Финансовые методы оценки эффективности инвестиционных проектов

  • Вид работы:
    Курсовая работа (т)
  • Предмет:
    Финансы, деньги, кредит
  • Язык:
    Русский
    ,
    Формат файла:
    MS Word
    100,61 Кб
  • Опубликовано:
    2014-12-09
Вы можете узнать стоимость помощи в написании студенческой работы.
Помощь в написании работы, которую точно примут!

Финансовые методы оценки эффективности инвестиционных проектов

МИНИСТЕРСТВО ОБРАЗОВАНИЯ И НАУКИ

РОССИЙСКОЙ ФЕДЕРАЦИИ

федеральное Государственное бюджетное образовательное учреждение высшего профессионального образования

"Санкт-Петербургский государственный

экономический университет"

КАФЕДРА ФИНАНСОВ



Курсовая работа

"Финансы предприятий"

Финансовые методы оценки эффективности инвестиционных проектов


Выполнила студентка 434 группы

Анастасия Игоревна Павлова

Научный руководитель Маслюков М. А.

Оглавление

Введение

. Методический подход к финансовой оценке инвестиционных проектов

.1 Определение понятий инвестиций и инвестиционных проектов

.2 Задачи финансового анализа инвестиционных проектов

.3 Этапы проведения оценки инвестиционного проекта

.4 Методика оценки эффективности инвестиционного проекта

. Показатели эффективности инвестиционного проекта

.1 Период окупаемости первоначальных затрат (РР) и дисконтированный период окупаемости (DPP)

.2 Чистый доход (NV) и чистый дисконтированный доход (NPV)

.3 Внутренняя норма доходности (IRR) и модифицированная внутренняя норма доходности (MIRR)

.4 Индекс доходности инвестиций (PI)

.5 Сравнение критериев NPV и PI

.6 Оценка влияния инфляции

. Пример оценки эффективности инвестиционного проекта

.1 Проект А

.2 Проект Б

Заключение

Список использованной литературы

Введение


В настоящее время инвестиционная деятельность является одним из основных элементов национальной экономики, направленным на возрождение промышленного производства. Активизация инвестиционного процесса является первостепенным фактором для полноценного развития предприятий, в особенности в долгосрочной перспективе. Для решения этой задачи необходимо эффективное взаимодействие финансового и реального секторов экономики, а также благоприятный инвестиционный климат, способствующий притоку денежных средств в основной капитал. Так как опыт функционирования отечественных предприятий в рыночной среде насчитывает лишь чуть более 20 лет и не сравним с западными компаниями, для российской экономики исследования в области инвестиционной деятельности особенно актуальны. Одним из важнейших направлений исследования инвестиций является оценка эффективности инвестиционных проектов. Финансовые методы позволяют с разных сторон оценить привлекательность проекта и дать инвестору исчерпывающую информацию для принятия верного решения о долгосрочном вкладе своих денежных средств.

В связи с этим целью данной курсовой работы является рассмотрение финансовых методов оценки инвестиционных проектов и анализ их применения на конкретном примере. Для достижения указанной цели предлагается решить следующие задачи:

·        дать определение основных понятий инвестиционной деятельности;

·        описать сущность и значение процесса оценки эффективности инвестиционного проекта;

·        рассмотреть последовательность этапов оценки эффективности инвестиционного проекта;

·        изучить основные показатели эффективности инвестиционного проекта;

·        рассчитать систему показателей для конкретного инвестиционного проекта.

Принимая во внимание поставленные цели и задачи, объектом курсовой работы является эффективность инвестиционных проектов. Предмет исследования - методика оценки эффективности инвестиций.

Учитывая характер поставленных задач, курсовая работа включает в себя три главы. Первая глава "Методический подход к финансовой оценке инвестиционных проектов" включает в себя теоретическое обоснование предмета исследования и определение понятийного аппарата. Во второй главе "Показатели эффективности инвестиционного проекта" рассматриваются соответствующие финансовые показатели. Третья глава "Пример оценки эффективности инвестиционного проекта" посвящена практическому применению и анализу рассмотренных ранее методов оценки.

1. Методический подход к финансовой оценке инвестиционных проектов

 

.1 Определение понятий инвестиций и инвестиционных проектов


На сегодняшний день однозначного определения термина "инвестиции" не существует. В наиболее общем виде инвестициями можно назвать целенаправленную деятельность человека по процессу создания, накопления и вложения капитала с целью получения доходов в будущем периоде. С макроэкономической точки зрения, инвестиции равняются общему объему производства за вычетом объема произведённых потребительских товаров.

Согласно российскому законодательству "инвестиции - денежные средства, ценные бумаги, иное имущество, в том числе имущественные права, иные права, имеющие денежную оценку, вкладываемые в объекты предпринимательской и (или) иной деятельности в целях получения прибыли и (или) достижения иного полезного эффекта". Можно выделить ряд ключевых характеристик инвестиций, определяющих их экономическую сущность:

·        целенаправленность, целью инвестиционной деятельности является получения как экономического. так и любого другого полезного эффекта;

·        наличие временного лага между моментом инвестирования средств и моментов получения дохода;

·        рискованность, связанная с наличием неопределённости.

Различают реальные и финансовые инвестиции. Реальные (одновременно называемые капитальными вложениями) представляют собой инвестиции в основной капитал, это и затраты на строительство, расширение, реконструкцию и техническое перевооружение действующих предприятий, приобретение машин, оборудования, инструмента, инвентаря, проектно-изыскательные работы и другие затраты. Финансовые инвестиции - вложения в финансовые инструменты (ценные бумаги, депозитные договоры и др.).

В свою очередь, инвестиционным проектом признаётся "обоснование экономической целесообразности, объема и сроков осуществления капитальных вложений, в том числе необходимая проектная документация, разработанная в соответствии с законодательством Российской Федерации, а также описание практических действий по осуществлению инвестиций (бизнес-план)".

Таким образом, инвестиционные проекты связаны с долгосрочными вложениями средств организации. Они могут быть направлены как на создание новых объектов (строительство предприятий, освоение новых видов деятельности), так и на расширение или сокращение уже существующих производственных мощностей (выпуск новых видов продукции, расширение сбытовой сети, открытие новых филиалов, вложения в торговую марку, переход на аутсорсинг и т.д.).

 

.2 Задачи финансового анализа инвестиционных проектов


В независимости от типа инвестиционного проекта инвестору необходимо принять решении о целесообразности долгосрочных вложений. Задачей финансового анализа инвестиционных проектов является получение информации для принятия подобного рода решений, т.е. определение возможной эффективности капиталовложений. Эффективность проекта в целом оценивается с целью определения потенциальной привлекательности проекта для возможных участников и поисков источников финансирования. Она включает в себя общественную (социально-экономическую) и коммерческую эффективность. В данной работе будет рассматриваться методология оценки коммерческой эффективности, так как эта категория всегда поддаётся количественному анализу в отличие от социально-экономических последствий осуществления проекта. Под эффективностью инвестиционного проекта подразумевается "категория, отражающая соответствие проекта, порождающего данный инвестиционный проект, целям и интересам его участников". При этом эффективный инвестиционный проект это проект, удовлетворяющий следующим условиям:

·        полное возмещение вложенных средств;

·        полученная прибыль достаточно велика, чтобы компенсировать временный отказ от использования средств, а также риск, связанный с неопределённостью конечного результата.

Коммерческая эффективность проводится с целью учесть финансовые последствия осуществления инвестиционного проекта для предприятия, в предположении, что оно производит все необходимые для реализации проекта затраты и пользуется всеми его результатами. В связи с этим возникает необходимость учёта множества факторов, в том числе время, инфляция, риск, а также возможность альтернативного использования денежных средств. На основании исходных данных или входных параметров инвестиционного проекта - доходов, затрат, связанных с получением доходов и времени ожидания доходов - строится анализ эффективности капиталовложений.

Следовательно, задачей финансовой оценки эффективности инвестиционных проектов является обоснование вышеперечисленных параметров и расчет на их основании ключевых показателей, отражающих результат реализации проекта, с помощью которых инвесторы могут принять то или иное решение о долгосрочном вложении средств в проект. При разработке обоснования инвестиционного проекта аналитики придерживаются определённых стандартов. Главным стандартом, получившим распространение практически во всех странах, является стандарт Международной специализированной организации ООН по промышленному развитию ЮНИДО. Именно этот стандарт положен в основу национальных стандартов. В РФ по стандарту ЮНИДО сформированы Методические рекомендации по оценке эффективности инвестиционных проектов.

 

.3 Этапы проведения оценки инвестиционного проекта


Процесс оценки инвестиционного проекта можно условно разделить на несколько этапов:

)        Описание идеи проекта.

Этот этап включает в себя выявление источников доходов, описание технической и организационной схемы реализации инвестиционной идеи, определения основных участников, а также срока жизни проекта.

)        Подготовка исходной информации для расчетов.

Для оценки любого проекта необходимо подготовить информацию по четырём основным аспектам: доходы (выручка от реализации), текущие затраты (производственные и эксплуатационные), инвестиционные затраты и источники финансирования.

)        Проведение расчётов.

Этот немаловажный этап включает в себя выбор методики проведения расчётов и реализуется по трём основным направлениям: оценка экономической эффективности инвестиций, оценка финансовой состоятельности проекта и оценка рисков. Анализ эффективности призван оценить целесообразность вложения средств с точки зрения получения дополнительных доходов. Расчёт показателей, на которых основывается оценка эффективности инвестиционных проектов, будет подробно рассмотрен в следующей главе. Оценка финансовой состоятельности предоставляет информацию о возможности компании-инициатора выполнить данный проект и базируется на моделировании бюджета и контроле неотрицательного остатка свободных денежных средств на каждом из этапов реализации проекта. Оценка рисков включает в себя расчёт точки безубыточности и анализ чувствительности.

)        Интерпретация результатов.

Заключительный этап оценки представляет собой расчёт итоговых показателей, их интерпретацию и заключение об инвестиционной привлекательности и реализуемости проекта.

Очевидно, что процесс оценки является непрерывным и динамичным. Из чего следует, что решения по капиталовложениям следует постоянно пересматривать, дабы убедиться, что фактические результаты совпадают с ожидаемыми.

§4 Методика оценки эффективности инвестиционного проекта

Как отмечалось ранее при оценке эффективности инвестиций учитывается целая совокупность факторов, влияющая на решение инвесторов. Фактор времени в данном случае является основополагающим, что связано с неравной стоимостью денег в разные временные моменты: денежные поступления и затраты, осуществлённые в различные временные периоды, следовательно, имеют разное значение. Доход, полученный в более ранний период, имеет большую стоимость, чем полученный в более поздний период. То же касается и затрат: произведенные в более ранний период, они имеют большую стоимость, чем произведенные позже. В связи с этим универсальной методикой при оценке инвестиций является дисконтирование. Дисконтирование - это определение стоимости денежного потока путём приведения стоимости всех денежных притоков и оттоков к определённому моменту времени. В виде формулы приведённая настоящая стоимость будущих денежных потоков выглядит так:

, где

CFi - денежные потоки i-го периода;  r - ставка дисконтирования; N - число периодов.

Величина 1/(1 + r)n называется коэффициентом дисконтирования, на который умножаются будущие денежные потоки для нахождения их реальной стоимости в настоящий момент.

Стоит отметить, что формула дисконтированного денежного потока будет выглядеть так в том случае, если предполагается, что платеж приходится на конец расчетного периода (то есть речь идёт о финансовом потоке постнумерандо). Если платежи относятся к началу периода (финансовый поток пренумерандо), то степени при коэффициенте (1+r) сдвигаются так, чтобы платеж CF1 не дисконтировался. Первая схема обычно применяется при анализе будущих доходов, вторая - при анализе будущих платежей (но возможны исключения, в конечном счёте все определяет структура денежного потока).

Важной составляющей метода дисконтирования является выбор ставки сравнения, от которой зависят конечные результаты расчётов. Эта проблема будет рассмотрена далее при описании показателя NPV.

2. Показатели эффективности инвестиционного проекта


Рассмотрев причины и предпосылки оценки эффективности инвестиционных проектов, целесообразно перейти к изучению системы показателей, позволяющих получить информацию, дающую возможность заинтересованным лицам принимать решения о реализации или отказе от инвестиционной идеи. С этой целью согласно "Методическим рекомендациям по оценке эффективности инвестиционных проектов" используются следующие показатели:

·        чистый дисконтированный доход (NPV);

·        внутренняя норма доходности (IRR);

·        потребность в дополнительном финансировании (другие названия - ПФ, стоимость проекта, капитал риска);

·        индексы доходности затрат и инвестиций (PI);

·        срок окупаемости (PP);

·        группа показателей, характеризующих финансовое состояние предприятия - участника проекта.

Необходимо учитывать, что в данной работе будет рассматриваться система показателей именно для вновь создаваемого предприятия, так как оценка инвестиционных проектов на действующих предприятиях имеет свой ряд особенностей.

Базой для расчёта показателей эффективности проекта являются так называемые чистые потоки денежных средств (ЧПДС), включающие в себя:

)        выручку от реализации (доходы);

)        текущие затраты (производственные, эксплуатационные);

)        инвестиционные затраты (капитальные вложения, финансирование оборотного капитала);

)        налоговые платежи.

При этом первый пункт рассматривается как приток денежных средств, в то время как последующие три пункта являются оттоками денежных средств. Само понятие "чистые потоки" говорит о том, что в них не учитывается схема финансирования проекта - вложение собственного капитала и выплата дивидендов, привлечение и возврат кредитных ресурсов.

Теперь рассмотрим методику расчёта основных показателей.

2.1 Период окупаемости первоначальных затрат (РР) и дисконтированный период окупаемости (DPP)

Первостепенным показателем эффективности инвестиционного проекта считается период времени, за который доход, полученный от реализации бизнес-идеи возместит затраты на её осуществление. Данный показатель встречается под такими названиями как период окупаемости первоначальных затрат или срок окупаемости инвестиций (от англ. - Payback Period).

Данный показатель является наиболее распространённым методом оценки, прежде всего в силу простоты расчёта. Определить его можно по формуле:


где t - количество лет(горизонт планирования);- последний год планирования проекта;

IC (Invested Capital) - начальные инвестиции,

 (CF - Cash Flow - ЧПДС) - платёж через лет ();

Интерпретируют данный показатель при помощи соотнесения полученного значения с минимально допустимым сроком окупаемости проекта. То есть, чем меньше времени потребуется для возврата вложений, тем привлекательнее идея выглядит для инвестора.

Существенным недостатком PP является то, что он не учитывает изменений стоимости денег во времени, а также игнорирует денежные потоки за пределами срока окупаемости. Для устранения этой проблемы рассчитывается дисконтированный период окупаемости (от англ. -Discounted Payback Period, DPB). По своей сущности этот показатель аналогичен предыдущему, но имеет значительное преимущество - оценку временного периода от начального момента инвестирования до момента окупаемости с учётом дисконтирования. Однако этот показатель также игнорирует денежные потоки за пределами срока окупаемости. Ранее представленная формула преобразуется следующим образом:

,

где r - коэффициент дисконтирования;

I0 - первоначальные инвестиции в нулевой момент времени;

 

.2 Чистый доход (NV) и чистый дисконтированный доход (NPV)


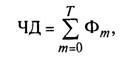
Чистый доход (от англ. - Net Value, NV) представляет собой накопленный эффект (сальдо денежного потока) за расчетный период:


где Фm - разница между денежным притоком и отттоком на m-м шаге.

Однако данный показатель не даёт объективной и полноценной оценки привлекательности инвестиционного проекта, так как является абсолютным и не учитывает фактора времени. Интерпретация чистого дохода не даёт ответа на вопрос инвесторов о выгодности вложений денежных средств инвесторов в данный проект.

Аналогичный показатель, учитывающий дисконтирования денежных потоков называется чистым дисконтированным доходом. В русскоязычной литературе встречается множество вариаций названия этого показателя, таких как чистая приведённая стоимость, чистая текущая стоимость или чистый дисконтированный доход, связанных с различным переводом международного обозначения NPV (от англ. Net Present Value).

Расчёт показателя NPV основывается на следующих задачах:

)        подсчёт совокупных денежных притоков от проекта;

)        подсчёт совокупных денежных оттоков из проекта;

)        учёт различной ценности денежных средств в разные моменты времени;

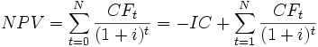
В виде формулы NPV можно записать следующим образом:

,

где t - количество лет (горизонт планирования);

N - последний год планирования проекта;

 (CF - Cash Flow - ЧПДС) - платёж через лет ();

IC (Invested Capital) - начальные инвестиции;

i - ставка дисконтирования (сравнения).

Расчёт чистого дисконтированного дохода - основополагающий метод оценки эффективности инвестиционного проекта, который призван показать эффект от инвестиции, приведённый к настоящему моменту времени с учётом разной стоимости денег в разные моменты времени.

Ставка дисконтирования отражает темп снижения ценности денежных ресурсов с течением времени. При оценке эффективности инвестиционного проекта, аналитик берёт величину, установленную участниками проекта, которые при её выборе должны ориентироваться на индекс инфляции в стране, темпы экономического роста, средний процент по вкладам и кредитам в коммерческих банках, риски реализации проекта. Логично предположить, что ставка дисконтирования, характеризующая норму прибыли данного проекта, должна быть выше доходности, предоставляемой иными финансовыми институтами, в которые бы инвестор мог вложить собственные средства. Причем существенно выше, так как кредитные организации обеспечивают почти полную сохранность вкладов при доходности 7-9% в год. Также важно учитывать стоимость привлечения заёмных средств, чтобы доходность проекта могла окупить эти затраты. Таким образом, приемлемой величиной в данном случае для ставки дисконтирования инвестиционных вложений будет считаться 15-20%.

Одним из алгоритмов расчёт ставки дисконтирования может являться следующая формула:

i = темп инфляции + минимальный уровень доходности * риск

Следует отметить, что чем больше риск осуществления проекта, тем большую ставка дисконтирования следует применить для его оценки.

При возникновении сложностей с выявлением минимального уровня доходности, в качестве готового показателя иногда также используют доходность альтернативных уже существующих проектов.

Из субъективности выбора ставки сравнения следует, что интерпретация показателя NPV сильно зависит от ожиданий инициаторов проекта. В зависимости от оптимистичности их взглядов чистая текущая стоимость проекта может принимать как положительные, так и отрицательные значения. В этой ситуации получение отрицательного значения NPV может трактоваться как отсутствие положительного результата проекта, что не является верным выводом. Возможной причиной мог явиться неверный выбор ставки сравнения - уровня доходности. Еще одной проблемой применения данного метода оценки эффективности инвестиционного проекта является постоянство ставки дисконтирования на протяжении всего срока исполнения идеи. Этот факт существенно расходится с реальностью, так как на разных этапах прибыльность бизнеса существенно различается в связи с изменениями темпов инфляции и экономической ситуации по стране в целом.

 

.3 Внутренняя норма доходности (IRR) и модифицированная внутренняя норма доходности (MIRR)


Рассмотрим еще один важный показатель эффективности инвестиционных проектов, вытекающий из рассмотренных ранее - внутренняя норма доходности (ВНД, от англ. - Internal Rate of Return, IRR). IRR представляет собой процентную ставку, при которой чистая приведённая стоимость (NPV) обращается в 0. IRR выводится из уравнения:


Рассчитать этот показатель самостоятельно очень сложно, поэтому на практике он находится либо графически, либо при помощи программы MS Excel и функции =ВНДОХ().

Особенностью данного показателя является то, что он может быть определен только для стандартных или ординарных финансовых потоков, т.е. потоков, предполагающих смену одного или нескольких оттоков (начальных инвестиций) серией поступлений денежных средств. При этом виде финансового потока уравнение имеет одно решение на экономически обоснованном интервале задания IRR.

Действительно, если рассмотреть график зависимости чистой приведённой стоимости проекта от ставки дисконтирования (см. рис. 1), то становится ясно, что кривая пересекает ось абсцисс при некотором значении ставки сравнения. Это значение и будет являться внутренней нормой доходности проекта.

Рис. 1 Зависимость чистой текущей стоимости от выбора ставки сравнения для стандартного финансового потока

Однако возможна ситуация нестандартных или неординарных финансовых потоков, когда притоки денежных средств чередуются в любой последовательности с их оттоками (проект предполагает значительный отток денежных средств в ходе его реализации), что приводит к тому, то кривая будет пересекать ось абсцисс в нескольких точках (см. рис. 2). В этом случае либо получается множество значений IRR (так как представленная выше формула является многочленом n-ой степени и следовательно имеет n различных корней), либо внутренняя норма доходности вообще не может быть определена (NPV положителен на всём горизонте планирования). При ординарном денежном потоке все корни уравнения, кроме одного, являются мнимыми, поэтому IRR находится единственным образом, однако, в случае неординарного денежного потока множество действительных корней уравнения превышает единицу, отсюда и множественность значений IRR.

Рис. 2 Зависимость чистой текущей стоимости от выбора ставки сравнения для нестандартного финансового потока

IRR, представляя собой отдачу от вложенных средств, интерпретируется следующим образом: положительное решение принимается в пользу того проекта, IRR которого как можно больше стоимости капитала.

Помимо этого, критерий IRR имеет следующие недостатки:

·        не учитываются масштабы сравниваемых инвестиционных проектов;

·        не отражается зависимость результативности проекта от изменений стоимости капитала;

·        IRR основан на предположении, что промежуточное реинвестирование производится под ставку IRR. Этот недостаток вносит в его значения искажения, величина которых возрастает по мере отклонения от ставки дисконтирования.

Указанные недостатки зачастую приводят к невозможности использования критерия IRR для принятия адекватных инвестиционных решений. Для устранения проблемы множественности значений IRR и указанных выше недостатков данного критерия разработан показатель модифицированной внутренней доходности (от англ. - Modified Internal Rate of Return, MIRR). Этот показатель представляет собой внутреннюю норму доходности, скорректированную с учетом нормы реинвестиции и определяется по формуле:

, где

OF - оттоки (инвестиции) денежных средств;IF - доходы;

k - цена капитала, по которой дисконтируются инвестиции.

Методика данных расчёт основана на том, что для приведения доходов от проекта к концу его осуществления используется ставка, равная средневзвешенной стоимости капитала (WACC), а для приведения инвестиции и реинвестиции к началу проекта используется ставка дисконтирования. Сам показатель MIRR определяется как норма дохода, при которой все ожидаемые доходы, приведенные к концу проекта, имеют текущую стоимость, равную стоимости всех требуемых затрат.

В программе MS Excel для нахождения MIRR используют функцию =МВСД().

финансовый инвестиционный окупаемость доходность


Другой способ расчёта индекса рентабельности инвестиций - это нахождение отношения суммы дисконтированных притоков к сумме дисконтированных оттоков.

Следует отметить, что при выборе проекта среди множества, имеющих примерно одинаковые значения NPV, но различные объемы начальных инвестиций, именно параметр РI даёт ответ на вопрос, какой проект является более привлекательным для вложения средств. Очевидно, что выгоднее тот из них, который обеспечивает большую эффективность вложений. Как следствие данный показатель позволяет создавать рейтинг проектов при ограниченных инвестиционных ресурсах.

Интерпретируют показатель индекса доходности инвестиций следующим образом:> 1 - проект является привлекательным для инвестора;< 1 - проект следует отвергнуть;= 1 - инвестиционная идея не принесёт ни прибыли, ни убытков.

Значение PI=1 соответствует NPV = 0;

при PI > 1 чистая приведённая стоимость NPV > 0;

при PI < 1 чистая приведённая стоимость NPV < 0.

Таким образом, мы рассмотрели некоторые показатели эффективности инвестиционных проектов. В данной работе приведены лишь наиболее используемые из них, в то время, как существуют и другие. Теперь целесообразно оценить практическое применение данных показателей на конкретном примере инвестиционного проекта.

 

.5 Сравнение критериев NPV и PI


Нередко на практике, результаты расчётов критериев NPV и PI могут приводить к противоречивым результатам, затрудняющим выбор инвесторов.

Рассмотрим практический пример. Имеются 2 проекта:

)        Крупные проект L, предусматривающий первоначальные инвестиции на сумму 5 000 000 руб. и обещающий доход в 6 000 000 руб. после первого года

)        Мелкий проект S, требующий начальных инвестиций в 100 000 руб. с доходом в 130 000 руб. после первого года.

Оценим оба проекта по ставке дисконтирования 10% и рассчитаем оба показателя для каждого проекта:

NPVL = -5 000 000 * (6 000 000)/1.1 = 454 545 руб.

NPVS = -100 000 * (130 000)/1.1 = 18 182 руб.

PIL = 6 000 000 / 1.1 / 5 000 000 = 1.09

PIS = 130 000 / 1.1 / 100 000 = 1.18

NPVL > NPVS, следовательно, согласно критерию NPV должен быть принят первый проект, однако IP даёт другие рекомендации: PIS > PIL и согласно этому критерию, второй инвестиционный проект считается более привлекательным. В данной ситуации, следует отметить что состояние акционеров повышается на величину NPV проекта, поэтому, предпочтение стоит отдать первому проекту. Таким образом, для фирмы, стремящейся максимизировать богатство собственников, следует в первую очередь обращать внимание на критерий NPV.

2.6 Оценка влияния инфляции


Инфляция - неизбежный процесс, сопровождающий экономику любого государства, поэтому влияние этого фактора следует учитывать при полноценном анализе инвестиционных проектов. В безынфляционной экономике реальная, kr, и номинальная, kn, цена капитала совпадают. То же самое можно сказать о реальном (RCFt) и ожидаемом (NCFt) денежных потоках. (Отметим, что отличие номинальных ставок и денежных потоков от реальных состоит в том, что они учитывают влияние инфляции). Для рассмотрения влияния инфляции на показатели эффективности инвестиционных проектов предположим, что прогнозируется некоторый темп инфляции, а потому все денежные потоки проекта, включая амортизацию, вырастут с темпом r. Далее допустим, что этот же уровень инфляции включен в рыночную цену капитала в качеств еинфляционной премии IP=r' . В этой ситуации номинальный чистый денежный поток NCFt будет ежегодно увеличиваться на r процентов. В результате, представленная ранее формула NPV без учёта инфляции

NPV (без учёта инфляции) =

преобразуется следующим образом:

NCFt = RCFt*(1+r)’

Итак, если чистые денежные потоки увеличиваются со скоростью r' % в год, то этот же темп инфляции включен в цену капитала фирмы. Тогда расчет NPV будет выглядеть следующим образом:

NPV (с учётом инфляции) =

После упрощения, вновь получим формулу идентичную расчёту NPV без учёта инфляции.

Таким образом, если учитывать, что все оттоки и притоки будут повышаться с той же скоростью, что и уровень инфляции, который также учтен в цене капитала, то расчёт NPV с учетом инфляции будет идентичен расчёту NPV без учета инфляции. Однако, зачастую анализ выполняется в денежных единицах постоянной покупательской способности, но с учетом рыночной цены капитала. Безусловно, такая методика является неверной, поскольку цена капитала обычно включает инфляционную надбавку, а использование постоянного денежного потока притоков и оттоков приводит к занижению его NPV(из-за того, что в знаменателе есть поправка на инфляцию, а в числителе она отсутствует).

Влияние инфляции можно учитывать двумя способами:

.        Первый способ - прогнозирование денежного потока без поправки на инфляцию. При этом инфляционная премия исключается и из цены капитала. Этот метод относительно прост, однако, для получения с его помощью достоверной оценки NPV требуется: во-первых, чтобы инфляция одинаково влияла на все денежные потоки проекта, включая амортизацию, и во-вторых чтобы поправка на инфляцию, включаемая инвесторами в показатель рентабельности капитала, совпадала с темпом инфляции. Поскольку обычно на практике этих допущений не придерживаются, данный способ не нашел широкого применения.

.        В соответствии со вторым способом цену капитала оставляют номинальной, а затем корректируют отдельные денежные потоки на темп инфляции. При этом, делается допущение, что выручка, переменные затраты и постоянные накладные расходы будут возрастать со скоростью примерно r% в год, но амортизационные отчисления не подпадут под влияние инфляции. Однако даже эти условия могут не совсем отражать реальность, так как разные затраты растут с разной скоростью. Темпы роста определённых расходов могут превышать темпы инфляции, а темпы роста других статей затрат могут быть ниже темпов инфляции. Поэтому учёт влияния инфляции при оценке денежных потоков всегда должен совершаться с определённой корректировкой.

Итак, резюмируя вышесказанное, можно сделать следующие выводы:

Во-первых, следует отметить, что инфляцию оказывает большое влияние на финансовые результаты. Следовательно, её непременно следует учитывать при анализе денежных потоков.

Во-вторых, наиболее эффективный путь преодоления искажающего влияния инфляции при формировании бюджета капиталовложений заключается в корректировке составляющих денежного потока, выделяемых в зависимости от степени их изменчивости под влиянием изменения цен.

В-третьих, поскольку невозможно дать точную оценку будущих темпов инфляции, ошибки неизбежны.

Таким образом, инфляция ведет к еще большей неопределенности, а так ж увеличивает сложность формирования бюджета или повышает степень риска капиталовложений. Осознание природы проблемы необходимо для полноценного анализа при формировании бюджета капиталовложений. Лучшим методом является включение показателя инфляции непосредственно в прогнозные значения составляющих денежных потоков.

3. Пример оценки эффективности инвестиционного проекта


Проведём расчёт и интерпретацию показателей, рассмотренных в предыдущей главе на примере двух условных инвестиционных проектов, а затем выберем наиболее привлекательный из них с точки зрения долгосрочных вложений. Горизонт планирования обоих проектов составляет 5 лет.

 

.1 Проект А


Исходные данные инвестиционного проекта (табл. 1):

Табл. 1 Исходные данные проекта А


Основные показатели движения денежных средств, образующие чистые потоки денежных средств за период 5 лет, представлены в таблице 2:

Табл. 2 Чистый поток денежных средств проекта А


Произведём расчёт некоторых показателей эффективности данного инвестиционного проекта при помощи MS Excel при ставке сравнения 18%:

Табл. 3 Показатели эффективности проекта А



Как отмечалось ранее, аналитики самостоятельно выбирают ставку сравнения, по которой будет оцениваться проект. В данном случае, стоимость кредитных ресурсов составляет 16% годовых в рублях, поэтому для того чтобы ставка дисконтирования покрывала эту величину, её значение было установлено на уровне 18%. Данный инвестиционный проект выглядит весьма привлекательным для инвесторов, так как разные критерии NPV, IRR, MIRR, PI дают одинаковые рекомендации к его принятию: значение чистой приведённой стоимости является положительным (487 млн. руб.), период окупаемости инвестиций равен 3 годам, обе нормы доходности показывают хороший результат, причём IRR, равный 38% значительно превышает стоимость заёмного капитала, которая составляет 16%. Индекс доходности данного проекта превышает единицу. Таким образом, за 5 рассматриваемых лет проект полностью окупает затраты на своё исполнение и показывает положительный результат. На данном примере наглядно иллюстрируется выполнение следующей зависимости: если NPV > 0, то одновременно справедливо: IRR > r, MIRR > r, PI >1. Под ставкой r подразумевается требуемая отдача от проекта, установленная инвесторами.

 

.2 Проект Б


Теперь рассмотрим другой инвестиционный проект со схожими начальными данными (табл. 4):

Табл. 4 Исходные данные проекта Б

Начальные инвестиции, млн. руб.

900

Доходы, млн. руб.

950 - 1000

Текущие затраты, млн. руб.

200 - 250

в том числе амортизационные отчисления, млн. руб

40

Источники финансирования

900

в том числе:

 

кредиты полученные, млн. руб.

450

стоимость кредитных ресурсов, % годовых в рублях

16

срок кредита, лет

5

Собственный капитал, млн. руб.

450

Ежегодные дивиденды, %

10


Табл. 5 Чистый поток денежных средств проекта Б


Произведём расчёт тех же показателей эффективности инвестиционного проекта при помощи MS Excel при той же ставке сравнения 18% (табл. 6 ):

Табл. 6 Показатели эффективности проекта Б


Данный инвестиционный проект также даёт положительный результат по всем показателям: NPV положителен (437 млн. руб.), срок окупаемости 2 года, обе внутренние нормы доходности превышают стоимость заёмных средств и индекс доходности больше 1. Так как оба рассмотренных проекта дают положительный результат и являются альтернативными, возникает вопрос - какой из них более предпочтителен для долгосрочных вложений? Ведь по показателю чистой приведённой стоимости следует выбрать проект А (487 млн. руб. > 437 млн. руб.), однако проект Б имеет меньший срок окупаемости (два года против трёх) и большую внутреннюю норму доходности (41% > 38%). Если принимать решение, основываясь на относительных показателях, то оба проекта являются приемлемыми, однако проект Б показывает более высокие значения. Для того чтобы принять более взвешенное решение рассмотрим графики зависимостей функции NPV для обоих проектов от ставки дисконтирования. Они представлены на рис. 3.

Рис 3. Зависимости NPV от процентной ставки для проектов А и Б

Из графика видно, что при значении ставки сравнения, равном 28%, чистая приведённая стоимость обоих проектов совпадает. При ставке дисконтирования 28% NPVА = NPVБ =170 млн. руб. Такая точка называется точкой Фишера. Нахождение этой точки позволяет сделать правильный выбор при принятии решения между двумя альтернативными проектами. При финансировании под ставку меньшую, чем 28% более выгодным является проект А, при финансировании под процентную ставку, превышающую 28%, следует выбрать проект Б. В нашем случае стоимость кредитных ресурсов составляет 16% годовых, следовательно, более предпочтительным выбором будет являться проект А. Отсюда следует вывод, что критерий NPV является первоочередным при принятии инвестиционных решений, ему следует отдавать приоритет перед всеми остальными относительными показателями.

Заключение


Таким образом, в результате проведенного исследования, можно сделать вывод о том, что инвестиционная деятельность, играя важнейшую и определяющую роль в развитии национальной экономики, требует точной, своевременной и полноценной оценки её эффективности. Возросшее число участников инвестиционного процесса, многообразие потенциальных источников инвестирования, развитие современных технологий и ограниченность ресурсов делает оценку эффективности абсолютно необходимым этапом ведения бизнеса.

При применении методов инвестиционного анализа важно иметь в виду следующие аспекты:

.        результаты оценки сильно зависят от качества и полноты исходных данных и применяемого подхода;

.        произведённые методы и показатели коммерческой эффективности могут как дополнять друг друга, так и входить в противоречие. При этом необходим более глубокий анализ проекта с целью объяснения получившихся различий.

.        Велика вероятность получения технических ошибок, содержащихся в расчётах.

Также, следует иметь в виду, что рассмотренные методики оценки эффективности не гарантируют абсолютного достижения целей проекта, так как имеет место высокая степень неопределённости будущих событий.

Следует отметить тот факт, что многообразие показателей эффективности оценки инвестиционных проектов зачастую мешает сделать инвесторам правильный выбор, особенно когда речь идёт не о независимых, а об альтернативных проектах, так как некоторые показатели могут давать противоречивые результаты. Абсолютный показатель NPV и относительные показатели PI и MIRR приводят к одинаковым рекомендациям при оценке независимых проектов, однако при необходимости выбрать один проект из нескольких альтернативных, могут возникнуть противоречия. В таких ситуациях, следует отдавать предпочтение критерию NPV, который является наилучшим измерителем доходности проекта в силу следующих причин:

·        так как показатель NPV является абсолютным, он показывает на сколько возрастёт стоимость фирмы или состояние собственников при реализации того или иного инвестиционного проекта;

·        NPV предполагает, что поступающие денежные средства будут реинвестированы по цене капитала фирмы, тогда как IRR предусматривает реинвестирование по ставке равной IRR проекта; так как реинвестирование по цене капитала является более обоснованным, критерий NPV предпочтительнее IRR;

Однако, несмотря на предпочтительность параметра NPV перед всеми остальными, опытные менеджеры принимают во внимание все рассмотренные критерии, поскольку каждый из них несёт дополнительную информацию.

Вопросам методологических подходов к проведению анализа эффективности оценки посвящено много исследований и литературы. Отечественные авторы в основном опираются на разработки зарубежных учёных, заимствую опыт оценки проектов в условиях рыночной экономики. Однако, следует учитывать, что российская среда имеет свои особенности и накладывает отпечаток на практику осуществления инвестиционной деятельности. Следовательно, методологические аспекты оценки инвестиционных проектов в Российской Федерации должны учитывать эти особенности и разрабатываться на основании отечественной практики. Однако, несмотря на все сложности, Россия имеет высокий потенциал для развития собственной школы оценки инвестиционной деятельности.

Список использованной литературы


.        Федеральный закон Российской Федерации от 25 февраля 1999г. № 39-ФЗ "Об инвестиционной деятельности в Российской Федерации, осуществляемой в форме капитальных вложений".

.        Приказ Минэкономразвития РФ и Минфина РФ от 23 мая 2006 г. № 139/82н "Об утверждении Методики расчёта показателей и применения критериев эффективности инвестиционных проектов, претендующих на получение государственной поддержки за счёт средств Инвестиционного Фонда Российской Федерации.

.        "Методические рекомендации по оценке эффективности инвестиционных проектов" (утв. Минэкономики РФ, Минфином РФ, Госстроем РФ 21.06.1999 N ВК 477)

.        Ахметзянов И. Р.. Анализ инвестиций: методы оценки эффективности финансовых вложений - М.: Эксмо, 2007. - 272 с.

.        Беннинга Ш.. Финансовое моделирование с использованием Excel. -М.: Вильямс, 2007. - 592 с.

.        Бригхем Ю., Гапенски Л. Финансовый менеджмент. Полный курс. В 2-х т. / Пер. с англ. под ред. В.В. Ковалёва - Спб.: Экономическая школа, 1997. - 497 с.

.        Бригхем Ю., Эрхардт М. Финансовый менеджмент 10-е изд. - СПб.: Питер., 2009. - 960 с.

.        Брейли Р., Майерс С. Принципы корпоративных финансов. - М.: Олимп-Бизнес, 2004 - 859с.

.        Бочаров В. В.. Инвестиции. - Спб.: Питер, 2009. - 218 с.

.        Кольцова И. В., Рябых Д. А.. Практика финансовой диагностики и оценки проектов. - М.: ООО "И.Д. Вильямс", 2007. - 416 с.

.        Корпоративные финансы: Учебник для вузов / Под ред. M. В. Романовского, А. И. Вострокнутовой. Стандарт третьего поколения.- СПб.: Питер., 2011. - 592 с.

.        Царёв В. В.. Оценка экономической эффективности инвестиций. - Спб.: Питер, 2004. - 464 с.

.        Никонова И. "Проблемы оценки инвестиционных проектов в условиях финансово-экономического кризиса" //://smao.ru/files/magazine/2009/02/38-39.pdf

.        Касаткина Е. В. "Оценка эффективности инвестиционных проектов: методологические проблемы и направления их решения" //://cyberleninka.ru/article/n/otsenka-effektivnosti-investitsionnyh-proektov-metodologicheskie-problemy-i-napravleniya-ih-resheniya

Похожие работы на - Финансовые методы оценки эффективности инвестиционных проектов

 

Не нашли материал для своей работы?
Поможем написать уникальную работу
Без плагиата!
Без нейросетей!