Проектирование системы автоматического регулирования

  • Вид работы:
    Курсовая работа (т)
  • Предмет:
    Другое
  • Язык:
    Русский
    ,
    Формат файла:
    MS Word
    206,76 Кб
  • Опубликовано:
    2014-10-15
Вы можете узнать стоимость помощи в написании студенческой работы.
Помощь в написании работы, которую точно примут!

Проектирование системы автоматического регулирования

Введение

Курс теории автоматического управления ставит свой целью ознакомление учащегося с общими принципами построения систем автоматического управления, с процессами и методами исследования процессов в этих системах. Принципы построения систем автоматического управления связаны с общими законами управления, значение которых выходит далеко за пределы технических задач. Однако теория автоматического управления сформировалась в самостоятельную науку, в первую очередь, на основе изучения процессов управления техническими устройствами. Изучение принципов построения и исследования систем управления в данной курсовой работе производится на основе рассмотрения управления техническим устройством. Рассматриваемые принципы управления имеют более широкий общий смысл и могут быть применены при изучении процессов управления в совершенно иных системах, например в биологических, экономических, общественных и др.

Объектами управления могут быть: живые организмы (животные, растения), коллективы людей, производственные предприятия, заводы, цехи, отдельные станки, машины. В зависимости от объекта и задачи управления системы управления могут быть различными - от самых простых систем автоматического регулирования, поддерживающих неизменной какую-либо величину (например, напряжение, температуру или давление), до сложных, содержащих десятки вычислительных машин, решающих задачи оптимального управления множеством объектов.

Кроме того, задачи автоматического управления охватывают такие вопросы, как адаптация, или самонастройка системы управления, в соответствии с изменением ее параметров или внешних воздействий, вопросы обеспечения оптимального функционирования системы управления при различных условиях, автоматический выбор наилучших режимов из нескольких возможных и др., не входящих в круг задач автоматического регулирования. Теория автоматического управления как научная дисциплина переживает стадию бурного развития, связанного, в первую очередь, с внедрением мощных современных вычислительных машин и разработкой большого пакета компьютерных программ моделирования и исследования различных САУ. В своей курсовой работе я попытаюсь не обойти этот аспект стороной, пользуясь в процессе выполнения курсовой работы такими программами как Microsoft Office Excel и программный пакет “ТАУ”.

Исходные данные

Структурная схема исследуемой САР:


Передаточные функции звеньев САР:

W1(P)

W2(P)

W3(P)


Параметры звеньев (передаточные коэффициенты и постоянные времени):

k1

k2

k3

T1(c)

T2(c)

T3(c)

β1

1

0.7

2

2

6

4

2



I. Анализ системы автоматического регулирования

Приведение структурной схемы САР к одноконтурной

Для проведения анализа САР проведем структурное преобразование, превратив систему в одноконтурную.

Заменим последовательное соединение звеньев W2(p) и W3(p) звеном с передаточной функцией Wэкв1(p).


;


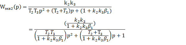
Заменим встречно-параллельное соединение звеньев Wэкв1(p)и β2 эквивалентным звеном с передаточной функцией Wэкв2(p).



;


Произведем замену:


Заменим последовательное соединение звеньев Wэкв2(p) и W1(p) звеном с передаточной функцией Wпр (p).




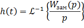
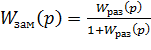
Найдем передаточную функцию и характеристическое уравнение замкнутой системы.

;

Передаточный коэффициент системы и статизм

Найдем передаточный коэффициент системы и статизм системы.

;


;

.

Так как статизм системы S>5%, следовательно, система неработоспособна.

Исследование САР на устойчивость

При помощи критерия Гурвица

Условия устойчивости:



а3=12,63158>0; a2=11,57895>0; a1=4,63158>0; a0=1,36842>0.

Необходимое условие выполняется, проверим достаточное условие.

Т.к. система 3 порядка, то достаточное условие легко проверить

(.):

,628833241-17,2853067036>0

Следовательно, система является устойчивой по критерию Гурвица.

Определим значение критического коэффициента усиления системы.

, когда система 3-его порядка находится на границе устойчивости.

; ;

;

При помощи частотного критерия Михайлова

Условие устойчивости:

САР устойчива, если при изменении частоты от 0 до ¥ годограф вектора ее характеристического уравнения (годограф Михайлова) проходит последовательно против часовой стрелки n квадрантов, не пропуская ни одного.

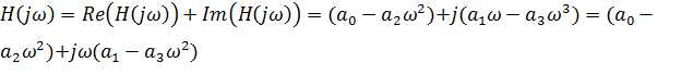
Исходным выражением для определения устойчивости по Михайлову является вектор характеристического уравнения системы в комплексной плоскости. Запишем вектор характеристического уравнения в виде комплексного числа:

.

Выделим мнимые и действительные части комплексного числа в общем виде:

;

;

.

Подставляя численные значения, получим:

.

Для построения годографа необходимо рассчитать значения Re и Im при частоте .

При  

Частота w*, при которой H(jω) переcекает мнимую ось:


Частота w**, при которой H(jω) переcекает действительную ось:



.


Для построения годографа вычислим промежуточные значения ω, так чтобы удовлетворялось условие:

ω0< ω1<w*; w*< ω2<w**; w**< ω3< ω

Составим таблицу значений:

ω

ω0

ω1

w*

ω2

w**

ω3

ω

ω

0

0.15

0.344

0.45

0.605

0.7

Re(H(jω))

1.37

1.1

0

-0.97

-2.869

-4.3

-∞

Im(H(jω))

0

0.49

1.079

0.93

0

-1.1

-∞


Проанализируем:

Годограф начинается на действительной положительной оси и проходит 3 квадранта против часовой стрелки, не пропуская ни одного, устремившись в 3 квадранте в бесконечность. Из этого можно сделать вывод, что система устойчива по частотному критерию Михайлова.

Значение критического коэффициента усиления системы равно ширине годографа. Ширина годографа составляет  , данное значение соответствует  найденному по критерию Гурвица.

При помощи частотного критерия Найквиста

Условие устойчивости:

Замкнутая САР устойчива, если устойчива разомкнутая система и ее АФЧХ не охватывает точки с координатами .

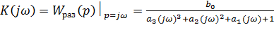
АФЧХ разомкнутой САР - это годограф вектора комплексной передаточной функции разомкнутой системы в комплексной плоскости при изменении частоты от 0 до.

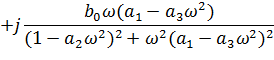
Комплексная передаточная функция может быть получена из передаточной функции заменой оператора p на:


Представим в виде:

;

.

Выделим мнимые и действительные части комплексного числа в общем виде:




Подставим числовые значения:


Составим таблицу (все значения получены путем лабораторного исследования):

ω

ω0

ω1

w2

w3

w4

w5

w6

w7

w8

ω9

Re(H(jω))

0

-0,05

-0,12

-0,19

-0,10

0

0,06

0,21

0,33

0,37

Im(H(jω))

0

0,02

0

-0,14

-0,31

-0,35

-0,36

-0,31

-0,17

0



Проанализируем:

Разомкнутая система устойчива и, как видно из графика, АФЧХ разомкнутой системы не охватывает точку (-1;j0), следовательно, замкнутая система устойчива по Найквисту.

Запас устойчивости замкнутой системы по амплитуде определяется отрезком отрицательной действительной полуоси от точки -1 до точки пересечения АФЧХ разомкнутой системы с отрицательной действительной полуосью. Запас устойчивости по амплитуде показывает, насколько нужно увеличить модуль АФЧХ разомкнутой системы, чтобы замкнутая система вышла на границу устойчивости.

Запас устойчивости замкнутой системы по фазе определяется углом g, который отсчитывается от отрицательной действительной полуоси до луча, проведенного из начала координат до точки пересечения окружности единичного радиуса с АФЧХ разомкнутой системы. Запас устойчивости по фазе показывает, какое запаздывание (отрицательный фазовый сдвиг) нужно внести в разомкнутую систему, чтобы замкнутая система вышла на границу устойчивости.

Проведем на графике окружность единичного радиуса с центром в начале координат. Запас устойчивости по амплитуде равен 1-0,12=0,88; запас устойчивости по фазе равен углу g=360˚=2pn где (n= 1;2;3… n) .

Построение кривой переходного процесса и определение показателей качества

На основании математического описания системы построим кривую переходного процесса замкнутой САР. Для этого воспользуемся программным пакетом “ТАУ”.


Составим таблицу для построения переходного процесса:

t

0

0.85

2

3.10

4.61

7.90

9.8

12.4

14.3

15.46

17

18

Y(t)

0

0

0.03

0.07

0.16

0.24

0.31

0.33

0.3

0.27

0.26

0.27

0.27



Определим основные показатели качества:

1. Установившееся значение hуст= 0,27;

2. Максимальное перерегулирование σmax:

;

;

3. Колебательность процесса Y:

;

;

4. Время регулирования tрег, при котором hвых= hуст ±5%:

tрег= 13.

Вывод: основные показатели качества исследуемой системы соответствуют показателям качества работоспособных систем в динамике.

. Синтез системы автоматического регулирования

Последовательный синтез

Ввод различных звеньев в прямую цепь регулирования отражается на статических и динамических характеристиках системы. При этом, исходя из свойств вводимых звеньев, можно получить комбинацию, при которой достигаются требуемые показатели качества САР.

При выборе последовательного корректирующего звена необходимо помнить, что дифференцирующие звенья увеличивают запас устойчивости системы и увеличивают ее быстродействие, интегрирующие - улучшают статику системы, но уменьшают запас устойчивости системы, безинерционные с W(p)=К, уменьшают статическую ошибку системы, если К>1 и уменьшают при этом запас устойчивости системы.

Подбирая параметры последовательного корректирующего звена, необходимо добиться, чтобы скорректированная системы отвечала требуемым показателям качества.

При анализе исследуемой САР был сделан вывод, что она имеет высокую относительную статическую ошибку(статизм), для ее уменьшения необходимо ввести звено с передаточной функцией

,

при k>1, что позволит улучшить статику системы.

Введем в исследуемую систему последовательное корректирующее звено с передаточной функцией

Для улучшения показателей возьмем k=0.2, T1=1.


;

;



Передаточный коэффициент и статизм скорректированной системы

Определим передаточный коэффициент системы и статизм системы.

;

;

Статизм системы S<5%, следовательно, введение данного корректирующего звена обеспечивает величину статической ошибки, не превышающей допустимую.

Для определения устойчивости системы по фазе и по амплитуде построим годограф Найквиста скорректированной разомкнутой системы:


Разомкнутая система устойчива и АФЧХ разомкнутой системы не охватывает точку (-1;j0), следовательно, замкнутая скорректированная система устойчива по Найквисту.

Построение кривой переходного процесса и определение показателей качества

автоматический устойчивость статизм качество

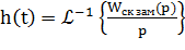
Построим переходную характеристику скорректированной системы:

;

.


Определим основные показатели качества:

. Установившееся значение hуст= 0,9 увеличилось на 0,62 по сравнению со значением в исходной системе;

. Максимальное перерегулирование σmax:

;

3. Колебательность процесса Y:

;

 - не изменилось;

После коррекции исходной САР относительная статическая ошибка уменьшилась до допустимой, система осталась устойчивой. Все показатели улучшились.

Заключение

Подведем итог выполненной работы. По ходу выполнения работы решались задачи преобразования структурных схем, преобразования передаточных функций, определения устойчивости САУ, построения переходных характеристик.

Первая задача работы ставила своей целью преобразование исходной САУ к одноконтурному виду. Передаточные функции определенных звеньев при этом преобразовывались, образовывали эквивалентные звенья с новыми передаточными функциями. Для анализа устойчивости использовались три метода: критерий Гурвица, частотный критерий Михайлова, частотный критерий Найквиста. Было определено, что система устойчива, но не работоспособна из-за высокого статизма. Также был произведен анализ показателей качества системы.

Следует также отметить, что благодаря некоторой автоматизации расчетов с помощью ЭВМ выполнение работы значительно облегчилось. Такие пакеты прикладных программ, как Microsoft Office Excel и программный пакет “ТАУ”, использованные в процессе выполнения работы, помогли быстро и более точно рассчитать параметры структурной схемы, параметры схемной реализации, построить АФЧХ, графики переходных процессов.

Источники использованной информации

1.      Лекции по дисциплине ТАУ

.        Интернет

.        Прикладные программы для анализа систем САР

Похожие работы на - Проектирование системы автоматического регулирования

 

Не нашли материал для своей работы?
Поможем написать уникальную работу
Без плагиата!
Без нейросетей!