора и урожайности, каждая из
которых содержит систему статистических показателей, характеризующих
количественными показателями все явления и процессы, происходящие в
растениеводстве.
Показатели размера посевных
площадей, учетные категории посевных площадей и их экономическое значение.
Посевная площадь - это площадь, на
которую после той или иной обработки были высеяны семена, которая занята
посевами или убрана. Выращивание культур - это длительный процесс,
предполагающий, уход за посевами, уборку. Посевная площадь характеризует этот
процесс с двух сторон: площадь, обработанная (засеянная или убранная) за
определенный период; площадь физическая, занятая посевами на определенный
момент времени (конце сева, начало уборки и т.д.). [16]
На практике применяется ряд
показателей размера посевов, так называемых категорий посевных площадей:
обсемененная, весенняя продуктивная, уборочная и убранная.
Обсемененная - площадь, на которую
высеяны семена. Определяется обычно за календарный год и под урожай текущего
года. Включает в себя все виды посевов: основные озимые и яровые, промежуточные
(до основной культуры), пожнивные или повторные (после уборки основной),
подпокровные посевы трав, по погибшим озимым и многолетним травам, в
междурядьях пропашных культур (уплотняющие посевы), садов и ягодников,
предварительных культур на улучшаемых садах и пастбищах, посевы на зеленое
удобрение. Этот показатель имеет повторный счет и может быть больше физических
размеров земельных угодий.
Весенняя продуктивная - площадь,
занятая продуктивными посевами до окончания весеннего сева яровых культур.
Подводит итоги озимого и ярового сева, не имеет повторного счета, на нее
рассчитывается ожидаемый урожай. Включает все сохранившиеся посевы озимых и
многолетних трав посева прошлых лет, яровые посевы на самостоятельной площади.
Посевы на зеленое удобрение, не дающие готовой продукции, обычно в нее не
включаются. Осенью весенняя продуктивная площадь уточняется. Показатель
является основным при расчете урожайности культур.
Уборочная - площадь, подлежащая
уборке. Моментный уровень бесповторного счета, меньше весенней продуктивной на
летнюю гибель посевов и размеров, не убираемых площадей (используемых для
выпаса и др.). Необходима для организации и контроля уборки.
Убранная - размер фактически
убранных площадей всех культур. Определяется двояко: с включением убранных
посевов всех видов (промежуточных, основных, повторных) или основных, вошедших
в весеннюю продуктивную площадь. [16]
Размеры посевных площадей
учитываются по отдельным культурам с подразделением площади в зависимости от
назначения и хозяйственного использования продукции. Размеры определяются не
только в целом, но и по группе культур, что позволяет получать показатели
структуры виде долей, процентов, промилле или коэффициенты координации. Группы
культур выделяют по стандартным классификациям и отдельно по существенным для
хозяйственной практике признакам.
По характеру конечного использования
посевную площадь каждой культуры и в целом можно разделить на: семенную,
предназначенную для получения семян на всю площадь посева; продовольственную,
используемую для производства продуктов питания населения; товарную - для
реализации продукции; кормовую, или фуражную - для получения кормов.
Системы статистических показателей,
характеризующих распределение, уровни, качество, комплексность и эффективность
агротехнических мероприятий и многолетних насаждений.
Главным условием повышения
урожайности и увеличения валовых сборов сельскохозяйственных культур является
внедрение в хозяйствах научно-обоснованной системы мероприятий по земледелию.
Под агротехникой понимается система
приемов возделывания сельскохозяйственных культур с целью получения высоких и
устойчивых урожаев, повышения плодородия почвы, уменьшения затрат на
производство продукции. Основными задачами статистики агротехнических
мероприятий являются: учет их объема, контроль за их применением, изучение
влияния отдельных мероприятий и их комплекса на урожайность, изучение
экономической эффективности применяемых агротехнических мероприятий. [15]
Рассмотрим основные показатели
уровня агротехники.
Показатели обеспеченности посевов
парами, зябью определяются процентным отношением площади чистого пара к площади
посева озимых и отношением площади, вспаханной с осени по яровые, к фактически
засеянной весной, без учета пересева погибших озимых.
Показатели соблюдения сжатых сроков
работы: проведение сева и уборки урожая в сжатые сроки имеют большое значение
для повышения урожайности, в деле уменьшения потерь урожая. Показатели
продолжительности работ сравнивают с оптимальными сроками, с прошлым периодом.
К основным относятся показатели
сортовых посевов и качества семян. К показателям сортовых посевов относятся:
процент сортовых посевов в общей посевной площади, удельный вес посевов
отдельных сортов в общей площади данной культуры, размещение сортовых посевов.
[16]
Для получения высоких урожаев
необходимо высевать семена, которые по чистоте, всхожести, хозяйственной
годности, натуре, влажности и другим показателям отвечают требованиям семенного
стандарта.
Показателем чистоты семян является
процентное отношение веса чистых семян к общему весу взятой пробы. Всхожесть
определяется процентным отношением количества взошедших семян к общему
количеству высеянных семян взятой пробы.
Для определения хозяйственной
годности семян процент чистоты умножают на всхожесть, и произведение делят на
100. Влажность определяется процентным отношением веса воды в семенах к общему
их весу. [12]
Для характеристики применения
удобрений применяют следующие показатели: общее количество поступивших
удобрений; количество органических удобрений, произведенных в
сельскохозяйственном предприятии; общее количество всех удобрений, внесенных в
почву под урожай текущего года; распределенное количество удобрений под посев
различных культур; экономическая эффективность внесенных в почву органических и
минеральных удобрений.
Показатели урожая и урожайности.
Урожай - это сбор продукции со всей
площади посева (валовой сбор). Под урожайностью понимают количество продукции с
гектара посева. Точное определение урожайности сельскохозяйственных культур
возможно только после завершения уборки урожая, однако для планирования, для
организации уборочных работ, для решения вопросов распределения урожая
необходимо заблаговременно получить данные об ожидаемом валовом сборе и
урожайности. Для этой цели статистика исчисляет следующие показатели.
Видовой урожай - это ожидаемый
урожай при данном конкретном состоянии посева и предположение о том, что
условия выращивания культуры будут нормальными. Он определяется
работниками-специалистами путем глазомерной экспортной оценки на основе учета
состояния растения, из внешнего вида, густоты, развитости, состояния. С
развитием космонавтики состояние посевов и видовой урожай стали оценивать
методом космического зондирования. Это принципиально новый путь получения
статистических показателей для больших территорий.
Урожай на корню перед своевременной
уборкой - это выращенный реально-существующий урожай, но еще не убранный, т.е.
биологический процесс формирования завершен, а экономический еще нет. В
хозяйственной практике этот показатель определяется экспертно, а также
инструментально (чаще всего путем контрольного обмолота).
Фактический урожай - это валовой
сбор или амбарный урожай. Определяют путем непосредственного взвешивания и
подсчет продукции в период уборки и ее завершения.
Различают три показателя фактической
урожайности:
в первоначально-оприходованном весе,
полученном в процессе уборки, т.е. с примесью сорняков и т.д.;
в весе после доработки за вычетом
отходов и усушки;
чистый сбор урожая - это фактический
сбор за минусом израсходованных семян на этот урожай.
Чистый сбор важен для сопоставления
урожая и урожайности культур с большим и малым расходом семян на 1 га посева.
Урожайность рассчитывается для каждой культуры отдельно по основной и побочной
продукции, по основной сопряженной продукции, а также на основную продукцию.
[5]
Таким образом, статистические
показатели выполняют ряд функций и прежде всего познавательную и
управленческую. Познавательная функция заключается в том, что статистические
показатели характеризуют состояние и развитие изучаемых явлений, направление и
интенсивность процессов. Суть управленческой функции состоит в том, что
показатели являются важнейшим элементом процесса управления.
2. Установление
тенденции динамики пашни, расчёт уровня колеблемости и прогнозирование выхода
продукции растениеводства на 100 га пашни
Одной из важнейших задач статистики
является изучение изменений анализируемых показателей во времени, то есть их
динамика. Эта задача решается при помощи анализа рядов динамики.
Ряд динамики - это числовые значения
определенного статистического показателя в последовательные моменты или периоды
времени (т.е. расположенные в хронологическом порядке).
Ряд динамики состоит их двух
элементов:
время, которое может быть
представлено периодами или конкретными датами (момент времени);
уровень ряда характеризует размер,
величину признака на определенную дату или за период (члены динамического
ряда). [9]
Ряды динамики классифицируются по
следующим основным признакам:
1. По времени - ряды моментные
и интервальные (периодные), которые показывают уровень явления на конкретный
момент времени или на определенный его период. Сумма уровней интервального ряда
дает вполне реальную статистическую величину за несколько периодов времени,
например, общий выпуск продукции, общее количество проданных акций и т.п.
Уровни моментного ряда, хотя и можно суммировать, но эта сумма реального
содержания, как правило, не имеет. Так, если сложить величины запасов на начало
каждого месяца квартала, то полученная сумма не означает квартальную величину
запасов.
2. По форме представления - ряды
абсолютных, относительных и средних величин.
. По интервалам времени -
ряды равномерные и неравномерные (полные и неполные), первые из которых имеют
равные интервалы, а у вторых равенство интервалов не соблюдается.
. По числу смысловых
статистических величин - ряды изолированные и комплексные (одномерные и
многомерные). Первые представляют собой ряд динамики одной статистической
величины (например, индекс инфляции), а вторые - нескольких (например,
потребление основных продуктов питания). [4]
Задача статистики заключается в том,
чтобы выделить путем анализа однородные этапы развития изучаемого явления,
установить свойственные им закономерности, охарактеризовать их при помощи
статистических показателей. Для этой цели исчисляются следующие показатели динамики:.
Абсолютные показатели динамики:
Абсолютный прирост (снижение) -
характеризует изменение уровня конкретного года по сравнению с уровнями,
принятыми за базу сравнения:
цепной способ:

(2.1)
где
- сравниваемый уровень ряда;
-
предшествующий уровень ряда.
базисный способ:

, (2.2)
где
-
уровень ряда, принятый за базу сравнения.. Относительные показатели динамики:
. Относительные
показатели ряда:
Темп роста:
цепной:
(2.3)
базисный:
(2.4)
Темп роста или снижение
показывает, во сколько раз увеличивается или уменьшается по сравнению с
показателями предыдущего года. Цепной темп роста показывает, во сколько текущий
уровень ряда динамики меньше (больше) предыдущего. Базисный темп роста
показывает, во сколько текущий уровень ряда динамики меньше (больше)
начального.
Темп прироста:
цепной:
(2.5)
базисный:
(2.6)
Темп прироста
характеризует прирост или снижение отдельных показателей текущего периода по
сравнению с базисным или предыдущим.
III.
Абсолютное значение 1% прироста определяется отношением абсолютного прироста к
темпу прироста и только цепным способом. [6]

(2.7)
Среднегодовые показатели
динамики.
Среднегодовой абсолютный
прирост (снижение) - показывает на сколько единиц увеличился или уменьшился уровень
показателя по сравнению с базисным уровнем в среднем за единицу времени:

= 
, (2.8)
где
- среднегодовой
абсолютный прирост;
Yn
- конечный уровень ряда;
Y0
- начальный уровень ряда;
n - число периодов.
Среднегодовой темп
роста:

= 
* 100% (2.9)
Среднегодовой темп
прироста:

(2.10)
Построим параллельные
динамические ряды по выходу продукции растениеводства на 100 га пашни и
рассчитаем среднегодовые показатели динамики. Результаты расчетов представим в
таблице 1.
Таблица 1 - Динамика
выхода продукции растениеводства на 100 га пашни в Краснозоренском (ЗАО
Успенское) и Новодеревеньковском (ООО «Золотой колос») районах Орловской
области
|
Годы
|
Выручка от реализации продукции растениеводства, тыс. руб.
|
Площадь пашни, га
|
Размер выручки от реализации продукции растениеводства, тыс.
руб. / га
|
|
2004
|
6396
|
5244
|
121,96
|
|
2005
|
986
|
5244
|
18,81
|
|
2006
|
2732
|
2957
|
92,39
|
|
2007
|
6675
|
5228
|
127,6
|
|
2008
|
8960
|
5147
|
174,08
|
|
2009
|
29580
|
5147
|
574,71
|
|
2010
|
20625
|
2876
|
7,17
|
|
2011
|
35635
|
4841
|
926,42
|
|
2012
|
84049
|
5545
|
1515,76
|
|
Среднегодовой абсолютный прирост, тыс. руб.
|
8638,11
|
33,44
|
154,86
|
|
Среднегодовой темп роста, %
|
138
|
101
|
136
|
По формулам (2.8), (2.9) и (2.10)
рассчитаем среднегодовой абсолютный прирост и среднегодовой темп роста для всех
показателей. Из таблицы видно, что выручка от реализации продукции растениеводства
за период с 2004-2012 годы в среднем увеличилась на 8638,11 тыс. руб., однако
динамика выручки является нестабильной, с 2004-2006 годы выручка уменьшалась, а
с 2007 года наблюдается увеличение, площадь пашни возросла на 33,44 га, а
размер выручки от реализации продукции растениеводства увеличился на 154,86
тыс. с га. Наибольший размер выручки от реализации продукции растениеводства
наблюдается в 2012 году, а наименьший в 2005 году.
Для анализа динамики выручки от
реализации продукции растениеводства в Краснозоренском и Новодеревеньковском
районах Орловской области произведем расчет цепных и базисных показателей
динамики по формулам (2.1) - (2.7): абсолютного прироста, темпа роста и темпа
прироста, а так же абсолютное значение 1% прироста. Результаты расчетов
представим в таблице 2.
Таблица 2 - Показатели динамики
выручки на 100 га с/х угодий
|
Годы
|
Размер выручки от реализации продукции растениеводства, тыс.
руб. / га
|
Абсолютный прирост, тыс. га
|
Темп роста, %
|
Темп прироста, %
|
Абсолютное значение 1%
|
|
|
|
|
|
|
|
|
|
|
|
|
|
|
цепной
|
базисный
|
цепной
|
базисный
|
цепной
|
базисный
|
|
|
2004
|
121,96
|
-
|
-
|
-
|
-
|
-
|
-
|
-
|
|
2005
|
18,81
|
-103,15
|
-103,15
|
15,42
|
15,42
|
-84,58
|
-84,58
|
1,22
|
|
2006
|
92,39
|
73,58
|
-29,57
|
491,17
|
75,75
|
391,17
|
-24,25
|
0,19
|
|
2007
|
127,6
|
35,21
|
5,64
|
138,11
|
104,62
|
38,11
|
4,62
|
-
|
|
2008
|
174,08
|
46,48
|
52,12
|
136,43
|
142,74
|
36,43
|
42,74
|
1,28
|
|
2009
|
574,71
|
400,63
|
452,75
|
330,14
|
471,23
|
230,14
|
371,23
|
1,74
|
|
2010
|
7,17
|
-567,54
|
-114,79
|
1,25
|
5,88
|
-98,75
|
-94,12
|
-
|
|
2011
|
926,42
|
919,25
|
804,46
|
12920,78
|
759,61
|
12820,78
|
659,61
|
0,07
|
|
2012
|
1515,76
|
589,34
|
1393,8
|
163,61
|
1242,83
|
63,61
|
1142,83
|
-
|
Анализируя данные таблицы, можно
сделать вывод о том, что цепные показатели динамики имеют как положительную,
так и отрицательную тенденцию роста. Высокий размер выручки от реализации
продукции растениеводства отразился в 2009 году и составил 1515,76 тыс. руб.
Абсолютное значение 1% прироста наблюдается в годах с положительной тенденцией
роста.
Наиболее точный способ выявления
тенденций изменения значений признака в динамическом ряду - это аналитическое
выравнивание способом наименьших квадратов. При выравнивании таким способом
подбирается математическое уравнения. Выбор математического уравнения отражает
основную тенденцию динамики. Если наблюдается небольшая колеблемость значений
признаков в ряду, то применяется уравнение прямой линии:

= а+ b
t,
(2.13)
где 
- теоретический уровень
ряда;
а - свободный член
уровня, который соответствует уровню ряда для года, принятого за базу отчета;-
среднегодовой абсолютный прирост в теоретическом ряду;- время.
Если же уровни ряда
растут или снижаются не равномерно, а с определенным ускорением, то применяем
уравнение параболы второго порядка:

= a + b
t + c
t2, (2.14)
где с - ускорение. [2]
Определим тенденцию
изменения выручки от реализации продукции растениеводства в Краснозоренском и
Новодеревеньковском районах Орловской области за 9 лет.
Результаты расчетов
представлены в таблице 3.
Таблица 3 - Динамика
размера выручки от реализации продукции растениеводства в хозяйстве
Краснозоренского района Орловской области
|
Годы
|
Размер выручки от реализации продукции растениеводства, тыс.
руб./ га
|
Аналитическое выравнивание по уравнению прямой линии
|
|
|
t
|
|
|
|
|
|
|
2004
|
121,96
|
-4
|
16
|
-487,84
|
-176,21
|
311,63
|
97111,18
|
|
2005
|
18,81
|
-3
|
9
|
-56,43
|
-33,30
|
23,13
|
534,92
|
|
2006
|
92,39
|
-2
|
4
|
-184,78
|
109,61
|
294,39
|
86665,47
|
|
2007
|
127,6
|
-1
|
1
|
-127,60
|
252,52
|
380,12
|
144492,48
|
|
2008
|
174,08
|
0
|
0
|
0,00
|
395,43
|
395,43
|
156367,52
|
|
2009
|
574,71
|
1
|
1
|
574,71
|
538,35
|
36,37
|
1322,41
|
|
2010
|
7,17
|
2
|
4
|
14,34
|
681,26
|
666,92
|
444777,84
|
|
2011
|
926,42
|
3
|
9
|
2779,26
|
824,17
|
1955,09
|
3822383,43
|
|
2012
|
1515,76
|
4
|
16
|
6063,04
|
967,08
|
5095,96
|
25968808,32
|
|
Итого
|
3558,9
|
0
|
60
|
8574,70
|
3558,90
|
9159,03
|
30722463,57
|
Рассчитаем параметры уравнения:
а =

395,43 (2.15)
b = 
(2.16)
Следовательно, уравнение
прямой линии выглядит так:

= 395,43 + 142,91
t
За период с 2004-2011
годы выручка от реализации продукции растениеводства в Краснозоренском и
Новодеревеньковском районах Орловской области ежегодно в среднем увеличивалась
на 142,91 тыс. руб. Средний размер выручки за изучаемый период составил 395, 43
тыс. руб.
Рис. 1. Фактический и
теоретический уровни выручки от продажи продукции растениеводства
Для измерения колеблемой
динамического ряда используют систему показателей:
1) Вычислим амплитуду или
размах колебаний:
R
= 
(2.17)
R
= 1515,76 - 7,17=1508,59 тыс. руб.
Таким образом в
Краснозоренском и Новодеревеньковском районах разница между максимальным и
минимальным размером выручки от реализации продукции растениеводства в период с
2004-2012 годы составила 1508,59 тыс. руб.
2) Среднее линейное отклонение:
l
= 
(2.18)
l
=
= 1308,43 тыс. руб.
В период с 2004-2012
годы размер выручки от реализации продукции растениеводства в Краснозоренском и
Новодеревеньковском районах Орловской области отклоняется от уровня Тренда в
среднем на 700,93 тыс. руб.
3) Среднее квадратическое
отклонение:
у = 
(2.19)

= 2094,97 тыс. руб.
Размер выручки от реализации
продукции растениеводства по Краснозоренскому и Новодеревеньковскому районам
Орловской области отклоняется от уровня на 2094,97 тыс. руб.
) Коэффициент колеблемости:
U
= 
* 100% (2.20)
U
=
*100%= 530%
Колеблемость выручки от
реализации продукции растениеводства в Краснозоренском и Новодеревеньковском
районах Орловской области является очень сильной и составляет 530% среднего
многолетнего уровня, т.е. ежегодно размер отклоняется от среднего многолетнего
уровня в среднем на 530%. [9]
Коэффициент ранговой
корреляции Спирмена - это непараметрический метод, который используется с целью
статистического изучения связи между явлениями. В этом случае определяется
фактическая степень параллелизма между двумя количественными рядами изучаемых
признаков и дается оценка тесноты установленной связи с помощью количественно
выраженного коэффициента.
Практический расчет
коэффициента ранговой корреляции Спирмена включает следующие этапы:
) Сопоставить каждому из
признаков их порядковый номер (ранг) по возрастанию (или убыванию).
) Определить разности
рангов каждой пары сопоставляемых значений.
) Возвести в квадрат
каждую разность и суммировать полученные результаты.
) Вычислить коэффициент
корреляции рангов по формуле:

(2.21)
При использовании
коэффициента ранговой корреляции условно оценивают тесноту связи между признаками,
считая значения коэффициента равные 0,3 и менее, показателями слабой тесноты
связи; значения более 0,4, но менее 0,7 - показателями умеренной тесноты связи,
а значения 0,7 и более - показателями высокой тесноты связи. [3]
Результаты расчетов
представлены в таблице 4.
Таблица 4-Расчёт
коэффициента корреляции рангов Ч. Спирмена
|
Годы
|
Размер выручки от реализации продукции растениеводства, тыс.
руб. / га
|
Ранг выручки от продажи продукции P(y)
|
Ранг лет P(л)
|
d=P(y) - P(л)
|
d^2
|
|
|
|
|
|
|
|
2004
|
121,96
|
4
|
1
|
3
|
9
|
|
2005
|
18,81
|
2
|
2
|
0
|
0
|
|
2006
|
92,39
|
3
|
3
|
0
|
0
|
|
2007
|
127,6
|
5
|
4
|
1
|
1
|
|
2008
|
174,08
|
7
|
5
|
2
|
4
|
|
2009
|
574,71
|
6
|
6
|
0
|
0
|
|
2010
|
7,17
|
1
|
7
|
-6
|
36
|
|
2011
|
926,42
|
8
|
8
|
0
|
0
|
|
2012
|
1515,76
|
9
|
9
|
0
|
0
|
|
Итого
|
х
|
х
|
х
|
0
|
50
|
По формуле (2.21) рассчитаем
коэффициент корреляции Спирмена. Он составил 0,584.
Коэффициент корреляции Ч. Спирмена
показывает, что размер выручки от реализации продукции растениеводства в
Орловской области Краснозоренского района имеет рост равный 0,904. Таким
образом, при значительных колебаниях ежегодных уровней по сравнению со средним
за период уровнем в целом наблюдается рост.
Составим точечный прогноз размера
выручки от реализации продукции растениеводства на 2013-2014 годы:

= 395,43+142,91*5=
1109,98 (2.23)

= 395,43+142,91*6=
1252,89 (2.24)
На основании точечного
прогноза размер выручки от реализации продукции растениеводства в
Краснозоренском и Новодеревеньковском районах Орловской области в 2013 году
составит 1109,98 тыс. руб., а в 2014 году - 1252,89 тыс. руб.
Рассчитываем
интегральный прогноз:
U=530%
или 5,3.

=1109,98 + 1109,98
5,3= 6992,87 (2.25)

= 1109,98 - 1109,98
5,3= - 4772,91 (2.26)

= 1252,89 +1252,89 
5,3= 7893, 21 (2.27)

= 1252,89 - 1252,89 
5,3= - 5387,42 (2.28)
Из точечного и
интервального прогнозирования следует, что в дальнейшем среднегодовой размер
выручки от реализации продукции растениеводства в Краснозоренском и
Новодеревеньковском районах Орловской области будет иметь как тенденцию к росту,
так и к спаду. Размер выручки в 2013 году находится в интервале от 4772,91 до
6992,87 тыс. руб., а в 2014 году в интервале от 5387,42 до 7893, 21 тыс. руб.
3. Построение и анализ
вариационного ряда выхода продукции растениеводства на 100 га пашни
Целью статистического
исследования является выявление основных свойств и закономерностей изучаемой
статистической совокупности. В процессе сводной обработки данных
статистического наблюдения строят ряды распределения, под которыми понимают
группировку наблюдений за значениями одного и того же показателя в один и тот
же момент времени по разным единицам совокупности. Ряд распределения всегда
состоит из двух частей: значений вариант и соответствующих им частот (или
частостей).
Вариантой называется
значение, которое может принимать признак в ряду распределения, частотой -
количество денниц наблюдения, обладающих значение данной варианты. Сумма частот
всегда равна объему совокупности. Иногда вместо частот рассчитывают частости -
это частоты, выраженные либо в долях единицы (тогда сумма всех частостей равна
1), либо в процентах к объему совокупности (сумма частостей будет равна 100%).
Различают два типа рядов
распределения - атрибутивные и вариационные, в зависимости от признака,
положенного в основу построения ряда.
Если признак
качественный, то ряд распределения называется атрибутивным. Вариационными
называют ряды распределения, построенные по количественному признаку. Значения
количественных признаков у отдельных единиц совокупности не постоянны, более
или менее различаются между собой. [9]
Построим вариационный
ряд по совокупности предприятий Краснозоренского и Новодеревеньковского районов
Орловской области.
Таблица 5 - Показатели
предприятий по выручки от продажи продукции растениеводства
|
Наименование предприятий
|
Выручка от продажи продукции растениеводства, тыс. руб.
|
Площадь пашни, га
|
Выручка от реализации продукции растениеводства на 100 га пашни,
тыс. руб. / га
|
|
ООО Вико
|
107826
|
10078
|
1070
|
|
ООО Краснозоренское
|
1623
|
2176
|
75
|
|
ТНВ Г.П. Калинин и Компания
|
10392
|
2250
|
462
|
|
ТНВ Труфанов и Компания
|
4472
|
1469
|
304
|
|
ЗАО «Успенское»
|
44848
|
2876
|
1559
|
|
ООО Ермак
|
5862
|
2156
|
272
|
|
ООО Благодать
|
980
|
415
|
236
|
|
ОАО «Новодеревеньковская сельхозтехника»
|
10576
|
1411
|
750
|
|
ООО Паньковское
|
3629
|
1620
|
224
|
|
ООО «Золотой колос»
|
39201
|
2669
|
1469
|
|
ООО «Продагро»
|
301
|
197
|
153
|
|
ООО «Истоки»
|
36997
|
9364
|
395
|
Вариационные ряды бывают дискретные
и интервальные. У дискретных рядов значения признака выражены конкретными
числами, чаще всего целыми (варианты представляют собой перечень чисел), у
интервальных рядов значения показателя задаются в виде интервалов.
Интервал - это значение варьирующего
признака, лежащего в определенных границах. Они имеют две границы: нижнюю и
верхнюю. Интервалы могут быть открытыми и закрытыми. У открытых нет одной из
границ: у первого интервала нет нижней границы, а у последнего - верхней. При
построении интервального ряда в зависимости от характера разброса значений
признака используют как равные интервальные промежутки, так и неравные. [13]
Для того, чтобы определить число
интервалов, разобьем таблицу 5 по совокупности предприятий из 12 хозяйств и
получим следующие интервалы:
- 569
- 1073
-1559
Интервалы, как правило, записывают
таким образом, чтобы верхняя граница одного интервала являлась одновременно
нижней границей следующего интервала. [8]
Таблица 6 - Распределение
предприятий по выручке от реализации продукции растениеводства в
Краснозоренском и Новодеревеньковском районах Орловской области
|
Интервалы по размеру выручки от продажи продукции
растениеводства, тыс. руб. / чел.
|
Число предприятий
|
Частность в % к итогу
|
Накопленные частоты
|
|
75 - 569
|
8
|
66,8
|
8
|
|
569 - 1073
|
2
|
16,6
|
10
|
|
1073-1559
|
2
|
16,6
|
12
|
|
Итого
|
12
|
х
|
х
|
Распределение предприятий по размеру
выручки от реализации продукции растениеводства показало, что самый высокий
размер выручки - от 1073 тыс. руб. /га - имеют 2 предприятия. Предприятия с
низким размером выручки от 75 до 569 тыс. руб./га имеют 8 предприятий.
Предприятия со средним размером выручки от 569 до 1073 тыс. руб./га имеет 2
предприятия. Изобразим графически интервальный вариационный ряд.
Рис. 2. Распределение предприятий по
выручке от продажи продукции растениеводства в Краснозоренском и
Новодеревньковском районах
Изменение вариации признака в
совокупности осуществляется с помощью абсолютных и относительных показателей.
Абсолютные показатели вариации
включают:
· размах
вариации R
· среднее линейное
отклонение 
· дисперсию 
· среднее
квадратическое отклонение 
1. Размах вариации:
= Xmax - Xmin, (3.1)
где Xmax - наибольшее
значение изучаемого признака,
Xmin - наименьшее значение изучаемого признака.
Он характеризует меру вариации
вариант.
2. Среднее линейное
отклонение(
) - представляет
собой среднюю арифметическую из абсолютных значений отклонений отдельных
вариантов от их средней арифметической.
Может быть простое:
=
; (3.2)
и взвешенное:
= 
. (3.3)
Оно учитывает отклонение
вариант от среднего уровня, но не учитывает направление отклонения вариант.
. Дисперсия - это
средний квадрат отклонений индивидуальных значений признака от средней
величины.
Простая:
= 
; (3.4)
Взвешенная:
= 
. (3.5)
. Среднее квадратическое
отклонение - это показатель обобщает все отклонения, не зависит от объема
совокупности, выражается в натуральных единицах, определяется как корень
квадратный из дисперсии.
Простое:
; (3.6)
Взвешенное:
. (3.7)
Относительные показатели
вариации включают:
· Коэффициент
осцилляции

= 
*100%; (3.8)
· Относительное
линейное отклонение (линейный коэффициент вариации)

= 
*100%; (3.9)
· Коэффициент
вариации (относительное отклонение)

= 
*100%
(3.10)
Примерная оценка силы вариации:
Если V < 10% - вариация слабая
Если V > 10%, но <25% -
вариация умеренная
Если V > 25%, но<40% -
вариация сильная
Если V>40% - вариация очень
сильная. [6]
При изучении внутреннего строения и
структуры рядов распределения значений признака применяются структурные средние
- мода и медиана.
Мода - это варианта, имеющая
наибольшую частоту и находящаяся в середине ряда.
Для определения моды в интервальном
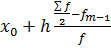
ряду используется формула:

= 
+ h 
, (3.11)
где х0
- нижняя граница модального интервала,
h
- величина интервала,
fm
- частота модального интервала,
fm-1
- частота интервала, предшествующего модальному,
fm+1
- частота интервала, следующего за модальным.
Медиана - это варианта,
которая делит ряд на 2 равные части, т.е. находится в центре ряда и более
правильно отражает типичный уровень признака, чем средняя величина.
Для определения медианы
в интервальном руду используется формула:

= 
, (3.12)
где х0
- нижняя граница медианного интервала,
h
- величина медианного интервала,

- полусумма накопленных
частот,
fm
- частота медианного интервала,
fm-1
- накопленная частота, предшествующая медианной. [7]
Таблица 7 -
Распределение хозяйств по выручке от продажи продукции растениеводства в
Краснозоренском и Новодеревеньковском районах Орловской области
|
Интервалы по размеру выручки от продажи продукции
растениеводства, тыс. руб. / га
|
Число предприятий
|
Среднее значение выручки тыс. руб.
|
Расчетные величина
|
|
|
|
|
|
|
|
|
|
75 - 569
|
8
|
1775
|
14200
|
3
|
24
|
9
|
72
|
|
569 - 1073
|
2
|
1284
|
2568
|
- 488
|
976
|
238144
|
476288
|
|
1073-1559
|
2
|
2248
|
4496
|
476
|
952
|
226576
|
453152
|
|
Итого
|
12
|
х
|
21264
|
х
|
1952
|
х
|
929512
|
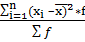
Найдем средний уровень выручки от
продажи продукции растениеводства по формуле средней арифметической взвешенной:

= 
= 1772 тыс. руб., (3.13)
где
-
отдельное значение признака;
- частота.
Таким образом, средний
уровень выручки от продажи продукции растениеводства по совокупности хозяйств
Краснозоренского и Новодеревеньковского районов Орловской области составляет
1772 тыс. руб.
По формуле (3.11)
рассчитаем моду:

= 75 + 494 *
= 357,38
По формуле (3.12)
рассчитаем медиану:

= 75 + 494 * 
= 322,13
Абсолютные показатели
вариации измеряют абсолютную меру вариации в различных единицах совокупности в
сравнении со средней величиной и выражаются в тех же единицах измерения, что и
изучаемый признак, за исключением дисперсии.
1. По формуле (3.1) рассчитаем
размах вариации:
R= 1559-75=1484 тыс. руб.
Данный показатель легко
рассчитывается, характеризует меру вариации вариант. Но его большой недостаток
в том, что он учитывает вариацию двух крайних значений вариант и не отражает
распределение вариант всего ряда.
В нашем случае размах
вариации показывает, что разница между наибольшим и наименьшим значениями
выручки от продажи продукции растениеводства составляет 1484 тыс. руб.
2. По формуле (3.2) рассчитаем
среднее линейное отклонение:

= 
= 162,67 тыс. руб.
Следовательно, выручка от
продажипродукции растениеводствав Краснозоренском и Новодеревеньковском районах
Орловской области отклоняется от среднего уровня по совокупности 12 предприятий
в среднем на 162,67 тыс. руб.
. По формуле (3.3) рассчитаем
дисперсию:
4. 
= 
= 77459,33 тыс. руб.2
5. По формуле (3.4)
рассчитаем среднее квадратическое отклонение:
. 
= 
= 278,31 тыс. руб.
Сравнение вариации нескольких
совокупностей по одному и тому же признаку, а тем более по различным признакам,
с помощью абсолютных показателей не представляется возможным. В этих случаях
для сравнительной оценки степени различия строят относительные показатели
вариации. Они вычисляются как отношения абсолютных показателей вариации
к средней.
) По формуле (3.8) рассчитаем
коэффициент осцилляции:
VR=
*100% = 255%
) По формуле (3.9)
рассчитаем линейный коэффициент вариации:

= 
*100% = 28%
) По формуле (3.10)
рассчитаем коэффициент вариации:

= 
*100% = 49%
Судя по коэффициенту
вариации, совокупность по данному признаку можно считать очень сильной, так как
он составляет 49%.
4. Индексный анализ
выхода продукции растениеводства на 1 га пашни
Индекс - это относительный
показатель, характеризующий изменение социально-экономического явления во
времени или пространстве по сравнению с плановым, нормативным значениями или с
определенным стандартом.
Индекс - это результат сравнения
двух одноименных показателей, при исчислении которого следует различать
числитель индексного отношения (сравниваемый или отчетный уровень) и
знаменатель индексного отношения (базисный уровень, с которым производится
сравнение). [2]
В экономическом анализе при помощи
индексов решают следующие задачи:
. Индексы позволяют дать
обобщающую количественную характеристику уровням плановых заданий, оценить
степень выполнения плана по группе разнородных продуктов, предприятий,
отраслей;
. Индексы позволяют
определить изменение сложных явлений по годам в динамике;
. При помощи индексов
устанавливается мера различий в уровнях массовых явлений по территориям (в
пространстве);
. Индексы позволяют установить
меру влияния отдельных факторов на изменение сложного явления;
. При помощи индексов
устанавливают изменение сложного явления за счет структурных сдвигов. [9]
Статистика осуществляет
классификацию индексов по следующим признакам:
. В зависимости от объекта
исследования:
· индексы
объемных (количественных) показателей (индексы физического объема:
товарооборота, продукции, потребления);
· индексы
качественных показателей (индексы цен, себестоимости, заработной плата).
К индексам объемных показателей относятся
индексы физического объема: товарооборота, продукции, потребления материальных
благ и услуг; а также других показателей, имеющих количественный характер:
численности работников, посевных площадей и т.п. К индексам качественных
показателей относятся индексы: цен, себестоимости продукции, заработной платы,
производительности труда, урожайности и т.п.
. По степени охвата элементов
совокупности:
· индивидуальные
индексы (дают сравнительную характеристику отдельных элементов явления);
· общие
индексы (характеризуют изменение совокупности элементов или всего явления в
целом).
. В зависимости от методологии
исчисления общие индексы подразделяются на:
· агрегатные
(агрегатные индексы являются основной формой индексов и строятся как агрегаты
путем взвешивания индексируемого показателя с помощью неизменной величины
другого, взаимосвязанного с ним показателя);
· средние
(являются производными от агрегатных).
. В зависимости от базы сравнения
различают:
· базисные
(если при исчислении индексов за несколько периодов времени база сравнения
остается постоянной);
· цепные
(если база сравнения постоянно меняется). [17]
Для характеристики эффективности
использования пашни и посевов в статистике применяют такой показатель, как
выход валовой продукции в стоимостном выражении в расчете на единицу земельной
площади (на 1 га пашни или на 1 га посевной площади), то есть продуктивность
пашни и посевной площади.
Средняя продуктивность пашни зависит
от изменения факторов:
) средней продуктивности посевов
отдельных культур;
) от структуры посевов;
) коэффициента использования пашни
под посев. [16]
Факторная модель средней
продуктивности пашни выглядит следующим образом:
(4.1)
Влияние этих факторов
определяют при помощи системы взаимосвязанных индексов:
(4.3)
Анализ экономической эффективности
использования посевных площадей в динамике проводится с помощью системы
взаимосвязанных индексов:
1. Общий индекс средней
продуктивности пашни характеризует ее изменение в отчетном периоде по сравнению
с базисным под влиянием всего комплекса факторов:
(4.4)
где уn - урожайность отдельных культур
p
- цена реализации отдельных культур;
- средний выход продукции
с 1 га пашни в денежном выражении;
sn
- площадь пашни.
. Общий индекс средней
продуктивности посевов характеризует изменение средней продуктивности пашни за
счет изменения продуктивности посевов:
(4.5)
где
-
средний выход продукции с 1 га посевной площади;
- структура посевов.
- в связи с чем формула
упрощается.
3. Общий индекс использования пашни
под посевы характеризует изменение средней продуктивности пашни за счет
изменения коэффициента использования пашни под посевы:
(4.6)
где sm - площадь посевов.
. Общий индекс
продуктивности отдельных посевов характеризует изменение средней продуктивности
посевов в отчетном периоде по сравнению с базисным за счет изменения
продуктивности посевов отдельных культур:
(4.7)
. Общий индекс структуры
посевов характеризует изменение средней продуктивности посевов за счет
изменения структуры посевных площадей:
(4.8)
Проведем индексный
анализ выхода продукции растениеводства на 1 га пашни и посевов по совокупности
хозяйств Краснозоренского и Новодеревеньковского районов Орловской области и
проверим взаимосвязь индексов. Исходные данные приведены в таблице 8.
Таблица 8 - Данные о
производстве продукции растениеводства в хозяйствах Краснозоренского (ЗАО
«Успенское») и Новодеревеньковского (ООО «Золотой колос») районов Орловской
области
|
Наименование культур
|
Sпосевов,
га
|
ВР, тыс. руб.
|
Приходится ВР на 1 га пос. S, тыс. руб.
|
Структура посевов, %
|
Расчетные величины
|
|
баз. год
|
отч. год
|
баз. год (2011)
|
отч. год (2012)
|
баз. год (2011)
|
отч. год (2012)
|
баз. год (2011)
|
отч. год (2012)
|
баз. год (2011)
|
отч. год (2012)
|
Усл.
|
|
S0
|
S1
|
|
|
|
|
|
|
|
|
|
|
Зерновые и зернобобовые
|
3075
|
3565
|
19717
|
40348
|
6,41
|
11,32
|
74,49
|
81,67
|
477,64
|
924,35
|
523,69
|
|
Сахарная свекла
|
1053
|
800
|
6544
|
33837
|
6,21
|
42,30
|
25,51
|
18,33
|
158,53
|
775,19
|
113,90
|
|
Итого
|
4128
|
4365
|
26261
|
74185
|
х
|
х
|
100
|
100
|
636,17
|
1699,54
|
637,59
|
Площадь пашни, как в отчетном, так и
в базисном году равна 5545 га.
. По формуле (4.5) рассчитаем
общий индекс средней продуктивности посевов:
Iср.прод.
посевов = 
= 1,67%
2. По формуле (4.6) рассчитаем
общий индекс использования пашни под посевы:
Iкоэф.
исп. пашни= 
:
= 1,35%
3. По формуле (4.7) рассчитаем
общий индекс продуктивности отдельных посевов:
Iпрод.
отд. посевов = 
%
По формуле (4.8)
рассчитаем общий индекс структуры посевов:
Iстр.
посевов = 
%
Проверим взаимосвязь
индексов по формула (4.2) и (4.3):
Iср.прод.
посевов = Iпрод.
отд. гр. культур * Iстр.
посевов
,67%= 2,6% * 1,01%
Iср.прод.
пашни =Iср.
прод. посевов *IК
исп. пашни = 2,67 * 1,05= 2,8%
Как видно из расчетов, в отчетном
году по сравнению с базисным продуктивность пашни возросла на 29% за счет
увеличения средней продуктивности посевов на 67% и на 35% в результате
изменений в использовании пашни под посев.
5. Установление влияния
отдельных факторов на эффективность производства продукции растениеводства
Основными направлениями увеличения
объемов производства и повышение эффективности возделывания продукции
растениеводства является последовательная интенсификация на базе развития
химизации и мелиорации, внедрение прогрессивных технологий выращивания и уборки
растениеводческой продукции, применение высокоурожайных сортов и улучшение
качества семян. Немаловажное значение в повышении эффективности производства
отводится выбору каналов реализации, повышению качества продукции,
государственной поддержки растениеводческого производства.
В факторном анализе используются
метод статистических группировок; дисперсионный и корреляционный анализы. [16]
5.1 Метод статистических
группировок
Статистическая группировка - это
процесс образования однородных групп на основе расчленения статистической
совокупности на части или объединения изучаемых единиц в частные совокупности
по существенным для них признакам, каждая из которых характеризуется системой
статистических показателей.
Метод группировок - главный метод
статистического изучения общественных явлений; служит предпосылкой для
использования различных статистических приёмов и методов анализа, например для
использования различных обобщающих показателей, в том числе средних величин.
При помощи метода группировок
статистика решает следующие задачи:
) Расчленение сложных систем на
подсистемы и выделение социально-экономических типов.
) Изучение строения изучаемых
явлений и структурных изменений, происходящих в них.
) Выявление связи и зависимости
между изучаемыми признаками. [9]
По способу охвата явлений
группировки делятся на: типологические, структурные, аналитические.
Типологическая группировка решает
задачу выявления и характеристики социально-экономических типов путем
разделения качественно разнородной совокупности на классы,
социально-экономические типы, однородные группы единиц в соответствии с
правилами научной группировки.
Примерами типологической группировки
могут служить группировки секторов экономики, хозяйствующих субъектов по формам
собственности (группы предприятий государственной собственности, федеральной
собственности, муниципальной собственности, частной собственности и смешанной
собственности).
Признаки, по которым производится
распределение единиц изучаемой совокупности на группы, называются
группировочными признаками, или основанием группировки. Выделить типичное,
можно не по любому признаку, а только по определенному, который должен
изменяться в зависимости от условий места и времени. Для правильного выбора
группировочных признаков необходимо предварительно выявить возможные типы,
четко формулировать познавательную задачу.
Если группировочными признаками
выступают признаки атрибутивные (форма собственности, отрасль производства и
т.д.), то образовать группы сравнительно просто.
Выделение типов на основе
количественного признака состоит в определении групп с учетом границ перехода
количественного признака в новое качество, в новый тип явления.
Однако во всех случаях
типологических группировок выбор группировочных признаков всегда должен быть
основан на анализе качественной природы исследуемого явления. Экономический
анализ сущности и закономерности развития явления должен быть направлен на то,
чтобы в соответствии с целью и задачами исследования положить в основание
группировки существенные признаки. При этом следует иметь ввиду, что один и тот
же материал, при различных приемах группировки, может привести к диаметрально
противоположным выводам. Раскрыть закономерности экономического развития
помогут те группировки, которые исходят из реально существующих
закономерностей. [14]
Структурной группировкой называется
группировка, в которой происходит разделение выделенных с помощью
типологической группировки типов явлений, однородных совокупностей на группы,
характеризующие их структуру по какому-либо варьирующему признаку.
К структурным относится группировка
населения по размеру среднедушевого дохода, группировка хозяйств по объему
продукции, структура депозитов по сроку их привлечения.
Анализ структурных группировок,
взятых за ряд периодов или моментов времени, показывает изменение структуры
изучаемых явлений, т.е. структурные сдвиги. В изменении структуры общественных
явлений отражаются важнейшие закономерности их развития. [15]
Аналитические (факторные)
группировки, в частности, исследуют связи и зависимости между изучаемыми
явлениями и их признаками. В основе аналитической группировки лежит факторный
признак, и каждая выделенная группа характеризуется средними значениями
результативного признака. Так, группируя достаточно большое число рабочих по
факторному признаку x - квалификации (разряду) с указанием их заработной платы,
можно заметить прямую зависимость результативного признака у - средней месячной
заработной платы рабочих от квалификации: чем выше квалификация, тем выше и
средняя месячная зарплата (хотя у отдельных рабочих с более высоким разрядом
она может быть ниже).
Используя в аналитических группировках
методы математической статистики, можно определить показатель тесноты(силы)
связи между изучаемыми признаками. [12]
В зависимости от степени сложности
массового явления и от задач анализа группировки могут производиться по одному
или нескольким признакам.
Если группы образуются по одному
признаку, группировка называется простой (например, распределение населения по
возрастным группам, а семей - по уровню доходов и т.д.).
Группировка по двум или нескольким
признакам называется сложной.
Если группы, образованные по одному
признаку, делятся на подгруппы по второму, а последние - на подгруппы по
третьему и т.д. признакам, т.е. в основании группировки лежит несколько
признаков, взятых в комбинации, то такая группировка называется комбинационной.
Комбинационная группировка позволяет выявить и сравнить различия и связи между
исследуемыми признаками, которые нельзя обнаружить на основе изолированных
группировок по ряду группировочных признаков. Однако при изучении влияния
большого числа признаков применение комбинационных группировок становится
невозможным, поскольку чрезмерное дробление информации затушевывает проявление
закономерностей. Даже при наличии большого массива первичной информации
приходится ограничиваться двумя - четырьмя признаками. [3]
Использование в статистических
исследованиях ЭВМ и статистической теории распознавания образов позволило
разработать метод группировки совокупности единиц одновременно по множеству
характеризующих признаков. Такие группировки получили название многомерных.
Многомерная группировка или
многомерная классификация основана на измерении сходства или различия между
объектами (единицами): единицы, отнесенные к одной группе (классу), различаются
между собой меньше, чем единицы, отнесенные к различным группам (классам). Мерой
близости (сходства) между объектами могут служить различные критерии. Самой
распространенной мерой близости является евклидово расстояние между объектами,
представленными точками в n-мерном пространстве. Чем меньше это расстояние, тем
больше близость.
Задача многомерной группировки
сводится к выделению сгущений точек (объектов) в n-мерном пространстве. Группы
(кластеры) формируются на основании близости объектов одновременно по всему
комплексу признаков, описывающих объект. Нахождение этих групп осуществляется
методами кластерного анализа на ЭВМ.
Многомерные группировки позволяют
решать целый ряд таких важных задач экономико-статистического исследования, как
формирование однородных совокупностей, выбор существенных признаков, выделение
типичных групп объектов и др.
В зависимости от вида группировочных
признаков различают группировки по атрибутивным и количественным признакам.
Если атрибутивный признак имеет мало разновидностей, то количество групп
определяется числом этих разновидностей. Таковы, например, группировки
населения по полу, семейному положению, образованию; распределение населения на
городское и сельское. Определение числа групп при группировке по варьирующему
количественному признаку (например, распределение населения по уровню доходов,
потреблению отдельных продуктов питания и др.) требует специальных расчетов.
[6]
Группировки по интервалам группам
делят на: группировки с равными интервалами и неравными интервалами. При
группировке с равными интервалами ищут величину интервала по формуле:
h =
= 
, (5.1)
где R - размах вариации определяется как разность между наибольшим и
наименьшим значением признака в совокупности - R=Xmax - Xmin;
(5.2)
n
- число групп,
и составляют интервалы
по схеме:
от Xmin до X min
+ h
от X min +h
до X min +2h
от X min +2h
до X min +3h и т.д.
Число групп зависит не
только от вида признака, но и от объема совокупности и вариации признака
совокупности. По рекомендации Левинского В.П. число групп устанавливается
исходя их объема совокупности.
|
Объем совокупности
|
Число групп
|
|
20 - 40 ед
|
3 - 4
|
|
40 - 60 ед
|
5 - 8
|
|
60 - 100 ед
|
8 - 10
|
Если имеем группировку с неравными
интервалами, то она проводится по принципу «равнонаполненности групп». Когда не
указывается число групп, строится график Огива-Гальтона.
Группировки как с равными, так и с
неравными интервалами могут быть открытые и закрытые. [8]
Определим влияние фондовооруженности
на экономическую эффективности производства продукции растениеводства по группе
хозяйств. Исходные данные оформим в таблице 9.
Таблица 9 - Исходные данные для
построения группировки по фондовооруженности
|
Предприятия
|
Фондовооружённость
|
Выручка растениеводства, тыс. руб.
|
Площадь с/х угодий, га
|
Полная с/с проданной продукции растениеводства, тыс. руб.
|
Выручка от продажи продукции растениеводства на 100 га с/х
угодий, тыс. руб.
|
Прибыль, тыс. руб.
|
Численность работников растениеводства, чел.
|
Стоимость основных фондов, тыс. руб.
|
|
ООО «Скарлет»
|
301
|
12371
|
1700
|
40208
|
2786,53
|
7163
|
5
|
1504
|
|
ООО «Вико»
|
8559,44
|
107826
|
11000
|
88391
|
980,24
|
19435
|
32
|
273902
|
|
ООО «Краснозоренское»
|
205,58
|
1623
|
2455
|
1554
|
66,11
|
69
|
45
|
9251
|
|
ТНВ Г.П. Калинин и Компания
|
610,64
|
10392
|
2594
|
9499
|
400,62
|
893
|
22
|
13434
|
|
ТНВ Труфанов и Компания
|
8699,88
|
18472
|
1604
|
3522
|
278,80
|
950
|
8
|
69599
|
|
ЗАО «Успенское»
|
3788,90
|
44848
|
3371
|
1621
|
1330,41
|
43227
|
10
|
37889
|
|
ООО Ермак
|
63,41
|
5862
|
2156
|
7486
|
271,89
|
-1624
|
32
|
2029
|
|
ООО Благодать
|
1469,55
|
9980
|
443
|
282
|
221,22
|
698
|
11
|
42165
|
|
ОАО «Новодеревеньковская сельхоз техника»
|
1083,89
|
10576
|
1479
|
10078
|
715,08
|
498
|
18
|
87510
|
|
ООО Паньковское
|
8206,50
|
3629
|
1812
|
1618
|
200,28
|
2011
|
2
|
16413
|
|
ООО "Золотой колос»
|
769,20
|
39201
|
3079
|
55138
|
1273,17
|
-15937
|
10
|
7692
|
|
ООО «Продагро»
|
11246,00
|
1430
|
197
|
257
|
152,79
|
44
|
1
|
11246
|
|
ООО «Истоки»
|
2803,33
|
36997
|
9709
|
277711
|
381,06
|
-240714
|
24
|
97280
|
|
ООО Агросноб
|
5,00
|
3793
|
1687
|
2614
|
165,56
|
179
|
1
|
5
|
|
ЗАО Гидроагрегат
|
15,78
|
3251
|
111938
|
713483
|
2,90
|
-710232
|
60
|
947
|
Группировочным признаком в данном
примере является фондовооруженность. Для определения колеблимости
группировочного признака необходимо построить ранжированный ряд - это ряд, в
котором значения признака расположены в порядке возрастания или убывания.
Таблица 10 - Ранжированный ряд по
фондовооруженности
|
Предприятия
|
Фондовооружённость
|
Выручка растениеводства, тыс. руб.
|
Площадь с/х угодий, га
|
Полная с/с проданной продукции растениеводства, тыс. руб.
|
Выручка от продажи продукции растениеводства на 100 га с/х
угодий, тыс. руб.
|
Прибыль, тыс. руб.
|
Численность работников растениеводства, чел.
|
Стоимость основных фондов, тыс. руб.
|
|
ООО Агросноб
|
5
|
3793
|
1687
|
2614
|
165,56
|
179
|
1
|
5
|
|
ЗАО Гидроагрегат
|
15,78
|
3251
|
111938
|
713483
|
2,90
|
-710232
|
60
|
947
|
|
ООО Ермак
|
63,41
|
5862
|
2156
|
7486
|
271,89
|
-1624
|
32
|
2029
|
|
ООО «Краснозоренское»
|
205,58
|
1623
|
2455
|
1554
|
66,11
|
69
|
45
|
9251
|
|
ООО «Скарлет»
|
301
|
12371
|
1700
|
40208
|
2786,53
|
7163
|
5
|
1504
|
|
ТНВ Г.П. Калинин и Компания
|
610,64
|
10392
|
2594
|
400,62
|
893
|
22
|
13434
|
|
ООО "Золотой колос»
|
769,20
|
39201
|
3079
|
55138
|
1273,17
|
-15937
|
10
|
7692
|
|
ИТОГО ПО 1 ГРУППЕ
|
1970,61
|
76493
|
125609
|
829982
|
4966,78
|
-719489
|
175
|
34862
|
|
ЗАО «Успенское»
|
3788,90
|
44848
|
3371
|
1621
|
1330,41
|
43227
|
10
|
37889
|
|
ООО Благодать
|
3888,18
|
9980
|
443
|
282
|
221,22
|
698
|
11
|
42165
|
|
ОАО «Новодеревеньковская сельхоз техника»
|
4861,67
|
10576
|
1479
|
10078
|
715,08
|
498
|
18
|
87510
|
|
ООО «Истоки»
|
5720
|
36997
|
9709
|
277711
|
381,06
|
-240714
|
24
|
137280
|
|
ИТОГО ПО 2 ГРУППЕ
|
16592,1
|
102401
|
15002
|
289692
|
2647,77
|
-196291
|
63
|
264844
|
|
ООО Паньковское
|
8206,50
|
3629
|
1812
|
1618
|
200,28
|
2011
|
2
|
16413
|
|
ООО «Вико»
|
8559,44
|
107826
|
11000
|
88391
|
980,24
|
19435
|
32
|
273902
|
|
ТНВ Труфанов и Компания
|
8699,88
|
18472
|
1604
|
3522
|
278,80
|
950
|
8
|
69599
|
|
ООО «Продагро»
|
11246,00
|
1430
|
197
|
257
|
152,79
|
44
|
1
|
11246
|
|
ИТОГО ПО 3 ГРУППЕ
|
36711,8
|
131357
|
14613
|
93788
|
1612,11
|
22440
|
43
|
371160
|
|
ИТОГ ПО СОВОКУПНОСТИ
|
55274,5
|
310251
|
155224
|
1213462
|
9226,66
|
893340
|
281
|
670866
|
Разобьем совокупность из 15 хозяйств
на 3 группы. Получим следующие интервалы:
,00 - 3755
- 7578
-11246
Таблица 11 - Влияние
фондовооруженности на экономическую эффективности производства продукции
растениеводства по Краснозоренскому и Новодеревеньковскому районам
|
Группы хозяйств по фондовооруженности, тыс. руб./чел.
|
Число предприятий
|
Выручка от продажи продукции растениеводства на 100 га с/х
угодий, тыс. руб.
|
Производительность труда, тыс. руб./чел.
|
Прибыль (убыток) на 100 га с/х угодий, тыс. руб.
|
|
5 - 3755
|
7
|
709,5
|
201,9
|
61,7
|
|
3755 - 7578
|
4
|
661,9
|
19,3
|
7,1
|
|
7578 - 11246
|
4
|
403,1
|
5,2
|
19,2
|
|
В среднем по совокупности
|
15
|
615,1
|
75,5
|
29,4
|
Из полученной группировки видно, что
в 1 группе хозяйств с фондовооруженностью 5 - 3755 тыс. руб./чел. прибыль на
100 га с/х угодий составила 61,7 тыс. руб., при стоимости продукции
растениеводства на 1 работника 201,9 тыс. руб. и на 100 га с/х угодий 709,5
тыс. руб. Во 2 группе хозяйств с фондовооруженностью 3755 - 7578 тыс. руб.
/чел. прибыль составила 7,1 тыс. руб., при стоимости продукции растениеводства
на 1 работника 19,3 тыс. руб. и на 100 га с/х угодий 661,9 тыс. руб. 27%
хозяйств с фондовооруженностью 7578 - 11246 тыс. руб. /чел. имеют наименьшую
прибыль на 100 га с/х угодий 19,2 тыс. руб., при стоимости продукции
растениеводства на 1 работника 5,2 тыс. руб. и на 100 га с/х угодий 403,1 тыс.
руб. Причем в среднем по совокупности хозяйств прибыль на 100 га с/х угодий
составила 29,4 тыс. руб., при стоимости продукции растениеводства на 1
работника 75,5 тыс. руб. и на 100 га с/х угодий 7615,1 тыс. руб. Отсюда
следует, что с уменьшением фондовооруженности, стоимость продукции
растениеводства на 100 га с/х угодий и на 1 работника уменьшается.
Результаты статистических
группировок в значительной мере зависят от того, какой признак положен в
основание группировки. Для получения объективной характеристики изучаемых
явлений группировки должны быть проведены по важнейшим существенным признакам.
Чтобы из всего множества признаков выбрать наиболее существенные, необходимо установить:
) какой основной процесс развивается
в изучаемом явлении;
) какие типы формируются в ходе
этого процесса;
) по каким признакам различаются эти
типы. [12]
Признаки, по которым различаются
типы явлений, отражают суть этих типов и должны быть положены в основу
группировки.
Группировочные признаки могут быть
количественными и качественными (атрибутивными), которые не имеют
количественного выражения. К группировкам по качественным признакам можно
отнести группировку населения по полу, национальности. К группировкам по
количественному признаку можно отнести группировку хозяйств по
производительности труда. [1]
Определим влияние уровня
производительности труда на показатели эффективности производства продукции
растениеводства по группе хозяйств. Исходные данные оформим в таблице12.
Таблица 12 - Исходные данные для
построения группировки по производительности труда
|
Предприятия
|
Производительность труда, тыс. руб./чел.
|
Выручка растениеводства, тыс. руб.
|
Площадь с/х угодий, га
|
Полная с/с проданной продукции растениеводства, тыс. руб.
|
Выручка от продажи продукции растениеводства на 100 га с/х
угодий, тыс. руб.
|
Прибыль, тыс. руб.
|
Численность работников растениеводства, чел.
|
Стоимость основных фондов, тыс. руб.
|
|
ООО «Скарлет»
|
3074
|
12371
|
1700
|
40208
|
2786,53
|
-27837
|
5
|
1504
|
|
ООО «Вико»
|
3369,56
|
107826
|
11000
|
88391
|
980,24
|
19435
|
32
|
273902
|
|
ООО «Краснозоренское»
|
36,07
|
1623
|
2455
|
1554
|
66,11
|
69
|
45
|
9251
|
|
ТНВ Г.П. Калинин и Компания
|
472,36
|
10392
|
2594
|
9499
|
400,62
|
893
|
22
|
13434
|
|
ТНВ Труфанов и Компания
|
2309,00
|
18472
|
1604
|
3522
|
278,80
|
14950
|
8
|
69599
|
|
ЗАО «Успенское»
|
4484,80
|
44848
|
3371
|
1621
|
1330,41
|
43227
|
10
|
37889
|
|
ООО Ермак
|
183,19
|
5862
|
2156
|
7486
|
271,89
|
-1624
|
32
|
2029
|
|
ООО Благодать
|
907,27
|
9980
|
443
|
282
|
221,22
|
9698
|
11
|
16165
|
|
ОАО «Новодеревеньковская сельхоз техника»
|
587,56
|
10576
|
1479
|
10078
|
715,08
|
498
|
18
|
19510
|
|
ООО Паньковское
|
1814,50
|
3629
|
1812
|
1618
|
200,28
|
2011
|
2
|
16413
|
|
ООО "Золотой колос»
|
3920,10
|
39201
|
3079
|
55138
|
1273,17
|
-15937
|
10
|
7692
|
|
ООО «Продагро»
|
1430,00
|
1430
|
197
|
257
|
152,79
|
1273
|
1
|
11246
|
|
ООО «Истоки»
|
1541,54
|
36997
|
9709
|
277711
|
381,06
|
-240714
|
24
|
67280
|
|
ООО Агросноб
|
3793,00
|
3793
|
1687
|
2614
|
165,56
|
1179
|
1
|
5
|
|
ЗАО Гидроагрегат
|
54,18
|
3251
|
111938
|
713483
|
2,90
|
-710232
|
60
|
947
|
Группировочным признаком в данном
примере является производительность труда. Строим ранжированный ряд по этому
признаку.
Таблица 13 - Ранжированный ряд по
производительности труда
|
Предприятия
|
Производительность труда, тыс. руб./чел.
|
Выручка растениеводства, тыс. руб.
|
Площадь с/х угодий, га
|
Полная с/с проданной продукции растениеводства, тыс. руб.
|
Выручка от продажи продукции растениеводства на 100 га с/х
угодий, тыс. руб.
|
Прибыль, тыс. руб.
|
Численность работников растениеводства, чел.
|
Стоимость основных фондов, тыс. руб.
|
|
ООО «Краснозоренское»
|
36,07
|
1623
|
2455
|
1554
|
66,11
|
69
|
45
|
9251
|
|
ЗАО Гидроагрегат
|
54,18
|
3251
|
111938
|
73483
|
2,90
|
70232
|
60
|
947
|
|
ООО Ермак
|
183,19
|
5862
|
2156
|
7486
|
271,89
|
-1624
|
32
|
2029
|
|
ТНВ Г.П. Калинин и Компания
|
472,36
|
10392
|
2594
|
9499
|
400,62
|
893
|
22
|
|
ОАО «Новодеревеньковская сельхоз техника»
|
587,56
|
10576
|
1479
|
10078
|
715,08
|
498
|
18
|
19510
|
|
ООО Благодать
|
907,27
|
9980
|
443
|
282
|
221,22
|
698
|
11
|
16165
|
|
ООО «Продагро»
|
1430,00
|
1430
|
197
|
257
|
152,79
|
44
|
1
|
11246
|
|
ИТОГО ПО 1 ГРУППЕ
|
3670,63
|
43114
|
121262
|
742639
|
1830,61
|
70810
|
189
|
72582
|
|
ООО «Истоки»
|
1541,54
|
36997
|
9709
|
277711
|
381,06
|
-240714
|
24
|
67280
|
|
ООО Паньковское
|
1814,50
|
3629
|
1812
|
1618
|
200,28
|
2011
|
2
|
16413
|
|
ТНВ Труфанов и Компания
|
2309,00
|
18472
|
1604
|
3522
|
278,80
|
950
|
8
|
69599
|
|
ООО «Скарлет»
|
3074
|
12371
|
1700
|
40208
|
2786,53
|
-27837
|
5
|
1504
|
|
ИТОГО ПО 2 ГРУППЕ
|
8739,04
|
71469
|
14825
|
323059
|
3646,67
|
230590
|
39
|
154796
|
|
ООО «Вико»
|
3369,56
|
107826
|
11000
|
88391
|
980,24
|
19435
|
32
|
273902
|
|
ООО Агросноб
|
3793,00
|
3793
|
1687
|
2614
|
165,56
|
179
|
1
|
5
|
|
ООО "Золотой колос»
|
3920,10
|
39201
|
3079
|
55138
|
1273,17
|
-15937
|
10
|
7692
|
|
ЗАО «Успенское»
|
4484,80
|
44848
|
3371
|
1621
|
1330,41
|
43227
|
10
|
37889
|
|
ИТОГО ПО 3 ГРУППЕ
|
15567,5
|
195668
|
19137
|
147764
|
3749,38
|
46904
|
53
|
319488
|
|
ИТОГ ПО СОВОКУПНОСТИ
|
27977,1
|
310251
|
155224
|
1213462
|
9226,66
|
987148
|
281
|
546866
|
Разобьем совокупность из 15 хозяйств
на 3 группы. Получим следующие интервалы:
,07 - 1519,67
,67 - 3001,67
,67-4484,8
Таблица 14 - Влияние
производительности труда на экономическую эффективности производства продукции
растениеводства по Краснозоренскому и Новодеревеньковскому районам
|
Группы хозяйств по производительности труда, тыс. руб./чел.
|
Число предприятий
|
Выручка от продажи продукции растениеводства на 100 га с/х
угодий, тыс. руб.
|
Производительность труда, тыс. руб./чел.
|
Прибыль (убыток) на 100 га с/х угодий, тыс. руб.
|
|
36,07 - 1519,67
|
7
|
261,5
|
524,3
|
3,6
|
|
1519,67 - 3001,67
|
4
|
911,6
|
2184,8
|
17,8
|
|
3001,67 - 4484,8
|
4
|
937,3
|
2891,5
|
65,9
|
|
В среднем по совокупности
|
15
|
615,1
|
1865,2
|
29,1
|
По данным таблицы, можно сделать
вывод, о том, что влияние производительности труда на экономическую
эффективность производства продукции растениеводства в расчете на 100 га с/х
угодий в интервале 36,07 - 1519,67 тыс. руб./чел. составляет 261,5 тыс. руб., а
на 1 работника 524,3 тыс. руб. В интервале 1519,67 - 3001,67 тыс. руб./чел.
стоимость продукции растениеводства на 100 га с/х угодий составляет 911,6 тыс.
руб., что на 615 тыс. руб. выше, чем в первой группе, а на 1 работника 911,6
тыс. руб., что на 650,1 тыс. руб. выше, чем в первом интервале. Наибольшую
стоимость продукция растениеводства имеет в третьей группе хозяйств, которая
составляет на 100 га с/х угодий 937,3 тыс. руб., а в расчете на 1 работника
2891,5 тыс. руб. При этом средний размер стоимости продукции растениеводства на
100 га с/х угодий составил 615,1 тыс. руб., а в расчете на 1 работника 1865,2
тыс. руб.
Из всего вышесказанного следует, что
группировки и в современный период нашли широкое применение, так как они дают
характеристику всего общества. В статистической работе чаще всего используют
группировки по формам собственности. Так же применяют группировки предприятий,
хозяйств по размерам, которые позволяют рассмотреть структуру хозяйств и
результат работы отдельных групп. Важное значение имеют группировки по степени
выполнения договорных обязательств. Такая группировка в сочетании с
группировкой по отраслям позволяет выявить резервы увеличения производства.
Особое место в отраслях сельского хозяйства имеют группировки распределения
хозяйств по показателям, характеризующим качество работы.
5.2 Дисперсионный анализ
Влияние отдельных факторов,
характеризующих колеблемость индивидуальных значений признаков можно определить
при помощи аналитической группировки, разделив изучаемую совокупность на
однородные группы по признаку-фактору. При этом можно определить 3 показателя
колеблемости признака в совокупности: дисперсию общую, межгрупповую и среднюю
из внутригрупповых дисперсий. [12]
Общая дисперсия D2o измеряет вариацию
признака во всей совокупности под влиянием всех факторов, обусловивших эту
вариацию:
D2o = ∑(yi - ȳ0)2(5.3)
Межгрупповая дисперсия (Dмежгр.) характеризует систематическую вариацию, т.е. различия в величине
изучаемого признака, возникающие под влиянием признака-фактора, положенного в
основание группировки. Она рассчитывается по формуле:
D2 =∑(ȳJ - ȳ0) (5.4)
Внутригрупповая дисперсия (Dвнутр.) отражает случайную вариацию, т.е. часть вариации, происходящую
под влиянием неучтенных факторов и не зависящую от признака-фактора,
положенного в основание группировки. Она исчисляется следующим образом:
Dвнутр. = ∑(yi - ȳJ)2(5.5)
Между общей дисперсий, средней из
внутригрупповой дисперсии и межгрупповой дисперсией существует соотношение,
определяемое правилом сложения дисперсий.
Согласно этому правилу, общая
дисперсия, возникающая под действием всех факторов, равна сумме дисперсий,
появляющихся под влиянием всех прочих факторов, и дисперсией, возникающей за
счет группировочного признака.
Зная любые два вида дисперсий, можно
определить или проверить правильность расчета третьего вида. [8]
На основе полученной группировки,
определяющей влияние производительности труда на экономическую эффективность
производства продукции растениеводства в расчете на 100 га с/х угодий по
группам хозяйств в Краснозоренском и Новодеревеньковском районах Орловской
области, определить существенность влияния производительности труда на
изменение выручки от реализации продукции растениеводства.
Таблица 15 - Распределение хозяйств
по выручке от реализации продукции растениеводства в расчете на 100 га с/х
угодий
|
Группы хозяйств по производительности труда
|
Число хозяйств
|
Производительность труда, тыс. руб./чел.
|
Сумма по группам,  Средняя прибыль по
группам,
|
|
|
36,07 - 1519,67
|
7
|
36,07; 54,18; 183,1; 472,36; 587,56; 907,27; 1430
|
3670,63
|
524,37
|
|
1519,67 - 3001,67
|
4
|
1541,54; 1814,5; 2309; 3074
|
8739,04
|
2184,75
|
|
3001,67 - 4484,8
|
4
|
3369,56; 3793; 3920,1; 4484,8
|
15567,5
|
3891,75
|
|
В среднем по совокупности
|
15
|
х
|
27977,17
|
х
|
Выдвигаем нулевую гипотезу о том,
что различия выручки не связаны с производительностью труда, а вызваны другими
случайными факторами.
Определяем среднюю выручку в целом
по совокупности по формуле средней арифметической простой:
(5.6)

тыс. руб.
Определяем:
1. Общую дисперсию:

2 (5.7)

(36,07-1865,14)2
+ (54,18-1865,14)2 + (183,1-1865,14)2 + …+ (1430-1865,14)2
= 3478153467072,81 тыс. руб.
Межгрупповую дисперсию:

(5.8)

(524,37-1865,14)2*6
+ (2184,75-1865,14)2*10 + (3891,75-1865,14)2*6= =
1875125,96 тыс. руб.
2. Остаточную дисперсию:

2
(5.9)

3478153467072,81 +
1875125,96 = 3478155342198,77 тыс. руб.
По полученным данным
можно сделать вывод о том, что общая дисперсия составила 3478153467072,81 тыс.
руб., межгрупповая 1875125,96 тыс. руб. и остаточная 3478155342198,77 тыс. руб.
Средняя выручка составляет 1865,12 тыс. руб.
Определим число степеней
свободы вариации для каждой дисперсии. Под числом степеней свободы вариации
понимают количество зависимых отклонений индивидуальных значений признака от
средней величины.
Число степеней свободы
вариации равно:
для общей дисперсии: V = N - 1 = 15 - 1 = 14;
(5.10)
для межгрупповой
дисперсии: V = n - 1 = 3 - 1 = 2; (5.11)
для остаточной
дисперсии: V = N - n = 15 - 3 = 12, (5.12)
где N - число хозяйств,
n
- число групп. [3]
Определим дисперсию на 1
степень свободы вариации:
1. для
межгрупповой: 
(5.13)
dмежгр.=
= 937562,98 тыс. руб.
2. для
остаточной: 
(5.14)
dост.
=
= 289846278516,67 тыс.
руб.
Английский ученый Фишер изучил
распределение отношений дисперсий, рассчитанных на 1 степень свободы вариации,
поэтому отношение дисперсии получило название F-критерия. Для определения данного
критерия составлена таблица. Например, таблица 5-% уровня распределения F-критерия.
Уровень вероятности суждения 0,05
означает, что только в 5 случаях из 100 значение F может достигнуть указанной величины
или выйти за ее пределы.
Для определения данного критерия
составлена таблица. Величина F-критерия, содержащаяся в таблице, называется табличной или
теоретической.
Значение фактического F-критерия определяется как:

=
, (5.15)
где dмежгр. -
межгрупповая дисперсия на 1 степень свободы вариации,
dост.
- остаточная дисперсия на 1 степень свободы вариации.
Fф
= 
= 3,88
Если Fф >Fт,
то это означает малую вероятность того, что отношение имеет случайный характер,
а влияние факторного признака на результат существенно и нулевая гипотеза о
случайном характере различия средней отвергается.
Если же Fф<Fт,
то можно утверждать, что различия между дисперсиями находятся в пределах
возможных случайных колебаний и нулевая гипотеза подтверждается. [8]
Табличное значение
критерия Фишера определяем по специальной таблице «Таблица 5-го уровня
распределения»:
Fтаб.
= 3,98
Таблица 16 - Анализ
дисперсий
|
Источники вариации
|
Дисперсии, D2
|
Степень свободы вариации.
|
Дисперсия на 1 степень свободы вариации.
|
F-критерия
|
|
|
|
|
FФ
|
Fт
|
|
Межгрупповая
|
1875125,96
|
2
|
937562,98
|
3,88
|
3,98
|
|
Остаточная
|
3478155342198,77
|
12
|
289846278516,67
|
-
|
-
|
|
Общая
|
3478153467072,81
|
14
|
х
|
-
|
-
|
Fф>Fт, это означает, что нулевая гипотеза о случайном характере
различий групповых средних отвергается. И данный опыт подтверждает существенность
влияния производительности труда на выручку от продажи продукции
растениеводства в расчете на 100 га с/х угодий.
5.3
Корреляционный анализ
Существующие между явлениями формы и
виды связей весьма разнообразны по своей классификации. Предметом статистики
являются только такие из них, которые имеют количественный характер и изучаются
с помощью количественных методов. Рассмотрим метод корреляционно-регрессионного
анализа, который является основным в изучении взаимосвязей явлений.
Данный метод содержит две свои
составляющие части - корреляционный анализ и регрессионный анализ.
Корреляционный анализ - это количественный метод определения тесноты и
направления взаимосвязи между выборочными переменными величинами. Регрессионный
анализ - это количественный метод определения вида математической функции в
причинно-следственной зависимости между переменными величинами.
Для оценки силы связи в теории
корреляции применяется шкала английского статистика Чеддока: слабая - от 0,1 до
0,3; умеренная - от 0,3 до 0,5; заметная - от 0,5 до 0,7; высокая - от 0,7 до
0,9; весьма высокая (сильная) - от 0,9 до 1,0. [13]
Корреляционный анализ позволяет
решить следующие задачи:
· Определить
изменение зависимой переменной под влиянием 1-го или комплекса факторов в
абсолютном измерении.
· Охарактеризовать
меру зависимости между результативным признаком и одним из факторов при
постоянном значении других.
· Установить меру
относительного изменения переменной на единицу относительного изменения
факторов.
· Показать меру
тесноты связи результативного признака.
· Подвергнуть анализу
общий объем вариации зависимой переменной и установить роль каждого фактора в
вариации признака.
· Статистически
оценить надежность параметров уравнения регрессии и коэффициента корреляции.
Корреляционный анализ проводится по
следующим этапам:
· Установление
причинной обусловленности связи между изучаемыми признаками.
· Формирование
корреляционной модели: отбор признаков, которые включены в анализ, установление
формы связи и ее направления, подбор математического уравнения.
· Расчет параметров
уравнения, связи и коэффициента корреляции, детерминации.
· Статистическая
оценка надежности выборочных показателей связи. [9]
Посмотрим методику проведения
корреляционного анализа на примере. Определим влияния производительности труда
на выручку по группе хозяйств Краснозоренского и Новодеревеньковского районов
Орловской области.
Таблица 17 - Данные о
производительности труда и выручки от реализации продукции растениеводства на
100 га с/х угодий
|
Предприятия
|
Производительность труда, тыс. руб./чел.
|
Выручка от продажи продукции растениеводства на 100 га с/х
угодий, тыс. руб.
|
Расчетные величины
|
|
|
|
|
|
|
|
|
|
ООО «Скарлет»
|
3074
|
2786,53
|
9449476
|
7764749,44
|
8565793,22
|
4715061,92
|
1461337,66
|
|
ООО «Вико»
|
3369,56
|
980,24
|
11353934,6
|
960870,458
|
3302977,494
|
133319,43
|
2263273,52
|
|
ООО «Краснозоренское»
|
36,07
|
66,11
|
1301,0449
|
4370,5321
|
2384,5877
|
301401,732
|
3345504,38
|
|
ТНВ Г.П. Калинин и Компания
|
472,36
|
400,62
|
223123,97
|
160496,384
|
189236,8632
|
46006,2461
|
1939841,7
|
|
ТНВ Труфанов и Компания
|
2309,00
|
278,80
|
5331481
|
77729,44
|
643749,2
|
113104,865
|
197009,924
|
|
ЗАО «Успенское»
|
4484,80
|
1330,41
|
20113431
|
1769990,77
|
5966622,768
|
511653,136
|
6862608,04
|
|
ООО Ермак
|
183,19
|
271,89
|
73924,1721
|
49807,5291
|
117800,426
|
2828962,53
|
|
ООО Благодать
|
907,27
|
221,22
|
823138,853
|
48938,2884
|
200706,2694
|
155149,857
|
917518,768
|
|
ОАО «Новодеревеньковская сельхоз техника»
|
587,56
|
715,08
|
345226,754
|
511339,406
|
420152,4048
|
9993,86761
|
1632215,77
|
|
ООО Паньковское
|
1814,50
|
200,28
|
3292410,25
|
40112,0784
|
363408,06
|
172084,482
|
2564,61216
|
|
ООО "Золотой колос»
|
3920,10
|
1273,17
|
15367184
|
1620961,85
|
4990953,717
|
433042,086
|
4222852,38
|
|
ООО «Продагро»
|
1430,00
|
152,79
|
2044900
|
23344,7841
|
218489,7
|
213740,399
|
189348,56
|
|
ООО «Истоки»
|
1541,54
|
381,06
|
2376345,57
|
145206,724
|
587419,2324
|
54779,7146
|
104718,254
|
|
ООО Агросноб
|
3793,00
|
165,56
|
14386849
|
27410,1136
|
627969,08
|
202095,802
|
3716636,47
|
|
ЗАО Гидроагрегат
|
54,18
|
2,90
|
2935,4724
|
8,41
|
157,122
|
374801,9
|
3279583,37
|
|
Итого
|
27979,13
|
9229,66
|
85145300,1
|
13229457,8
|
26129833,25
|
7554044,86
|
32963985,9
|
|
Среднее значение
|
1865,142
|
615,1106667
|
5676353,08
|
881963,523
|
1741988,483
|
503602,391
|
2197598,4
|
Для установления направления связи
аналитического уравнения, выражающего взаимосвязь между изучаемыми признаками,
построим график.
Рис. 3. Зависимость выручки от
продажи продукции растениеводства на 100 га с/х угодий от производительности
труда
Анализ расположения точек на поле
свидетельствует о наличии прямой линейной зависимости между изучаемыми
признаками. Данную зависимость можно выразить уравнением прямой линии:

, (5.16)
где y - значение результативного признака;
x
- значение факторного признака;
a
- параметр уравнения;
b
- коэффициент регрессии, который количественно выражает зависимость между
признаками, т.е. показывает среднее изменение результативного признака при
изменении факторного на единицу.

=
= 0,275 (5.17)
Коэффициент регрессии b
имеет знак «+», что подтверждает наличие полной корреляционной зависимости и с
увеличением производительности труда на 1% выручка от реализации продукции
растениеводства в расчете на 100 га с/х угодий увеличивается на 0,5 тыс. руб.

=
=94,49
(5.18)
Уравнение регрессии
примет вид:

= 94,49 + 0,275*
Определим коэффициент
эластичности по формуле: [4]

, (5.19)

(5.20)

(5.21)
Э
= 0,275 * 
= 0,83
Коэффициент эластичности
показывает на сколько% в среднем изменяется y при изменении x на
1%. Таким образом, с увеличением производительности труда на 1% выручка от
реализации продукции растениеводства в расчете на 100 га с/х угодий увеличится
на 0,83%.
При линейной корреляции
между х и у исчисляют парный линейный коэффициент корреляции r. Он принимает значения в интервале -1 £r£ 1. Знак коэффициента корреляции показывает направление связи: «+»
- связь прямая, «-» - связь обратная. Абсолютная величина характеризует степень
тесноты связи. [2]
Учитывая:
; (5.22)
, (5.23)

= 1482,43;
= 
= 709,6
оценим тесноту линейной
связи с помощью линейного коэффициента парной корреляции:

= 
= 0,57 (5.24)
Связь между факторами
прямая. В соответствии со шкалой Чеддока теснота характеризуется как заметная.
Изменение
результативного признака у обусловлено вариацией факторного признака х.
Долю дисперсии, объясняемую регрессией, в общей дисперсии результативного
признака характеризует коэффициент детерминации D.
Коэффициент детерминации - квадрат коэффициента корреляции. [10]
R2
= rxy2
*100% (5.25)
R2
=0,572*100% = 0,32 или 32%
Следовательно, вариация
выручки от продажи продукции растениеводства в расчете на 100 га с/х угодий
обусловлена на 32% влиянием производительности труда, а на 68% выручка на 100
га с/х угодий зависит от других неучтенных факторов.
Для оценки статистической
надежности результатов используем F-критерий
Фишера.
Выдвигаем нулевую
гипотезу 
о статистической
незначимости полученного уравнения регрессии.
Fфакт=

; (5.26)
Fфакт=
= 6,1
Сравним фактическое
значение критерия Фишера с табличным. Для этого выпишем значения критерия
Фишера из таблицы «Значения F-критерия
Фишера при уровне значимости a=0.05»
В нашем примере k1=1; k2=15-1-1=12.
Таким образом. Fтабл 4,67 при 
=0,05.
Так какFфакт. > Fтабл.,
то при заданном уровне вероятности 
=0,05 следует
опровергнуть нулевую гипотезу о статистической незначимости уравнения регрессии
и показателя тесноты связи. Полученное уравнение регрессии является
статистически значимым. [11]
6. Статистическая
отчетность по растениеводству
Статистическая
отчетность - это официальный документ, в котором содержатся сведения о работе
подотчетного объекта, занесенные на специальную форму.
В настоящее время органы
государственной статистики проводят ряд работ по статистике растениеводства.
Так, современная статистика посевных площадей охватывает следующие вопросы:
текущее наблюдение за состоянием посевов в хозяйствах; ежегодный учет посевных
площадей во всех категориях хозяйств; ежегодный учет сортовых и семеноводческих
посевов. [16]
В процессе текущего
наблюдения статистические органы получают от сельскохозяйственных предприятий
отчетность по следующим данным:
. Форма №3-с/х - отчет о
ходе посевов яровых культур, составляется по состоянию на каждый понедельник во
время посевных работ с нарастающим итогом.
. Форма №7-с/х - отчет о
ходе уборки урожая, сева озимых и вспашки зяби. Составляется по состоянию на
каждый понедельник.
. Форма №4-с/х -
заключительный учет посевных площадей.
При наличии в хозяйстве
сортовых и семеноводческих посевов их самостоятельный учет осуществляется по
форме №5-с/х.
Основными источниками
данных по многолетним насаждениям является текущая отчетность:
хозяйства представляют
инспекторам государственной статистики отчеты о сборе урожая
сельскохозяйственных культур по форме №29-с/х. В отчетах содержатся также
данные о всех площадях плодово-ягодных насаждений и винограда, общем сборе
плодов, ягод, винограда и в расчете на гектар, а также ожидаемом сборе после
отчетного периода.
Также хозяйства ежегодно
по состоянию на 1 июня и 1 декабря составляют отчеты о закладке многолетних
насаждений по форме №11-с/х, а хозяйства, имеющие питомники, еще и отчеты о
закладке питомников по форме №12-с/х по состоянию на 1 июня.
Кроме того, источниками
статистических данных могут быть годовые отчеты сельскохозяйственных
предприятий, перепись многолетних насаждений, которая проводится каждые 10 лет,
единовременный учет многолетних насаждений (форма №16-м), который проводят
органы государственной статистики ежегодно.
Основным источником
данных для изучения системы агротехнических мероприятий является отчетность
хозяйств, а именно, данные о подготовке почвы под посев сельскохозяйственных
культур содержатся в отчете о ходе уборки урожая, сева озимых и вспашки зяби
(форма №7-с/х). Применение и использование удобрений отражаются в отчетах о
применении органических и минеральных удобрений (формы №9-с/х и №9-б-с/х).
Сведения о качестве семенного материала содержатся в отчетах о наличии семян и
посадочного материала (форма №1-с/х и №2-с/х), отчете об апробации посевов
(форма №5-с/х). Источниками сведений о сроках и способах проведения сева и
уборки урожая являются отчеты о севе яровых культур (форма №3-сх) и о ходе
уборки урожая, сева озимых и вспашке зяби (форма №7-с/х).
Также при экономическом
анализе агротехнических мероприятий используют годовые отчеты хозяйств и данные
первичного учета.
Полные данные о
фактическом валовом сборе сельскохозяйственных культур за текущий год можно
получить лишь в начале следующего года после предоставления годовых отчетов. Но
для составления планов распределения продукции, строительства хранилищ и
сушилок, для определения потребности в транспортных средствах на перевозку
урожая необходимо заблаговременно иметь сведения о производстве продукции в
текущем году. Хозяйства учитывают сбор сельскохозяйственных культур по
документам первичного учета: дневникам уборки урожая комбайнами, по учетным
листам трактористов-машинистов, по актам на приемку не зерновой продукции.
Хозяйства составляют отчет о ходе уборки урожая, севе озимых, вспашке зяби
(форма №7-с/х).
После окончания уборки
составляются отчеты о сборе урожая сельскохозяйственных культур (форма
№29-с/х), а также заключительный отчет о ходе уборки сортовых и семеноводческих
посевов (форма №28-с/х).
Заключение
Растениеводство - это
отрасль сельского хозяйства, обеспечивающее население необходимыми продуктами
питания, промышленность - сырьем. Важнейшей задачей растениеводства является
всемерное повышение плодородия почв и урожайности, рост производства зерна,
кормов и другой продукции.
Важную роль в решении
этих задач должен сыграть точный и своевременный учет затрат, ее выхода
продукции отрасли растениеводства.
В данной работе были
проведены основные формы статистического анализа, применены системы
статистических показателей. Методом статистических группировок была выявлена
взаимосвязь между такими факторами, как фондовооруженность и стоимость
продукции растениеводства на 1 работника, на 100 га сельскохозяйственных
угодий; определено влияние удельного веса выручки от реализации продукции
растениеводства на 100 га с/х угодий, на 1 работника, на прибыль, полученную со
100 га с/х угодий; изучена зависимость уровня производительности труда и
выручки, полученной в расчете на 1 работника, на 100 га сельскохозяйственных
угодий.
Методом дисперсионного и
корреляционного анализа изучена существенность влияния производительности труда
на выручку, полученную в расчете на 100 га сельскохозяйственных угодий.
Результат расчетов подтвердил зависимость этих признаков; методом
корреляционного анализа доказано, что связь между производительностью труда и
выручкой на 100 га с/х угодий прямая, а вариация выручки в расчете на 100 га
обусловлена на 32% влиянием производительности труда, а на 68% выручка на 100
га с/х угодий зависит от других неучтенных факторов.
Анализ динамики выручки
сельскохозяйственных культур выявил следующие результаты: в целом по
совокупности выручка от реализации продукции растениеводства за период с
2004-2012 годы в хозяйствах Краснозоренского района является нестабильной, что
вероятно связано с уменьшением площади пашни к 2012 году и другими факторами. С
2004-2006 годы выручка уменьшалась, а с 2007 года наблюдается рост. Наибольший
размер выручки от реализации продукции растениеводства наблюдается в 2012 году,
а наименьший в 2005 году.
Индексный анализ выхода продукции
растениеводства показал, что в отчетном году по сравнению с базисным
продуктивность пашни возросла на 29% за счет увеличения средней продуктивности
посевов на 67% и на 35% в результате изменений в использовании пашни под посев.
Анализ выхода продукции на 100 га
с/х угодий показал, что самый высокий размер выручки - от 1073 тыс. руб. /га -
имеют 2 предприятия. Предприятия с низким размером выручки от 75 до 569 тыс.
руб./га имеют 8 предприятий. Предприятия со средним размером выручки от 569 до
1073 тыс. руб./га имеет 2 предприятия
Можно сделать вывод, что в целом по
области наблюдается значительное снижение производства в отрасли
растениеводства. Это вызвано низким уровнем технической оснащенности,
энергооснащенности, фондовооруженности, производительности труда, как
следствие, снижается качество обработки почвы, нарушаются сроки работ.
Недоступность минеральных удобрений, сложности с соблюдением агротехники
повлекли снижение урожайности сельскохозяйственных культур, продуктивности
пашни.
Список литературы
1. Булетова Н.Е.
Статистика. Часть 1. Теория статистики/ Н.Е.: Учебно-методическое пособие/ Н.Е.
Булетова - Волгоград: Изд-во ВАГС, 2009. - 76 с.
2. Гинзбург А.И.
Статистика. - СПб: Питер, 2008. - 128 с.
3. Гусаров В.М. Статистика.
- М.: ЮНИТИ-ДЛКА. - 20012. - 463 с.
. Елисеева И.И.
Практикум по общей теории статистики: учеб. пособие / И.И. Елисеева, Н.А. Флуд,
М.М. Юзбашев; под ред. И.И. Елисеевой. - 2009. - 512 с.
. Ефимова М.Р.
Общая теория статистики: Учебник / М.Р. Ефимова, Е.В. Петрова, В.Н. Румянцев. -
2-е изд., испр. и доп. - М.: ИНФРА-М, 2011. - 416 с.
. Назарова М.Г.
Курс социально-экономической статистики: учебник для вузов / Под ред. проф.
М.Г. Назарова. - М.: Финстатинформ, 2008. - 976 с.
. Зарова Е.В.
Региональная статистика: учебник / Под ред. Е.В. Заровой, Г.И. Чудилина. - М.:
Финансы и статистика, 2007. - 624 с.: ил.
8. Рудаков Р.П.
Статистика: учеб. пособие / Р.П. Рудакова, Л.Л. Букин, В.И. Гаврилов. - 2-е
изд. - С-Пб: Питер, 20010. - 288 с.
9. Салин В.Н. Социально-экономическая
статистика: Учебник / В.Н. Салин, Е.П. Шпаковская. - М.: Юристъ, 2008. - 461 с.
10. Сиденко А.В.
Статистика: учебник / А.В. Сиденко, Г.Ю. Попов, В.М. Матвеева. - М.: Изд-во
«Дело и сервис», 2009. - 464 с.
. Ефимова М.Р.
Социально-экономическая статистика: учебник / Под ред. М.Р. Ефимовой. - 2-е
изд., пераб. и доп. - М.: Издательство Юрайт; ИД Юрайт, 2011. - 591 с.
. Салин В.Н.
Социально-экономическая статистика: практикум / Под ред. В.Н. Салина, Е.П.
Шпаковской. - М.: Финансы и статистика, 2012. - 192 с.
. Башкатов Б.И.
Социально-экономическая статистика: практикум / Под ред. Б.И. Башкатова. - М.:
ЮНИТИ-ДЛКА. - 2008. - 703 с.
. Белявский И.К.
Социальная статистика: учебник / Под ред. И.К. Беляевского. - М.: Финансы и
статистика, 2009. - 432 с.
. Елисеева И.И.
Статистика: учебник / Под ред. И.И. Елисеевой. - М.: Изд-во Юрайт; ИД Юрайт,
2011. - 565 с.
. Васько В.В.
Теоретические основы растениеводства: Учебник / В.Т. Васько. - С - Пб:
Профи-информ, 2011. - 200 с.
. Тимофеева Т.В.
Финансовая статистика: Учеб.пособие / Т.В. Тимофеева, А.А. Снатенков, Е.Р.
Мендыбаева; Под ред. Т.В. Тимофеевой. - М.: Финансы и статистика, 2008. 480 с.:
ил.
. Иванов Ю.Н.
Экономическая статистика: Учебник/ А.Р. Алексеев [и др.]; Под ред. Ю.Н.
Иванова. - 3-е изд., перераб. и доп. - М.: ИНФРА-М, 2008. - 736 с.
. Яковлев В.Б.
Статистика. Расчеты в MicrosoftExcel: учеб. пособие / В.Б. Яковлев. - М.:
КолосС, 2012. - 352 с.
. Якушева Г.Н.
Статистика: Учебник/Г.Н. Якушева.-С-Сб: ЮРАЙТ, 2009. - 585 с.