Разработка и анализ эффективности инвестиционного проекта (на примере ЗАО 'Авиастар-СП')

  • Вид работы:
    Дипломная (ВКР)
  • Предмет:
    Финансы, деньги, кредит
  • Язык:
    Русский
    ,
    Формат файла:
    MS Word
    175,24 Кб
  • Опубликовано:
    2012-06-08
Вы можете узнать стоимость помощи в написании студенческой работы.
Помощь в написании работы, которую точно примут!

Разработка и анализ эффективности инвестиционного проекта (на примере ЗАО 'Авиастар-СП')

Содержание


Введение

Глава 1. Инвестиционные проекты: понятие, особенности и основы оценки эффективности

.1 Сущность и виды инвестиционных проектов

.2 Характеристика инвестиционных проектов и общая схема оценки их эффективности

Глава 2. Методы анализа эффективности инвестиционных проектов и их характеристики

.1 Методы анализа рисков инвестиционных проектов

.2 Динамические методы оценки эффективности инвестиционных проектов

.3 Инвестиционные риски и методика их анализа

Глава 3. Разработка инвестиционного проекта ЗАО “Авиастар-СП”

.1 Характеристика инвестиционного проекта

.2 Расчет эффективности инвестиционного проекта

.3 Пути совершенствования процедуры разработки и анализа эффективности инвестиционного проекта в ЗАО “Авиастар-СП”

Заключение

Список использованной литературы

 

Введение


Разработка инвестиционной стратегии любого предприятия начинается с выбора совокупности инвестиционных проектов, формирующих инвестиционный портфель финансового управления.

На крупных предприятиях задача выбора схемы финансирования инвестиционного проекта с необходимостью уходит на высший уровень управления. На уровне среднего управленческого звена остается задача выбора наиболее эффективных (наиболее прибыльных) проектов.

Перед разработкой любого проекта выдвигается идея проекта, которая может возникнуть спонтанно или явиться результатом, проводимых фундаментальных или прикладных исследований, опытно-конструкторских работ по созданию новых услуг, продукции, технологии. При поиске идей огромное значение имеют творческие способности привлекаемого для ее выдвижения коллектива специалистов.

Несмотря на разнообразие проектов их анализ обычно следует некоторой общей схеме, которая включает специальные разделы, оценивающие коммерческую, техническую, финансовую, экономическую и институциональную выполнимость проекта. Оценивать реальность идеи можно по показателям: конкурентоспособность услуг и продукции; улучшение экологической обстановки; прирост прибыли; увеличение объема услуг или выпуска продукции; снижение издержек предоставления услуг или выпуска продукции; возможность выхода на другие рынки; эффективное использование капитала; повышение имиджа инвестора, фирмы.

Проблема оценки экономической эффективности инвестиционного проекта заключается в определении уровня его доходности в абсолютном и относительном выражении (т.е. в расчете на единицу инвестиционных затрат, капитала), что обычно характеризуется как норма дохода.

Инвестиционная деятельность в той или иной степени присуща любому предприятию. Она представляет собой один из наиболее важных аспектов функционирования любой коммерческой организации. Причинами, обуславливающими необходимость инвестиций, являются обновление имеющейся материально-технической базы, наращивание объемов производства, освоение новых видов деятельности.

Управление инвестиционными процессами, связанными с вложениями денежных средств в долгосрочные материальные и финансовые активы, представляет собой наиболее важный и сложный раздел финансового менеджмента. Принимаемые в этой области решения рассчитаны на длительные периоды времени и, как правило:

-        являются частью стратегии развития фирмы в перспективе;

-       влекут за собой значительные оттоки средств;

-       с определенного момента времени могут стать необратимыми;

-       опираются на прогнозные оценки будущих затрат и доходов.

Актуальность проблемы совершенствования методики анализа эффективности инвестиционного проекта, а также актуальность повышения уровня теоретических знаний и практических навыков в сфере разработки инвестиционных проектов в настоящее время особенно возрастает. Это связано с тем, что относительная экономическая стабилизация повлекла за собой рост инвестиционной активности предприятий, который сопровождается появлением не только новых методов оценки и анализа, но и финансовых технологий, что усложняет процедуру принятия решений в сфере управления инвестиционными проектами. В рыночной экономике, когда предприятие самостоятельно организует свою деятельность, а также несет ответственность за результаты собственной работы вопросы минимизации риска в условиях быстроизменяющейся внешней среды, тем более в случае реализации инвестиционного проекта, актуальность овладения современной методикой оценки проекта имеет исключительное значение.

Целью данного дипломного проекта является анализ практической деятельности предприятия по разработке и оценке эффективности инвестиционных проектов, а также разработка рекомендаций по совершенствованию методологии разработки и организации инвестиционного менеджмента. Для достижения поставленной цели в работе был обоснован ряд задач исследования:

-    рассмотрение классификации инвестиций и определение их характеристик как экономической категории;

-       изучение порядка организации инвестиционного процесса на предприятии;

-       рассмотрение основных типов инвестиционных проектов в системе инвестиционного менеджмента;

-       изучение общей последовательности разработки и оценки эффективности инвестиционного проекта;

-       анализ базовых методов оценки эффективности инвестиционного проекта;

-       изучение действующей практики организации инвестиционного менеджмента на предприятии;

-       анализ методологии разработки и анализа инвестиционного проекта;

-       обоснование полученных результатов и разработка путей совершенствования инвестиционной деятельности.

Объектом исследования в данном дипломном проекте является предприятие ЗАО “Авиастар-СП”. Теоретической и методологической базой исследования является современная теория финансового управления, инвестиционного менеджмента, финансового и инвестиционного анализа, а также теория статистического анализа.

Предметом исследования является финансово-экономическая деятельность предприятия.

Практической базой исследования являются данные предприятия - объекта исследования: данные управленческого учета, база данных финансового отдела и службы управления инвестициями.

Глава 1. Инвестиционные проекты: понятие, особенности и основы оценки эффективности

 

.1 Сущность и виды инвестиционных проектов


Термин “инвестиция” (нем. investition, лат. investio) - вложение капитала с целью получения и наращивания дохода [15, с. 442].

Инвестиции - это все виды активов (средств), вкладываемых в хозяйственную деятельность в целях получения дохода.[34, с. 119].

Под инвестициями понимают долгосрочные вложения капитала в собственной стране или за рубежом в предприятия разных отраслей, предпринимательские проекты, социально-экономические программы, инновационные проекты, которые дают отдачу через значительный срок после вложения.

Известны различные классификации инвестиций. В качестве примера хотелось бы привести классификацию И. Бланка, представленную в табл. 1. [Друж, 94 с.].

Таблица 1. Признаки классификации инвестиций

Объекты вложения средств

Характер участия в инвестировании

Период инвестирования

Форма собственности

Регион

реальные; финансовые (инвестиции в денежные активы)

прямые; непрямые.

краткосрочные; долгосрочные

частные; государственные; иностранные; совместные

внутри страны; за рубежом.


Классификация инвестиций по видам осуществляется по определенным признакам.

. По объектам вложения денежных средств выделяют реальные и финансовые инвестиции.

Реальные инвестиции - авансирование денежных средств в материальные и нематериальные активы. Вложение денежных средств в материальные активы обычно происходит в форме капитальных вложений, которые в свою очередь классифицируются по структурам: отраслевой (промышленность, транспорт, строительство, сельское хозяйство и т.д.); воспроизводственной (новое строительство, расширение, реконструкция и т.д.); технологической (строительно-монтажные работы, приобретение оборудования, прочие капитальные затраты).

Финансовые инвестиции - вложения денежных средств в ценные бумаги (акции, облигации и т.д.).

. По характеру - вложение денег непосредственно в производство и сбыт определенного вида продукции или вложения, обеспечивающие обладание контрольным пакетом акций.

. По периоду инвестирования вложения делятся на краткосрочные (на срок до одного года) и долгосрочные (на срок свыше одного года).

. По форме собственности инвестиции делятся на частные, государственные, совместные и иностранные.

Частные инвестиции - вложения средств юридических лиц негосударственных форм собственности и физических лиц.

Государственные - вложение средств государственных унитарных и муниципальных предприятий, а также средства федерального и регионального бюджетов и внебюджетных фондов.

. По региональному признаку инвестиции подразделяются на вложения средств внутри страны и за рубежом.

. По уровню инвестиционного риска выделяют следующие виды инвестиций:

-       безрисковые инвестиции - инвестиции, которые характерны вложением средств в такие объекты инвестирования, по которым отсутствует реальный риск потери ожидаемого дохода или капитала и имеется реальная возможность получить прибыль;

-       низкорисковые инвестиции - вложение средств в такие объекты, риск по которым ниже среднерыночного уровня;

-       среднерисковые инвестиции - вложение средств в объекты, риск по которым соответствует среднерыночному уровню;

-       выскорисковые инвестиции характерны тем, что уровень риска по таким объектам выше среднерыночного;

-       спекулятивные инвестиции определяются тем, что вложения осуществляются в наиболее рисковые активы (часто это новые предприятия), где ожидается получение максимального дохода.

Классификация инвестиций, предложенная А. Пересадой представлена на рис. 1.

Рис. 1. Классификация форм инвестиций по А. Пересаде

Расширенная классификация инвестиций представлена на рис. 2.

Рис. 2. Классификация инвестиций

Инвестирование - это создание или пополнение запаса капитала - ресурса, создаваемого производства большего количества экономических благ. С финансовой и экономической точек зрения инвестирование может быть определено как долгосрочное вложение экономических ресурсов в целях создания и получения чистой прибыли в будущем, превышающей общий начальный вложенный капитал.

Инвестирование реализуется посредством инвестиционной деятельности предприятия. Основными признаками инвестиционной деятельности, определяющими подходы к ее анализу, являются:

. Необратимость, связанная с временной потерей потребительской ценности капитала (например, ликвидности).

. Ожидание увеличения исходного уровня благосостояния.

. Неопределенность, связанная с отнесением результатов на относительно долгосрочную перспективу

Инвестиционная деятельность - конкретные практические действия по вложению инвестиций с целью получения прибыли или иного полезного эффекта.

Этапы реализации инвестиций (мероприятий инвестиционной деятельности) связаны с особенными этапами во временном анализе, которые являются характерной чертой инвестиций и представляют собой инвестиционный цикл. Данные этапы включают в себя:

-       Начальный - выделение денежных средств, что в мировой хозяйственной практике называется “платежи”, т.е.. инвестор выделяет средства на приобретение активов;

-       Следующий - возврат денежных средств; эти возвращающиеся средства в мировой хозяйственной практике называют “поступления”.

Инвестиционный цикл - период времени от вложения денежных средств до завершения их возврата. Схема инвестиционного цикла представлена на рис. 3.

Рис. 3. Наглядное изображение инвестиционного цикла

Субъектом инвестиций является предприятие (организация), использующее инвестиции. Это предприятие называется ещё реципиентом.

Существуют следующие объекты инвестиций:

·   строящиеся, реконструируемые или расширяемые предприятия, здания, сооружения (основные фонды), предназначенные для производства новых продуктов и услуг;

·   комплексы строящихся или реконструируемых объектов, ориентированных на решение одной задачи (программы). В этом случае под объектом инвестирования подразумевается программа федерального, регионального или иного уровня;

·   производство новых изделий (услуг) на имеющихся производственных площадях в рамках действующих производств и организаций.

Инвестиции могут охватывать как полный научно - технический и производственный цикл создания продукции (ресурса, услуги), так и его элементы (стадии): научные исследования, проектно-конструкторские работы, расширение или реконструкция действующего производства, организация нового производства или выпуск новой продукции, рециклинг, утилизация и т.д.

Объекты инвестиций различаются по:

·   масштабам проекта;

·   направленности проекта (коммерческая, социальная, связанная с государственными интересами и т.д.);

·   характеру и содержанию инвестиционного цикла;

·   характеру и степени участия государства (государственные капиталовложения, пакет акций, налоговые льготы, гарантии, иные формы участия);

·   эффективности использования вложенных средств.

Используются следующие формы инвестиций:

·   денежные средства и их эквиваленты (целевые вклады, оборотные средства, паи и доли в уставных капиталах предприятий, ценные бумаги, например, акции или облигации; кредиты, займы, залоги и т.п.);

·   земля;

·   здания, сооружения, машины и оборудование, измерительные и испытательные средства, оснастка и инструмент, любое другое имущество, используемое в производстве или обладающее ликвидностью;

·   имущественные права, оцениваемые, как правило, денежным эквивалентом (секреты производства, лицензии на передачу прав промышленной собственности - патентов на изобретения, свидетельств на полезные модели и промышленные образцы, товарные знаки и фирменные наименования, сертификаты на продукцию и технологию производства; права землепользования и др.).

По экономической сущности и целям инвестиции подразделяются на:

·   капиталообразующие инвестиции (или реальные инвестиции), обеспечивающие создание и воспроизводство фондов. Их осуществляют организации и другие субъекты хозяйствования, приобретая землю, средства производства, нематериальные и другие активы.

·   портфельные (или финансовые) инвестиции - помещение средств в финансовые активы, то есть покупка субъектами хозяйствования и частными лицами ценных бумаг различных эмитентов. В данном случае приток капитала в бизнес происходит через инвестирование средств в ценные бумаги. Приобретая ценные бумаги, инвестор преследует три главные цели:

·   безопасность вложений - отсутствие риска потерь капитала (вложенных денежных средств и ожидаемых доходов);

·   доходность вложений - получение текущего дохода на вложенный капитал в виде дивиденда или процента;

·   рост вложений - увеличение капитала (рост рыночной цены бумаг).

Капиталообразующие затраты определяются как сумма средств, необходимых для строительства (расширения, реконструкции, модернизации) и оснащения оборудованием инвестируемых объектов, расходов на подготовку капитального строительства и прироста оборотных средств, необходимых для нормального функционирования предприятий.

Укрупнено затраты складываются из вложений:

·   в землю;

·   в подготовку строительной площадки;

·   на проектно-конструкторские работы;

·   на предэксплуатационные капитальные работы;

·   на приобретение машин и оборудования;

·   в строительство зданий и инженерных сооружений;

·   в строительство вспомогательных сооружений;

·   на прирост оборотного капитала;

·   в непредвиденные расходы.

По каждой статье затрат на реконструкцию или строительство указываются:

·   величина инвестиционных затрат (в денежных единицах);

·   начало (год, полугодие, квартал) инвестирования средств;

·   период амортизации (количество лет, в течение которых амортизируется данная статья затрат);

·   способ амортизации.

Инвестиционные проекты можно дифференцировать по ряду классификационных признаков:

1. По масштабу (размеру) различают:

·   малые проекты, которые невелики по объёму. Это, например создание, опытно-промышленных установок, строительство небольших зданий, сооружений, предприятий небольшой мощности;

·   мегапроекты - это целевые программы, содержащие множество взаимосвязанных проектов, объединённых общей целью, выделенными для реализации ресурсами и отпущенным на их выполнение временем. Они могут быть международными, государственными, национальными, региональными, межотраслевыми, отраслевыми.

2. По срокам реализации выделяют:

·   краткосрочные проекты (на срок до 3-х лет);

·   среднесрочные проекты (на срок от 3-х до 5-ти лет);

·   долгосрочные проекты (на срок свыше 5-ти лет).

3. По степени ограниченности используемых ресурсов выделяют:

·   проекты, для которых заранее не устанавливаются ограничения по ресурсам (например, проекты стратегического характера);

·   проекты с ограничением по некоторым видам ресурсов (по времени исполнения проекта;

·   проекты с ограничением по многим видам ресурсов (по времени, стоимости проекта, его трудоёмкости и т.д.)

В практике встречаются также, например, мультипроекты, к которым относятся несколько взаимосвязанных проектов, выполняемых разными подрядчиками для одной производственной фирмы, и монопроекты, что предполагает обычно выполнение отдельных проектов в рамках одной проектной команды фирмы.

Источниками инвестиций являются:

·   собственные финансовые средства (прибыль, накопления, амортизационные отчисления, суммы, выплачиваемые страховыми органами в виде возмещения за ущерб и т.п.), а также иные виды активов (основные фонды, земельные участки, промышленная собственность и т.п.) и привлеченных средств (средства от продажи акций, благотворительные и иные взносы, средства, выделяемые вышестоящими холдинговыми и акционерными компаниями, промышленно - финансовыми группами на безвозмездной основе);

·   ассигнования из федерального, региональных и местных бюджетов, фондов поддержки предпринимательства, предоставляемые на безвозмездной основе;

·   иностранные инвестиции, предоставляемые в форме финансового или иного участия в уставном капитале совместных предприятий, а также в форме прямых вложений (в денежной форме) международных организаций и финансовых институтов, государств, предприятий и организаций различных форм собственности и частных лиц;

·   различные формы заемных средств, в том числе кредиты, предоставляемые государством на возвратной основе, кредиты иностранных инвесторов, облигационные займы, кредиты банков и других институциональных инвесторов: инвестиционных фондов и компаний, страховых обществ, пенсионных фондов, а также векселя и другие средства.

Первые три группы указанных источников, образуют собственный капитал реципиента. Суммы, привлеченные им по этим источникам извне, не подлежат возврату. Субъекты, предоставившие по этим каналам средства, как правило, участвуют в доходах от реализации инвестиций на правах долевой собственности.

Четвертая группа источников образует заемный капитал реципиента. Эти средства необходимо вернуть на определенных заранее условиях (сроки, процент). Субъекты, предоставившие средства реципиенту по этим каналам, в доходах от реализации проекта не участвуют.

1.2 Характеристика инвестиционных проектов и общая схема оценки их эффективности

Инвестиционным проектом (англ. investment project) называется план мероприятий, связанных с осуществлением капитальных вложений и их последующим возмещением и получением прибыли.

Основные типы инвестиционных проектов, которые встречаются в зарубежной и отечественной практике, сводятся к следующим:

1.       Замена устаревшего оборудования, как естественный процесс продолжения существующего бизнеса в неизменных масштабах. Обычно подобного рода проекты не требуют очень длительных и многосложных процедур обоснования и принятия решений. Многоальтернативность может появляться в случае, когда существует несколько типов подобного оборудования, и необходимо обосновать преимущества одного из них.

2.       Замена оборудования с целью снижения текущих производственных затрат. Целью подобных проектов является использование более совершенного оборудования взамен работающего, но сравнительно менее эффективного оборудования, которое в последнее время подверглось моральному старению. Этот тип проектов предполагает очень детальный анализ выгодности каждого отдельного проекта, т.к. более совершенное в техническом смысле оборудование еще не однозначно более выгодно с финансовой точки зрения.

.        Увеличение выпуска продукции и/или расширение рынка услуг. Данный тип проектов требует очень ответственного решения, которое обычно принимается верхним уровнем управления предприятия. Наиболее детально необходимо анализировать коммерческую выполнимость проекта с аккуратным обоснованием расширения рыночной ниши, а также финансовую эффективность проекта, выясняя, приведет ли увеличение объема реализации к соответствующему росту прибыли.

.        Расширение предприятия с целью выпуска новых продуктов. Этот тип проектов является результатом новых стратегических решений и может затрагивать изменение сущности бизнеса. Все стадии анализа в одинаковой степени важны для проектов данного типа. Особенно следует подчеркнуть, что ошибка, сделанная в ходе проектов данного типа, приводит к наиболее драматическим последствиям для предприятия.

.        Проекты, имеющие экологическую нагрузку. В ходе инвестиционного проектирования экологический анализ является необходимым элементом. Проекты, имеющие экологическую нагрузку, по своей природе всегда связаны с загрязнением окружающей среды, и потому эта часть анализа является критичной. Основная дилемма, которую необходимо решить и обосновать с помощью финансовых критериев - какому из вариантов проекта следовать:

(1)        использовать более совершенное и дорогостоящее оборудование, увеличивая капитальные издержки, или

(2)     приобрести менее дорогое оборудование и увеличить текущие издержки. [7]

6.       Другие типы проектов, значимость которых в смысле ответственности за принятие решений менее важна. Проекты подобного типа касаются строительства нового офиса, покупки нового автомобиля и т. д.[1]

Проблема оценки экономической эффективности инвестиционного проекта заключается в определении уровня его доходности в абсолютном и относительном выражении (т.е. в расчете на единицу инвестиционных затрат, капитала), что обычно характеризуется как норма дохода.

В осуществлении и реализации инвестиционного проекта принимают участие ряд субъектов. Поступающий в распоряжение общества доход (валовой внутренний продукт) от реализации эффективных проектов затем делится между ними.

К основным субъектам инвестиционного проекта относятся:

-       Акционеры - иностранные инвесторы (фирмы, компании);

-       банки;

-       бюджеты разных уровней.

Наличие нескольких участников инвестиционного процесса предопределяет несовпадение их интересов, разное отношение к приоритетности различных вариантов проекта. Поступлениями и затратами этих субъектов определяются различные виды эффективности инвестиционного проекта с позиций каждого участника.

Особая необходимость в оценке бюджетной эффективности возникает в случае реализации крупных инвестиционных проектов или мегапроектов. Их характеристика в сравнении с малыми и средними проектами представлена ниже.

Малые проекты, как правило, не требуют особой проработанности технико-экономического обоснования и связанных с ним вопросов. Вместе с тем допущенные при формировании проектов ошибки могут серьезным образом сказаться на их эффективности. Малые проекты представляют собой планы расширения производства и увеличения ассортимента выпускаемой продукции. Их отличают сравнительно небольшие сроки реализации.

Средние проекты - это чаще всего проекты реконструкции и технического перевооружения существующего производства. Они реализуются поэтапно, по отдельным производствам, в соответствии с заранее разработанными графиками поступления всех ресурсов, включая финансовые.

Крупные проекты - это объекты крупных предприятий, в основе которых лежит прогрессивно новая идея промышленного производства продукции, необходимой для удовлетворения спроса на внутреннем и внешнем рынках.

Мегапроекты - это целевые инвестиционные программы, содержащие множество взаимосвязанных конечным продуктом проектов. Такие программы могут быть международными, государственными, региональными[5].

Основные виды эффективности инвестиционного проекта могут быть представлены следующим образом (рис. 4) [2]:

Рис. 4. Виды эффективности при оценке инвестиционного проекта

Кроме того, оценка инвестиционного проекта управляющим, банкиром и инвестором может оказаться различной.

-       Для управляющего важны такие показатели как рентабельность на базе текущей стоимости активов, рентабельность по чистой прибыли, рентабельность по валовой прибыли, анализ текущих затрат, анализ валового дохода, эффективность использования материальных и трудовых ресурсов, анализ денежных доходов от инвестиций и т.п.

-       Для банкиров решающим в определении эффективности инвестиций будут: ликвидационная стоимость фирмы, коэффициент текущей ликвидности, доля обязательств в активе, соотношение между собственным и заёмным капиталом предприятия, соотношение между доходом и риском и т.п.

-       Инвесторов интересует прежде всего рентабельность собственного капитала, прибыль и денежный поток на акцию, коэффициент выплаты дивидендов, коэффициент покрытия дивидендов, соотношение дивидендов и активов, соотношение прибыли и цены на акцию, соотношение рыночной и номинальной цены акции и т.п.

Осознав необходимость привлечения инвестиционных средств, определив время (период) их привлечения, предприятие должно начать непосредственную разработку инвестиционного проекта. Базовыми правилами принятия инвестиционных решений определяются:

-       проблема инвестирования;

-       природа инвестиций;

-       оценка будущих затрат и выгод;

-       определение эффективности инвестиций.

Определение проблемы инвестирования непосредственно связано с оценкой альтернативных вариантов, определением упущенных возможностей. Возможные варианты определения проблемы инвестиций можно представить в виде схемы (рис. 5).

Рис. 5. Дерево решений по инвестициям

Определение природы инвестиций. Прежде всего оно предполагает классификацию инвестиций. Инвестиции можно классифицировать с нескольких точек зрения.

-       по способу влияния других возможных инвестиций на доходы от данного проекта. Здесь различают зависимые и независимые инвестиции.

Инвестиции независимые - если денежные потоки, ожидаемые от первого инвестиционного проекта, не изменятся независимо от того, будет ли осуществлён второй проект.

Экономически зависимые инвестиции могут быть дополняющими и взаимоисключающими.

Дополняющие экономически зависимые инвестиции связаны с синергическим эффектом, то есть осуществление второго инвестиционного проекта оказывает положительное влияние на поток денежных доходов от первых инвестиций, и сумма денежных доходов по данным совместно осуществлённым инвестициям значительно превышает денежные доходы от каждого из проектов, осуществлённых вне связи друг с другом.

Взаимоисключающие инвестиционные проекты связаны с технической невозможностью осуществления обоих проектов или же осуществление одного из них уменьшит возможные денежные доходы от другого или полностью сведёт их к нулю.

-       по степени обязательности осуществления инвестиций. Некоторые инвестиции являются обязательными, так как если их не предпринять, то может остановиться вся производственная деятельность предприятия.

Оценка будущих затрат и выгод. Здесь должно быть чёткое определение границ того, что должно быть включено в проект, а что не относится к проекту. Если проект представляет собой строительство нового предприятия, то особых трудностей не возникает. Но когда инвестиции вложены в уже действующее предприятие?

При этом можно использовать следующий метод, схематично представленный на рис. 6:

Рис. 6. Потоки платежей

) Просчитываются потоки платежей, получаемые на предприятии при реализации проекта.) Просчитываются потоки платежей, которые имели бы место на предприятии при отклонении проекта.) Вычитая из потоков I потоки II, получим потоки платежей, характеризующие проект.

Определение эффективности инвестиций.

Экономическое развитие производства, в основе которого лежит инвестируемый капитал, может быть охарактеризовано в долгосрочном периоде как интенсивное и экстенсивное (регрессивное).

Для предприятия, решающего задачу инвестирования в производство, важно определить характер будущего развития.

Общая последовательность анализа инвестиционного проекта представлена на рис. 7. [8]

Рис. 7. Общая схема анализа инвестиционного проекта

После формулировки бизнес идеи будущего инвестиционного проекта естественным образом возникает вопрос, способно ли предприятие реализовать эту идею в принципе. Для ответа на этот вопрос необходимо проанализировать состояние отрасли экономики, к которой принадлежит предприятие, и сравнительное положение предприятия в рамках отрасли. Данный анализ и составляет содержание предварительной стадии разработки и анализа инвестиционного проекта. В практике западного проектного анализа принято использовать следующие два критерия:

-   зрелость отрасли и

-       конкурентоспособность предприятия (его положения на рынке).

Анализ зрелости отрасли принято производить, относя ее к одному из четырех состояний: эмбриональному, растущему, зрелому и стареющему.

Далее необходимо выяснить сравнительное с другими предприятиями положение предприятия на целевом рынке товаров или услуг. Принято использовать шесть основных состояний предприятия: доминирующее, сильное, благоприятное, неустойчивое, слабое, нежизнеспособное.

Принципиально суть маркетингового анализа заключается в ответе на два простых вопроса:

1.       Возможно ли продать продукт, являющийся результатом реализации проекта?

2.       Возможно ли получить от этого достаточный объем прибыли, оправдывающий инвестиционный проект?

Задачей технического анализа инвестиционного проекта является:

-       определение технологий, подходящих с точки зрения целей проекта;

-       анализ местных условий (доступности и стоимости сырья, энергии, рабочей силы);

-       проверка наличия возможностей планирования и осуществления проекта.

Процедура технического анализа начинается с анализа собственных технологий. При этом необходимо руководствоваться следующими критериями: технология должна себя хорошо зарекомендовать ранее, то есть быть стандартной и не должна быть ориентирована на импортное оборудование и сырье.

Финансовый анализ является наиболее объемным и трудоемким разделом инвестиционного проекта. Общая схема финансового раздела инвестиционного проекта следует простой последовательности.[1]

1.       Анализ финансового состояния предприятия в течение трех (лучше пяти) предыдущих лет работы предприятия.

2.       Анализ финансового состояния предприятия в период подготовки инвестиционного проекта.

.        Анализ безубыточности производства основных видов продукции.

.        Прогноз прибылей и денежных потоков в процессе реализации инвестиционного проекта.

.        Оценка эффективности инвестиционного проекта.

Наиболее ответственной частью финансового раздела проекта является собственно его инвестиционная часть, которая включает

-       определение инвестиционных потребностей предприятия по проекту,

-       установление источников финансирования инвестиционных потребностей,

-       оценка стоимости капитала, привлеченного для реализации проекта,

-       прогноз прибылей и денежных потоков за счет реализации проекта,

-       оценка показателей эффективности проекта.

Наиболее методически сложным является вопрос оценки окупаемости проекта в течение его срока реализации. Объем денежных потоков, которые получаются в результате реализации должен покрывать величину суммарной инвестиции с учетом принципа “стоимости денег во времени”. Данный принцип гласит, что каждый новый поток денег полученный через год имеет меньшую значимость, чем равный ему по величине поток, полученный на год раньше. В качестве характеристики, измеряющей временную значимость денежных потоков, выступает норма доходности от инвестирования. Проект принимается, если суммарный денежный поток, генерируемый инвестицией, покрывает ее величину с учетом описанного выше финансового феномена.

Основной вопрос финансового анализа: может ли проект увеличить богатство владельцев предприятия? Экономический анализ состоит в оценке влияния вклада проекта в увеличении богатства государства (нации). С точки зрения государства возможно использование следующих критериев:

-       приток либо экономия твердой валюты;

-       увеличение продуктов на местном рынке;

-       обеспечение занятости населения.

Институциональный анализ оценивает возможность успешного выполнения проекта с учетом организационной, правовой, политической и административной обстановки. Этот раздел инвестиционного проекта является не количественным и не финансовым. Его главная задача - оценить совокупность внутренних и внешних факторов, сопровождающих проект.

Суть анализа риска состоит в следующем: вне зависимости от качества допущений, будущее всегда несет в себе элемент неопределенности. Большая часть данных, необходимых, например, для финансового анализа (элементы затрат, цены, объем продаж и т. п.) являются неопределенными. В будущем возможны изменения прогноза как в худшую сторону (снижение прибыли), так и в лучшую. Анализ риска предлагает учет всех изменений, как в сторону ухудшения, так и в сторону улучшения. Иногда в его процессе ограничиваются анализом сценариев, который может быть проведен по следующей схеме.

1.       Выбирают параметры проекта в наибольшей степени неопределенные.

2.       Производят анализ эффективности проекта для предельных значений каждого параметра.

.        В инвестиционном проекте представляют три сценария:

-       базовый,

-       наиболее пессимистичный,

-       наиболее оптимистичный (необязательно).

Бизнес-план представляет собой документ, описывающий все основные аспекты будущего коммерческого мероприятия, анализирующий проблемы, с которыми может столкнуться фирма, а также определяющий способы решения этих проблем. Правильно составленный бизнес-план отвечает на вопросы: следует ли инвестору вкладывать деньги в проект. Адресован он банкирам и инвесторам, у которых предприниматель собирается просить деньги на осуществление проекта.

Как правило, бизнес-план начинается с резюме, которое открывает его, но составляется в самом конце работы над ним. Здесь максимальное внимание должно быть уделено разъяснению того, во что вкладываются деньги. Здесь приводятся сведения о прогнозных объёмах продаж на ближайшие годы, выручке от реализации, затратах на производство, уровне рентабельности и указывается срок, в течение которого предприниматель может гарантировать возврат вложенных средств. Наибольшее внимание в резюме должно быть уделено двум основным вопросам: что получит инвестор в случае успешной реализации проекта, каков риск потерь в случае неблагоприятного исхода.

Основная часть бизнес-плана состоит из нескольких разделов.

Первый раздел содержит описание товаров (услуг), ради производства которых задумывается весь проект. Здесь же описывается выбранная стратегия конкуренции. В этот раздел желательно также включить образец (фотографию) товара.

Здесь же должна содержаться примерная цена, по которой предприниматель собирается продавать свой товар и оценка затрат, которых потребует его производство. Отсюда будет вытекать и предположительная величина прибыли на каждую единицу товара.

Во втором разделе оценивается рынок сбыта товара. Главными вопросами, на которые инвестор будет стараться получить ответ являются: Кто будет покупать товар? Что представляет из себя ниша на рынке для данного товара?

Первый этап в работе над характеристикой рынка сбыта товара - оценка потенциальной ёмкости рынка, то есть общей стоимости товаров, которые покупатель того или иного региона может купить за какой-либо период времени.

Второй этап - оценка примерного количества клиентов, на которых можно рассчитывать в месяц, оценка потенциальной суммы продаж, и, следовательно, той доли рынка, которую предприниматель надеется захватить.

Третий этап - прогноз объёмов продаж. Оценивается сколько реально можно продать товара при имеющихся условиях деятельности, возможных затратах на рекламу, уровне цен.

В третьем разделе необходимо сообщить потенциальным партнёрам, инвесторам и кредиторам всё, что известно о конкуренции на рынке, куда должна поступить продукция.

В четвёртом разделе необходимо им объяснить основные элементы плана маркетинга. К ним относят: схему распространения товаров, ценообразование, рекламу, методы стимулирования продаж, организацию послепродажного обслуживания клиентов, формирование общественного мнения о фирме и товарах.

Пятый раздел - план производства. Здесь предприниматель должен доказать, что он в состоянии производить нужное количество товаров требуемого качества в нужные сроки, и действительно знает, как организовать производство.

Очень уместной здесь может оказаться схема производственных потоков. Но ней должно быть наглядно продемонстрировано, откуда и как к предпринимателю будут поступать все виды сырья и комплектующих изделий, как они будут перерабатываться в готовую продукцию, наконец, как и куда эта продукция будет поставляться с предприятия.

В шестом разделе указывается с кем предприниматель собирается организовать выпуск и как планирует наладить работу персонала, какие именно специалисты и с какой заработной платой понадобятся для успешного ведения дел. Не плохо если будет указано каким способом можно привлечь этих специалистов.

Здесь же необходимо привести и организационную схему предприятия, из которой должно быть чётко видно: кто и чем будет заниматься, как все службы будут взаимодействовать друг с другом и как намечается координировать и контролировать их деятельность.

Организационный вопрос - очень важный. Из-за организационной неразберихи нередко терпят крах даже самые многообещающие проекты.

Раздел седьмой. “Юридический план”. Посвящён правовым аспектам предприятия. Здесь необходимо указать форму собственности предприятия и его правовой статус.

В разделе восемь производится оценка, прогнозирование и варианты управления разного рода рисками. Ассортимент рисков весьма широк: от пожаров и землетрясений до забастовок и межнациональных конфликтов, изменений в налоговом регулировании и колебаний валютных курсов. Чем глубже предприниматель проработает эту проблему, тем выше ему будет доверие.

Главное здесь - заранее предугадать все типы рисков, выявить их источники и определить момент их возникновения, а затем разработать меры по сокращению рисков и минимизации возможных потерь.

Раздел девять. “Финансовый план”. Он призван обобщить все предшествующие материалы и представить их в стоимостном выражении. Здесь необходимо приготовить ряд документов: прогноз объёмов реализации, баланс денежных расходов и поступлений, таблицу доходов и затрат, прогнозируемый баланс активов и пассивов предприятия, график достижения безубыточности. То есть необходимо произвести финансовое обоснование проекта. Финансовое обоснование (коммерческая эффективность) проекта определяется соотношением финансовых затрат и результатов, обеспечивающих требуемую норму доходности. Коммерческая эффективность может рассчитываться как для проекта в целом, так и для отдельных участников с учетом их вкладов.

При осуществлении проекта выделяется три вида деятельности: инвестиционная, операционная и финансовая.

В рамках каждого вида деятельности происходит приток Пi(t) и отток Оi(t) денежных средств. Обозначим разность между ними через фi(t):

фi(t) = Пi(t) - Оi(t),

где (i = 1, 2, 3).

Потоком реальных денег ф(t) называется разность между притоком и оттоком денежных средств от инвестиционной и операционной деятельности в каждом периоде осуществления проекта (на каждом шаге расчета).

Вывод делается на основе наиболее пессимистичного сценария.

Из всего вышесказанного можно сделать следующие выводы:

-       инвестиции являются одним из важнейших факторов развития предприятия;

-       в инвестиционной деятельности участвуют множество субъектов;

-       субъект инвестиционной деятельности может выступать одновременно в роли кредитора и в роли получателя кредита;

-       при выборе форм инвестирования получатель инвестиционных средств руководствуется в основном двумя критериями: эффективностью хозяйственной деятельности и устойчивостью работы самого предприятия;

-       в процессе инвестирования происходит столкновение интересов инвестора и получателя инвестиционных средств. Если процесс инвестирования состоялся, то это значит, скорее всего, что они достигли взаимного согласия. Плата за инвестиции зависит от соотношения “продавцов” инвестиционных средств и “покупателей” инвестиционных средств;

-       процессом инвестирования, как правило, должны быть удовлетворены обе стороны;

-       эмитент для привлечения инвестиций должен разработать инвестиционный проект, инвестор - провести анализ (оценку) всех имеющихся у него инвестиционных проектов и отдать предпочтение одному или нескольким из них, которые сочетают оптимальный для него вариант переменных доходность-риск.

Глава 2. Методы анализа эффективности инвестиционных проектов и их характеристики

.1 Методы анализа рисков инвестиционных проектов

Совокупность методов, применяемых для оценки эффективности инвестиций, можно разбить на две группы: динамические (учитывающие фактор времени) и статические (учетные).

В мировой практике финансового менеджмента используются различные методы анализа рисков инвестиционных проектов (ИП). К наиболее распространенным из них следует отнести:

-       метод корректировки нормы дисконта;

-       метод достоверных эквивалентов (коэффициентов достоверности);

-       анализ чувствительности критериев эффективности (чистый дисконтированный доход (NPV), внутренняя норма доходности (IRR) и др.);

-       метод сценариев;

-       анализ вероятностных распределений потоков платежей;

-       дерево решений;

-       метод Монте-Карло (имитационное моделирование) и др.

Метод корректировки нормы дисконта. Достоинства этого метода - в простоте расчетов, которые могут быть выполнены с использованием даже обыкновенного калькулятора, а также в понятности и доступности. Вместе с тем метод имеет существенные недостатки.

Метод корректировки нормы дисконта осуществляет приведение будущих потоков платежей к настоящему моменту времени (т.е. обыкновенное дисконтирование по более высокой норме), но не дает никакой информации о степени риска (возможных отклонениях результатов). При этом полученные результаты существенно зависят только от величины надбавки за риск.

Он также предполагает увеличение риска во времени с постоянным коэффициентом, что вряд ли может считаться корректным, так как для многих проектов характерно наличие рисков в начальные периоды с постепенным снижением их к концу реализации. Таким образом, прибыльные проекты, не предполагающие со временем существенного увеличения риска, могут быть оценены неверно и отклонены.

Данный метод не несет никакой информации о вероятностных распределениях будущих потоков платежей и не позволяет получить их оценку.

Наконец, обратная сторона простоты метода состоит в существенных ограничениях возможностей моделирования различных вариантов, которое сводится к анализу зависимости критериев NPV(IRR, PI и др.) "от изменений только одного показателя - нормы дисконта.

Несмотря на отмеченные недостатки, метод корректировки нормы дисконта широко применяется на практике.

Метод достоверных эквивалентов. Недостатками этого метода следует признать:

·              сложность расчета коэффициентов достоверности, адекватных риску на каждом этапе проекта;

·              невозможность провести анализ вероятностных распределений ключевых параметров.

Анализ чувствительности. Данный метод является хорошей иллюстрацией влияния отдельных исходных факторов на конечный результат проекта.

Главным недостатком данного метода является предпосылка о том, что изменение одного фактора рассматривается изолированно, тогда как на практике все экономические факторы в той или иной степени коррелированны.

По этой причине применение данного метода на практике как самостоятельного инструмента анализа риска, по мнению авторов весьма ограничено, если вообще возможно.

Метод сценариев. В целом метод позволяет получать достаточно наглядную картину для различных вариантов реализации проектов, а также предоставляет информацию о чувствительности и возможных отклонениях, а применение программных средств типа Excel позволяет значительно повысить эффективность подобного анализа путем практически неограниченного увеличения числа сценариев и введения дополнительных переменных.

Анализ вероятностных распределений потоков платежей. В целом применение этого метода анализа рисков позволяет получить полезную информацию об ожидаемых значениях NPV и чистых поступлений, а также провести анализ их вероятностных распределений.

Вместе с тем использование этого метода предполагает, что вероятности для всех вариантов денежных поступлений известны либо могут быть точно определены. В действительности в некоторых случаях распределение вероятностей может быть задано с высокой степенью достоверности на основе анализа прошлого опыта при наличии больших объемов фактических данных. Однако чаще всего такие данные недоступны, поэтому распределения задаются исходя из предположений экспертов и несут в себе большую долю субъективизма.

Дерево решений. Ограничением практического использования данного метода является исходная предпосылка о том, что проект должен иметь обозримое или разумное число вариантов развития. Метод особенно полезен в ситуациях, когда решения, принимаемые в каждый момент времени, сильно зависят от решений, принятых ранее, и в свою очередь определяют сценарии дальнейшего развития событий.

Имитационное моделирование. Практическое применение данного метода продемонстрировало широкие возможности его использования инвестиционном проектировании, особенно в условиях неопределённости и риска. Данный метод особенно удобен для практического применения тем, что удачно сочетается с другими экономико-статистическими методами, а также с теорией игр и другими методами исследования операций. Практическое применение авторами данного метода показало, что зачастую он даёт более оптимистичные оценки, чем другие методы, например анализ сценариев, что, очевидно обусловлено перебором промежуточных вариантов.

Многообразие ситуаций неопределённости делает возможным применение любого из описанных методов в качестве инструмента анализа рисков, однако, по мнению авторов, наиболее перспективными для практического использования являются методы сценарного анализа и имитационного моделирования, которые могут быть дополнены или интегрированы в другие методики.

К основным показателям эффективности инвестиционного проекта относятся (рис. 8.). Среди них при расчете бюджетной эффективности главными являются три показателя:

1.       Срок окупаемости проекта.

2.       Чистый дисконтированный доход.

.        Рентабельность инвестиций.

Рис. 8. Система основных показателей эффективности инвестиционного проекта

Самыми распространенными методами статистического анализа эффективности инвестиционного проекта являются:

1.       Метод срока окупаемости инвестиций.

2.       Метод простой нормы прибыли.

Срок окупаемости инвестиций (Payback Period - PP)

Этот метод - один из самых простых и широко распространен в мировой практике, не предполагает временной упорядоченности денежных поступлений.

Он состоит в вычислении количества лет, необходимых для полного возмещения первоначальных затрат, т.е. определяется момент, когда денежный поток доходов сравняется с суммой денежных потоков затрат. Отбираются проекты с наименьшими сроками окупаемости. Алгоритм расчета срока окупаемости (РР) зависит от равномерности распределения прогнозируемых доходов от инвестиции. Если доход распределен по годам равномерно, то срок окупаемости рассчитывается делением единовременных затрат на величину годового дохода, обусловленного ими. При получении дробного числа оно округляется в сторону увеличения до ближайшего целого. Если прибыль распределена неравномерно, то срок окупаемости рассчитывается прямым подсчетом числа лет, в течение которых инвестиция будет погашена кумулятивным доходом. Общая формула расчета показателя РР имеет вид:

РР = n, при котором CFt > IC,

где: CFt - чистый денежный поток доходов- сумма денежных потоков затрат

Показатель срока окупаемости инвестиций очень прост в расчетах, вместе с тем он имеет ряд недостатков, которые необходимо учитывать в анализе. Во-первых, он игнорирует денежные поступления после истечения срока окупаемости проекта.

Во-вторых, поскольку этот метод основан на не дисконтированных оценках, он не делает различия между проектами с одинаковой суммой кумулятивных доходов, но различным распределением их по годам. Он не учитывает возможности реинвестирования доходов и временную стоимость денег. Поэтому проекты с равными сроками окупаемости, но различной временной структурой доходов признаются равноценными.

В то же время, этот метод позволяет судить о ликвидности и рискованности проекта, т.к. длительная окупаемость означает длительную иммобилизацию средств (пониженную ликвидность проекта) и повышенную рискованность проекта. Существует ряд ситуаций, при которых применение метода, основанного на расчете срока окупаемости затрат, может быть целесообразным. В частности, это ситуация, когда руководство предприятия в большей степени озабочено решением проблемы ликвидности, а не рентабельности проекта - главное, чтобы инвестиции окупились как можно скорее. Метод также хорош в ситуации, когда инвестиции сопряжены с высокой степенью риска, поэтому, чем короче срок окупаемости, тем менее рискованным является проект. Метод РР успешно используется для быстрой отбраковки проектов, а также в условиях сильной инфляции, политической нестабильности или при дефиците ликвидных средств: эти обстоятельства ориентируют предприятие на получение максимальных доходов в кратчайшие сроки.

Метод простой нормы прибыли (Accounting Rate of Return - ARR)

При использовании этого метода средняя за период жизни проекта чистая бухгалтерская прибыль сопоставляется со средними инвестициями (затратами основных и оборотных средств) в проект. Метод прост для понимания и включает несложные вычисления, благодаря чему может быть использован для быстрой отбраковки проектов.

Однако существенным недостатком является то, что игнорируется не денежный (скрытый) характер некоторых видов затрат (типа амортизационных отчислений) и связанная с этим налоговая экономия; доходы от ликвидации старых активов, заменяемых новыми; возможности реинвестирования получаемых доходов и временная стоимость денег. Метод не дает возможности судить о предпочтительности одного из проектов, имеющих одинаковую простую бухгалтерскую норму прибыли, но разные величины средних инвестиций. Формула расчета показателя ARR имеет вид:

ARR =

где Pб - чистая бухгалтерская прибыль от проекта- инвестиции

.2 Динамические методы оценки эффективности инвестиционных проектов

Чистая приведенная стоимость (Net Present Value - NPV)

Этот критерий оценки инвестиций относится к группе методов дисконтирования денежных потоков или DCF-методов. Он основан на сопоставлении величины инвестиционных затрат (IC) и общей суммы скорректированных во времени будущих денежных поступлений, генерируемых ею в течение прогнозируемого срока. При заданной норме дисконта (коэффициента r, устанавливаемого аналитиком (инвестором) самостоятельно исходя из ежегодного процента возврата, который он хочет или может иметь на инвестируемый им капитал) можно определить современную величину всех оттоков и притоков денежных средств в течение экономической жизни проекта, а также сопоставить их друг с другом. Результатом такого сопоставления будет положительная или отрицательная величина (чистый приток или чистый отток денежных средств), которая показывает, удовлетворяет или нет проект принятой норме дисконта.

Пусть I0 - сумма первоначальных затрат, т.е. сумма инвестиций на начало проекта;- современная стоимость денежного потока на протяжении экономического жизни проекта.

Тогда чистая современная стоимость равна:

= PV - Iо

Общая накопленная величина дисконтированных доходов (PV) рассчитывается по формуле:

,

где: r - норма дисконта;- число периодов реализации проекта;t - чистый поток платежей в периоде t.

Т.о.,

Если рассчитанная таким образом чистая современная стоимость потока платежей имеет положительный знак (NPV > 0), это означает, что в течение своей экономической жизни проект возместит первоначальные затраты /о, обеспечит получение прибыли согласно заданному стандарту r, а также ее некоторый резерв, равный NPV. Отрицательная величина NPV показывает, что заданная норма прибыли не обеспечивается и проект убыточен. При NPV = 0 проект только окупает произведенные затраты, но не приносит дохода. Однако проект с NPV=0 имеет все же дополнительный аргумент в свою пользу - в случае реализации проекта объемы производства возрастут, т.е. компания увеличится в масштабах (что нередко рассматривается как положительная тенденция).

Общее правило NPV: если NPV > 0, то проект принимается, иначе его следует отклонить.

При прогнозировании доходов по годам необходимо по возможности учитывать все виды поступлений как производственного, так и непроизводственного характера, которые могут быть ассоциированы с данным проектом.

Следовательно, если по окончании периода реализации проекта планируется поступление средств в виде ликвидационной стоимости оборудования или высвобождения части оборотных средств, они должны быть учтены как доходы соответствующих периодов.

Если проект предполагает не разовую инвестицию, а последовательное инвестирование финансовых ресурсов в течение m лет, то формула для расчета NPV модифицируется следующим образом:

,

где i - прогнозируемый средний уровень инфляции.

С учетом вышеизложенного формула расчета NPV для общего случая примет вид:


Расчет с помощью приведенных формул вручную достаточно трудоемок, поэтому для удобства применения этого и других методов, основанных на дисконтированных оценках, разработаны специальные финансовые таблицы, в которых табулированы значения сложных процентов, дисконтирующих множителей, дисконтированного значения денежной единицы и т. п. в зависимости от временного интервала и значения ставки дисконтирования.

Необходимо отметить, что показатель NPV отражает прогнозную оценку изменения экономического потенциала предприятия в случае принятия рассматриваемого проекта. Этот показатель аддитивен во временном аспекте, т. е. NPV различных проектов можно суммировать. Это очень важное свойство, выделяющее этот критерий из всех остальных и позволяющее использовать его в качестве основного при анализе оптимальности инвестиционного портфеля.

График чистой текущей стоимости - один из наиболее полезных инструментов для суммарного выражения характеристик доходности инвестиций. На горизонтальной оси откладываются различные ставки дисконтирования; на вертикальной - чистая текущая стоимость инвестиций.

Чистая текущая стоимость инвестиций изображается для всех ставок дисконтирования от нуля до какого-нибудь разумного большого значения. Смотри рис. 1 в приложении.

На практике после определения показателей эффективности инвестиций осуществляют анализ их чувствительности (sensitivity analysis) к изменениям возможных условий. В общем случае подобный анализ сводится к исследованию изменений полученной величины в зависимости от различных значений параметров рекуррентных соотношений. На срок окупаемости проекта и обратное - на величину NPV прямое влияние оказывает норма дисконта r. Также существенное влияние оказывает структура денежного потока. Чем больше притоки наличности в первые годы экономической жизни проекта, тем больше конечная величина NPV и соответственно тем скорее произойдет возмещение произведенных затрат.

При помощи NPV-метода можно определить не только коммерческую эффективность проекта, но и рассчитать ряд дополнительных показателей. Столь обширная область применения и относительная простота расчетов обеспечили NPV-методу широкое распространение, и в настоящее время он является одним из стандартных методов расчета эффективности инвестиций, рекомендованных к применению ООН и Всемирным банком.

Однако корректное использование NPV-метода возможно только при соблюдении ряда условий:

Объем денежных потоков в рамках инвестиционного проекта должен быть оценен для всего планового периода и привязан к определенным временным интервалам. Денежные потоки в рамках инвестиционного проекта должны рассматриваться изолированно от остальной производственной деятельности предприятия, т.е. характеризовать только платежи и поступления, непосредственно связанные с реализацией данного проекта. Принцип дисконтирования, применяемый при расчете чистого приведенного дохода, с экономической точки зрения подразумевает возможность неограниченного привлечения и вложения финансовых средств по ставке дисконта. Использование метода для сравнения эффективности нескольких проектов предполагает использование единой для всех проектов ставки дисконта и единого временного интервала (определяемого, как правило, как наибольший срок реализации из имеющихся).

При расчете NPV, как правило, используется постоянная ставка дисконтирования, однако в зависимости от обстоятельств (например, ожидается изменение уровня процентных ставок) ставка дисконтирования может дифференцироваться по годам. Если в ходе расчетов применяются различные ставки дисконтирования, то проект, приемлемый при постоянной ставке дисконтирования, может стать неприемлемым.

Являясь абсолютным показателем, NPV обладает важнейшим свойством - свойством аддивности, т.е. NPV различных проектов можно суммировать. К числу других важнейших свойств этого критерия следует отнести более реалистические предположения о ставке реинвестирования поступающих средств. (В методе NPV неявно предполагается, что средства, поступающие от реализации проекта, реинвестируются по заданной норме дисконта r.)

Использование критерия NPV теоретически обоснованно, и в целом он считается наиболее корректным измерителем эффективности инвестиций. Вместе с тем он имеет свои недостатки. Например, NPV не является абсолютно верным критерием при: а) выборе между проектом с большими первоначальными издержками и проектом с меньшими первоначальными издержками при одинаковой величине чистых настоящих стоимостей; б) выборе между проектом с большей чистой настоящей стоимостью и длительным периодом окупаемости и проектом с меньшей чистой настоящей стоимостью и коротким периодом окупаемости.

Следовательно, метод NPV не позволяет судить о пороге рентабельности и запасе финансовой прочности проекта. Метод не объективизирует влияние изменений стоимости недвижимости и сырья на чистую настоящую стоимость проекта. Его использование осложняется трудностью прогнозирования ставки дисконтирования (средневзвешенной стоимости капитала) и/или ставки банковского процента.

Таким образом, применение абсолютных показателей при анализе проектов с различными исходными условиями (первоначальными инвестициями, сроками экономической жизни и пр.) может приводить к затруднениям при принятии управленческих решений.

Поэтому наряду с абсолютным показателем эффективности инвестиций NPV используются также и относительные - индекс рентабельности и внутренняя норма доходности.

Метод расчета чистой терминальной стоимости (Net Terminal Value - NTV)

Критерий NPV основан на приведении денежного потока к началу действия проекта, т.е. в его основе заложена операция дисконтирования. Очевидно, что можно воспользоваться и обратной операцией - наращением.

В этом случае элементы денежного потока будут приводиться к моменту окончания проекта.

Формула расчета критерия имеет вид:


Условия принятия проекта на основе критерия NTV такие же, как и в случае с NPV. Если: NTV > 0, то проект следует принять;< 0, то проект следует отвергнуть;

Критерии NPV и NTV взаимообратны, они дублируют друг друга, т.е. отбор проекта по одному из них дает в точности такой же результат как при использовании другого критерия.

Индекс рентабельности проекта (Profitability Index - PI)

Индекс рентабельности показывает, сколько единиц современной величины денежного потока приходится на единицу предполагаемых первоначальных затрат. Этот метод является, по сути, следствием метода чистой современной стоимости. Для расчета показателя IP используется формула:

 или

Если величина критерия РI > 1, то современная стоимость денежного потока проекта превышает первоначальные инвестиции, обеспечивая тем самым наличие положительной величины NPV; при этом норма рентабельности превышает заданную, т.е. проект следует принять;

При РI< 1, проект не обеспечивает заданного уровня рентабельности, и его следует отвергнуть;

Если РI = 1, то инвестиции не приносят дохода, - проект ни прибыльный, ни убыточный.

Следовательно, критерий PI характеризует эффективность вложений; именно этот критерий наиболее предпочтителен, когда необходимо упорядочить независимые проекты для создания оптимального портфеля в случае ограниченности сверху общего объема инвестиций.

В отличие от чистого приведенного эффекта индекс рентабельности является относительным показателем. Благодаря этому он очень удобен при выборе одного проекта из ряда альтернативных, имеющих примерно одинаковые значения NPV, либо при комплектовании портфеля инвестиций с максимальным суммарным значением NPV.

Недостатком индекса рентабельности является то, что, этот показатель сильно чувствителен к масштабу проекта. Он не всегда обеспечивает однозначную оценку эффективности инвестиций, и проект с наиболее высоким PI может не соответствовать проекту с наиболее высокой NPV. В частности, использование индекса рентабельности не позволяет корректно оценить взаимоисключающие проекты. В связи, с чем чаще используется как дополнение к критерию NPV.

Внутренняя норма прибыли инвестиций (Internal Rate of Return - IRR)

Внутренняя норма доходности - наиболее широко используемый критерий эффективности инвестиций. Под внутренней нормой доходности понимают значение ставки дисконтирования r, при котором чистая современная стоимость инвестиционного проекта равна нулю:= r, при котором NPV = f(r) = 0.

Таким образом, IRR находится из уравнения:


Смысл расчета этого коэффициента при анализе эффективности планируемых инвестиций заключается в следующем: IRR показывает максимально допустимый относительный уровень расходов, которые могут быть ассоциированы с данным проектом. Например, если проект полностью финансируется за счет ссуды коммерческого банка, то значение IRR показывает верхнюю границу допустимого уровня банковской процентной ставки, превышение которого делает проект убыточным.

При NPV = 0 современная стоимость проекта (PV) равна по абсолютной величине первоначальным инвестициям I0, следовательно, они окупаются. В общем случае, чем выше величина IRR, тем больше эффективность инвестиций. Величину IRR сравнивают с заданной нормой дисконта r. При этом если IRR>r, то проект обеспечивает положительную NPV и доходность, равную IRR-r. Если IRR<r, затраты превышают доходы, и проект будет убыточным.

Для оценки внутренней нормы окупаемости можно использовать график чистой дисконтированной стоимости. Смотри рис. 2 в приложении 3.

На практике любое предприятие финансирует свою деятельность, в том числе и инвестиционную, из различных источников. В качестве платы за пользование авансированными в деятельность предприятия финансовыми ресурсами оно уплачивает проценты, дивиденды, вознаграждения и т.п., т.е. несет некоторые обоснованные расходы па поддержание своего экономического потенциала. Показатель, характеризующий относительный уровень этих расходов, можно назвать стоимостью авансированного капитала (CC). Этот показатель отражает сложившийся на предприятии минимум возврата на вложенный в его деятельность капитал, его рентабельность и рассчитывается по формуле средней арифметической взвешенной.

Экономический смысл этого показателя заключается в следующем: предприятие может принимать любые решения инвестиционного характера, уровень рентабельности которых не ниже текущего значения показателя CC (или цены источника средств для данного проекта, если он имеет целевой источник). Именно с ним сравнивается показатель IRR, рассчитанный для конкретного проекта, при этом связь между ними такова.

Если: IRR > CC. то проект следует принять;< CC, то проект следует отвергнуть;= CC, то проект ни прибыльный, ни убыточный.

Независимо от того, с чем сравнивается IRR, очевидно: проект принимается, если его IRR больше некоторой пороговой величины; поэтому при прочих равных условиях, как правило, большее значение IRR считается предпочтительным.

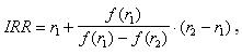
Современные табличные процессоры позволяют быстро и эффективно определить этот показатель путем использования специальных функций. Однако если в распоряжении аналитика нет специализированного финансового калькулятора, практическое применение данного метода осложнено. В этом случае применяется метод последовательных итераций с использованием табулированных значений дисконтирующих множителей. Для этого с помощью таблиц выбираются два значения коэффициента дисконтирования r1<r2 таким образом, чтобы в интервале (r1,r2) функция NPV=f(r) меняла свое значение с "+" на « - « или с « - « на "+". Далее применяют формулу


где r1 - значение табулированного коэффициента дисконтирования, при котором f(r1)>0 (f(r1)<0);2 - значение табулированного коэффициента дисконтирования, при котором f(r2)<О (f(r2)>0).

Точность вычислений обратно пропорциональна длине интервала (r1,r2), а наилучшая аппроксимация с использованием табулированных значений достигается в случае, когда длина интервала минимальна (равна 1%), т.е. r1 и r2 - ближайшие друг к другу значения коэффициента дисконтирования, удовлетворяющие условиям (в случае изменения знака функции с "+" на "-"):1 - значение табулированного коэффициента дисконтирования, минимизирующее положительное значение показателя NPV, т.е. f(r1)=minr{f(r)>0};2 - значение табулированного коэффициента дисконтирования, максимизирующее отрицательное значение показателя NPV, т.е. f(r2)=maxr{f(r)<0}.

Путем взаимной замены коэффициентов r1 и r2 аналогичные условия выписываются для ситуации, когда функция меняет знак с « - « на "+".

Обладая рядом положительных свойств:

1)  Показатель IRR, рассчитываемый в процентах, более удобен для применения в анализе, чем показатель NPV, т.к. относительные величины легче поддаются интерпретации;

2)      Несет в себе информацию о приблизительной величине предела безопасности для проекта;

в то же время критерий IRR имеет существенные недостатки:

.    Нереалистичное предположение о ставке реинвестирования. В отличие от NPV критерий внутренней нормы доходности неявно предполагает реинвестирование получаемых доходов по ставке IRR, что вряд ли осуществимо в реальной практике.

2.       Возможность существования нескольких значений IRR. В общем случае, если анализируется единственный или несколько независимых проектов с ординарным денежным потоком, когда после первоначальных затрат следуют положительные притоки денежных средств, применение критерия IRR всегда приводит к тем же результатам, что и NPV. Но в случае чередования притоков денежных средств с оттоками, для одного проекта могут существовать несколько значений IRR.

.        Сильно чувствителен к структуре потока платежей и не всегда позволяет однозначно оценить взаимоисключающие проекты.

При анализе условий применения IRR-метода в литературе выделяются два типа инвестиционных проектов: изолированно проводимые, или чистые инвестиции (pure investments), и смешанные (mixed investments).

Под чистыми инвестициями понимаются инвестиции, которые не требуют промежуточных капиталовложений, а полученные от реализации проекта средства направляются на амортизацию вложенного капитала и в доход. Нормальным признаком чистых инвестиций является характер динамики сальдо денежных потоков: до определенного момента времени только отрицательные сальдо (т.е. превышения расходов над доходами), а затем - только положительные сальдо (чистый доход), причем итоговое сальдо денежных потоков должно быть неотрицательным (т.е. проект должен быть номинально прибыльным).

Формальным признаком смешанных инвестиций является чередование положительных и отрицательных сальдо денежных потоков в ходе реализации проекта.

Однозначное определение показателя IRR становится невозможным, а применение IRR-метода для анализа смешанных инвестиций - нецелесообразным. Эффективность смешанных инвестиций рассчитывается при помощи применения NPV-метода или одного из специальных методов расчета эффективности. Поэтому, говоря далее об IRR-методе, будет иметься в виду анализ только чистых инвестиций.

Для определения эффективности инвестиционного проекта при помощи расчета внутренней нормы рентабельности используется сравнение полученного значения с базовой ставкой процента, характеризующей эффективность альтернативного использования финансовых средств. Проект считается эффективным, если выполняется следующее неравенство:

> i,

где i - некоторая базовая ставка процента.

Этот критерий также ориентирован в первую очередь на учет возможностей альтернативного вложения финансовых средств, поскольку он показывает не абсолютную эффективность проекта как таковую (для этого было бы достаточно неотрицательной ставки IRR), а относительную - по сравнению с операциями на финансовом рынке.

Показатель IRR может применяться также и для сравнения эффективности различных инвестиционных проектов между собой. Однако здесь простого сопоставления значений внутренней нормы рентабельности сравниваемых проектов может оказаться недостаточно. В частности, результаты, полученные при сравнении эффективности инвестиционных проектов при помощи NPV- и IRR-методов, могут привести к принципиально различным результатам. Это обусловлено следующими обстоятельствами: для достижения абсолютной сопоставимости проектов необходимо применение т.н. дополнительных инвестиций, позволяющих устранить различия в объеме инвестированного капитала и сроках реализации проектов. При использовании NPV-метода предполагается, что дополнительные инвестиции также дисконтируются по базовой ставке процента i, в то время как использование IRR-метода предполагает, что дополнительные инвестиции также обладают доходностью, равной внутренней норме рентабельности анализируемого проекта и которая заведомо выше, чем базовая ставка дисконта.

На практике сравнительный анализ инвестиционных проектов проводится в большинстве случаев при помощи простого сопоставления значений внутренних норм рентабельности. Несмотря на определенную теоретическую некорректность, такой подход позволяет устранить влияние субъективного выбора базовой ставки процента на результаты анализа. Действительно, основная цель использования инструментария дополнительных инвестиций заключается в попытке согласовать результаты сравнительного анализа при помощи применения NPV- и IRR-методов, точнее, привязать второе к первому, поскольку при таком подходе приоритет имеет чистый приведенный доход проекта. Кроме того, применение инструмента дополнительных инвестиций корректно только в случае сравнительного анализа альтернативных, или взаимоисключающих, проектов, что еще более сужает область его применения и делает совершенно непригодным для анализа инвестиционной программы.

В целом по сравнению с NPV-методом использование показателя внутренней нормы рентабельности связано с большими ограничениями.

Во-первых, для IRR-метода действительны все ограничения NPV-метода, т.е. необходимость изолированного рассмотрения инвестиционного проекта, необходимость прогнозирования денежных потоков на весь период реализации проекта и т.д.

Во-вторых, сфера применения IRR-метода ограничена только областью чистых инвестиций.

Модифицированная внутренняя норма доходности (Modified Internal Rate of Return - MIRR)

Основной недостаток, присущий IRR в отношении оценки проектов с неординарными денежными потоками, может быть преодолен с помощью аналога IRR, который приемлем для анализа любых проектов, - MIRR. Этот метод представляет собой более совершенную модификацию метода внутренней ставки рентабельности, расширяющую возможности последнего.- это ставка в коэффициенте дисконтирования, уравновешивающая притоки и оттоки средств по проекту. Все денежные потоки доходов приводятся к будущей (конечной) стоимости по средневзвешенной цене капитала, складываются, сумма приводится к настоящей стоимости по ставке внутренней рентабельности; из настоящей стоимости доходов вычитается настоящая стоимость денежных затрат и исчисляется чистая настоящая стоимости проекта, которая сопоставляется с настоящей стоимостью затрат.

Метод дает более правильную оценку ставки реинвестирования и снимает проблему множественности ставки рентабельности.

Общая формула расчета имеет вид:

,

где: COFi - отток денежных средств в i-м периоде (по абсолютной величине);i - приток денежных средств в i-м периоде;- стоимость источника финансирования данного проекта;- продолжительность проекта.

Т.к. будущая (терминальная) стоимость сегодняшних поступлений:

,

где r - ставка, по которой реинвестируются денежные притоки от проекта по мере их поступления (или рыночная доходность, доступная инвестору).

Стоимость оттоков денежных средств:

То, ,

Откуда:

Критерий MIRR в полной мере согласуется с критерием NPV и потому может быть использован для оценки независимых проектов. Что касается альтернативных проектов, то противоречия между критериями NPV и MIRR могут возникать, если проекты существенно разняться по масштабу, т.е. значения элементов у одного потока значительно больше по абсолютной величине, чем у другого, либо проекты имеют различную продолжительность. В этом случае рекомендуется применять критерий NPV, не забывая одновременно об учете рисковости денежного потока.

Дисконтированный срок окупаемости инвестиций (Discounted Payback Period - DPP)

Некоторые специалисты при расчете показателя срока окупаемости инвестиций (PP) рекомендуют учитывать временной аспект. В этом случае в расчет принимаются денежные потоки, дисконтированные по показателю WACC (средневзвешенная стоимость капитала). Таким образом, определяется момент, когда дисконтированные денежные потоки доходов сравняются с дисконтированными денежными потоками затрат.

Формула расчета DPP имеет вид:

= min n, при котором

Очевидно, что в случае дисконтирования срок окупаемости увеличивается.

Положительными сторонами метода DPP, является то, что он, как и критерий PP позволяет судить о ликвидности и рискованности проекта. Кроме того, критерий DPP учитывает возможность реинвестирования доходов и временную стоимость денег. Недостаток - игнорирует денежные поступления после истечения срока окупаемости проекта.

При оценке эффективности инвестиционных проектов необходимо по возможности учитывать влияние инфляции. Это можно делать корректировкой на индекс инфляции (i) либо будущих поступлений, либо ставки дисконтирования. Наиболее корректной, но и более трудоемкой в расчетах является методика, предусматривающая корректировку всех факторов, влияющих на денежные потоки сравниваемых проектов. Среди основных факторов: объем выручки и переменные расходы. Корректировка может осуществляться с использованием различных индексов, поскольку индексы цен на продукцию коммерческой организации и потребляемое ею сырье могут существенно отличаться от индекса инфляции. С помощью таких пересчетов исчисляются новые денежные потоки, которые и сравниваются между собой с помощью критерия NPV.

Более простой является корректировка ставки дисконтирования на индекс инфляции.

Вескую роль при анализе инвестиционных проектов также играет фактор риска. Т.к. основными характеристиками инвестиционного проекта являются элементы денежного потока и ставка дисконтирования, учет риска осуществляется поправкой одного из этих параметров. Существует несколько подходов:

) Имитационная модель учета риска.

Представляет собой корректировку денежного потока с последующим расчетом NPV для всех вариантов (анализ чувствительности). Методика анализа в этом случае такова:

·   По каждому проекту строят три его возможных варианта развития: пессимистический, наиболее вероятный и оптимистический.

·   По каждому из вариантов рассчитывают соответствующий NPV.

·   Для каждого проекта рассчитывается размах вариации NPV по формуле: R(NPV) = NPV0 - NPVp

·   Проект с большим размахом вариации считается более рискованным.

2) Методика построения безрискового эквивалентного денежного потока.

В основу данной методики заложены идеи, развитые в рамках теории полезности и теории игр. В частности, Дж. Фон Нейман и О. Моргенштерн показали, что принятие решений, в т.ч. и в области инвестиций, с помощью критериев, основанных только на монетарных оценках, не является, безусловно, оптимальным - более предпочтительно использование специальных критериев, учитывающих ожидаемую полезность того или иного события. Рассматривая поэлементно денежный поток рискового проекта, инвестор в отношении его пытается оценить, какая гарантированная, т.е. безрисковая, сумма потребуется ему, чтобы быть индифферентным к выбору между этой суммой и ожидаемой, т.е. рисковой, величиной k-го элемента потока.

Графически отношение к риску выражается с помощью кривых безразличия (индифферентности). Смотри рис. 3 в приложении 4

3)            Методика поправки на риск ставки дисконтирования

Предполагает введение поправки к ставке дисконтирования:

·   Устанавливается исходная стоимость капитала СС (или WACC), предназначенного для инвестирования.

·   Определяется (напр., экспертным путем) премия за риск, ассоциируемый с данным проектом, для каждого из проектов (ra,b).

·   Рассчитывается NPV со ставкой дисконтирования r:

r = CC + ra,b.

·   Проект с большим NPV считается предпочтительным.

График взаимосвязи ставки дисконтирования и риска. Смотри рис. 4 в приложении.

Из рассмотренных методов учета риска метод RADR (Risk-Adjusted Discount Rate) пользуется большей популярностью. Т.к. работать с относительными показателями удобнее и ввести поправку к ставке дисконтирования легче, чем рассчитать безрисковые эквиваленты.

.3 Инвестиционные риски и методика их анализа

Под риском понимается возможная опасность потерь, вытекающая из специфики тех или иных явлений природы и видов деятельности человеческого общества.

В зависимости от возможного результата (рискового события) риски можно поделить на две большие группы: чистые и спекулятивные. Чистые риски означают возможность получения отрицательного или нулевого результата (природно-естественные, экологические, политические, транспортные и часть коммерческих рисков (имущественные, производственные, торговые). Спекулятивные риски выражаются в возможности получения как положительного, так и отрицательного результата. К этим рискам относятся финансовые риски.

В зависимости от основной причины возникновения рисков (базисный или природный риск) они делятся на следующие категории: природно-естественные, экологические, политические, транспортные, коммерческие.

Коммерческие риски представляют собой опасность потерь в процессе финансово-хозяйственной деятельности. Они означают неопределенность результатов от данной коммерческой сделки. По структурному признаку они делятся на имущественные, производственные, торговые, финансовые.

Имущественные риски связанны с вероятностью потерь имущества предпринимателя по причине кражи, диверсии, перенапряжения технической и технологической систем и т.п.

Производственные риски связанные с убытком, гибелью или повреждением основных и оборотных фондов, а также риски, связанные с внедрением в производство новой техники и технологии.

Торговые риски - представляют собой риски, связанные с убытком по причине задержки платежей, отказа от платежа в период транспортировки товара, непоставки товара и т.п.

Финансовые риски связаны с вероятностью потерь финансовых ресурсов.

Инфляционный риск - возможность обесценения денег при росте инфляции более быстрыми темпами чем темпы роста номинальной суммы получаемых денежных доходов.

Дефляционный риск возникает, если растет покупательная способность денег и соответственно снижаются цены. С точки зрения предпринимателя это ухудшает экономические условия деятельности и снижает доход.

Валютные риски выражаются в опасности валютных потерь, связанных с изменением курса одной иностранной валюты по отношению к другой при проведении валютных операций.[6, с. 264].

Риск ликвидности связан с возможностью потерь при реализации ценных бумаг и товаров из-за изменения их оценки и качества и потребительной стоимости.

Инвестиционные риски - это риск упущенной выгоды, риск снижения доходности, риск прямых финансовых потерь.

Риск упущенной выгоды состоит в неполучении дохода, который можно было получить. Риск упущенной финансовой выгоды наступает от косвенного финансового ущерба (неполученная прибыль) в результате неосуществления какого-либо фактора или остановки хозяйственной деятельности.

Риск снижения доходности может возникнуть, если уменьшатся проценты или дивиденды по портфельным инвестициям, вкладам, кредитам. Это риск можно разделить на процентный и кредитный.

Процентный риск - это опасность для кредитных учреждений, возникающие при превышении процентных ставок, выплачиваемых ими по привлеченным средствам, над ставками по предоставленным кредитам. К процентным рискам относят также риски потерь, которые могут понести инвесторы в связи с изменением уровней дивидендов по акциям, процентных рыночных ставок по облигациям и другим ценным бумагам.

Рост рыночной ставки процента ведет к понижению курсовой стоимости ценным бумаг с фиксированным процентом. При повышении процента может начаться массовый сброс ценных бумаг, эмитированных под более низкие фиксированные проценты и, по условиям выпуска, досрочно принимаемых обратно эмитентом. Процентный риск несет инвестор, вложивший средства в среднесрочные и долгосрочные ценные бумаги с фиксированным процентом при текущем повышении среднерыночного процента в сравнении с фиксированным уровнем. Иными словами, инвестор мог бы получить прирост дохода за счет получения процента, но не может высвободить свои средства вложенные на более длительный срок.

Процентный риск несет эмитент, выпускающий в обращение среднесрочные и долгосрочные ценные бумаги с фиксированным процентом при текущем понижении среднерыночного процента в сравнении с фиксированным уровнем. Иначе говоря, эмитент мог бы привлекать средства с рынка под более низкий процент, но он уже связан выпуском ценных бумаг.

Кредитный риск - опасность неуплаты заемщиком основного долга и процентов, причитающихся кредитору. К кредитному риску относится также риск такого события, при котором эмитент выпустивший долговые ценные бумаги окажется не в состоянии выплачивать процент по ним или основную сумму долга.

Кредитный риск модно также рассматривать как одну из форм риска прямых финансовых потерь. Кроме того риски прямых финансовых потерь выражаются в биржевых, селективных рисках и риске банкротства.

Биржевой риск - это опасность потерь от биржевых сделок: риск неплатежа по коммерческим сделкам, риск неплатежа комиссионного вознаграждения брокерской фирмы.

Селективные риски - риски неправильного выбора вложения капитала, вида ценных бумаг для инвестирования в сравнении с другими видами ценных бумаг.

Риск банкротства представляет собой опасность в результате неправильного выбора вложения капитала, потери собственного капитала и неспособности рассчитаться по обязательствам. В результате предприятие становится банкротом. Таким образом, риск банкротства - это наиболее опасные последствия селективного риска.

Возникновение какого-либо вида инвестиционных рисков связано с реализацией инвестиционных проектов и формированием инвестиционного портфеля. Анализируя любой инвестиционный проект, финансист прежде всего должен оценить уровень связанного с ним риска и только потом определять, достаточна ли планируемая рентабельность проекта для компенсации этого риска.

Вложения в ценные бумаги разного вида, разного срока действия и разного срока ликвидности, управляемые как единое целое формируют портфель ценных бумаг. Любой инвестиционный портфель представляет собой определенный набор акций, облигаций и других ценных бумаг с различной степенью обеспечения, риска и доходности.

Доходы представляют собой прибыль, полученную по всей совокупности бумаг данного портфеля. Разрабатывая инвестиционную финансовую политику, предприятия могут ставить перед собой различные цели:

·   получение процента;

·   сохранение капитала;

·   обеспечение прироста капитала.

Исходя из выбранных для себя целей предприятия могут формировать различные типы портфелей ценных бумаг. Тип портфеля - его характеристика с позиции целей, поставленных перед ним.

Портфель ценных бумаг, ориентированный на получение доходов - доходный портфель. Цель такого портфеля - получение текущих доходов, приемлемая величина которых соответствовала бы степени риска, которую инвестор считал бы возможным для себя допустить. Предприятия, формирующие доходные портфели осуществляются вложения средств в инструменты рынка ценных бумаг, которые приносят проценты и дивиденды в суммах, выше среднего уровня, а именно: в облигации акционерных обществ, высокодоходные акции, государственные долговые обязательства.

Портфель роста ориентирован на акции с быстрорастущей курсовой стоимостью на рынке ценных бумаг. Цель такого портфеля - приращение капитала и поэтому инвестор не ориентируется на текущую выплату дивидендов.

Портфель рискованных вложений состоит преимущественно из ценных бумаг молодых компаний и предприятий “агрессивного” типа, выбравших стратегию быстрого расширения на основе новых технологий и выпуска новой продукции. Сбалансированный портфель состоит из ценных бумаг с быстрорастущей курсовой стоимостью и из высокодоходных. В этом портфеле могут также присутствовать и высокорискованные ценные бумаги. Таким образом, цели приращения капитала, получения доходов и общие риски оказываются сбалансированными.

В специализированном портфеле объединяются ценные бумаги не по общему целевому признаку, а по более частным, например:

·   региональные и отраслевые портфели;

·   портфели иностранных ценных бумаг.

Тип портфеля конкретного держателя не является постоянным а варьируется в след за состоянием рынка и соответствующим изменением целей инвестора.

Риск портфеля - это степень вероятности, что наступит обстоятельство, при которых инвестор понесет потери, вызванные инвестициями в портфель ценных бумаг, а также операциями по привлечению ресурсов для формирования портфеля.

Следовательно, основными факторами, определяющими инвестиционную политику предприятия, являются получение дохода, обеспечение ликвидности при определенной степени риска.

Вложения средств в ценные бумаги преследует цель обеспечить приток денежных средств на протяжении длительного период времени. Эти инвестиции должны приносить доход, сравнимый с доходностью от других видов деятельности, но с другой стороны инвестиции представляют собой активы, способные быстро превратиться в наличные средства.

Оценка риска предполагает оценку степени неопределенности результата, точнее - вариацию ожидаемых значений доходности вокруг ее средней величины (математического ожидания). Под математическим ожиданием понимается среднеарифметическая из всех прогнозируемых значений доходности, взвешенная по вероятности достижения ею этих значений.

Такая трактовка риска позволила унифицировать подход к его различным видам. С позиции конкретного предприятия существует большое число видов самых разнообразных рисков, которые могут повлиять на уровень доходности реализуемых проектов, однако, с позиции инвестора все эти риски могут быть объединены в одну группу - общий риск или риск отдельных ценных бумаг.

Инвестор как правило не держит только один вид ценных бумаг. Значительно безопаснее обладать набором из нескольких финансовых инструментов, выпущенных различными эмитентами: так называемым портфелем инвестиций. В этом случае более важным для инвестора является не уровень общего риска каждой ценной бумаги в отдельности, а совокупный риск инвестиционного портфеля или рыночный риск..

Объединяя различные финансовые инструменты в портфель, инвестор стремится максимально диверсифицировать риск, то есть избежать одновременного изменения доходности каждого инструмента в одном и том же направлении. Та часть рыночного риска, которая поддается такой диверсификации называется несистематическим или диверсифицируемым риском. Величина рыночного риска, не поддающаяся диверсификации называется систематическим риском.

Чем меньше бумаг в портфеле, тем выше величина несистематического риска, которая может быть снижена путем диверсификации портфеля, то есть путем помещения в него все большего числа различных финансовых активов. Считается, что портфель, состоящий из 40 случайным образом отобранных акций, является в достаточной степени диверсифицируемым и добавление в него каждой новой акции уже не будет давать столь же высокого снижения несистематического риска, как это было для первых 40 ценных бумаг.

Пределом для диверсификации служит уровень риска, присущий данному финансовому рынку в целом. Такой риск называется систематическим, он определяется не спецификой отдельных бумаг, обращающихся на рынке, а общими тенденциями, характерными для рынка в целом: общим ростом или понижением деловой активности. Индикаторами общего состояния рынка являются индексы, например - DJIA или S&P 500. Можно сказать, что фондовые индексы отражают поведение некой “средней” акции, вобравшей в себя все специфические особенности отдельных активов, обращающихся на данном рынке.

Диверсификация инвестиционного портфеля является наиболее очевидным и простым способом минимизации риска. Если воспользоваться статистической терминологией, диверсифицируемый риск отражается в степени корреляции между отдельными активами, входящими в портфель. Наличие высокой положительной корреляции (коэффициент корреляции близкий к +1) увеличивает несистематический риск портфеля; при отрицательных значениях коэффициента корреляции этот риск минимизируется. Однако, наряду со взаимосвязями между акциями, входящими в портфель, существует корреляция их доходности с доходностью рынка в целом, то есть поведением “средней” акции. Влияние этой связи нельзя устранить путем простой диверсификации портфеля, поэтому управление инвестиционным риском предполагает использование более сложных методов. Для правильного понимания их сути необходимо более подробно рассмотреть общие принципы количественного измерения риска.

В общем случае анализ рисков представляет собой достаточно трудоемкую процедуру, требующую рассмотрения большого количества альтернативных вариантов реализации проекта и построения для каждого варианта детальной модели финансовых потоков. В связи с этим несомненный практический интерес (с точки зрения экономии времени и ресурсов) представляют методы экспресс-анализа экономической эффективности инвестиционных проектов и оценки их устойчивости по отношению к факторам риска и неопределенности.

Финансовый риск, как и любой риск, имеет математически выраженную вероятность наступления потери, которая опирается на статистические данные и может быть рассчитана с достаточно высокой точностью. Чтобы количественно определить величину финансового риска, необходимо знать все возможные последствия какого-нибудь отдельного действия и вероятность самих последствий. Вероятность означает возможность получения определенного результата. Применительно к экономическим задачам методы Теории вероятности сводятся к определению значений вероятности наступления событий и к выбору из возможных событий самого предпочтительного исходя из наибольшей величины математического ожидания. Иначе говоря, математическое ожидание события равно абсолютной величине этого события, умноженной на вероятность его наступления.

Величина риска или степень риска измеряется двумя критериями:

1) средним ожидаемым значением;

2) коэффициентом вариации - колеблемостью (изменчивостью) возможного результата.

Среднее ожидаемое значение - это то значение величины события, которое связано с неопределенной ситуацией. Среднее ожидаемое значение является средневзвешенным для всех возможных результатов, где вероятность каждого результата используется в качестве частоты или веса соответствующего значения. Среднее ожидаемое значение измеряет результат, который мы ожидаем в среднем,

Центральное место в оценке предпринимательского риска занимают анализ и прогнозирование возможных потерь ресурсов при осуществлении предпринимательской деятельности. Имеется в виду не расход ресурсов, объективно обусловленный характером и масштабом предпринимательских действий, а случайные, непредвиденные, но потенциально возможные потери, возникающие вследствие отклонения реального хода предпринимательства от задуманного сценария.

В качестве конкретного методологического примера оценки инвестиционных рисков в данной курсовой работе хотелось бы привести методику оценки риска финансовых инвестиций Крейниной М.Н., основанную на элементарном аппарате теории вероятности.[6, с. 276-272].

Предположительно для формирования инвестиционного портфеля были выбраны три вида акций промышленных предприятий с одинаковой стоимость (100 рублей) но разной степенью доходности. В результате оценки возможной вероятности финансовым аналитиком были установлены различные виды доходности, необходимые для дальнейшего анализа и оценки риска формирования инвестиционного портфеля:

·   наиболее вероятная доходность;

·   пессимистическая доходность;

·   наиболее оптимистическая.

В процессе анализа сравниваются различные варианты доходности акций и их риска, а также закономерности возрастания доходности и риска по различным периодам. Анализ основан на математическом аппарате теории вероятности. В данном случае критерием риска является построение вероятностного распределения значений доходности и исчисление среднего квадратического отклонения от средней доходности и коэффициента вариации. В таком случае степень риска измеряется коэффициентом вариации: чем выше коэффициент вариации, тем больше степень риска.

Данные для расчетов представлены в таблице 2.

Таблица 2. Доходность и степень риска вложения в ценные бумаги

Периоды и показатели

Виды ценных бумаг


А

Б

В

1

2

3

4

1. Стоимость ценной бумаги

100

100

100

2. Доходность (%)




I период

10

13

12

II период

11

12

15

III период

14

10

17

3. Среднее значение доходности

11,67

11,67

14,67

4. Среднеквадратическое отклонение

1,7

1,25

2,06

5. Коэффициент вариации

0,15

0,11

0,14


Пояснения и расчеты к таблице:

·   среднее значение уровня доходности по периодам (стр. 3):

для ценных бумаг А (10 + 11 + 14) : 3 = 11,67

для ценных бумаг Б (13 + 12 + 10) : 3 = 11,67

для ценных бумаг В (12 + 15 + 17) : 3 = 14,67

·   среднеквадратическое отклонение (стр. 4)

для ценных бумаг А ((11,67-10) + (11,67-11) + (11,67-14))/3 = 1,7

для ценных бумаг Б ((11,67-13) + (11,67-12) + (11,67-10))/3 = 1,25

для ценных бумаг В ((14,67-12) + (14,67-15) + (14,67-17))/3 = 2,06

·   коэффициент вариации (стр. 5)

для ценных бумаг А 1,7/11,67 = 0,15

для ценных бумаг Б 1,25/11,67 = 0,11

для ценных бумаг В 2,06/14,67 = 0,14

Наилучшим образом в портфеле будут сочетаться ценные бумаги варианта А и Б, т.к. доходность по периодам от бумаг А падает, а от бумаг Б - возрастает.

Падение доходности от бумаг А соответственно будет компенсироваться ростом доходности от бумаг Б, и наоборот. С этой точки зрения совершенно не сочетаются в портфеле бумаги А и В, по которым периоды высокого и периоды низкого дохода совпадают.

Среднеквадратическое отклонение при сочетании разных групп ценных бумаг будет тем меньше, чем меньше разброс значений доходности по периодам. Разброс значений гасится противоположной динамикой бумаг А и Б. Сочетание бумаг А и В также может дать неплохой результат, однако при этом резкое расхождение уровней доходности по периодам может привести к большему среднеквадратическому отклонению и коэффициенту вариации.

Низкий риск сочетается с низкой доходностью и наоборот. В сущности, если сравнивать результаты расчетов таблицы, наиболее выгодными по сравнению с другими бумагами являются бумаги В. Степень риска при вложении только в них возрастает по сравнению с вариантом самого низкого риска (бумаги Б) на 123,2 (0,14 : 0,11* 100) = 123,2 а доходность по сравнению с бумагами А и Б - на 25,7% (14,67 : 11,67 * 100) = 125,7.

Таким образом получается, что, если сумма дохода по варианту Х превышает сумму дохода по варианту Y в большей степени, чем риск по варианту Х превышает риск варианта Y, то это является аргументом в пользу выбора варианта Х.

Иное положение возникает, когда сумма дохода по варианту Х превышает сумму дохода по варианту Y в меньшей степени, чем риск по варианту Х превышает риск варианта Y. В этом случае следует отклонить решение по выбору варианта Х.

Далее необходимо оценивать риск инвестиционного портфеля в целом. В данном случае аналогично п. 3.2. используется методика М. Н. Крейниной.

Все финансовые инвестиции различаются по уровню доходности и степени риска. Их возможные сочетания в портфеле усредняют эти количественные характеристики. В случае рационального их сочетания можно добиться значительного снижения риска инвестиционного портфеля.

Данные анализа приведены в таблице 3.

Таблица 3. Доходность и степень риска портфеля финансовых активов

Показатели

Возможные сочетания

 

20% А и 80% Б

20% Б и 80% А

20% А и 80% В

20% В и 80% А

1

2

3

4

5

1. Доходность (%)





I период

12,4

10,6

11,6

10,4

II период

11,8

11,2

14,2

11,8

III период

10,8

13,2

16,4

14,6

2. Среднее значение доходности

11,67

11,67

14,02

12,27

3. Среднеквадратическое отклонение

0,66

1,11

1,96

1,75

4. Коэффициент вариации

0,06

0,1

0,14

0,14

 

Расчет показывает, что в случае выбора для портфеля финансовых активов двух ценных бумаг из трех наиболее предпочтительно с точки зрения возможного риска сформировать этот портфель из 20% бумаг А и 80% бумаг Б. При такой же доходности, как и в этом сочетании, 80% бумаг А и 205 бумаг Б приводят к значительно более высокой степени риска, поэтому последний вариант неприемлем.

Заслуживает внимание вариант вложений 20% средств в бумаги А и 80% - в бумаги В, хотя здесь более высокая степень риска, но и самая высокая доходность. Однако, доходность при таких вложениях увеличивается по сравнению с вариантом с самой низкой степенью риска на 20,1% (14,02/11,67*100 =20,1), а степень риска - в 2,3 раза (0,14/0,06 = 2,33).

Таким образом, из четырех рассчитанных вариантов ясно, что портфель должен быть сформирован из 20% бумаг А и 80% бумаг Б. Если ставить задачей формирование наименее рискованного портфеля, независимо от доходности, надо как можно больше средств вложить в бумаги Б.

Глава 3. Разработка инвестиционного проекта ЗАО “Авиастар-СП”

3.1 Характеристика инвестиционного проекта

Для любого предприятия важна разумная и целенаправленная инвестиционная деятельность. Вложения денежных средств в реализацию различных проектов несут в себе задачу достижения определенных целей в зависимости от проводимой предприятием политики. Цели могут быть самыми различными: повышение рентабельности производственного процесса, замена устаревшего оборудования, и как следствие, повышение эффективности, расширение производства, увеличение доли рынка, технологический прорыв и т.д.

Реализация инвестиционных проектов представляет собой новую и в недостаточной степени изученную сферу деятельности предприятий на российском рынке. Инвестиционный проект - это процесс осуществления комплекса взаимосвязанных действий, направленных на достижение определенных финансовых, экономических, социальных, инфраструктурных и в некоторых случаях политических результатов. Основным инструментом реализации инвестиционного проекта является бизнес-план, который представляет собой технико-экономическое и финансовое обоснование эффективности инвестиций.

Технико-экономическое обоснование (ТЭО) проекта предусматривает:

• проведение полномасштабного маркетингового исследования (спрос и предложение, сегментация рынка, цены, эластичность спроса, основные конкуренты, маркетинговая стратегия, программа удержания продукции на рынке и т.п.);

• подготовку программы выпуска продукции;

• подготовку пояснительной записки, включающей в себя данные предварительного обоснования инвестиционных возможностей;

• подготовку исходно-разрешительной документации;

• разработку технических решений, в том числе: генерального плана; технологических решений (анализ состояния технологии, состава оборудования; загрузка действующих производственных мощностей; предложения по модернизации производства; закупка зарубежных технологий; расширение производств; производственный процесс, используемые сырьевые и другие материалы, комплектующие изделия, энергоресурсы);

• градостроительные, архитектурно-планировочные и строительные решения;

• инженерное обеспечение;

• мероприятия по охране окружающей природной среды и гражданской обороне;

• описание организации строительства;

• данные о необходимом жилищно-гражданском строительстве;

• описание системы управления предприятием, организации труда рабочих и служащих;

• сметно-финансовую документацию, в том числе: оценку издержек производства; расчет капитальных издержек; расчет годовых поступлений от деятельности предприятий; расчет потребности в оборотном капитале; проектируемые и рекомендуемые источники финансирования проекта (расчет); предполагаемые потребности в иностранной валюте; условия инвестирования, выбор конкретного инвестора, оформление соглашения;

• оценку рисков, связанных с осуществлением проекта;

• планирование сроков осуществления проекта;

• оценку коммерческой эффективности проекта;

• анализ бюджетной и / или экономической эффективности проекта (при использовании бюджетных инвестиций);

• формулирование условий прекращения реализации проекта.

Подготовленное ТЭО проходит вневедомственную, экологическую и другие виды экспертиз.

Затем следует утверждение ТЭО и принятие инвестиционного решения (решения о вложении средств в инвестиционный проект).

Увеличение собственных финансовых ресурсов предприятия напрямую зависит от суммы получаемой им прибыли, которая может быть достигнута путем освоения выпуска новых изделий, увеличения объемов производства, снижения издержек.

В качестве примера расчета эффективности инвестиционного проекта для рассматриваемого предприятия был взят проект вложений в создание и приобретение газотурбинной электростанции ГТЭС-2,5 производства ЗАО “Ульяновский механический завод”. Также рассмотрим эффективность инвестиционных проектов по приобретению для предприятия нового, более совершенного и технологичного оборудования.

Администрация ЗАО “Авиастар-СП” планирует приобретение данной электростанции с целью ее эксплуатации на предприятии. Такой шаг со стороны руководства ЗАО “Авиастар-СП” вызван необходимостью снижения производственных издержек, в структуре которых издержки на электрическую и тепловую энергию составляют значительную долю.

ГТЭС-2,5 является новым, современным продуктом, обладающим высоким коэффициентом полезного действия, что позволяет достичь значительной экономии тепловых ресурсов.

Таким образом, ЗАО “Авиастар-СП”, отказываясь от использования устаревшей, низкоэффективной техники, вкладывает свои средства в создание и приобретение принципиально новой электростанции газотурбинной малой электростанции ГТЭС-2,5, использование которой позволит предприятию полностью отказаться от электроэнергии, поставляемой предприятием-монополистом на рынке электроэнергии г. Ульяновска - ЗАО “Ульяновскэнерго” - и перейти на потребление более дешевого в настоящее время природного газа.

По технико-экономическим показателям установка не уступает зарубежным аналогам, а высокий электрический КПД выгодно отличает ее от отечественных энергоустановок такого класса.

ГТЭС-2,5 может использоваться:

• для обеспечения электрической и тепловой энергией промышленных и сельскохозяйственных предприятий, жилых поселков и районов, а также различных объектов народного хозяйства в удаленных и труднодоступных регионах Крайнего Севера, горной местности или на вновь осваиваемых месторождениях нефти и газа;

• для энергоснабжения регионов при чрезвычайных ситуациях;

• на промышленных объектах особой ответственности, в качестве резервного источника энергии в пиковом и аварийном режимах.

Внедрение газотурбинной электростанции ГТЭС-2,5 в структуру основных фондов предприятия будет способствовать снижению эксплуатационных издержек оборудования, что даст значительный экономический эффект от его эксплуатации.

.2 Расчет эффективности инвестиционного проекта

инвестиционный риск вложение доходность

Положительный экономический эффект от частичного перевода энергоснабжения с централизованного на автономное (с помощью топливной установки ГТЭС-2,5) по сравнению с существующим вариантом энергообеспечения (когда электроэнергия монопольно поставляется на завод одним предприятием) достигается:

• за счет уменьшения расхода топливного газа (за счет увеличения КПД двигателя ДО49);

• за счет снижения затрат на стоимость турбинного масла;

• дополнительной выработки тепловой энергии.

Отрицательный экономический эффект от эксплуатации ГТЭС-2,5 по сравнению с существующим вариантом энергоснабжения проявляется посредством увеличения затрат на регламентное техническое обслуживание (РТО) электростанции ГТЭС-2,5, включающих затраты на ремонт и замены двигателя.

В качестве базы для сравнения при оценке экономической эффективности проекта от применения ГТЭС-2,5 рассматривается газотурбинная электростанция ПАЭС-2500М, модернизированная и укомплектованная приводной установкой ГТУ-2,5П на базе двигателя Д-30ЭУ-1 производства ЗАО “Пермский моторный завод”, разработчик ЗАО “Авиадвигатель”, г. Пермь.

Исходные данные для расчета экономической эффективности и срока окупаемости капитальных вложений в проект приведены в таблице 4.

Таблица 4. Исходные технико-экономические показатели для расчета экономической эффективности проекта

№ п/п

Показатели

ПАЭС-2500М (альтернатива)

ГТЭС-2,5 (проект)


Электрическая мощность электростанции (в станционных условиях), МВт

2,5

2,5


Теплопроизводительность электростанции (в станционных условиях), Гкал/час.

0

3,87


КПД электрический (в станционных условиях),%

21,3

27,5


Цена (с НДС) электростанции, тыс. руб.

20 467,2

21 600


Цена (с НДС) двигателя, тыс. руб.

6 000

10 985


Эксплуатационные показатели одной электростанции: расход топливного газа (при Hu = 50 056 кДж/кг), тыс. н. м 3/час.) безвозвратные потери турбинного масла, кг/час. загрузка электростанции в год, час.

 1,246  0,5 (МС8П) 7 000

 0,956  0,6 (ТП22С) 7 000


Ресурсы двигателя: до капитального ремонта, час. общетехнический, час.

 25 000 50 000

 20 000 60 000


Ресурс электростанции до списания, час.

100 000

100 000


Срок службы электростанции, лет

14

14


Цена сэкономленного топливного газа, тыс. руб./тыс. н. м 3

0,570


Цена тепловой энергии, тыс. руб./Гкал

0,165


Цена турбинного масла ТП22С, $/т

90


Цена турбинного масла МС8П, $/т

1210


Ставка налога на прибыль, %

30


Степень риска, %

20


Амортизационные отчисления, %

10,9


Курс доллара, руб./$

26

3


Норма дисконта (Е)

0,1


Количественная оценка экономической эффективности и сроков окупаемости проекта от применения электростанций ГТЭС-2,5 выполнена путем сопоставления по годам изменения единовременных капитальных вложений и текущих издержек эксплуатации, а также экономического эффекта от выработки тепловой энергии.

Изменение годовых капитальных вложений определяется согласно формуле

D К = К пр. - К баз. тыс. руб.,

где К пр. - годовые капитальные вложения по проектному варианту;

К баз. - годовые капитальные вложения в базовом варианте.

Положительный годовой эффект от уменьшения годовых затрат на топливный газ за счет увеличения КПД двигателя электростанции составит:

Э тг = (G тгбаз. - G тгпр.) х Ц тг х Т х тыс. руб.,

где G тгбаз., G тгпр. - расход топливного газа одной электростанции соответственно по базовому и проектному вариантам, тыс. н. куб. м/час.;

Т - годовая наработка, час.;

Ц тг - цена сэкономленного топливного газа, тыс. руб./тыс. н. куб. м.

Прибыль определена как экономия за счет уменьшения затрат на топливный газ, снижения затрат на турбинное масло и эффекта от дополнительной выработки тепловой энергии за вычетом эффекта от увеличения затрат на регламентно-техническое обслуживание.

Чистая прибыль - это балансовая (валовая) прибыль за вычетом налога на прибыль. Налог на прибыль принят в размере 30%.

Чистый денежный поток определен как разность между капитальными вложениями и прибылью и определяет экономический эффект проекта в целом.

Чистый дисконтированный денежный поток рассчитан при норме дисконта 10% и представляет экономический эффект проекта с учетом фактора времени.

Чистый дисконтированный доход (ЧДД) определен как дисконтированный ЧДП нарастающим итогом.

Рассматриваемый вариант реализации проекта характеризуется следующими основными показателями.

Срок окупаемости вложений составляет 3 года. Это означает, что приведенный по фактору времени суммарный экономический эффект (чистый дисконтированный денежный поток нарастающим итогом) становится положительным на четвертый год после начала вложений (на третий год с начала эксплуатации ГТЭС-2,5).

Чистая текущая стоимость проекта (чистый дисконтированный денежный поток нарастающим итогом), характеризующая величину экономического эффекта за расчетный период (13 лет), составляет 472 775 тыс. руб.

Индекс доходности проекта составляет 6,7. Это означает, что за расчетный период экономический эффект от реализации проекта в 6,7 раза превышает связанные с проектом затраты.

Внутренняя норма прибыли проекта составляет 60,4%, что свидетельствует о достаточной устойчивости проекта.

При экономической оценке данного проекта учитывались все положительные и отрицательные факторы внедрения в эксплуатацию малой газотурбинной электростанции.

Назовем положительные факторы:

∙ уменьшение расхода топливного газа;

∙ уменьшение затрат на турбинное масло;

∙ эффект от выработки тепловой энергии;

Отрицательным фактором является увеличение затрат на ремонты и замены двигателей.

Думается, что данный проект будет устойчивым с определенной степенью риска (приблизительно 20%). Для этого в расчете эффективности проекта на 20% уменьшена экономия от эксплуатации электростанций.

Таким образом, как думается, реализация рассматриваемого проекта является эффективным вложением средств.

Производимая ЗАО “Авиастар-СП” продукция в настоящее время недостаточно конкурентоспособной. Причиной этого является низкое качество и высокая себестоимость выпускаемой продукции.

Низкое качество продукции связано с устаревшей технической базой производства и несовершенной технологией производства продукции.

Высокая себестоимость продукции объясняется сложившейся в настоящее время высокой ценой сырья и большими энергозатратами на производство продукции, обусловленными устаревшей техникой и технологией. В связи с высокой себестоимостью выпускаемой продукции предприятие в настоящее время не может понизить цену авиакомплекующих и собранной авиатехники.

Следовательно, на настоящем этапе основной задачей предприятия является улучшение качества продукции с одновременным снижением издержек производства и расширением ассортимента выпускаемой продукции. Это позволит более успешно действовать в конкурентной борьбе. С расширением ассортимента выпускаемой продукции увеличатся объемы ее производства, снизятся издержки и увеличится сумма получаемой предприятием прибыли.

Целью инвестирования является совершенствование материально-технической базы предприятия. Цель может быть достигнута за счет модернизации частей технологического оборудования.

Инвестиционные параметры проекта рассмотрены в четырех вариантах:

- инвестиции для организации работ в случае покупки автономных газотурбинных электростанций ГТЭС-2,5 (для сопоставления рассмотрены два объема начальных инвестиций - 854 тыс. руб. и 1154 тыс. руб.);

-        инвестиции для приобретения как электростанций ГТЭС-2,5, так и другого технологического оборудования (также рассмотрено два уровня инвестиций - 2049 тыс. руб. и 2349 тыс. руб.).

Рассмотрим финансовые показатели проекта.

Прогноз экономии средств и затрат приведен в таблице 5.

Таблица 5. Прогнозная динамика экономии финансовых ресурсов ЗАО “Авиастар-СП” от реализации инвестиционного проекта

Наименование

1 год

2 год

3 год

Экономия в месяц, тыс. руб.

700

980

1280

Наценка на произведенную продукцию:




в процентах

40%

40%

28%

в тыс. руб.

200

280

280

Издержки предприятия, тыс. руб.

140

150

150

Чистая прибыль, тыс. руб.

10-60

60-130

130

Прирост прибыли, тыс. руб.

50-70

Ср. 70


Оценка эффективности проекта рассчитывалась на основании стандартных параметров расчета эффективности инвестиций - UNIDO, с использованием четырех параметров и анализа чувствительности:

Чистый дисконтированный доход (NVP - Net Present Value или ЧДД), накопленный дисконтированный эффект за расчетный период. ЧДД нормы дисконта. Для признания проекта эффективным, с точки инвестора, необходимо, чтобы его ЧДД был положительным; при альтернативных проектов предпочтение должно отдаваться проекту с большим значением ЧДД (при условии, что он положителен).

Внутренняя норма доходности (IRR - Internal Rate of Return или ВНД) (внутренняя норма дисконта; внутренняя норма рентабельности) -такое положительное число Е, что при норме дисконта Е = Е чистый дисконтированный доход проекта обращается в 0.

Индекс доходности инвестиций (ИД) (Индекс рентабельности) - отношение ДДП к накопленному объему инвестиций.

Срок окупаемости с учетом дисконтирования - продолжительность наименьшего периода, по истечении которого текущий чистый дисконтированный доход становится и в дальнейшем остается неотрицателен.

Таблица 6. Базовые показатели за месяц

Шаги расчета

2008 г.

2009 г.

2010 г.

2011 г.

Процентная ставка, % (i)

22,00%

22,00%

22,00%

22,00%

Начальные инвестиции, тыс. руб.

13000

1000

1000

1000

Приход


20060

21263,6

22539,42

Постоянные расходы


6477,94

6769,44

7074,07

Переменные расходы


6434,03

6723,57

7026,13

Проценты за кредит





Денежный поток, руб.

-13000

6148,03

6770,59

7439,22

Чистый доход ЧД, руб.

-13000

6148,03

13918,62

20357,84

Дисконтирующий множитель

1,000

0,82

0,672

0,551

Дисконтированный денежный поток РV

-13000

5039,4

9588,3

13685,1

NVP

-13000

-7960,6

-3411,7

685,1

IRR



-0,40%

25,30%

Разница (IRR - i)



-22,40%

3,30%

Индекс рентабельности RI


0,388

0,738

1,053

Срок окупаемости проекта


2,1

2,0

1,9

Дисконтированный срок окупаемости


2,6

2,7

2,8


В таблице приведены расчеты показателей за месяц.

За базу даны шаги расчета трех лет (20008- 2011 гг.).

Процентная ставка - 22% (в нее включается: безрисковая норма доходности + поправка на снижение ликвидности + поправка на риск вложения + поправка на продолжительность отвлечения средств) проводится по экспертной оценке в условиях финансовой ситуации в России.

Приход, постоянные расходы, переменные расходы - заданы.

Денежный поток рассчитывается как приход - постоянные расходы - переменные расходы - начальные инвестиции.

Чистый доход ЧД (товарооборот на единицу продукции).

Чистый доход = чистый доход за первый год + денежный поток за

второй год

Дисконтирующий множитель (DF) задан.

= 1⁄ (1 + k),

где k - ставка дисконтирования.

Дисконтированный денежный поток PV (приведенная текущая стоимость) = Денежный поток * Дисконтирующий множитель, находим первый год, чтобы найти второй год, следует прибавить предыдущий год, и т.д.

Чистый приведенный эффект (NPV) рассчитывается: дисконтированный денежный поток за 2008 год, вычитаем дисконтированный денежный поток за 2009 год.

Рассматриваются следующие 4 варианта инвестиционного проекта по организации инвестиционного процесса:

- вариант 1 рассчитывается при условии приобретения оборудования на условиях финансовой аренды (лизинга) и инвестировании 854 тыс. руб.;

-        вариант 2 рассчитывается при условии приобретения оборудования на условиях финансовой аренды (лизинга), инвестиция 1154 тыс. руб.

         вариант 3 предусматривает приобретение оборудования в собственность, инвестиция - 2049 тыс. руб.

         вариант 4 предусматривает приобретение оборудования в собственность, инвестиция - 2349 тыс. руб.

В таблице 7 приведены результаты расчета экономических показателей работы ЗАО “Авиастар-СП” по различным вариантам. Объем инвестиций и динамика развития предприятия определены календарным планом по внедрению оборудования в производственный процесс.

Таблица 7. Результаты расчета экономических показателей

Вариант

Инвестиции

Чистый денежный поток в t-м году, тыс. руб.

NVP, тыс. руб.

IRR, %

PI

Дисконтированный срок окупаемости



t =1

t=2

t=3





1

854

720

1560

1560

1643,37

111,51

2,92

1,00

2

1154

720

1560

1560

1343,37

79,58

2,16

1,40

3

2049

720

1560

1560

448,37

34,17

1,22

2,50

4

2349

720

1560

1560

148,37

25,61

1,06

2,80

Товарооборот

8400

11760

15360



Инвестиции варианта c финансовой арендой (лизингом):

- min - 854 тыс. руб.

-        max - 1154 тыс. руб.

Инвестиции варианта с приобретением оборудования в собственность:

- min - 2049 тыс. руб.

-        max - 2349 тыс. руб.

Чистый денежный поток рассчитан по плановой динамики развития предприятия (таблица 3.4):

Товарооборот:

- в первом году 700 * 12 = 8400 тыс. руб.

-        во втором году 980 * 12 = 11760 тыс. руб.

         в третьем году 1280 * 12 = 15360 тыс. руб.

Приведенный эффект (NPV):

,

Где С0 - инвестиции;

Сt - денежный поток;- коэффициент дисконтирования;- период.1= -854 + 720 / (1,22) + 1560 / (1,22)2 + 1560 / (1,22)3 = 1643,37 т. р.2= -1154 + 720 / (1,22) + 1560 / (1,22)2 + 1560 / (1,22)3 = 1343,37 т. р.= - 2049 + 720 / (1,22) + 1560 / (1,22)2 + 1560 / (1,22)3 = 448.37 т. р.4= - 2349 + 720 / (1,22) + 1560 / (1,22)2 + 1560 / (1,22)3 = 148,37 т.р.

Индекс рентабельности (PI):= (NPV + C0) / C0, где0 - инвестиции.- приведенный эффект:= (1643,37 + 854) / 854 = 2,922 = (1643,37 + 1154) / 1154 = 2,163 = (1643,37 + 2049) / 2049 = 1,224 = (1643,37 + 2349) / 2349 = 1,06

Проведем далее анализ чувствительности (эластичности) NVP. Анализ чувствительности заключается в определении того, что будет, если один или несколько факторов изменят свою величину.

Анализ чувствительности позволяет определить силу реакции результативного показателя (в данном случае NVP) на изменение независимых, т.е. варьируемых, факторов.

Анализируемая величина - NVP.

Варьируемые параметры:

- ставка дисконтирования,

-        товарооборот.

Шаг анализа 5% (от -20% до 20%). За исходное состояние взяты расчетные значения вариантов (шаг 0).

В таблице 8 приведены параметры эластичности NVP при вариации различных факторов.

Таблица 8. Параметры эластичности NVP

Параметры

-20%

-15%

-10%

-5%

0%

5%

10%

1 5%

20%

Чистый приведенный доход (вариант 1),руб.

1845.4

1792,5

1741,3

1691,6

1643,4

1596.6

1551,3

1507.2

1464.5

Чистый приведенный доход (вариант 1),руб.

428,4

732,1

1035,9

1339,6

1643.4

1947.1

2250,9

2554,6

2858,4

Чистый приведенный доход (вариант 2),руб.

1545,4

1492,5

1441,3

1391,6

1343,4

1296,6

1251,3

1207,2

1164,5

Чистый приведенный доход (вариант 2),руб.

128,4

432,1

735,9

1039,6

1343.4

1647,1

1950,9

2254,6

2558,4

Чистый приведенный доход (вариант 3),руб.

650,4

597,5

546,3

496,6

448,4

401,6

356,3

312,2

269,5

Чистый приведенный доход (вариант 3),руб.

-766,6

-462,9

-159,1

144,6

448,4

752,1

1055,9

1359,6

1663,4

Чистый приведенный доход (вариант 4),руб.

350,9

297,5

246,3

196,6

148,4

101,6

56,3

12,2

-30,5

Чистый приведенный доход (вариант 4),руб.

-1066

-762,9

-459,1

-155,4

148,4

452,1

755,9

1059,6

1363,4


По исходным данным, приведенным в таблице, построим диаграммы, изображенные на рисунках 9, 10.

Рисунок 9. Динамика чистого приведенного дохода при вариации ставки дисконтирования

Рисунок 10. Динамика чистого приведенного дохода при вариации величины товарооборота

Чистый приведенный доход изменяется прямо пропорционально выручке и обратно пропорционально ставке дисконтирования.

Наибольший чистый приведенный доход через три года предприятие получит при применении варианта 1, наименьший - варианта 4.

Таблица 9. Чувствительность по варьируемым параметрам

Варианты

-20%

-15%

-10%

-5%

0%

5%

10%

1 5%

20%

12,3

9,1

6,0

2,9

0,0

-2,9

-5,6

-8,3

-10,9

Чувствительность по объему реализации (1),%

-73,9

-55,5

-37,0

-18,5

0,0

18,5

37,0

55,5

73,9

Чувствительность по величине дисконта (2),%

15,0

11,1

7,3

3,6

0,0

-3,5

-6,9

-10,1

-13,3

Чувствительность по объему реализации (2),%

-90,4

-67,8

-45,2

-22,6

0,0

22,6

45,2

67,8

90,5

Чувствительность по величине дисконта (3),%

45,1

33,3

21,8

10,8

0,0

-10,4

-20,5

-30,4

-39,9

Чувствительность по объему реализации (3),%

-271,0

-203,2

-135,5

-67,8

0,0

67,7

135,5

203,2

271,0

Чувствительность по величине дисконта (4),%

136,5

100,5

66,0

32,5

0,0

-31,5

-62,1

-91,8

-120,6

Чувствительность по объему реализации (4),%

-818,9

-614,2

-409,4

-204,7

0,0

204,7

409,5

614,2

818,9


Рисунок 11. Диаграмма чувствительности изменения чистого дисконтированного дохода при изменении ставки дисконтирования

Рисунок 12. Чувствительность изменения чистого дисконтированного дохода при изменении товарооборота

Если сравнивать влияющие факторы, то можно отметить, что величина чистого дисконтированного дохода наиболее чувствительна к изменению реализации продукции.

Влияние фактора ˝товарооборот˝ в 6,4 раза значительнее, чем влияние ˝ставка дисконтирования˝. Такая динамика характерна для всех четырех вариантов (таблица 10).

Таблица 10. Динамика варьируемых параметров

Параметры эластичности

Эластичность 1 по величине дисконта (рискам)

Эластичность 2 по товарообороту

Отношение эластичности 2 к эластичности 1

 Вариант 1

-0,58

3,70

6.4

 Вариант 2

-0,71

4.52

6.4

 Вариант 3

-2,12

13,55

6.4

 Вариант 4

-6,41

40,95

6.4


Если сравнить показатели четырех вариантов между собой, то можно отметить, что наименьшая чувствительность к изменению NVP у первого и второго варианта (инвестиции 854 и 1154 тыс. руб. при условии лизинга оборудования). У третьего и четвертого вариантов (инвестиции 2049 тыс. руб. и 2349 тыс. руб. соответственно, условия приобретения оборудования в собственность) чувствительность выше, чем у первого в 3,6 и 11 раз соответственно.

Таким образом, можно сделать вывод, что первый и второй варианты устойчивее к внешним факторам, чем третий. Самый неустойчивый вариант - четвертый.

Таким образом, для оценки вариант и принятия решения о том, какой вариант инвестиционного проекта является наиболее приемлемым, в работе были использованы четыре критерия:

- дисконтированный срок окупаемости;

-        чистый приведенный эффект (NPV);

         внутреннюю доходность (IRR);

         индекс рентабельности (PI).

Был также проведен анализ чувствительности различных вариантов инвестиционного проекта.

Необходимо сделать обоснованный выбор из четырех возможных к реализации вариантов инвестиционного проекта.

Таблица 11. Динамика денежных потоков (тыс. руб.)

Год

Денежные потоки


вариант 1

вариант 2

вариант 3

вариант 4

1

720

720

720

720

2

1560

1560

1560

1560

3

1560

1560

1560

1560

NPV

1643,37

1343,37

448,37

148,37

IRR

111,51

79,58

34,17

25,61

PI

2,92

2,16

1,22

1,06

PP (диск. срок окупаемости)

1 год

1,4 года

2,5 года

2,8 года


В зависимости от принятого критерия выбор будет различным. Несмотря на то, что между показателями NPV, PI, IRR, СС (цена источника средств для данного проекта) имеются следующие взаимосвязи:

- если NPV > 0, то одновременно IRR > СС и PI > 1;

-        если NPV < 0, то одновременно IRR < СС и PI < 1;

         если NPV = 0, то одновременно IRR = СС и PI = 1.

Методы, основанные на дисконтированных оценках, с теоретической точки зрения являются более обоснованными, поскольку учитывают временную компоненту денежных потоков.

Таким образом, можно сделать вывод, что из всех рассмотренных критериев наиболее приемлемым для принятия решения инвестиционного характера является критерии NPV, PI, IRR. Несмотря на отмеченную взаимосвязь между этими показателями, при оценке альтернативных вариантов инвестиционного проекта проблема выбора критерия все же остается.

При принятии решения можно руководствоваться следующими соображениями:

- рекомендуется выбирать вариант с большим NPV, поскольку этот показатель характеризует возможный прирост экономического потенциала предприятия (наращивание экономической мощи предприятия является одной из наиболее приоритетных целевых установок);

-        возможно также сделать расчет коэффициента IRR для приростных показателей капитальных вложений и доходов, при этом если IRR > СС, то приростные затраты оправданы и целесообразно принять вариант проекта с большими капитальными вложениями.

Исследования, проведенные специалистами в области финансового анализа, показали, что наиболее предпочтительным критерием является критерий NPV. Основные аргументы в пользу этого утверждения следующие:

- критерий NPV дает вероятную оценку прироста капитала предприятия в случае принятия проекта; критерий в полной мере отвечает основной цели деятельности управленческого персонала, которой является наращивание экономического потенциала предприятия;

-        он обладает свойством аддитивности, что позволяет складывать значение показателя NPV по различным вариантам инвестиционного проекта и использовать агрегированную величину для оптимизации инвестиционного портфеля.

Что касается показателя IRR, то он имеет ряд серьезных недостатков.

В сравнительном анализе альтернативных вариантов критерий IRR можно использовать достаточно условно. Так, если расчет критерия IRR для нескольких вариантов показал, что его значение для варианта 1 больше, чем для остальных вариантов, то в определенном смысле вариант 1 может рассматриваться как более предпочтительный, поскольку допускает большую гибкость в варьировании источниками финансирования инвестиций, цена которых может существенно различаться. Но поскольку IRR является относительным показателем, на его основе невозможно сделать правильные выводы об альтернативных вариантах с позиции их возможного вклада в увеличение капитала предприятия (этот недостаток особенно выпукло проявляется, если варианты существенно различаются по величине денежных потоков).

Сравнивая вариант по дисконте равному сроку окупаемости (он определяется как число лет, необходимых для возмещения инвестиций), видно, что вариант 1 (таб. 3.1) был бы предпочтительнее, чем остальные варианты (2 - 1,4 года; 3 - 2,5 лет; 4 - 2,8 лет), т.к. вариант 1 - 1 год - имеет более короткий срок возврата денег. Дисконтированный срок окупаемости характеризует тот момент, к которому будут возмещены все расходы по привлечению собственных и заемных средств для финансирования проекта. Этот критерий имеет серьезный недостаток, он не учитывает влияния элементов денежного потока, находящихся за пределами срока окупаемости.

Несмотря на отмеченный недостаток, критерий тем не менее показывает, как долго финансовые ресурсы будут омертвлены в проекте. Таким образом, при прочих равных условиях, чем короче срок окупаемости, тем ликвиднее проект. Кроме того, поскольку «дальние» элементы денежного потока рассматриваются как более рисковые по сравнению с «ближними», считается, что критерий «срок окупаемости» дает приблизительную оценку рисковости проекта.

Наиболее эффективным критерием является расчет чистого приведенного эффекта, основанный на методологии дисконтирования денежного потока.

Если NPV > 0, проект следует принять, если NPV < 0, проект должен быть отвергнут; если несколько проектов взаимоисключающие, должен быть выбран тот, у которого положительный NPV больше.

Логика критерия NPV достаточна очевидна. Нулевой NPV означает, что генерируемого проектом денежного потока вполне достаточно:

- для возмещения вложенного в проект капитала;

-        для обеспечения требуемой отдачи на этот капитал.

Если NPV > 0, тогда денежный поток генерирует прибыль, и после расчетов с кредиторами по фиксированной ставке оставшаяся прибыль накапливается исключительно для акционеров фирмы. Следовательно, если фирма принимает проект с нулевым NPV, положение акционеров не меняется - масштабы производства увеличиваются, но цена акций остается неизменной.

Напротив, если фирма принимает проект с положительным NPV, положение акционеров улучшается.

Из таблицы 3.2 видно, что состояние акционеров увеличится:

по варианту 1 - на 1643,37 тыс. руб.;

- по варианту 2 - на 1343,37 тыс. руб.;

-        по варианту 3 - на 448,37 тыс. руб.;

         по варианту 4 - на 148,37 тыс. руб.

Таким образом, можно заключить, что вариант 1 предпочтительнее остальных вариантов инвестиционного проекта.

Под внутренней нормой доходности понимают значение коэффициента дисконтирования, при котором NPV проекта равен нулю.

Смысл расчета этого коэффициента при анализе эффективности планируемых инвестиций заключается в следующем: IRR показывает максимально допустимый относительный уровень расходов, которые могут быть ассоциированы с данным проектом.

Если для рассматриваемых вариантов цена капитала не превысит 22%, а варианты альтернативны, то вариант 1 должен быть принят, а остальные отвергнуты.

Следующий критерий, используемый при оценке проектов, - индекс рентабельности.

В отличие от чистого приведенного эффекта индекс рентабельности является относительным показателем. Благодаря этому он очень удобен при выборе одного проекта из ряда альтернативных, имеющих примерно одинаковые значения NPV, либо при комплектовании портфеля инвестиций с максимальным суммарным значением NPV.

Проект может быть принят, если его PI больше 1, а чем выше PI, тем привлекательнее проект. Таким образом, вариант 1 предпочтительнее, когда варианты альтернативны.

Критерии NPV, IRR, PI с позиции финансового анализа взаимосвязаны, т.е. приводят к одинаковому ответу на вопрос - принять или отвергнуть проект: если NPV > 0, то IRR > цены капитала проекта и его PI > 1. Однако NPV, IRR, PI могут дать противоречивые ответы для альтернативных вариантов.

Какой же проект должен быть принят? Состояние акционеров повышается на величину NPV проекта, следовательно, предпочтение следует отдать варианту 1.

Таким образом, для фирмы, стремящейся максимизировать богатство акционеров, следует более ориентироваться на критерий NPV.

Из всех рассмотренных альтернативных вариантов вариант 1 является наиболее привлекательным по всем перечисленным критериям.

В ходе проведения анализа необходимо постоянно сравнивать критерии, чтобы высветить их преимущества и недостатки. Необходимо рассчитывать и анализировать все критерии, т.к. каждый из них дает определенную существенную информацию.

Дисконтированный срок окупаемости дает информацию о риске и ликвидности проекта - длительный срок окупаемости означает, что, во-первых, инвестированные средства будут связаны в течение многих лет, следовательно, проект относительно неликвидный, и, во-вторых, поступления по проекту должны прогнозироваться на далекую перспективу, что означает существенную рисковость проекта.важен потому, что он показывает генерируемый проектом прирост благосостояния акционеров фирмы, и по-моему является лучшей характеристикой отдачи на вложенный капитал. Будучи относительным показателем, IRR также оценивает доходность инвестиций, и именно этот показатель, особенно неспециалистам в области финансов, представляется наиболее предпочтительным. Кроме того, IRR содержит информацию о «резерве безопасности проекта», которая не свойственна NPV.также дает информацию о «резерве предела безопасности», поскольку он измеряет прибыль, приходящуюся на 1 дол. инвестиции. Для варианта инвестиционного проекта:

- 1 PI = 2,92 тыс. руб.;

2 PI = 2,16 тыс. руб.;

3 PI = 1,22 тыс. руб.;

4 PI = 1,06 тыс. руб.

Таким образом, PI, как и IRR, показывает, что вариант 1 имеет большую устойчивость в отношении изменчивости денежного потока, чем остальные варианты.

Из таблицы 3.8 видно, что наибольший чистый приведенный доход через три года предприятие получит при применении варианта 1, наименьший - вариант 4.

Если сравнивать показатели четырех вариантов между собой, то можно отметить, что наименьшая чувствительность к изменению NPV у первого и второго вариантов (инвестиции 854 и 1154 тыс. руб. при условии аренды помещения). У третьего и четвертого вариантов (инвестиции 2049 тыс.руб. и 2349 тыс.руб. соответственно, условия покупки помещения) чувствительность выше, чем у первого в 3,6 и 11 раз соответственно, т.е. можно сделать вывод, первый и второй вариант устойчивее к изменению внешних факторов, чем третий и четвертый.

Итак, различные критерии оценки вариантов дают различную информацию. Поскольку расчет критериев несложен, все они должны учитываться в процессе принятия решения. В каждом конкретном случае один критерий оказывается более весомым, чем другой, но было бы ошибкой игнорировать информацию, присущую каждому критерию.

Анализ полученных результатов показал, что по всем параметрам, характеризующим инвестиционный проект, вариант 1 превосходит остальные варианты и ему следует отдать предпочтение. Оценка чувствительности также показала, что вариант 1 наиболее устойчивый по отношению к внешним изменениям.

В целом вариант 1 способен в короткие сроки обеспечить возврат инвестиций и в дальнейшем иметь прибыль, которую ЗАО “Авиастар-СП” в дальнейшем может использовать по своему усмотрению.



.3 Пути совершенствования процедуры разработки и анализа эффективности инвестиционного проекта в ЗАО “Авиастар-СП”

Проведенный анализ показал, что разработка и оценка эффективности инвестиционных проектов является неотъемлемой частью общей системы инвестиционного менеджмента на ЗАО “Авиастар-СП”.

Совершенствование механизма разработки и оценки эффективности инвестиционных проектов на ЗАО “Авиастар-СП” касается в основном малых инвестиционных проектов, поскольку они выполняются непосредственно внутри предприятия в то время, как разработка и оценка эффективности крупных проектов проводится на базе зарубежной практики.

Процедура разработки и оценки эффективности инвестиционных проектов на предприятии имеет следующие недостатки:

1.       Разработка инвестиционных проектов осуществляется на базе одного варианта развития финансовой ситуации в будущем. В условиях быстрых изменений внешней среды необходимо формировать различные сценарии развития ситуации.

2.       Разработка и оценка эффективности инвестиционных проектов осуществляется без обоснования денежных потоков. Если говорить о проектах, которые могут являться экономически целесообразными, то их можно разделить на 2 типа, в зависимости от вида экономической эффективности:

- Проекты, по результатам которых компания получает дополнительный доход.

- Проекты, по результатам которых компания получает экономию на издержках. Таким образом, прежде чем начать расчет экономической эффективности, следует понять, за счет чего будет формироваться положительный денежный поток - за счет дополнительной дохода или за счет экономии? Нередки проекты, в которых эффекты экономии и дохода возникают параллельно.

3.       Основной недостаток, как думается, состоит в том, что при осуществлении расчетов и корректировок показателей с учетом уровня инфляции используется величина инфляционного процента, определяемая от величины предыдущего период и увеличенная на процент прироста инфляции по сравнению с предшествующим периодом.

4.       Оценка эффективности инвестиционных проектов в большинстве случаев осуществляется без учета потока реальных денег (потока наличности). В данном случае речь идет о формировании базовых данных по динамике общих доходов и затрат предприятия в целом от внедрения инвестиционного проекта.

В настоящее время основные производственные фонды предприятия ЗАО “Авиастар-СП” используются всего лишь на 55-60%. Предприятие имеет простаивающие производственные площади. Производство продукции на этих площадях стало нерентабельным прежде всего в связи с отсутствием стабильного платежеспособного спроса на авиатехнику, а также использования устаревшего оборудования и технологий. Перевооружение этого производства не представляется возможным в силу отсутствия стабильного спроса на продукцию, но и при его наличии эта мера была бы невозможной в связи с необходимостью значительных инвестиций, которыми предприятия не располагает.

Мероприятием, которое позволит рациональней использовать основные фонды предприятия, является сдача их в аренду сторонним организациям и предпринимателям без образования юридического лица.

В то же время существует ряд противоречивых факторов и условий, формирующих исходную базу принятия управленческих решений при воссоздании и реформировании авиапромышленности. Одни из них диктуются внешним окружением отрасли, другие вызваны внутренним состоянием самой авиапромышленности: неэффективностью и слабыми адаптивными свойствами ее организационной и технологической структуры, старением производственного аппарата, недостатком или отсутствием собственных и кредитных источников инвестиционных ресурсов и т.д.

Перспективы развития Авиастара в основном связаны с поиском платежеспособного спроса на свою продукцию. Следует отметить, что продукция, выпускаемая на предприятии, довольно конкурентоспособна на мировом рынке. По оценкам специалистов, российские летательные аппараты, такие как дальнемагистральный лайнер Ил-96М/Т, транспортный самолет Ан-70 и среднемагистральный Ту-204, по критерию “эффективность-стоимость” вполне могут составить конкуренцию западным аналогам. По каталогу цена Ту-204, оснащенного английскими двигателями Rolls-Royce, составляет $30 - 35 млн., а его производство обходится в $27 - 30 млн., в то время как среднерыночная цена Boeing-757 или аналогичного европейского аэробуса превышает $50 млн.

Кроме того, предприятие изготавливает крупнотоннажные грузовые лайнеры “Руслан”, которые не имеют аналогов в мире. В начале 1999 года Украина и России подали заявку на участие в тендере по предоставлению тяжелых транспортных самолетов в лизинг королевским Военно-воздушным силам Великобритании. Соответствующие документы направили Киевский авиационный научно-технический комплекс (АНТК) им. Антонова и Авиастар.

В конкурсе примет участие новый военно-транспортный вариант “Руслана”, в создании которого примут участие АНТК, Авиастар, английская грузовая компания “Air Royle”, а также американские фирмы “General Electric” и “Honewell”. Новый вариант “Руслана” будет оснащен двигателями General Electric CF6-80C2, авионикой Honewell, а также рядом комплектующих западного производства. По расчетам АНТК им. Антонова, это увеличит надежность самолета и сократит экипаж с шести до трех человек. Дальность полета с грузом в 80 тонн возрастет с 8400 км до 9300 км. Новый самолет получит обозначение Ан-124-200 “Руслан” и будет стоить около $90 млн. Однако сроки реализации проекта и условия его финансирования пока не определены. На модернизацию “Руслана” и его сертификацию с американскими и английскими двигателями потребуется около $130 млн. В числе основных конкурентов “Руслана” в тендере эксперты называют американский Boeing С-17, который представлен американской компанией совместно с Вritish Aerospace. Подведение итогов тендера намечено на январь 2000 года.

Следует отметить, что аналитики прогнозируют в ближайшей перспективе значительный рост спроса на летательные аппараты. При этом, по их оценке, ведущие производители авиационной техники - американская Boeing и европейская Airbus Industrie - уже перегружены заказами, а следовательно, возможен рост спроса на российские самолеты, отвечающие мировым стандартам, к которым можно отнести и продукцию Авиастара.

Приведенные особенности состояния и тенденций функционирования предприятий авиационной промышленности (АП) позволяют сформулировать некоторые оценки, из которых необходимо исходить при прогнозировании перспектив отечественной АП и при ее реформировании как системообразующей отрасли с точки зрения решения проблемы повышения уровня технологизации и ускорения роста всей российской экономики. Перечислим главные, на наш взгляд, из них, а также, по возможности, приведем их краткое качественное обоснование.

Обновленный облик АП должен формироваться под воздействием платежеспособного спроса на ее продукцию, как со стороны государства, так и со стороны внутреннего и внешнего рынков. Резкое снижение уровня жизни населения и тарифная политика на авиаперевозки привели к многократному сокращению пассажиропотока (средняя цена авиабилета сопоставима со среднемесячной зарплатой). Стремительный рост пассажиропотока может быть обусловлен только столь же динамичным ростом доходов основной массы населения и снижением внутренних издержек авиакомпаний, что недостижимо при сырьевой ориентации и сложившейся структуре экономики. Более вероятен другой сценарий - за приближением внутренних цен на энергоресурсы к общемировым последует рост издержек во всех отраслях, сокращение доходов и рабочих мест. По показателю ВВП на душу населения Россия отстает в несколько раз не только от ведущих, но и многих развивающихся стран.

Низкое качество жизни и незначительная емкость российского внутреннего рынка авиаперевозок (ими пользуются всего 3% населения) являются препятствием к возрождению конкурентоспособного авиастроения. Создалась ситуация, блокирующая развитие АП: расширение рынка авиаперевозок невозможно без резкого повышения благосостояния населения и снижения внутренних издержек авиаперевозок. Мелкосерийное же производство обречено на низкую эффективность. Мощности Ульяновского предприятия «Авиастар» позволяют выпускать ежегодно до 60 самолетов Ту-204. Высокая эффективность производства в современных условиях обеспечивается серией 300-500 авиалайнеров в год. В советский период таких серий в России не было, сейчас же ей такое количество новых самолетов пока и не требуется.

Следовательно, стратегия развития АП и воздушного транспорта должна соотноситься с общей стратегией социально-экономического развития страны. Только исходя из темпов роста общественного благосостояния, необходимо строить прогноз и формировать рынок авиаперевозок и структуру авиационного парка.

При прогнозировании динамики объема авиаперевозок следует учитывать высокую степень корреляции этого показателя с показателями динамики ВВП, реальных денежных доходов населения и среднегодового пассажирского тарифа на внутренних авиалиниях. Последние показатели не дают оснований для особо оптимистического прогноза роста авиаперевозок в ближайшие 10 лет при всех сценариях развития, в том числе и при самом рациональном - структурной реформе экономики.

Перекос в социальных и промышленных приоритетах в сторону последних, разрыв в цепи, связывающей непосредственных потребителей услуг и объем их платежеспособного спроса с производителями авиатехники, может привести к ситуации неэффективности инвестирования.

Заключение

В настоящее время для оценки инвестиционных проектов и принятия решения о том, какие из них следует включать в бюджет капиталовложений, главным образом применяются следующие четыре критерия:

- срок окупаемости;

-        чистый приведенный эффект (NPV);

         внутренняя доходность (IRR);

         индекс рентабельности.

Применяется также неформализованный анализ обособленного риска проекта - анализ чувствительности.

Метод анализа чувствительности не ставит главной целью - количественно оценить риск. Задача данного метода - оценить влияние на значение NPV входных параметров в формуле NPV.

Когда сравнивается несколько альтернативных вариантов инвестиционного проекта, проект с более крутыми кривыми чувствительности считается более рискованным, поскольку сравнительно небольшая ошибка в оценке переменой, дает большую ошибку в прогнозируемой NPV проекта. Таким образом, анализ чувствительности может помочь проникнуть в суть рисковости проекта.

В настоящей дипломной работе проект с вариантом финансовой аренды (лизинга) оборудования устойчивее к изменению внешних факторов, чем проект с вариантом приобретения оборудования в собственность (проект 3). Самый неустойчивый вариант проекта - вариант 4.

Также был сделан сравнительный анализ четырех критериев (NPV, IRR, IP, дисконтированный срок окупаемости).

Все четыре рассмотренных критерия несут дополнительную информацию.

В проведенном анализе результаты показали, что по всем критериям, вариант аренды оборудования превосходит иные варианты и ему следует отдать предпочтение, так как:

по внутренней норме доходности:

- вариант 1 составил 110%;

-        вариант 2 составил 80%.

по сроку окупаемости:

- вариант 1 составил 1 год;

-        вариант 2 составил 1,4 года.

по приведенному доходу:

- вариант 1 составил 1643 тыс. руб.;

-        вариант 2 составил 1343 тыс. руб.

В целом предлагаемый проект способен в короткие сроки обеспечить возврат инвестиций и в дальнейшем иметь прибыль.

Список использованной литературы

1.   Анализ финансово-экономической деятельности предприятия: Учеб. пособие для вузов / Под ред. Н.П. Любушина. - М.: Юнити-Дана, 2006. - 471 с.

2.       Анализ финансового состояния предприятия / Под. ред. А.И. Ковалева, В.П. Привалова. - М.: Центр экономики и маркетинга, 2006. - 256 с.

.        Астахов В.Л. Бухгалтерский финансовый учет: Учебное пособие. - М: ИКЦ «Март», 2005. - 832 с.

.        Балабанов И.Т. Основы финансового менеджмента. Как управлять капиталом? - М.: Финансы и статистика, 2006. - 183 с.

.        Белых Л.П. Основы финансового рынка. - М.: Финансы, 2007. - 218 с.

.        Брейли Р., Майерс С. Принципы корпоративных финансов. - М.: ЗАО “Олимп-Бизнес”, 2007. - 246 с.

.        Бочаров В.В. Корпоративные финансы. - СПб.: Питер, 2006. - 258 с.

.        Бланк И.А. Финансовый менеджмент. - СПб.: Питер, 2006. - 277 с.

.        Виленский П.Л., Лившиц В.Н., Орлова Е.Р., Смоляк С.А. Оценка эффективности инвестиционных проектов. - М.: Дело, 2006. - 362 с.

10.   Денисов А.Ю., Жданов С.А. Экономическое управление предприятием и корпорацией. - М.: Финансы и статистика, 2006. - 324 с.

.       Ермолович Л.Л., Сивчик Л.Г., Толкач Г.В., Щитникова И.В. Анализ хозяйственной деятельности предприятия// Интерсервисс; Эко - Минск: перспектива, 2005. - 576 с.

12.     Зайцев М.Г. Методы оптимизации управления для менеджеров: Компьютерно-ориентированный подход// Учеб. пособие. - М.: Дело, 2006. - 304 с.

.        Ивашкевич В.Б., Семенова И.М. Учет и анализ дебиторской и кредиторской задолженности. - М.: Бухгалтерский учет, 2006. - 192 с.

.        Ковалев В.В. Финансовый анализ. Управление капиталом. Выбор инвестиций. Анализ отчетности. - М.: Финансы и статистика, 2006. -512 с.

15.   Ковалев В.В. Управление финансами. - М.: ФБК-ПРЕСС, 2007. - 268 с.

.       Кравченко Л.И. Анализ финансового состояния предприятия. - Минск: Экаунт, 2005. - 495 с.

.       Когденко В.Г. Экономический анализ. - М.: Юнити, 2006. - 327 с.

.       Кондраков Н.П. Бухгалтерский учет: Учебное пособие. - М.: Инфра-М, 2007. - 540 с.

19.     Крейнина М.Н. Финансовое состояние предприятия. Методы оценки. - М.: ИКЦ Дис, 2005. - 224 с.

.        Лихачева О.Н. Финансовое планирование на предприятии/ Учеб пособие - М.: ООО «ТК Велби», 2006.- 264 с.

.        Любушин Н.П., Лещева В.Б., Дъякова В.Г. Анализ финансово-экономической деятельности предприятия - М.: ЮНИТИ-ДАНА, 2006. - 471 с.

.        Любушин Н.П. Анализ финансового состояния организации: Учебное пособие. - М.: Эксмо, 2007. - 256 с.

.        Мищенко А.В., Посохов Ю.В., Филаткин А.В. Управление финансовыми активами предприятия // Финансовый менеджмент. - 2005. - №4. - С. 3-15.

.        Незамайкин В.Н. Финансы организаций: менеджмент и анализ. - М.: Эксмо, 2007. - 528 с.

.        Попова Л.В., Маслова И.А., Ханенко М.Е. Аналитическая система материальных запасов на предприятиях промышленности // Финансовый менеджмент. - 2005. - №3. - С. 23-28.

.        Рындин А.Б, Шамаев В.И. Основы финансового менеджмента на предприятии. - М.: Финансы и статистика, 2006. - 311 с.

.        Савицкая Г.В. Анализ хозяйственной деятельности предприятия. - М.: Инфра-М, 2005. - 456 с.

.        Самойлов В. Адаптивное управление по целям: управление финансовыми активами // Инвестиции в России. - 2005. - №6. - С. 48-54.

.        Стоянов Е.А., Стоянова Е.С. Экспертная диагностика и аудит финансово-хозяйственного положения предприятия. - М.: Перспектива, 2006. - 286 с.

.        Стратегическое управление: Учебник / Под ред. О.С. Виханского. - М.: Гардарика, 2005. - 296 с.

.        Финансы, денежное обращение, кредит / Под ред. Н.Ф. Самсонова. - М.: Инфра-М, 2006. - 447 с.

.        Финансовый менеджмент: теория и практика / Под ред. Е.С. Стояновой. - М.: Перспектива, 2006. - 342 с.

.        Финансовый менеджмент. Под ред. проф. Г.Б. Поляка. - М.: Финансы и статистика, 2005. - 408 с.

.        Хотинская Г.И. Финансовый менеджмент. - М.: Дело и Сервис, 2002. - 376 с.

.        Финансовый менеджмент. Под ред. проф. Г.Б. Поляка. - М.: Финансы и статистика, 2005. - 412 с.

.        Шеремет А.Д., Негашев Е.В. Методика финансового анализа. - М.: Инфра-М, 2006. - 465 с.

.        Шишкин А.К., Вартанян С.С., Микрюков В.А. Бухгалтерский учет и финансовый анализ на коммерческих предприятиях. - М.: Инфра-М, 2007. - 362 с.

.        Экономика предприятия / Под ред. О.Н. Волкова. - М.: Инфра-М, 2006. - 542 с.

Похожие работы на - Разработка и анализ эффективности инвестиционного проекта (на примере ЗАО 'Авиастар-СП')

 

Не нашли материал для своей работы?
Поможем написать уникальную работу
Без плагиата!
Без нейросетей!