Теории управления

  • Вид работы:
    Контрольная работа
  • Предмет:
    Математика
  • Язык:
    Русский
    ,
    Формат файла:
    MS Word
    380 Кб
  • Опубликовано:
    2015-04-02
Вы можете узнать стоимость помощи в написании студенческой работы.
Помощь в написании работы, которую точно примут!

Теории управления

Содержание

Постановка задачи управления

Линейная задача быстродействия

Линейные дифференциальные уравнения с управлением

Постановка задачи управления

Для задачи управления характерно наличие некоторого динамического объекта, т. е. объекта, меняющегося во времени.

Пусть положение объекта в каждый момент времени  полностью характеризуется набором параметров ,...,Это координаты объекта в некоторой системе координат.

Вектор


называется фазовым вектором.

Предположим, что движением объекта можно управлять, т. е. объект снабжен некоторыми рулями, от положения которых зависит его поведение. Пусть положение рулей характеризуется в каждый момент времени  набором параметров

Вектор


называется управляющим параметром (функцией) или управлением. Состояние объекта в данный момент времени  зависит от значений управления  до момента  и не зависит от будущего поведения управления.

В зависимости от того, как выражается зависимость вектора фазового состояния  от управления  рассматривают различные динамические объекты. Например,

(1)

или если значение управления  известно для каждого ,то можно определить траекторию объекта  как решение дифференциального уравнения


Управление в конкретных физических объектах не может быть произвольным. На него наложены ограничения, вытекающие из физического смысла управления, т. е. если -тяга двигателя, то


Обычно предполагают, что

, (2)

где  - некоторое заданное множество (обычно замкнутое).При этом -называется допустимым управлением. Сам вид функции  определяется из физического смысла. Функции  могут быть гладкие, непрерывные, кусочно непрерывные. Будем считать, что класс допустимых управлений  задан.

Предположим, что задан начальный момент времени  и множество  допустимых начальных состояний объекта. Мы хотим управлять объектом так, чтобы в какой-то конечный момент времени  объект перешел в некоторое множество  допустимых конечных состояний. Будем считать, что допустимое управление  переводит объект из множества начальных состояний  на множество конечных состояний  на отрезке времени [,если соответствующее этому  состояние объекта  удовлетворяет условиям

 (3).

Причем, конечный момент времени  может быть не фиксированным и определяется из условия попадания вектора  на конечное множество .Итак, предположим, что  и  заданы.

Объект из  в  можно перевести многими способами. Желательно среди них выбрать наилучший в каком-то смысле.

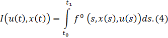
Предположим, что каждому допустимому управлению ,заданному на [ и соответствующей траектории  сопоставлено число ,оценивающее качество пары т. е. задан функционал, или критерий качества . Например,

 

Задача оптимального управления состоит в нахождении такой дополнительной пары ,что функционал качества  принимает минимальное значение, т. е.

.

Здесь минимум берется по всем дополнительным управлениям  и соответствующим траекториям ,переводящим объект из множества  в .

Пример 1. Космический корабль.

Задача управления здесь состоит в выборе дополнительного управления  и соответствующей траектории  так, чтобы переход космического корабля с одной круговой орбиты на другую осуществляется с минимальным расходом топлива.

Пример 2. Физический маятник.

Он находится в положении равновесия. -отклонение маятника от положения равновесия.

Управление маятника в случае колебаний с малой амплитудой имеет вид


Предположим, что к маятнику можно прилагать внешнюю силу и, ограниченную по величине, например .Тогда уравнение маятника имеет вид

 

 (5)

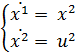
Положим тогда


Мы привели  к виду (1), : -отклонение маятника, -скорость отклонения.

При  и -положение равновесия. Пусть при воздействии внешней силы маятник отбрасывается в положение . Нужно как можно быстрее перевести маятник в положение равновесия, выбирая для этого внешнюю силу .

При этом из физических соображений  должна быть кусочно непрерывной.

Таким образом, задача оптимального управления состоит в том, чтобы подобрать такую кусочно непрерывную функцию , удовлетворяющую условию , чтобы соответствующая траектория маятника  перешла из начального состояния  в положение равновесия  за наименьшее время.

Линейная задача быстродействия

Динамика объекта в линейной задаче описывается системой дифференциальных уравнений

 =, (1)

где --мерный вектор фазового состояния, --мерный вектор управления с ограничениями, ,- постоянная матрица размерности . Зная допустимую функцию управления  и начальное состояние объекта , можно получить единственную функцию фазового состояния  , как решение дифференциального уравнения (1).

Начальное и конечное состояния объекта будем выбирать, как элементы некоторых не пустых компактных подмножеств . Критерием качества будет служить время перехода из  в ,т. е.

.

Такой критерий качества получается из критерия

 


при .

Таким образом, линейная задача быстродействия заключается в нахождении допустимого управления  и соответствующего ему решения  уравнения (1),переводящего объект из множества начальных состояний  на множество конечных состояний  за минимальное время.

Определение. Функция  называется допустимым управлением на отрезке времени [, если она измерима и при всех  удовлетворяет включению

Для любого допустимого управления и любого начального состояния  существует единственное решение дифференциального уравнения

 =(2)

Это решение описывает изменение фазового состояния динамического объекта при воздействии на него допустимым управлением .

Пусть по-прежнему . Допустимое управление , заданное на ,осуществляет переход из  на , если соответствующее решение  удовлетворяет граничным условиям .

Будем предполагать, что начальный момент времени -фиксирован, а конечный -определяется из условия попадания решения  на . Задача быстродействия заключается в нахождении допустимого управления , осуществляющего переход из  на  за наименьшее время.

Для этой задачи рассматривается: управляемость, существование оптимального управления, необходимые условия оптимальности и единственность оптимального управления.

Экспоненциал матрицы.


Этот ряд абсолютно сходится.

Свойства экспоненциала матрицы:

2.       

3.       

4.       

5.        .

Пример 1.Пусть n=2. Найдем ,если A=, , ,…

Пример 2.Пусть n=2. Найти экспоненциал матрицы A=. Экспоненциалом матрицы А является линейно-независимые решения дифференциального уравнения , записанные в столбцы.

, .

Следовательно,


Общее решение этой системы выражается формулой


В качестве начальных условий выбираются базисные векторы

, . Получаем два решения

.

Следовательно,

.

Будем считать, что функция  -непрерывна на отрезке .

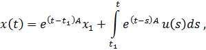
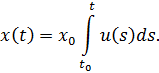
Тогда для любого начального условия  решение (2) существует и единственно и выражается формулой

 

причем интеграл понимается в (3) в смысле Римана, а само решение  является непрерывно дифференцируемой функцией.

Для кусочно непрерывной функции  формула (3) действует на каждом отрезке непрерывности функции .При этом получаем кусочно гладкое решение т. е. сама функция непрерывна, а ее производная  -кусочно непрерывна.

Линейные дифференциальные уравнения с управлением

Любое допустимое управление  является функцией измеримой и удовлетворяет оценке

.

Тем самым согласно свойству 2 интеграла Лебега, функции  интегрируемы по Лебегу.

Функцию  назовем абсолютно непрерывной на отрезке времени , если ее производная  существует для почти всех , интегрируема по Лебегу и для всех  выполняется условие


т. е. функция  однозначно восстанавливается по своей производной . Любая кусочно гладкая функция  является абсолютно непрерывной.

Для любого допустимого управления т. е. интегрируемой по Лебегу функции и любого начального состояния  можно также определить решение  дифференциального уравнения (2) из . Но в этом случае решение  уже не будет функцией непрерывно дифференцируемой, а будет лишь функцией абсолютно непрерывной.

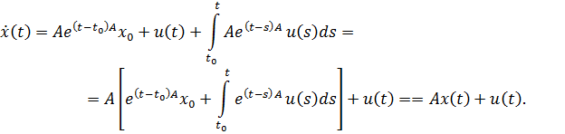
Теорема. Пусть функция  в уравнении (2) из интегрируема по Лебегу на отрезке  Тогда для любого начального значения  абсолютно непрерывное решение  уравнения (2) из существует, является единственным и для любого задается формулой Коши (3) из , причем интеграл в этой формуле понимается в смысле Лебега.

Доказательство. Непосредственно проверяется, что функция , задаваемая формулой (3) из , является решением дифференциального уравнения (2) из . Действительно, при  очевидно выполняется начальное условие . Далее, используя свойства экспоненциала, найдем производную функции


Видно, что она совпадает с правой частью уравнения (2) из . Таким образом, при подстановке функции  в уравнение (2) из  получаем равенство


Заметим, что полученное равенство выполняется лишь для почти всех , так как производная  абсолютно непрерывной функции  существует лишь почти всюду. Классическое непрерывно дифференцируемое решение  обращает уравнение в тождество при всех .

Тем не менее, абсолютно непрерывная функция  называется решением дифференциального уравнения (2) из , если равенство (1) выполняется для почти всех  Если изменить управление  в отдельных точках или даже на множестве нулевой меры, то равенство (1) сохраниться, и функция  останется решением. Она вообще не изменится, так как функция  в формуле(3)  стоит под знаком интеграла, а интеграл Лебега не меняется, если подынтегральную функцию изменить на множестве нулевой меры.

Осталось доказать единственность решения  Предположим противное, т. е. существуют два различных абсолютно непрерывных решения  и  с одним и тем же начальным условием . Пусть - первый такой момент времени, после которого решения  и  расходятся. Выберем малое число  такое, что  , и на отрезке времени  рассмотрим функцию  . Поскольку  и  удовлетворяют равенству (1) , для функции  получаем соотношение

 

Для почти всех . Проинтегрировав его на отрезке , получим равенство


так как . Таким образом, при всех  справедливо соотношение


Поскольку функция  непрерывна на отрезке , она достигает своего максимума в некоторой точке . Подставляя в полученное соотношение точку , получим противоречивое неравенство

.

Тем самым единственность решения  установлена. Теорема доказана.

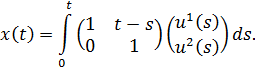
Пример 1.Пусть n=2. Найти решение системы уравнений

 

где функция  задается формулой


с начальным условием  на отрезке времени  

В данном случае , следовательно,  и формула Коши (3) принимает вид


Интегрируя функцию , получаем решение


Это решение кусочно гладко, его производная имеет разрыв в точке

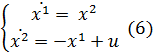
Пример 2.Найти решение системы дифференциальных уравнений


с начальным условием на правом конце отрезка времени ,, когда функция  кусочно непрерывна и задана условием

Экспоненциал матрицы  имеет вид

.

 

Подставив это выражение и условие  в формулу


получим выражение


Подставив сюда функцию  и проинтегрировав, получаем

  при



Похожие работы на - Теории управления

 

Не нашли материал для своей работы?
Поможем написать уникальную работу
Без плагиата!
Без нейросетей!