Расчет технологических зон склада

  • Вид работы:
    Курсовая работа (т)
  • Предмет:
    Маркетинг
  • Язык:
    Русский
    ,
    Формат файла:
    MS Word
    679,93 Кб
  • Опубликовано:
    2015-04-01
Вы можете узнать стоимость помощи в написании студенческой работы.
Помощь в написании работы, которую точно примут!

Расчет технологических зон склада

НАЦИОНАЛЬНЫЙ МИНЕРАЛЬНО-СЫРЬЕВОЙ УНИВЕРСИТЕТ

"ГОРНЫЙ"

Кафедра организации и управления








КУРСОВАЯ РАБОТА

"Расчет технологических зон склада"

Дисциплина

Логистика складирования

Задание на курсовую работу

. Выполнить расчет технологических зон склада согласно приведенным методическим указаниям.

. Привести описание, схему и проанализировать алгоритм формирования складской сети. Очертить круг вопросов, которые необходимо решить при разработке программы размещения складской сети.

. Привести описание, схему и проанализировать алгоритм выбора системы складирования. Перечислить критерии оценки выбора оптимального варианта системы складирования.

Примечание: k - порядковый номер студента в списке журнала посещений группы, k = mn, причем, m=0, n=k при значении k меньше 10; mn=k; при k больше или равно 10.

1. Общие сведения

Все помещения на общетоварных складах делятся на следующие группы:

·       основного производственного назначения - для выполнения основных технологических операций (хранения товаров, их распаковки, упаковки, фасовки и комплектования, приема и отпуска товаров);

·          вспомогательные - для хранения тары, многооборотных контейнеров и поддонов;

·          подсобно-технические - для размещения инженерных устройств и комму-никаций, а также хозяйственных кладовых и ремонтных мастерских;

·          административно-бытовые - для размещения административного аппарата и бытового обслуживания работников склада.

На планировку и размещение помещений склада существенным образом влияет структура технологического процесса.

Для того чтобы продукция была размещена по определенной системе и можно было найти нужную партию или место, необходима тщательная планировка склада. Основной принцип внутренней планировки склада - обеспечение поточности и непрерывности складского технологического процесса.

Существуют различные методы расчетов потребности в складской площади и емкости складов. Наиболее распространены из них следующие.

помещение общетоварный склад производственный

2. Первый метод


Общая площадь склада (Sобщ) определяется по формуле

Sобщ= Sгр + Sвсп + Sпр + Sкм + Sр.м + Sп.э+ Sо.э.,

где Sгр - грузовая площадь, т. е. площадь, занятая непосредственно под хранимыми товарами (стеллажами, штабелями и другими приспособлениями для хранения товаров);

Sвсп - вспомогательная площадь, т. е. площадь, занятая проездами и проходами;

Sпр - площадь участка приемки;

Sкм - площадь участка комплектования;

Sр.м - рабочих мест, т. е. площадь в помещениях складов, отведенная для оборудования рабочих мест складских работников;

Sп.э - площадь приемочной экспедиции;

S о.э - площадь отправочной экспедиции.

Рассмотрим порядок расчета входящих в формулу величин.

. Грузовая площадь Sгр.

Формула расчета грузовой площади склада имеет следующий вид:


где Q - прогноз годового товарооборота, у. д. е./год;

З - прогноз величины товарных запасов, дней оборота;

Кн - коэффициент неравномерности загрузки склада;

Ки.г.о- коэффициент использования грузового объема склада;

Cv - примерная стоимость одного кубического метра хранимого на складе товара, у. д. е./м3 ;

Н - высота укладки грузов на хранение, м;

Др - количество рабочих дней в году (254 дн.).

Коэффициент неравномерности загрузки склада определяется как отношение грузооборота наиболее напряженного месяца к среднемесячному грузообороту склада. В проектных расчетах Кн принимают равным 1,1 ÷ 1,3.

Коэффициент использования грузового объема склада характеризует плотность и высоту укладки товара и рассчитывается по формуле


где Vпол - объем товара в упаковке, который может быть уложен на данном оборудовании по всей его высоте, м3;

So6 - площадь, которую занимает проекция внешних контуров несущего оборудования на горизонтальную плоскость, м2.

Технологический смысл коэффициента К и.г.о заключается в том, что оборудование, особенно стеллажное, невозможно полностью заполнить хранимым товаром. Для того, чтобы осуществлять его укладку и выемку из мест хранения, необходимо оставлять технологические зазоры между хранимым грузом и внутренними поверхностями стеллажей. Кроме того, груз чаще всего хранится на поддонах, которые, имея стандартную высоту 144 мм, также занимают часть грузового объема.

Расчет К и.г.о для стеллажей марки СТ-2М II1 показал, что в случае хранения товаров на поддонах К и.г.о = 0,64, при хранении без поддонов К и.г.о = 0,672.

Примерная стоимость 1 м3 упакованного товара может быть определена на основе следующих данных:

стоимость грузовой единицы;

вес брутто грузовой единицы;

примерный вес 1 м3 товара в упаковке.

Более точно вес 1 м3 хранимого на складе товара может быть определен посредством выборочных замеров, проводимых службой логистики склада.

2. Площадь проходов и проездов Sвсп.

Величина площади проходов и проездов определяется после выбора варианта механизации и типа использованных в технологическом процессе подъемно-транспортных машин. Если ширина рабочего коридора работающих между стеллажами машин равна ширине стеллажного оборудования, то площадь проходов и проездов будет приблизительно равна грузовой площади.

3.  Площади участков приемки и комплектования Sпр и Sкм.

Площади участков приемки и комплектования рассчитываются на основании укрупненных показателей расчетных нагрузок на 1 м2 площади на данных участках. В общем случае в проектных расчетах исходят из необходимости размещения на каждом квадратном метре участков приемки и комплектования 1м3 товара.

Площади участков приемки и комплектования рассчитываются по следующим формулам:


где d2 - доля товаров, проходящих через участок приемки склада, %;

d3 - доля товаров, подлежащих комплектованию на складе, %;

q - укрупненные показатели расчетных нагрузок на 1 м2 на участках приемки и комплектования, т/м2;

tпр - число дней нахождения товара на участке приемки;

tкм - число дней нахождения товара на участке комплектования;

Ср - примерная стоимость одной тонны хранимого на складе товара, у. д. е./т.

. Площадь рабочих мест Sр.м.

Рабочее место заведующего складом размером в 12 м2 оборудуют вблизи участка комплектования с максимально возможным обзором складского помещения.

5. Площадь приемочной экспедиции Sп.э.

Приемочная экспедиция организуется для размещения товара, поступившего в течение всего календарного года (365 дн.). Следовательно, ее площадь должна позволять разместить такое количество товара, которое может поступить в такое время. Размер площади приемочной экспедиции определяют по формуле


где tп.э - число дней, в течение которых товар будет находиться в приемочной экспедиции;

qэ - укрупненный показатель расчетных нагрузок на 1 м2 в экспедиционных помещениях, т/м2.

. Площадь отправочной экспедиции Sо.э.

Площадь отправочной экспедиции используется для комплектования отгрузочных партий. Размер площади определяется по формуле


где tо.э - число дней, в течение которых товар будет находиться в отправочной экспедиции;

d4 - доля товаров, проходящих через отправочную экспедицию, %.

Задание 1.

Фирма - крупный оптовый посредник, реализующий продовольственные товары. С целью расширения рынка сбыта, отделом логистики фирмы был проведен анализ рынка складских услуг региона, который показал целесообразность организации собственного склада. Планируемый объем товарооборота данного склада составляет 3720 тыс. у. д. е., предполагаемая величина товарных запасов - 27 дней. Требуется, используя данные табл. 1, определить необходимый размер склада.

Значения укрупненного показателя расчетных нагрузок на 1 м2 на участках приемки и комплектования q, т/м2 и укрупненного показателя расчетных нагрузок на 1 м2 на участках экспедиций qэ, т/м2 берутся из данных табл. 3 в соответствии с порядковым номером k в списке журнала посещений группы. Подставляя исходные данные в формулы (1) - (7), рассчитать необходимый размер технологических зон склада. Результаты расчетов представить в табл. 2.

Таблица 1

Показатель

Значение показателя

Коэффициент неравномерности загрузки склада Кн

1,2

Коэффициент использования грузового объема склад Ки.г.о

0,65

Примерная стоимость 1 м3 хранимого на складе товара Сv, у. д. е./м3

385

Примерная стоимость 1т хранимого на складе товара Ср ,у. д. е./т

685

Высота укладки грузов на хранение (на складе предусмотрен стеллажный способ хранения)

5,0

Доля товаров, проходящих через участок приемки склада d2, %

50

Доля товаров, подлежащих комплектованию на складе d3, %

40

Доля товаров, проходящих через отправочную экспедицию d4,%

60

Укрупненный показатель расчетных нагрузок на 1 м2 на участках приемки и комплектования q, т/м2

0,5

Укрупненный показатель расчетных нагрузок на 1 м2 на участках экспедиций qэ, т/м2

0,5

Время нахождения товара на участке приемки tпр, дн.

0,5

Время нахождения товара на участке комплектования tкм, дн.

1,0

Время нахождения товара в приемочной экспедиции tп.э, дн.

2,0

Время нахождения товара в отправочной экспедиции tо.э, дн.

1,0


Таблица 2 Расчет технологических зон склада

Наименование технологической зоны

Номер формулы

Расчет площади технологических зон

Размер Площади зоны, м2

Зона хранения (грузовая площадь), Sгр

(2)


379,23

Зона хранения (площадь проходов и проездов), Sвсп

-

Sвсп = Sгр

379,23

Участок приемки товаров, Sпр

(4)


12,82

Участок комплектования товаров, Sкм

(5)


20,52

Приемочная экспедиция, Sп.э

(6)


71,41

Отправочная экспедиция, Sо.э

(7)


30,78

Рабочее место заведующего складом, Sр.м

-

-

12

Общая площадь склада, Sобщ

(1)

-

905,99


Если значение порядкового номера превышает общее количество N данных, представленных в табл. 3, то берутся значения с номером k-N.

Таблица 3 Укрупненные показатели расчетных нагрузок на 1 м2 площади складирования при высоте укладки продовольственных товаров 1 м на участках приемки и комплектования

№ п/п

Наименование товарной группы

Средняя нагрузка, т/м2 (а также вес 1 м3 товара в упаковке, т)

1

Консервы мясные

0,85

2

Консервы рыбные

0,71

3

Консервы овощные

0,60

4

Консервы фруктово-ягодные

0,55

5

Сахар

0,75

6

Кондитерские изделия

0,50

7

Варенье, джем, повидло, мед

0,68

8

Чай натуральный

0,32

9

Мука

0,70

10

Крупа и бобовые

0,55

11

Макаронные изделия

0,20

12

Водка

0,50

13

Ликероводочные изделия

0,50

14

Виноградные и плодовоягодные вина

0,50

15

Коньяк

0,50

16

Шампанское

0,30

17

Пиво в стеклянных бутылках по 0,5 л

0,50

18

Безалкогольные напитки в стеклянных бутылках по 0,5 л

0,50


Решение:

1)      Рассчитаем зону хранения Sгр.

гр = 3720000*27*1,2/254*385*0,65*5=379,23км

)        Рассчитаем площади участков приемки и комплектования Sпр и Sкм.

Sпр = 3720000*1,2*50*0,5/685*254*0,5*100=12,82м

Sкм = 3720000*1,2*40*1/685*254*0,5*100=20,52м

)        Далее рассчитаем площадь приемочной экспедиции Sп.э.

Sп.э.=3720000*2*1,2/685*365*0,5=71,41

)        Рассчитаем площадь отправочной экспедиции Sо.э.

Sо.э. = 3720000*1*60*1,2/685*254*0,5*100=30,78м

)        Рассчитаем общую площадь склада Sобщ.

Sобщ= Sгр + Sвсп + Sпр + Sкм + Sр.м + Sп.э+ Sо.э.,

Sобщ.= 379,23+379,23+12,82+20,52+12+71,41+30,78=905,99м

Ответ: общая площадь склада равна 905,99м

 

2. Второй метод


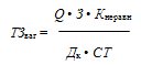
В случае, когда поставка товарной продукции на склад происходит с железной дороги, для расчета потребной площади используют показатель максимального товарного запаса, выраженный в условных двухосных вагонах и определяемый по формуле


где ТЗваг - максимальный запас товара, усл. вагоны;

Q - годовой объем складского товарооборота, руб.;

З - товарный запас, дни оборота;

Кнеравн - коэффициент неравномерности образования запасов;

СТ- средняя стоимость одного вагона, руб.

Требуемая площадь хранения Sпотр определяется отдельно по каждой товарной группе по формуле

 

Sпотр = SТЗваг • Нхр,

где п - количество товарных групп, находящихся на складе;

Нхр - норма площади с учетом способа хранения.

Норма площади хранения на один условный вагон для товаров, уложенных в штабеля, составляет 25 м2, а для товаров, хранимых в распакованном виде на стеллажах при высоте укладки 2,5 м, - 40 м2.

Емкость склада определяется объемом хранимых товаров, измеряемым в условных поддонах или вагонах. В качестве условного поддона принимается поддон объемом 1 м3 (800 • 1200 • 1050 мм). Один двухосный вагон грузоподъемностью 20 т вмешает 42 условных поддона, и его объем соответственно равен 42 м.

Для расчета площади хранения можно также воспользоваться следующей формулой:


где НЕхран - норма емкости на 1 усл. вагон товаров, м3;

h - высота укладки товаров, м.

Для штабельного хранения норма составляет 62,5 м3, для стеллажного - 100 м3.

Задание 2.

Фирма-производитель поставляет свою продукцию оптовым фирмам по железной дороге. Необходимо определить потребную площадь склада для штабельного и стеллажного хранения на оптовом складе, если прогнозируемый объем складского товарооборота составляет 855 млрд руб., средняя продолжительность нахождения запасов на складе - 85 дней. Средняя стоимость одного вагона - 0,6 млрд руб. Коэффициент неравномерности образования запасов принять равным 1,2.

Решение:

1)      Рассчитаем потребную площадь склада для штабельного хранения:

Для этого сначала подставим известные значения в формулу и найдем количество вагонов.


При Кнеравн = 1,2, получим:

ТЗваг = 855*13*1,2/365*0,6=60,90=61усл.ваг.

Затем, умножим количество вагонов на норму площади.

Для штабельного хранения получим

Sпотр = 61*25=1525м

Для стеллажного:

Sпотр = 61*40=2440м

2)      Решим данную задачу другим способом. Согласно формуле


получим

для штабельного хранения

Sn=61*62.5/2.5=1525м

для стеллажного

=61*100/2,5=2440м

Ответ: потребная площадь склада для штабельного хранения равна 1525м, а для сталлажного - 2440м.

Задание 3.

Определить емкость склада (в условных поддонах), используя данные задания 2, при условии, что высота укладки товаров h составляет 1,6 м.

Решение:

При высоте укладки товаров в 1,6м., узнаем емкость склада для штабельного хранения:

=61*62,5/1,6=2382,8=2383усл.под.

и для стеллажного:

=61*100/1.6=3812,5=3813усл.под.

3. Третий метод


Общая площадь склада определяется по формуле:

Sобщ = Sпол + Sпр + Sсл + Sотгр + Sвсп

 

где Sпол - полезная площадь, т. е. площадь, занятая непосредственно хранимыми ресурсами (стеллажами, штабелями, закромами, бункерами и другими приспособлениями для хранения данных ресурсов);

Sпр - площадь, занятая приемочными и отпускными площадками;

Sсл - служебная площадь (занятая конторскими и другими служебными помещениями);

Sотгр - площадь зоны комплектации и отгрузки;

Sвсп - вспомогательная площадь, т. е. площадь, занятая проездами и проходами.

Задание 4.

Крупная торгово-посредническая компания занимается продажей бытовой и электронной техники. В связи с выходом на новые рынки и увеличением объема продаж компания планирует приобрести склад в Москве. Рассчитайте площади складских зон, принимая во внимание, что зона хранения будет поделена на два участка: участок А - стеллажное хранение товаров группы "мелкобытовая техника", участок В - штабельное хранение товаров группы "крупная бытовая техника".

Используя данные табл. 4 рассчитать общую площадь склада.

1. Рассчитаем площадь зоны разгрузки и приемки.


где qср - среднесуточное поступление ресурсов на склад, т;

К - коэффициент неравномерности поступления ресурсов на склад (при рациональной загрузке склада К = 1,2,..., 1, 5);

t - количество дней нахождения ресурсов на приемочной площадке (до 2 дней).

Находим значение Sпр 2).

Таблица 4

Среднесуточное поступление товара на склад

785 м3

Коэффициент нагрузки на 1 м2

1,8

Коэффициент неравномерности поступления товаров на склад

1,36

Количество дней нахождения товаров в зоне приемки

1 день

Среднесуточный объем отгрузки продукции

685 м3

Коэффициент неравномерности отгрузки продукции со склада

1,54

Количество дней нахождения товара в зоне комплектации

1 день

Ширина стеллажа

1,2 м

Глубина стеллажа

2,1м

Количество стеллажей

1852 шт.

Ширина погрузчика

1,35 м

Ширина зазоров между транспортными средствами и между ними и стеллажами по обе стороны проезда

20 см

Длина штабеля

13м

Ширина штабеля

4,8 м

Количество штабелей

285 шт.

Ширина зазоров между транспортными средствами и между ними и штабелями по обе стороны проезда

20 см

Площадь офисных помещений

1850 м2


2. Рассчитаем полезную площадь. В данном примере полезную площадь будут составлять места для стеллажного хранения мел- кобытовой техники и места для штабельного складирования круп- ной бытовой техники, т. е.

Sпол = Sст х Nст + Sшт х Nшт,

где Sст, Sшт - площадь, занятая соответственно под один стеллаж, один штабель;

Nст , Nшт - количество соответственно стеллажей и штабелей.

3.      Рассчитаем вспомогательную площадь по следующей формуле:

Sвсп = Sвспст + Sвспшт,

где Sвспст - площадь, занятая проездами и проходами между стеллажами, м2;

Sвспшт - площадь, занятая проездами и проходами между штабелями, м2.

К вспомогательной площади склада относят площадь, занятую проходами и проездами. Размеры проходов и проездов в складских помещениях определяются в зависимости от габарита хранимых на складе ресурсов, размеров грузооборота, вида применяемых для перемещения ресурсов подъемно-транспортных механизмов. Главные проходы, где перемещаются основные транспортные средства, должны быть проверены на возможность свободного поворота в них напольных подъемно-транспортных средств (тележек, погрузчиков и др.). В необходимых случаях они также должны рассчитываться на встречное движение механизмов. Для этой цели пользуются формулой

Sвспст = l А п/2

где    l - ширина стеллажа, м;

п - количество стеллажей, шт.;

А - ширина проезда, м.

А = 2 В + 3 С,

где В - ширина транспортного средства, м;

С - ширина зазора между транспортными средствами, между ними и стеллажами (штабелями) по обе стороны от проезда (принимается равной 15-20 см).

Аналогично находится площадь, занятая проездами и проходами между штабелями (Sвспшт).

Sвспшт = dA(n-1),

где d - длина штабеля,

n - количество штабелей, шт.

Далее находим значение Sвсп2).

4. Рассчитаем площади зоны комплектации и отгрузки. Площади зоны комплектации и отгрузки на складе совмещены, поэтому:


где qотпр - среднесуточный объем отправки груза со склада, т;

К - коэффициент неравномерности отправки грузов со склада (при рациональной загрузке склада К - 1, 2, ..., 1, 5);

t - количество дней нахождения ресурсов в отправочной экспедиции (до 2 дней).

Далее находим значение общей площади склада Sо6щ 2).

Решение:

)        Рассчитаем площадь зоны разгрузки и приемки

пр = qср K t / σ1,

Sпр=785*1,36*1/1,8=593,1 м

)        Рассчитаем полезную площадь Sпол.

пол = Sст х Nст + Sшт х Nшт,

Для начала, найдем площади Sст и Sшт

ст=1,2*2,1=2,52м


Подставив эти значения в формулу, получим:

пол=2,52*1852+62,4*285=22451,04 м

)        Рассчитаем вспомогательную площадь по формуле:

всп = Sвспст + Sвспшт,

При имеющихся данных, сначала посчитаем Sвспст, а затем Sвспшт.

вспст=1,2*(2*1,35+3*0,2)*1852/2=3666,96 м

Sвспшт=13*(2*1,35+3*0,2)*284=12183,6 м

полученные значения подставим в формулу и посчитаем общую вспомогательную площадь

всп=3666,96 +12183,6 =15850,56 м

)        Рассчитаем площади зоны комплектации и отгрузки.

Sотгр = qотпр K t / σ1

Sотгр=685*1,54*1/1,8=586,05 м

)        Рассчитаем общую площадь склада по формуле

Sобщ = Sпол + Sпр + Sсл + Sотгр + Sвсп

Sобщ=22451,04 +593,1 +1850+586,05 +15850,56 =41330,75 м

Ответ: общая площадь склада равна 41330,75 м

Задание 5

Оптовая фирма, торгующая двумя видами кондитерских изделий, планирует расширить объем продаж. Анализ рынка складских услуг показал целесообразность организации собственного склада. Необходимо определить его площадь.

Основным компонентом складской площади является грузовая площадь (Sгр), т. е. площадь, занятая непосредственно под хранимыми товарами (стеллажами, штабелями и другими приспособлениями для хранения товаров).

Коэффициент грузовой площади (Кгр), определяемый отношением грузовой площади к общей площади склада, должен быть не менее 0,3.

Общую площадь склада можно рассчитать следующим способом:

Рассчитать грузовую площадь, а затем, используя коэффициент грузовой площади склада, определить его общую площадь.

Исходные данные для решения задания приведены в табл. 5

Таблица 5 Расчет площади склада

№ строки

Наименование величины

Единицы измерения

Формула для расчета

Значение (товар А)

Значение (товар В)

1

Прогноз годового товарооборота

кг/год

Q

485125

285750

2

Прогноз товарных запасов

дн.

Т

95

100

3

Число рабочих дней в году

дн./год

Д

250

250

4

Прогноз товарных запасов

кг

(Q хТ)/Д

70705

42642

5

Количество килограммов в ящике

кг/ящик

Ч

12

10

6

Длина ящика

м

а

0,45

0,4

7

Высота ящика

м

b

0,3

0,25

8

Ширина ящика

м

с

0,2

0,2

9

Прогноз товарных запасов

м3

См. пояснения

414,78

  228,6

10

Коэффициент неравномерности загрузки склада

-

Кнер

1,25

1,25

11

Прогноз товарных запасов с учетом неравномерности

м3

См. пояснения

518,47

285,75

12

Объем стандартной паллеты

м3

Vпалл

1

1

13

Прогноз товарных запасов с учетом неравномерности

паллет

См. пояснения

691,3

381

14

Коэффициент наполненности паллетомест

-

Кнп

0,75

0,75

15

Потребное количество паллетомест на складе

мест

См. пояснения

691,3

381

16

Норма грузовой площади на одно паллетоместо

м2 / паллетоместо

q

0,29

0,29

17

Площадь грузовая (под установку стеллажей)

м2

См. пояснения

200,47

110,49

18

Коэффициент грузовой площади


Кгр

0,3

0,3

19

Общая площадь склада

м2

См. пояснения

668,23

368,3


Краткие пояснения и методика выполнения задания

Общий подход к расчету грузовой площади склада

Основным компонентом складской площади, как уже отмечалось, является грузовая площадь (Sгр), для расчета которой могут использоваться различные методы. К числу наиболее распространенных относится метод расчета грузовой площади на основе данных об объеме среднего товарного запаса на складе, выраженном в количестве кубических метров. Логика расчета простая:

. Определяем объем (м3) товарного запаса, который планируется иметь на складе.

. Находим количество паллетомест, которое потребуется для размещения найденного объема товарного запаса.

. Определяем норму грузовой площади на одно паллетоместо.

. Определяем размер грузовой площади, необходимой для размещения на складе полученного количества паллетомест.

Характеристика отдельных этапов расчета

. Расчет объема товарного запаса, который планируется иметь на складе. В качестве прогноза товарного запаса возьмем объем среднего товарного запаса. Определение объема среднего запаса в сумме или в единицах товара, как правило, не представляет труда. Сложность может возникнуть при переводе стоимостных, штучных или весовых значений среднего запаса в кубические метры. Товарные справочники, используемые в компаниях, не всегда содержат достоверную информацию об весо-объемных характеристиках каждой позиции ассортимента склада. В связи с этим подчеркнем необходимость проверки достоверности данной информации перед выполнением расчета площади склада, а также постоянной актуализации товарных справочников.

Расчет объема, занимаемого средним товарным запасом, может выполняться на базе использования следующей информации:

• количество единиц товара в транспортной упаковке (либо вес нетто товара в транспортной упаковке);

• размер транспортной упаковки (длина, ширина, высота).

Средний запас товара i-й позиции (Зср.i) в м3 необходимо рассчитать по следующей формуле:


где Оi - прогноз оборота за период по i-й позиции в натуральных единицах (штуки, килограммы и т. п.); Т - планируемая оборачиваемость запасов, дней оборота; Д - число дней в плановом периоде; Ч - число единиц в транспортной упаковке (штук, килограммов и т. п.); а, b, с - длина, ширина и высота транспортной упаковки, м.

. Расчет количества паллетомест, которое потребуется для размещения найденного товарного запаса. Потребность в количестве паллетомест по отдельной позиции ассортимента склада (Ni) определяется с помощью следующей формулы:


где Vпалл.ср - средневзвешенный объем одной паллеты на складе, м3;

Кнп - коэффициент наполненности паллет;

Кнер - коэффициент неравномерности загрузки склада.

Кнер определяется как отношение грузооборота наиболее напряженного месяца к среднемесячному грузообороту склада. В проектных расчетах Кнер принимают равным 1,1 -1 3.

. Норма грузовой площади на одно паллетоместо определяется на основе информации о применяемой на складе технике и технологии хранения. При этом площадь занятая оборудованием для хранения, делится на количество паллет, которое можно уложить в данное оборудование. Рассмотрим пример, когда товар укладывается в секцию стеллажа в 4 яруса (высота склада 6 м, рис. 1). Проекция внешних контуров секции загруженного товаром стеллажа имеет площадь: 1,250 х 2,800 = 3,50 м2. На этой площади можно разместить 12 паллет. Данное количество определяется исходя из следующих стандартных параметров:

высота склада - 6 м;

высота укладки груза - 5,4 м;

высота полностью груженой паллеты - 1,2 м;

толщина балки - 0,1 м;

расстояние между верхом полностью груженной паллеты и нижней кромкой балки - 0,08 м;

в стандартной ячейке стеллажа размещается 3 паллеты.

Рис. 1. Определение нормы грузовой площади склада в расчете на одно паллетоместо при стеллажном способе хранения товаров

Норма грузовой площади на одно паллетоместо (q) составит:

q =3,5 мг : 12 паллетомест = 0,29 м2/паллетоместо.

Далее в расчетах воспользуемся значением нормы, полученной в этом примере.

. Размер грузовой площади, необходимой для размещения на складе полученного количества паллетомест, определяется по формуле

Sгр i = Ni х q. (20)

Размер общей площади склада для i-й товарной группы (So6щ. i) определим, разделив найденное значение грузовой площади на коэффициент использования грузовой площади (Кгр):

So6щ. i = Sгр i : Кгр. (21)

Задание предлагается выполнить, заполнив табл. 5, в которой приведены все необходимые для выполнения расчетов исходные данные.

Решение:

1)      Рассчитаем прогноз товарных запасов в натуральных единицах (в нашем случае, в кг.) для каждого вида товаров. Для этого, подставим известные нам значения в формулу

=(Q хТ)/Д

Для товара А: O(A)=(485125*95)/250=184347,5 кг/г

Для товара B: O(B)=(285750*100)/250=114300 кг/г

2)      Рассчитаем средний запас товара в кубических метрах.

Для этого воспользуемся формулой


Так как все необходимые данные нам известны, останется их подставить.

Так, для товара A средний запас товара в кубометрах будет равен

Зср(А)=485125*0,45*0,3*0,2*95/250*12=414,78 м

Для товара В соответственно

Зср(В)=285750*0,4*0,25*0,2*100/250*10=228,6 м

3)      Рассчитаем прогноз товарных запасов с учетом неравномерности.

Для товара А:

Зср.кн(А)=414,78*1,25=518,47 м

И для товара В:

Зср.кн(В)=228,6*1,25=285,75 м

4)      На следующем этапе, необходимо будет рассчитать количество паллетомест, требуемое для размещения найденного товарного запаса.


Все данные нам известны. Поэтому, для товара А:

(a)= 414,78*1,25/1*0,75=691,3 палл

А для товара В:

(B)= 228,6*1.25/1*0.75=381 палл

5)      Используя полученную в пояснениях норму грузовой площади на одно паллетоместо, равную 0,29м/паллетоместо, вычислим размер грузовой площади, необходимой для размещения на складе полученного количества паллетомест, согласно формуле

Sгр i = Ni х qгр(А)=691,3*0,29=200,47 м

Sгр(В)=381*0,29=110,49 м

6)      Разделив полученные числа на 0,3 (коэффициент грузовой площади), получим искомую нами общую площадь склада для каждой товарной позиции.

So6щ. i = Sгр i : Кгр.

Для А:

общ.А=200,47 /0,3=668,23 м

И для В:

общ.В=110,49 /0,3=368,3 м

Ответ: общая площадь склада, занятая товарами А будет равна 668,23 метра, а товарами В - 368,3 метров.

АЛГОРИТМ ФОРМИРОВАНИЯ СКЛАДСКОЙ СЕТИ

Основываясь на принципах системного подхода к анализу и синтезу микрологистической системы, технологию его применения к проблеме формирования складской сети можно представить в виде алгоритма (рис. 2.2). Разработанный алгоритм позволяет определить последовательность решения проблемы формирования складской сети, которую использует предприятие для достижения эффективного функционирования на рынке.

При формировании складской сети необходимо учитывать:

·        место в логистической системе;

·        цели, задачи и функции предприятия;

·        вид и характеристики материального потока;

·        территориальное расположение складской сети;

·        взаимосвязи с внешней средой поставщиков и потребителей;

·        характеристики используемых транспортных средств;

·        состояние инфраструктуры сети;

·        материально-техническую базу предприятия;

·        наличие информационной связи внутри складской сети.

Алгоритм формирования складской сети как микрологистической системы в соответствии с методологией системного подхода должен быть конкретизирован применительно к цели исследования в виде комплекса соответствующих моделей, методов, организационно-технических и экономических разработок

Прогноз спроса. Как показано на рис. 2.2, первым этапом, определяющим формирование складской сети, является прогнозирование спроса. Прогнозирование спроса практически в любой компании выполняется отделом маркетинга. От точности прогноза при решении логистических задач зависит очень многое, особенно когда речь идет о логистике складирования. Прогноз спроса указывает, где и в каком объеме в перспективе будет потребляться продукция, реализуемая компанией.


Для логистики это означает наличие исходной информации при создании логистической инфраструктуры и, в частности, складского хозяйства компании. Создание складского хозяйства, требует от компании значительных инвестиций, поэтому принятие ошибочных решений в этом случае слишком дорого обходится. Например, если прогноз маркетинга ориентирует компанию на реализацию в данном регионе 8 млн пар обуви, под который необходимо предусмотреть строительство склада общей площадью 40 тыс. кв. м, а в реальности окажется, что прогноз завышен в два раза, то пострадает вся компания.

Ответственность же будет переложена на отдел логистики, который отвечает за деятельность складского хозяйства, и он вынужден будет искать выход из создавшейся ситуации и отвечать за чужие ошибки. Именно поэтому логистика предпочитает проверять точность маркетинговых прогнозов, когда это затрагивает вопросы логистической инфраструктуры.

Методы прогнозирования должны обеспечивать отражение изменений, связанных с ориентацией на выполнение задач логистики. Отбор таких методов прогнозирования должен осуществляться с учетом следующих условий.

Во-первых, необходимо провести анализ ретроспективы спроса, опираясь на учет и анализ заказов, полученных фирмой ранее (в течение как можно более длительного срока).

Во-вторых, следует параллельно произвести два вида работ: установить различия в видах и характере материальных потоков и возможно потребителей, а также выбрать из всех существующих методов прогнозирования те, которые могут быть использованы в конкретных условиях.

В этом случае третьим является тестирование и отбор подходящих методов составления прогноза с учетом полученных данных о ретроспективе спроса и о типах товара. Здесь проводится сопоставление полученных результатов с реальным спросом, зафиксированным в течение данного периода.

В заключение проводятся прогнозные расчеты и отслеживаются расхождения. При этом постоянно оцениваются результаты функционирования системы прогнозирования. При необходимости возможен пересмотр выбранных методов.

К основным методам прогнозирования, наиболее часто используемым при решении логистических задач, следует отнести: метод простого скользящего среднего (МСС), метод взвешенного скользящего среднего (МВСС), метод простого однопараметрического экспоненциального сглаживания, двухпараме-трическое экспоненциальное сглаживание (метод Хольта - Holt), трехпараме-трическое экспоненциальное сглаживание (метод Уинтера - Winter), модели авторегрессии и другие.

Планирование объема продаж и регионов сбыта осуществляется службой маркетинга на основании информации, полученной в результате анализа рынка, сегментации рынков сбыта, анализа конкурентов и т. п.

Маркетинг планирует продвижение товарных потоков в потенциально перспективных регионах сбыта и ориентировочные объемы продаж. Эти данные являются основой для формирования логистической инфраструктуры при снабжении выделенных регионов сбыта. Формируя складскую сеть на основе данных, представленных отделом маркетинга, логистика определяет регионы товароснабжения и закрепляет их за складами складской сети. Одновременно логистика должна обозначить функциональное назначение складов и их задачи в рамках логистической системы с учетом целей компании и радиуса их обслуживания.

Маркетинг рассматривает определение охвата рынка сбыта с учетом конкурентоспособной стоимости товара, включающей логистические издержки. Конкурентоспособной ценой в данном случае можно считать ту конечную стоимость товара, которая обеспечивает конкурентоспособность на рынке. При этом конечная цена должна включать логистические затраты на транспортировку и складирование (постоянные и переменные). Логистика, в свою очередь, должна, ориентируясь на предложения маркетинга, определить возможные границы рынка обслуживания каждым конкретным складом складской сети (рис. 2.3).

Рис. 2.3. Границы рынка обслуживания клиентов со складов складской сети

Критериями определения границ рынка могут быть выбраны:

·      минимальные логистические издержки обслуживания клиентов;

·        минимальный радиус обслуживания с одного склада;

·        минимальный уровень товарных запасов в складской сети;

·        максимальный (оптимальный) уровень обслуживания клиентов.

Разработка программы размещения складской сети. Переходя к разработке программы размещения складской сети, необходимо учитывать, что эта проблема комплексная, включающая в себя такие вопросы, как:

·        определение оптимального количества складов, обеспечивающих бесперебойное снабжение клиентов с максимальным комплексом обслуживания;

·        распределение складов по функциональному назначению (распределительные, распределительно-подсортировочные или подсортиро-вочные склады);

·        пространственное расположение складов в регионах обслужи-вания при различном характере и потребностей в спросе;

·        степень приближения складов к потребителям;

·        необходимые объемы складирования грузов на разных складах;

·        степень объединения (централизации) или разукрупнения складов;

·        связь складов с транспортными коммуникациями и взаимодей-ствие с транспортными средствами доставки и т. д.

Территориальное размещение складов и их количество определяется мощностью (характеристиками) материальных потоков и их рациональной организацией, спросом на рынке сбыта, размерами региона сбыта и концентрацией в нем потребителей, относительным расположением поставщиков и покупателей, особенностями коммуникационных связей и т. д. Существует несколько критериев и методов, определяющих целесообразность выбора места склада.

Планирование в складских мощностях базируется на результатах предыдущих этапов, когда определены ориентиры объемов продаж и выбраны регионы сбыта и определены количество складов и места их рационального размещения.

Объемы продаж позволяют определить общую потребность в складских мощностях, а выбор регионов сбыта - разработать программы грузопотоков по всей сети распределения с ориентацией на регионы основного складирования запасов. Эта стадия сопряжена с планированием потребностей необходимых складских мощностей, а, следовательно, с определением имеющихся в каждом интересующем регионе сбыта ресурсов складских мощностей (собственных, сдаваемых в аренду или складских мощностей логистических посредников). Задача логиста сводится к изучению и анализу всей логистической инфраструктуры каждого региона и определению рациональной стратегии складирования запасов в каждом из них. Логист может рассматривать смешанную систему форм собственности складов в складской сети.

Анализ потенциальных складских мощностей. Анализируя потенциальные возможности региона, компания (предприятие) в первую очередь оценивает свои собственные складские мощности. С развитием логистической инфраструктуры провайдеров услуг в различных регионах и совершенствованием их деятельности, логистам имеет смысл при анализе рассматривать различные варианты, формы собственности складов, включая комбинации вариантов.

Сеть одновременно может включать собственный склад, арендуемый и складские мощности логистических посредников. В случае отсутствия собственных складских мощностей компания решает вопрос о взятии складских мощностей в аренду на длительный срок (лизинг) или рассматривает вариант передачи товара на склады общего пользования (логистического посредника), которые будут осуществлять всю необходимую обработку груза и весь комплекс дифференцированных услуг, которые требуются клиентам.

Передача грузопереработки посреднику, даже при наличии существующих собственных складских мощностей, бывает весьма актуальным решением не только при постоянной нехватке мощностей, но и при сезонном характере товара. Встречается немало случаев, когда переход на склад логистического провайдера вообще оказывается более эффективным вариантом, чем использование собственных складов, даже при столь высоких тарифах на отечественном рынке складских услуг.

Оценивая потенциал создаваемой складской сети предприятия, необходимо учитывать целый ряд ограничений:

· экономические;

· технологические;

· технические;

· демографические и т. д.

Установленные ограничения существенно могут повлиять на эффективное функционирование складской сети.

Выбор системы товароснабжения складов. На практике применяются две основные системы товароснабжения: централизованная и децентрализованная. В отечественной практике наибольшее распространение получила централизованная система снабжения складов как для производственных, так и для торговых компаний.

На производственных компаниях функции централизации грузопотоков выполняет склад готовой продукции, с которого и осуществляется снабжение остальных складов.

Торговые компании, делающие ставку на расширении числа поставщиков, стараются концентрировать весь товарный ассортимент также на одном (центральном) складе. Однако стремительное развитие связей с рынком азиатских стран вводит в жизнь комбинированную систему из двух центральных складов (двух централизованных систем), каждый из которых концентрирует свои товарные потоки (по территориальному признаку размещения поставщиков: западных и восточных) и затем снабжает всю единую систему складской сети компании.

Разработка проекта складского хозяйства включает проектирование складского хозяйства (самого склада и обслуживающей его инфраструктуры) во всех выбранных регионах сбыта. Разработка проектных решений ведется для каждого конкретного склада, входящего в складскую сеть.

АЛГОРИТМ ВЫБОРА СИСТЕМЫ СКЛАДИРОВАНИЯ, КРИТЕРИИ ВЫБОРА

Алгоритм выбора системы складирования начинается с определения цели ее создания. Цель эта продиктована функциональной деятельностью предприятия оптовой торговли, его местом в логистической системе и задачами в рамках этой системы.

В общем виде последовательность действий по разработке и выбору оптимальной системы складирования представлена на рис. 3.2.

Например, крупное оптовое предприятие, имеющее разветвленную складскую сеть в различных регионах сбыта, может обеспечивать снабжение как среднего и мелкого опта, так и розничную сеть через централизованную систему складов.

В этом случае центральный склад будет функционировать как распределительный центр, обеспечивая фазированные поставки своим филиалам, а поступающий грузопоток при переработке на складе изменяет только параметры партии на выходе, но не затрагивает переформирование самой грузовой единицы.

Филиальные склады будут уже выполнять другие задачи, поскольку их назначение в логистической системе подсортировочно-распределительное, так как они снабжают мелкий опт и розничную сеть. Они не только изменяют характеристики выходящего грузопотока по размерам партии, но и осуществляют расформирование грузовой единицы, подсортировывая и комплектуя заказ в соответствии с требованиями клиента. Из этого примера видно, что, несмотря на то, что рассмотренные склады являются материально-технической базой одного и того же предприятия, их функциональная деятельность в рамках логистической системы значительно отличается.

Альтернативный выбор оптимального варианта системы складирования осуществляется после технико-экономической оценки каждого варианта.

В качестве критериев оценки могут быть использованы:

·   показатель эффективности использования складской площади и объема;

·        показатель общих логистических затрат на тонну товара, связанных с оснащенностью склада по данному варианту.


Показатель эффективности использования складской площади и объема показывает, насколько эффективно используется складское пространство при установке конкретных видов оборудования, а экономический показатель дает возможность оценить затраты, связанные с их приобретением и эксплуатацией.

Коэффициент полезно используемой площади Ks равен отношению площади, занятой под складирование Sгр. (под технологическое оборудование), к общей площади склада Sо.с.:

s = Sгр. / Sо.с. (3.16)

Аналогично определяют коэффициент полезно используемого объема:

Vs = Vгр. / Vо.с. = Sгр. hскл./ (Sо.с.hо.с.), (3.17)

где Vо.с. - общий складской объем (м);

Vгр. - складской объем, занимаемый оборудованием, на котором хранится груз (куб. м);

hо.с - высота складского помещения (м);

hскл - используемая высота складского помещения под хранение груза (м).

Экономическим критерием при оценке вариантов систем складирования может быть показатель общих затрат на тонну товара (условный поддон или одну единицу груза), связанных с реализацией конкретного варианта ССК, рассчитанный как сумма единовременных и текущих затрат:

Оз = Э + ρk, (3.18)

где Э - текущие логистические издержки (руб./т);

k - единовременные инвестиции (руб./т);

ρ- норма прибыли на инвестированный капитал (%).

Текущие затраты (издержки производства и обращения):

Э = А / nQ, (3.19)

где А - затраты, связанные с амортизацией, эксплуатацией и ремонтом оборудования склада (руб.);

n - оборачиваемость запаса товаров

n = 365 / tз (дней); (3.20)

tз - средняя продолжительность срока хранения товара на складе - товарный запас в днях;- вес товара, размещенного на оборудовании склада (т).

Единовременные инвестиции:

К = Ст / nQ, (3.21)

где Ст - стоимость оборудования, размещенного изданном складе (руб.).

При альтернативном выборе системы складирования на основе применяемого при этом оборудования оптимальным является вариант с максимальным значением показателя эффективности использования складского объема при минимальных затратах.

Осуществляя выбор систем складирования на практике, необходимо помнить, что в одном складском помещении возможно сочетание различных вариантов ССК в зависимости от перерабатываемого груза.

Библиографический список


1. Дыбская В.В. Управление складированием в цепях поставок. / В.В. Дыбская. - М.: Альфа-Пресс, 2009. - 720 с.

Похожие работы на - Расчет технологических зон склада

 

Не нашли материал для своей работы?
Поможем написать уникальную работу
Без плагиата!
Без нейросетей!