Привод конвейера
Белорусский
национальный технический университет
Пояснительная
записка к курсовому проектированию
по
дисциплине: «Детали машин»
Тема:
«Привод конвейера»
Исполнитель Вальцева О.И.
Руководитель Сонич О.А.
Минск 2014
Содержание
Введение
Выбор электродвигателя и
кинематический расчет
Определение мощностей и
передаваемых крутящих моменты
Расчет передач:
проектный и проверочные расчеты
.1 Расчет плоскоременной
передачи
.2 Расчет цилиндрической
шевронной передачи
Предварительный расчет
диаметров валов
Подбор и проверочный
расчет муфт
Предварительный подбор
подшипников
Компоновочная схема и
выбор способа смазывания передач и подшипников, определение размеров корпусных
деталей
Расчет валов по
эквивалентному моменту
Подбор подшипников по
динамической грузоподъемности
Подбор и проверочный
расчёт шпоночных соединений
Назначение посадок,
шероховатостей поверхностей, выбор степеней точности и назначение допусков
формы и расположения поверхностей
Расчет валов на
выносливость
Описание сборки редуктора
Регулировка подшипников
и зацеплений
Описание монтажной схемы
Список используемых
источников
Введение
В данном курсовом проекте требуется
спроектировать привод конвейера.
Конвейеры перемещают сыпучие и кусковые
материалы или штучные однородные грузы непрерывным потоком на небольшие
расстояния. Их широко применяют для механизации погрузочно-разгрузочных
операций, для транспортировки изделий в технологических поточных линиях и т. д.
Конвейеры состоят из следующих основных частей:
приводная станция, от которой тяговый орган получает движение; тяговый орган с
элементами для размещения груза (ковши, скребки, и т. п.) или без них; рама или
ферма транспортера; поддерживающее устройство (катки, ролики, шины и т. п.);
натяжная станция, которая задает и поддерживает необходимое натяжение тягового
органа.
Редуктором называется механизм, состоящий из
зубчатых или червячных передач, выполненный в виде отдельного агрегата и
служащий для передачи мощности от двигателя к рабочей машине. Кинематическая
схема привода может включать, помимо редуктора, открытые зубчатые передачи,
цепную или ременную передачи.
Назначение редуктора - понижение угловой
скорости и повышение вращающего момента ведомого вала по сравнению с валом
ведущим. Механизмы для повышения угловой скорости, выполненные в виде отдельных
агрегатов, называют ускорителями или мультипликаторами.
Редуктор состоит из корпуса (литого чугунного
или сварного стального), в котором помещают элементы передачи - зубчатые
колеса, валы, подшипники и т.д. В отдельных случаях в корпусе редуктора
размещают также устройства для смазки зацеплений и подшипников. Например,
внутри корпуса редуктора может быть помещен шестеренчатый масляный насос) или
устройства для охлаждения (например, змеевик с охлаждающей водой в корпусе
червячного редуктора).
1 Выбор электродвигателя и кинематический расчет
Рисунок 1 - Кинематическая схема привода
-электродвигатель, 2 - плоскоременная передача,
3 - цилиндрическая шевронная передача, 4 - зубчатая муфта, 5 - конвейер, I
- вал электродвигателя, II
- быстроходный вал, III
- тихоходный вал, IV
-вал барабана конвейера
электродвигатель
муфта подшипник редуктор
Исходные данные:
Тяговая сила на валу рабочей машины 
;
Линейная скорость конвейера 
;
Диаметр барабана D=140 мм;
Срок службы привода 
.
Общий КПД привода:
где 
КПД пары подшипников;

КПД цилиндрической зубчатой
передачи;

- КПД плоскоременной передачи;

КПД муфты.
Требуемая мощность двигателя:
Определяем частоту вращения
приводного вала рабочей машины nрм , об/мин:
Nрм
Выбираем предварительные
передаточные числа передач:

- передаточное число закрытой
передачи редуктора;

- передаточное число ременной
передачи.
Требуемая частота вращения вала
электродвигателя:
После определения мощности
электродвигателя по каталогу выбирается электрический двигатель, при этом
номинальная мощность и частота вращения, принятая по каталогу, должна быть
равна или больше мощности и частоте вращения двигателя, определенной расчетом,
т.е. выбираем электродвигатель 4А100L4У3 (
).
2 Определение мощностей И передаваемых крутящих
моментов на валах
Общее передаточное число привода:
где 
- частота вращения вала ЭД под
нагрузкой, 
;

- частота вращения вала приводимого
механизма,
.
На основании рекомендуемых средних
величин передаточных чисел для различных видов механических передач , [8, табл.
1.2.2] выбираем передаточное число второй ступени:
Учитывая единичное производство,
рассчитываем передаточное число первой ступени: 
Определим силовые и кинематические
параметры привода:

Результаты расчета сводим в таблицу 1.
Таблица 1 - Результаты силового расчета
|
№
вала
|
n, об/мин
|
Р,
кВт
|
Т,
Нм
|
U
|
|
Дв.
(1)
|
1430
|
3,85
|
25,7
|
2,37
|
|
2
|
603,4
|
3,7
|
58,5
|
|
|
|
|
|
3,15
|
|
3
|
191
|
3,57
|
178,5
|
|
|
4
|
191
|
3,52
|
176
|
|
|
|
|
|
|
3 Расчет передач
.1 Расчет плоскоременной передачи
Исходные данные:
Мощность на валу меньшего шкива Р1 =3,85 кВт
Вращающий момент на меньшем шкиве Т1=25,7 Нм
Передаточное число u=2,37
Частота вращения меньшего шкива nдв=1430
об/мин
Угловая скорость вращения меньшего шкива ωдв=149,7
рад/с
Выбираем из стандартного ряда диаметр ведущего
шкива d1=100мм и толщину
ремня δ=4
мм
[2, табл.14].
Определяем диаметр ведомого шкива:
d2=u
d1(1-ε),
где ε=0,01…0,02
- коэффициент скольжения.
d2=2,37х100х0,99=235мм.
Определяем ориентировочное межосевое расстояние:
а≥1,5(d1+
d2)=1,5(100+235)=510мм.
Определяем расчетную длину ремня:
Определяем угол обхвата ремнем
ведущего шкива
α1=180°-57°(d2-d1)/а
α1=180°-57°(235-100)/510=165°
Определяем скорость ремня
где [ν]=35м/с -
допускаемая скорость.
Определяем частоту пробегов ремня
U=l/ν≤[U],
где [U]=15с-1 -
допускаемая частота пробегов, гарантирующее срок службы ремня 1000…5000 ч.
U=l/7,5=0,13с-1≤15с-1
- условие выполняется.
определяем окружную силу,
передаваемую ремнем
Согласно условию окружная сила
направлена горизонтально.
Определяем допускаемую удельную
окружную силу
[kп]= [k0]=СθСαСνСрСd,
где [k0]=6 Н/мм2 -
допускаемая приведенная удельная окружная сила для ведущего шкива 100мм и
толщины ремня 4мм [2,табл.14];
Сθ=1 - коэффициент
угла наклона линии центров к горизонту для угла 0º;
Сα=0,97 - коэффициент
угла обхвата при α1=165°;
Сν=1,02 - коэффициент
влияния натяжения от центробежной силы при ν=7,5 м/с;
Ср=1 - коэффициент динамичности при
спокойной нагрузке;
Сd=1,15 -
коэффициент влияния диаметра меньшего шкива при d1=100мм;
[kп]=6∙1∙0,97∙1,02∙1∙1,15=5,94
Определяем ширину ремня
Принимаем стандартную ширину ремня b=30 мм.
Определяем площадь поперечного
сечения ремня
А=δb=4∙30=120мм2
Определяем силу предварительного
натяжения ремня
F0=Aσ0,
где σ0=2 Н/мм2
предварительное натяжение для ремня
толщиной 2,8 мм и ведущего шкива
100мм
F0=120∙4=480
Н
Определяем силы натяжения ведущей F1 и ведомой F2 ветвей
ремня
Определяем силу давления ремня на
вал
Проводим проверочный расчет с целью
определить прочность ремня по максимальным напряжениям в сечении ведущей ветви
σmax= σl+ σн+ σν≤[σ]р
где: σl -
напряжение растяжения,
Н/мм2
σн - напряжение изгиба, σн=Енδ/d1=80∙4/100=3,2
Н/мм2
здесь Ен=80/мм2 - модуль продольной
упругости для цельнотканых ремней
σν - напряжения
от центробежных сил, σν=ρν2∙10-6=1000∙7,52∙10-6=0,06
Н/мм2
здесь ρ=1000 кг/м3 -
плотность материала плоского ремня
[σ]р=8 Н/ мм2
- допускаемое напряжение растяжения для плоских ремней.
σmax=4+3,2+0,06=7,26≤8
- условие выполняется.
Данные расчетов заносим в табл.2
Таблица 2 - Параметры плоскоременной
передачи
|
Наименование
|
Обозначение
|
Величина
|
|
Тип
ремня
|
|
х/б
цельнотканый
|
|
Диаметр
ведущего шкива, мм
|
d1
|
100
|
|
Диаметр
ведомого шкива, мм
|
d2
|
235
|
|
Ширина
ремня, мм
|
b
|
30
|
|
Длина
ремня, мм
|
l
|
1550
|
|
Толщина
ремня, мм
|
δ
|
4
|
|
Сила
давления ремня на вал, Н
|
Fоп
|
952
|
|
Угол
обхвата ведущего шкива, °
|
α
|
165
|
.2 Расчет цилиндрической шевронной передачи
Выбираем материал шестерни и зубчатого колеса.
Полученные значения представлены в таблице 3.
Таблица 3 - Характеристика материалов зубчатых
колес
|
№
|
Колесо
|
Материал
|
Термообработка
|
|
|
|
1
|
Шестерня
|
Сталь
40
|
улучшение
|
220
|
-
|
|
2
|
Зубчатое
колесо
|
Сталь
40
|
улучшение
|
200
|
-
|
Таблица 4 - Исходные данные для расчета зубчатой
передачи
|
№
|
Колесо
|
|
|
|
|
|
1
|
Шестерня
|
3,7
|
603,4
|
58,5
|
3,15
|
|
2
|
Зубчатое
колесо
|
3,57
|
191
|
178,5
|
|
Расчетные допускаемые контактные напряжения,
действующие в полюсе зацепления зубьев цилиндрических колес закрытых передач
[11, с.14, 19]:
При выполнении условия:
где 
- коэффициент, учитывающий влияние
исходной шероховатости сопряженных поверхностей зубьев, [11, с.24];

- коэффициент, учитывающий окружную
скорость, [11, с.24];

- коэффициент, учитывающий вязкость
смазки, [11, с.24];

- коэффициент, учитывающий размер
зубчатого колеса, [11, с.24];

- коэффициент, учитывающий влияние
перепада твердостей материала сопряженных поверхностей зубьев, [11, с.24];

- предел контактной выносливости
поверхностей зубьев соответствующий базовому числу циклов напряжений, [11,
с.27, табл. 12];

- коэффициент долговечности, [11,
с.24];

- коэффициент запаса прочности,
[11, с.23].
При проектировочных расчетах по ГОСТ
21354-87 рекомендуется принимать

.
где 
- базовое число циклов напряжений,
[11, с.26];

- эквивалентное число циклов
нагружения зубьев при расчете по контактным напряжениям [8, с.43].
где 
- частота вращения соответственного
зубчатого колеса;

- необходимый ресурс работы привода
в часах [8, с.43];

- число зацеплений зуба за один
оборот (из схемы привода);

- коэффициент при постоянном режиме
нагружения kHE=1.
где 
- коэффициент использования привода
в течение года;

- коэффициент использования привода
в течение суток.
Для шестерни получим:
Принимаем 
Для зубчатого колеса получим:
Принимаем 
Проверяем выполнение условия:
В дальнейших расчетах используем допускаемое
контактное напряжение:
Расчетные допускаемые напряжения изгиба зубьев
[11, с. 29]:
где 
- коэффициент долговечности, [11,
с.32];

- коэффициент, учитывающий влияние
шероховатости переходной поверхности. Принимаем 
, 
[8, с.45, табл.4.1.5];

- коэффициент, учитывающий размер
зубчатого колеса [11, с.37];

- опорный коэффициент, учитывающим
чувствительность материала к концентрации напряжений; для модуля передачи от 1
до 8 мм этот коэффициент убывает от 1,1 до 0,92. Принимаем 
[11, с.36];

- предел выносливости зубьев при
изгибе, [11, с.33];

- коэффициент безопасности, 
[11, с.35].
где 
- предел выносливости зубьев при
изгибе, соответствующий базовому числу циклов напряжений, [8, с.45, табл.
4.1.5];

- коэффициент, учитывающий
технологию изготовления, 
[11, с.34];

- коэффициент, учитывающий способ
получения зубчатого колеса: штамповка 
прокат 
литье 
. Принимаем 
[11, с.34];

- коэффициент, учитывающий влияние
шлифования переходной поверхности зуба; для нешлифованной поверхности 
[11, с.34];

- коэффициент, учитывающий влияние
деформированного упрочнения переходной поверхности; если этого нет, то 
[11, с.34];

- коэффициент, учитывающий
двухстороннее приложение нагрузки: при нереверсивной нагрузке 
, при реверсивной - 
. Принимаем 
(режим работы передачи -
нереверсивная) [11, с.34];
где 
- показатель степени кривой
усталости;

- базовое число циклов напряжений;

- эквивалентное число циклов
нагружения зубьев при расчете на изгибную выносливость [8, с.43].
где 
- коэффициент при постоянном режиме
нагружения kFE=1
Коэффициент, учитывающий размер
зубчатого колеса:
Для шестерни получим:
Принимаем 
Для зубчатого колеса получим:
Принимаем 
В дальнейших расчетах принимаем допускаемое
напряжение изгиба:
Выполняем проектировочный расчет передачи
Расчетное межосевое расстояние [8, с.47]:
где 
(для косозубого колеса) [8, с.47];

- коэффициент, учитывающий
неравномерность распределения нагрузки по ширине венца, 
[8, с.52];

- коэффициент динамической
нагрузки, 
(режим - легкий) [8, с.53, табл.
4.2.9];

- коэффициент ширины шестерни
относительно межосевого расстояния [8, с.47];

- зацепление внешнее/внутреннее.
где 
- коэффициент ширины шестерни
относительно ее диаметра, 
[8, с.52, табл. 4.2.5].
Принимаем 
[8, с.53, табл. 4.2.8].
Принимаем 
[8, с.52, табл. 4.2.3].
Предварительно принимаем угол наклона
зубьев 
.
Определим минимальное количество
зубьев шестерни [9, с.38]:
Предварительно принимая число зубьев
шестерни 
определим модуль зацепления:
Принимаем 
[8, с.52, табл. 4.2.2].
Суммарное число зубьев передачи [8,
с.47]:
Принимаем 
.
Уточняем число зубьев шестерни [8,
с.47]:
Принимаем 
.
Число зубьев зубчатого колеса [8,
с.47]:
Действительное передаточное
отношение:
Отклонение от заданного передаточного
числа составляет:
Данное отклонение допустимо.
Рассчитаем геометрические размеры
зубьев и колес в таблице 5 [8, с.47].
Таблица 5 - Геометрические размеры зубьев и
колес
|
Параметр
|
Формула
|
Значение
|
|
|
Шестерня
|
Зубчатое
колесо
|
|
Диаметр
делительный окружности, мм
|
|
77,76
|
242,24
|
|
Диаметр
окружности вершин зубьев, мм
|
|
82,76
|
247,24
|
|
Диаметр
окружности впадин зубьев, мм
|
|
71,51
|
235,99
|
|
Ширина
шестерни  и колеса  , мм
|
44
|
40
|
|
Расчетное межосевое расстояние:
Рассчитаем силы, действующие в зацеплении [8,
с.46]. Учитывая, что цилиндрическая передача у нас шевронная, осевая сила
отсутствует. Результаты расчета представлены в таблице 6.
Таблица 6 - Силы в зацеплении
|
Параметр
|
Формула
|
Значение
|
|
Окружная
сила, Н
|
|
1474
|
|
Радиальная
сила, Н
|
|
642
|
Окружная скорость колес:
Степень точности принимаем равную 7 [8, с.53,
табл. 4.2.14].
Проводим проверочный расчет передачи на
контактную усталость
Контактные напряжения, действующие в полюсе
зацепления зубьев цилиндрических колес закрытых передач и условие прочности
[11, с.14]:
где 
- контактное напряжение в полюсе
зацепления при 
[11, с.14];

- коэффициент неравномерности
распределения нагрузки [11, с.14].
где 
- коэффициент, учитывающий форму
сопряженных поверхностей зубьев в полюсе зацепления [11, с.15];

- коэффициент, учитывающий
механические свойства сопряженных зубчатых колес, 
[11, с.15];

- коэффициент, учитывающий
суммарную длину контактных линий [11, с.15];
где 
- делительный угол профиля в
торцевом сечении [11, с.60];

- угол зацепления для передачи без
смещения [11, с.60];

- основной угол наклона передачи
[11, с.60];

- осевой коэффициент перекрытия
[11, с.61];

- торцевой коэффициент перекрытия
[11, с.61].
где 
- коэффициент, учитывающий внешнюю
динамическую нагрузку, 
(режим - легкий) [8, с.53, табл.
4.2.9];

- коэффициент, учитывающий
неравномерность распределения нагрузки между зубьями, для косозубой передачи 
[11, с.18];

- коэффициент, учитывающий
неравномерность распределения нагрузки по ширине венца, 
[8, с.52, рис. 4.2.3];

- динамический коэффициент [11,
с.16].
где 
- удельная окружная динамическая сила
[11, с.16].
где 
- коэффициент, учитывающий влияние
вида зубчатой передачи и модификации профиля головок зубьев, 
[11, с.22];

- коэффициент, учитывающий влияние
разности шагов зацепления зубьев шестерни и колеса, 
[11, с.22].
В итоге получим:
Недогрузка составляет 
. Условие прочности выполняется.
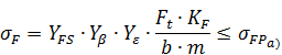
Проводим проверочный расчет передачи на изгибную
усталость
Напряжения при изгибе зубьев цилиндрических
колес закрытых передач и условие прочности [11, с.29]:
где 
- коэффициент нагрузки при изгибе
[11, с.29];

- коэффициент, учитывающий форму
зуба и концентрацию напряжений [11, с.31];

- коэффициент, учитывающий наклон
зуба [11, с.32];

- коэффициент, учитывающий
перекрытие зубьев [11, с.32].
где 
- эквивалентное число зубьев [11,
с.62].
Проверку на изгиб следует проводить
для зубчатого колеса или шестерни, у которого отношение 
меньше.
Для шестерни:
Для зубчатого колеса:
Расчет ведем для шестерни.
где 
- коэффициент, учитывающий внешнюю
динамическую нагрузку, 
(режим - легкий) [8, с.53, табл.
4.2.9];

- коэффициент, учитывающий
неравномерность распределения нагрузки между зубьями, для косозубой передачи 
[11, с.31];

- коэффициент, учитывающий
неравномерность распределения нагрузки по длине контактных линий, 
[8, с.52, рис. 4.2.3];

- коэффициент, учитывающий
внутреннюю динамическую нагрузку [11, с.30].
где 
- удельная окружная динамическая
сила [11, с.30].
где 
- коэффициент, учитывающий влияние
вида зубчатой передачи и модификации профиля головок зубьев, для косозубой
передачи 
[11, с.30];

- коэффициент, учитывающий влияние
разности шагов зацепления зубьев шестерни и колеса, 
[11, с.30].
Принимаем 
.
Условие прочности выполнено.
4 Предварительный расчёт валов
Вал редуктора испытывает совместное
действие изгиба и кручения, причем характер изменения напряжений -
повторно-переменный, поэтому основным расчётом валов является расчёт на
выносливость, но в начале расчёта известны только крутящий момент 
, который численно равен
передаваемому вращающему моменту. Изгибающие моменты 
оказывается возможным определить
лишь после разработки конструкций вала, когда, согласно чертежу, выявляется его
длина. Кроме того, только после разработки конструкции определяются места
концентрации напряжений: галтели, шпоночные канавки и т.д.
Поэтому, прежде надо сделать
предварительный расчёт валов, цель которого - определить диаметры выходных
концов и средних участков валов.
Диаметр выходного конца вала 
определяется по формуле [8, c.12]:

- допускаемое напряжение [8, c.12].
Ведущий быстроходный вал: Сталь 45,
термообработка - улучшение.
Ведомые валы: Сталь 45,
термообработка - улучшение.
.1 Быстроходный вал
Диаметр выходного конца ведущего быстроходного
вала:
Принимаем 
Диаметр под подшипники [19, с. 112,
таб. 7.1]:
где 
.
Принимаем с учетом типоразмеров
подшипников 
Диаметр под шестерню принимаем 
Диаметр упорного буртика 
.2 Тихоходный вал
Диаметр выходного конца тихоходного вала (4.1):
Принимаем 
Диаметр под подшипники (4.2):
Принимаем с учётом типоразмеров
подшипников 
Посадочный диаметр под колесо
принимаем 
Диаметр упорного буртика 
Результаты расчетов сводим в табл.7.
Таблица 7 - Диаметры валов редуктора
|
Диаметр,
мм
|
Б
вал
|
Т
вал
|
|
Выходной
конец dв
|
25
|
32
|
|
Под
подшипники dп
|
30
|
40
|
|
Под
колесо dк
|
35
|
50
|
|
Буртика
dб
|
45
|
60
|
5 Подбор и проверочный расчёт муфт
Выбор муфты осуществляется исходя из
известных диаметров соединяемых валов и крутящего момента 
, передаваемого муфтой, с помощью
следующей формулы [7, с. 364]:
где 
коэффициент режима работы муфты в
зависимости от условий эксплуатации. Тогда для данного случая имеем:
По рассчитанным диаметру выходного
конца тихоходного вала 
и требуемого момента подбираем
зубчатую муфту 1-1000-40-1-У2 ГОСТ Р50845-96 со следующими характеристиками:
максимальный крутящий момент
Мкр=1000 Нм;
наружный диаметр фланцев D=145 мм;
длина муфты L=134 мм;
длина зуба b=12мм
число зубьев z=30;
модуль зубьев m=2,5.
Проверка муфты на износоустойчивость
[7, с. 371]:
где Dд =mz- диаметр
делительной окружности, Dд =2,5∙30=75мм
Условие износоустойчивости выполняется.
Сила, нагружающая вал от муфты :

.
Направление силы 
в отношении окружной силы 
может быть любым, так как это
зависит от случайных неточностей монтажа.
Поэтому в расчётных схемах силу 
направляем так, чтобы она
увеличивала напряжение от окружной силы 
(худший случай).
6 Предварительный подбор подшипников
Предварительно подбираем для быстроходного вала
с учетом отсутствия осевой нагрузки шариковые радиальные однорядные подшипники
легкой серии №206(ГОСТ 8338-75) [19, табл.К27]:
Предварительно подбираем для тихоходного вала с
учетом отсутствия осевой нагрузки шариковые радиальные однорядные подшипники
легкой серии №208(ГОСТ 8338-75) [19, табл.К27]:
7 Компоновочная схема редуктора и выбор способа
смазывания передач и подшипников, определение размеров корпусных деталей
Компоновка редуктора выполняется для:
размещения внутри редуктора зубчатых колёс так,
чтобы получить минимальные внутренние размеры редуктора;
определения расстояния между опорами валов и
длин консольных участков;
определения точек приложения сил, нагружающих
валы.
Определяем размеры необходимые для выполнения
компоновки [8, стр.56]:
Толщина стенок корпуса:
Принимаем 
не менее.
Расстояние от внутренней поверхности стенки
редуктора до боковой поверхности вращающейся части:
Принимаем 
Расстояние от внутренней поверхности стенки
редуктора до боковой поверхности подшипника качения:
Принимаем 
Расстояние в осевом направлении между
вращающимися частями, смонтированными на одном валу:
Принимаем 
Радиальный зазор от поверхности вершин зубьев до
внутренней поверхности стенки редуктора:
Принимаем 
Радиальный зазор от поверхности
вершин зубьев до внутренней нижней поверхности стенки корпуса (данную величину
также определяет объём масляной ванны):
Принимаем 
Конструкцию корпуса принимаем
разъемной по осям зубчатых колес. Крышки подшипников врезные.
Толщина фланцев корпуса и крышки s=(1,5…1,75)δ=12мм.
Диаметр фундаментного болта d1=14мм.
Число фундаментных болтов z=4.
Диаметр стяжного болта d2=(0,6…0,75)
d1=12мм.
Диаметр штифтов dшт=(0,7…0,8)d2=8мм.
Ширина фланца К=26мм.
Толщина лапы фундаментного болта δф=δ+2=10мм.
Смазывание зубчатого зацепления
производится окунанием зубчатых колёс в масло, заливаемое внутрь корпуса до
уровня, обеспечивающего погружение колёс. Объем масляной ванны V определяем из
расчета (0,3-0,8)

масла на 
передаваемой мощности [8, с. 244]:
Устанавливаем вязкость масла. При
контактных напряжениях 
и скорости 
, рекомендуемая вязкость масла
должна быть примерно равна
.
Принимаем масло индустриальное
И-40А.
Скорость зубчатых колес более 
, поэтому подшипники смазываются
картерным маслом.
Используем картерную систему
смазывания. В корпус редуктора заливаем масло так, чтобы венец зубчатого колеса
был в него погружен на глубину hм (рис.14): hм max £ 0,25d2 = 0,25×242,24 =
60мм;
hм min = 2×m = 2×2,5 = 5мм.
При вращении колеса масло будет увлекаться его
зубьями, разбрызгиваться, попадать на внутренние стенки корпуса, откуда стекать
в нижнюю его часть. Внутри корпуса образуется взвесь частиц масла в воздухе,
которым покрываются поверхности расположенных внутри корпуса деталей, в том
числе и подшипники.
Рис.2 Схема определения уровня масла в редукторе
Контроль уровня масла производится через
крышку-маслоуказатель, установленной на корпусе редуктора. Для слива масла
предусмотрена сливная пробка. Заливка масла в редуктор производится через
съемную крышку, в которую закручивается пробка-отдушина.
8 Расчёт валов по эквивалентному моменту
Собственный вес валов и насаженных на нем
деталей не учитываем, поскольку они играют роль лишь в весьма мощных передачах,
где сила тяжести деталей выражаются величиной того же порядка, что и силы в
зацеплении.
.1 Быстроходный вал
Выбираем для ведущего вала Сталь 45 с
характеристиками:
Силы, действующие на вал:
Сила давления на вал ременной
передачи 
Из компоновки:
Составляем расчётную схему вала
(рисунок 3).
Горизонтальная плоскость:
Определим реакции опор
Проверка: 
Вертикальная плоскость:
Определим реакции опор
Суммарные реакции:
Определяем изгибающие моменты и строим эпюры в
горизонтальной и вертикальной плоскостях.
Горизонтальная плоскость:
Вертикальная плоскость:
Определяем суммарный изгибающий момент по
формуле:
На первой опоре вала суммарный момент равен:
На второй опоре вала суммарный момент равен:
Определяем эквивалентный момент по формуле:
где 
- крутящий момент на валу.
Эквивалентный момент на первой опоре
вала равен:
Определим минимальный диаметр вала под зубчатое
колесо.
Принимаем диаметр под зубчатое
колесо равный 
.
Для проверки вала на усталостную
прочность будем руководствоваться следующим условием [8, c. 77]:
где 
- заданный или требуемый
коэффициент запаса прочности.

[8,с.77].

-расчётный коэффициент запаса
прочности [8, c. 77];
где 
-коэффициенты запаса прочности по
нормальным и касательным напряжениям, определяемые по зависимостям [8, c. 77]:
где 
и 
-пределы выносливости гладких
стандартных цилиндрических образцов при симметричном цикле изгиба и кручения.
Для углеродистых конструкционных
сталей
Сталь 45 с улучшением имеет следующие пределы
выносливости:

и 
- амплитуды цикла напряжений;

- постоянная составляющая
напряжений кручения;

- коэффициенты чувствительности
материала к асимметрии цикла напряжений;

и 
- коэффициенты снижения
выносливости.
В расчётах валов принимают, что
нормальные напряжения изменяются по симметричному, а касательные по отнулевому
циклу.
Для симметричного цикла [8, c. 77]:
где 
- результирующий изгибающий момент
в рассматриваемом сечении,

- момент сопротивления изгибу с учетом
ослабления вала.
Для отнулевого цикла [8, c. 77]:
где 
-крутящий момент;

-полярный момент сопротивления
сечения при кручении.
Коэффициенты снижения выносливости
[8, c. 77]:
где 
и 
- коэффициенты концентрации;

- коэффициент влияния абсолютных
размеров поперечного сечения;

-коэффициент влияния параметров
шероховатости поверхности;

- коэффициент влияния
поверхностного упрочнения.
Для проверки вала на усталостную
прочность устанавливаем предполагаемое опасное сечение: сечение 
, проходящее через середину
шестерни.
Сечение А-А:
Концентратор напряжений - шпоночный
паз [8, c. 78].
Коэффициенты концентрации определяем по формулам
8.9:
Момент сопротивления изгибу с учетом ослабления
вала [8, c. 78, табл. 7.6.3]:


Из предыдущих расчётов:
Определяем амплитуду цикла изменения напряжений
изгиба по формуле 8.8:
Определяем постоянную составляющую напряжений
кручения по формуле 8.7:
Коэффициенты запаса прочности по нормальным и
касательным напряжениям соответственно определяем по формулам 8.5 и 8.6:
Расчётный коэффициент запаса прочности
определяем по формуле 8.4:
Условие выполняется, следовательно, запас
прочности обеспечен.
.2 Тихоходный вал
Выбираем для ведомого вала Сталь 45 с
характеристиками
Силы, действующие на вал от первой передачи:
Окружная сила, действующая на вал от муфты:
Из компоновки:
Составляем расчётную схему вала (рисунок 4).
Горизонтальная плоскость
Определим реакции опор
Вертикальная плоскость:
Определим реакции опор
Суммарные реакции:
Определяем изгибающие моменты и строим эпюры в
горизонтальной и вертикальной плоскостях.
Горизонтальная плоскость:
Вертикальная плоскость:
Определяем суммарные изгибающие моменты по
формуле 8.1:
зубчатая передача:
вторая опора:
Рисунок 4 - Расчетная схема тихоходного вала
Определяем эквивалентный момент в опасном
сечении (опора 2) по формуле 8.2:
Определим диаметр вала под подшипник по формуле
8.3:
Принимаем диаметр под подшипник
равный 
.
Для тихоходного вала устанавливаем
одно предполагаемое опасное сечение, подлежащее проверке на усталостную прочность:
сечение 
, проходящее через опору у выходного
конца вала.
Сечение А-А:
Концентратор напряжений - прессовая
посадка [8, c. 78]:
Коэффициенты концентрации определяем по формулам
8.9:
Момент сопротивления изгибу с учетом ослабления
вала [8, c. 78, табл. 7.6.3]:
Полярный момент сопротивления сечения при
кручении [8, c. 78, табл. 7.6.3]:
Из предыдущих расчётов:
Определяем амплитуду цикла изменения напряжений
изгиба по формуле 8.7:
Определяем постоянную составляющую напряжений
кручения по формуле 8.8:
Коэффициенты запаса прочности по нормальным и
касательным напряжениям соответственно определяем по формулам 8.5 и 8.6:
Расчётный коэффициент запаса прочности
определяем по формуле 8.4:

=1,5
Условие выполняется, следовательно, запас
прочности обеспечен.
9 Подбор подшипников по динамической
грузоподъёмности
.1 Быстроходный вал
Суммарные реакции в опорах под подшипники:
Ранее выбраны шариковые радиальные однорядные
подшипники №206 (ГОСТ 8338-75).
Устанавливаем данные подшипники по схеме:
Первая опора - Враспор;
Вторая опора - Враспор.
Эквивалентная динамическая нагрузка определяется
по формуле [8, с.86]:
где 
-радиальная нагрузка;

- суммарная осевая нагрузка;

- коэффициент вращения кольца;

- при вращении внутреннего кольца
подшипника относительно направления радиальной нагрузки;

- коэффициент, учитывающий
динамичность внешней нагрузки;

-температурный коэффициент;

при рабочей температуре подшипника
менее 150ºС.
Поскольку осевое усилие для опор
равно нулю, следовательно
Определим отношение 
, по величине которого выберем
параметры 
[8, с. 87, табл. 8.5.2].
Для первой опоры получаем:
Следовательно, имеем, что 
Для второй опоры получаем:
Следовательно, имеем, что 
Определяем эквивалентную
динамическую нагрузку для обеих опор:
Далее продолжаем расчет для опоры с большей
эквивалентно динамической нагрузкой.
Определяем расчётную долговечность подшипника в
часах [8, c. 87]:
где 
- динамическая радиальная
грузоподъёмность подшипника,

- для шариковых подшипников,

- частота вращения вала.
Следовательно, получаем:
Определяем заданную долговечность:
Lhзад=Lh·365·24·ксут·кгод=6·365·24·0,75·0,55=21681
часа
Расчетная долговечность в часах
более заданной (
часов), следовательно, подшипник
подобран верно.
.2 Тихоходный вал
Суммарные реакции в опорах под подшипники:
Ранее выбраны шариковые радиальные однорядные
подшипники №208 (ГОСТ 8338-75).
Устанавливаем данные подшипники по схеме:
Первая опора - Враспор;
Вторая опора - Враспор.
Поскольку осевое усилие для опор равно нулю,
следовательно
Определим отношение 
, по величине которого выберем
параметры 
[8, с. 87, табл. 8.5.2].
Для первой опоры получаем:
Следовательно, имеем, что 
Для второй опоры получаем:
Следовательно, имеем, что 
Определяем эквивалентную
динамическую нагрузку для обеих опор (9.1):
Далее продолжаем расчет для опоры с большей
эквивалентно динамической нагрузкой.
Определяем расчётную долговечность подшипника в
часах (9.2):
Расчетная долговечность в часах
более заданной (
часов), следовательно, подшипник
подобран верно.
10 Проверочный расчёт шпоночных соединений
Шпонки призматические со скруглёнными торцами.
Размеры сечений шпонок и пазов и длины шпонок - по ГОСТ 23360-78.
Материал шпонок - сталь 45 нормализованная.
Схема шпоночного соединения приведена на рисунке
5
Рисунок 5 - Схема шпоночного соединения
Напряжения смятия и условие прочности по формуле
[7. c. 48]:
Допускаемые напряжения смятия при
стальной или чугунной ступице и неподвижном соединении вала 
Быстроходный вал:
Шпонка на выходном конце вала: 
Условие прочности выполняется.
Шпонка под шестерней: 
Условие прочности выполняется.
Выходной вал:
Шпонка под колесо: 
Условие прочности выполняется.
Шпонка на выходном конце вала: 
Условие прочности выполняется.
Данные по шпонкам редуктора сведены в таблицу 8.
Таблица 8 - Шпонки редуктора
|
Параметр
|
Быстроходный
вал
|
Тихоходный
вал
|
|
вых.
конец
|
шестерня
|
колесо
|
вых.
конец
|
|
Сечение,
мм х мм
|
8х7
|
10х8
|
14х9
|
10х8
|
|
Длина,
мм
|
25
|
40
|
36
|
50
|
11 Назначение посадок, шероховатости
поверхностей, выбор степеней точности и назначение допусков формы и
расположения поверхностей
Все посадки в обеих системах разделяют на три
группы: с зазором, с натягом, переходные.
Посадки с зазором применяются в подвижных и
неподвижных соединениях, подвергаемых частой разработке и сборке при невысоких
требованиях к точности соединения и небольших нагрузках.
Посадки с натягом применяют для неподвижных
соединений деталей без дополнительного крепления.
Переходные посадки - посадки, которые в
зависимости от соотношения действительных размеров вала могут иметь как зазор,
так и натяг. Их применяют чаще всего для разъемных неподвижных соединений с
дополнительным креплением, при повышенных требованиях к центрированию
сопрягаемых деталей.
Установка зубчатых колес на вал - H7/p6.
Установка крышек подшипниковых узлов в корпус
редуктора - Н7/h8.
Установка шпонки на вал - Р9/h9.
Участки валов под установку подшипников качения
обрабатывают с полем допуска к6, а отверстия в корпусе редуктора под наружные
кольца подшипников качения - с полем допуска Н7.
Допуск формы и расположения поверхностей
указывают условными обозначениями по ГОСТ 2308-79.
Допуски цилиндричности на валы имеют величину
0,005 мм. Допуск соосности на посадочные места подшипников на валу относительно
базы (оси вала) имеют величину 0,040. Допуск радиального биения торцевых
поверхностей колес имеют величину 0,100 относительно осей колес. Допуск
радиального биения вершин зубьев колес 0,060 относительно осей колес. У крышек
подшипников на посадочные торцевые поверхности назначается допуск
параллельности 0,06.
Шероховатость поверхностей по ГОСТ 2788-73.
,6 - торцы валов для базирования;
,3 - поверхности рабочие на шпоночных пазах;
,8; 1,25 - поверхности валов под подшипники и
ступицы зубчатых колёс, муфт, звёздочек и шкивов;
,4 - поверхности валов под резиновые манжеты;
,3 - нерабочие поверхности.
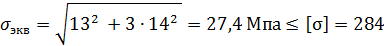
12 Расчет валов нВ выносливость
Расчет проводится в целях предупреждения
пластических деформаций и разрушений с учетом кратковременных перегрузок.
Расчет проводится по эквивалентным напряжениям:

где

- напряжение изгиба,

- напряжение кручения.
Предельно допускаемое напряжение [σ] принимают
близким к пределу текучести σt , для стали 45 σt =355 МПа.
[σ] ≈0,8 σt =284 МПа.
Для быстроходного вала: d=35мм;
Ми=45,2 Нм; Т=58,5 Нм

, условие выполняется.
Для тихоходного вала: d=40мм; Ми=84
Нм; Т=178,5 Нм

, условие выполняется.
13 Описание сборки редуктора
Перед сборкой внутреннюю полость частей корпуса
редуктора тщательно очищают и покрывают маслостойкой краской.
Сборка производится в следующей
последовательности:
На ведущий вал №1 устанавливают фрикционную
муфту и шариковые радиальные подшипники, предварительно нагретые в масле до 80
- 100°С.
В промежуточный вал №2 закладывают шпонку и
напрессовывают зубчатое колесо до упора в бурт вала; затем устанавливают
шариковые радиальные подшипники, предварительно нагретые в масле.
В тихоходный вал №3 закладывают шпонку и
напрессовывают зубчатое колесо до упора в бурт вала; затем устанавливают
шариковые радиальные подшипники, предварительно нагретые в масле.
Затем ведущий вал, надетые на него фрикционную
муфту, набор регулировочных колец, пропитанные горячим маслом манжетные
уплотнения и крышки с одной и другой сторон устанавливают в корпусаредуктора.
Поверхности стыка частей корпуса покрывают спиртовым лаком.
Тихоходный вал устанавливают аналогично
ведущему. Устанавливают крышку редуктора на пасту типа Герметик и стягивают
крышку с корпусом стяжными болтами.
Проверяют проворачиванием валов отсутствие
заклинания подшипников (валы должны проворачиваться от руки). Фиксируют крышку
штифтами.
Далее на ведущий и тихоходный валы в шпоночные
канавки закладывают шпонки и монтируют элементы открытых передач (шкивы,
звездочки, колеса) или муфты в зависимости от компоновочной схемы. Затем
ввертывают пробку маслоспускного отверстия с прокладкой, а также устанавливают
индикатор уровня масла для его контроля.
Заливают в корпус масло и закрывают смотровое
отверстие крышкой с прокладкой из технического картона; закрепляют крышку болтами.
Собранный редуктор обкатывают и подвергают
испытанию на стенде по программе, устанавливаемой техническими условиями.
14 Регулировка подшипников и зацеплений
Регулировку подшипников производят осевым
перемещением наружных колец при помощи набора тонких металлических прокладок,
устанавливаемых под фланцы приворачиваемых крышек подшипников. Для регулировки
подшипников набор прокладок можно устанавливать под фланец одной из крышек.
Если дополнительно требуется регулировать осевое положение вала, общий набор
прокладок разделяют на два, а затем каждый из них устанавливают под фланец
соответствующей крышки. Регулирование набором металлических прокладок
обеспечивает достаточно высокую точность и применяется как при установке
радиальных, так и радиально-упорных подшипников. При установке радиальных
шарикоподшипников между торцом наружного кольца подшипника и торцом крышки
подшипника оставляют зазор для компенсации тепловых деформаций 0,2-0,5 мм.
Регулирование радиально-упорных подшипников при применении закладных крышек
производят только воздействуя резьбовым винтом с мелким шагом на
самоустанавливающуюся шайбу.
Регулировку цилиндрического зацепления
производят следующим образом: сначала производят регулировку натяга роликовых
подшипников регулировочным винтом до достижения момента, необходимого для
проворачивания ведущей шестерни, который должен составлять 1-3 Нм. После
регулировки подшипники не должны иметь заметного осевого зазора при свободном
вращении валов. Далее покрывают 2-3 зуба краской и проворачивают редуктор на
один - два оборота. Через смотровое окно по полученному пятну контакта делают
заключение о точности зацепления. При смещении пятна контакта, в какую либо
сторону выполняют регулировку специальными винтами, установленными в крышках
подшипников, в соответствующую сторону и изменением количества прокладок между
подшипником и крышкой на ведущем валу. После регулировки необходимо повторно
проверить точность зацепления вышеуказанным способом
15 Описание монтажной схемы
При монтаже приводов, состоящих из
электродвигателя и редуктора, должны быть выдержаны определенные требования
точности относительного положения узлов. Для этого узлы привода устанавливают
на сварных рама или литых плитах.
При единичном производстве экономически выгодно
применять рамы, сваренные из элементов сортового проката: швеллеров, уголков,
полос, листов.
Конфигурацию и размеры рамы определяют тип и
размеры редуктора и электродвигателя. Расстояние между ними зависит от
подобранной соединительной муфты. Для создания базовых поверхностей под
двигатель и редуктор на раме размещают платики в виде узких полос. Ширину и
длину платиков принимают большими, чем ширина опорных поверхностей
электродвигателя и редуктора.
Определяют основные размеры рамы Bи
L(В - ширина, L
- длина), размеры округляют до стандартных значений. Затем определяют высоту
рамы: H=(0.08…0.10)L,
по которой подбирают ближайший больший размер швеллера при этом не учитывая
размеры открытых передач.
При необходимости увеличения жесткости рамы
увеличивают высоту Н, а к поперечным швеллерам добавляют диагонально
расположенные балки.
Раму при сварке сильно коробит, поэтому все
базовые поверхности обрабатывают после сварки, отжига и правки (рихтовки).
Высоту платиков после их обработки принимают h=5…6
мм.
Швеллеры располагают, как правило, полками
наружу. Такое расположение удобно для крепления узлов к раме, осуществляемого
болтами. В полках швеллеров сверлят отверстия на проход стержня болта. На
внутреннюю поверхность под головками болтов (гайками). Размеры косых шайб по
ГОСТ 10906-78.
Для крепления рамы к полу цеха применяют
фундаментные болты, их расположение определяют при проектировании рамы. Диаметр
и число фундаментных болтов принимают:
диаметр болтов 16 мм;
минимальное число болтов 4 (длина рамы до 700
мм).
В местах расположения фундаментных болтов к
внутренним поверхностям нижних полок приваривают косые шайбы.
Для того чтобы входной вал редуктора и ротор
электродвигателя находились на одном уровне, к раме приваривают швеллеры,
положенные на ребра.
Чтобы при затяжке болтов не прогибались полки
приваренных швеллеров, их усиливают ребрами. Современное машиностроение
характеризует сравнительно частая замена и модернизация оборудования, что
требует иногда перепланировки цехов. Появилась потребность в быстро
переналаживаемом способе установки оборудования. Обычное оборудование
(металлорежущие станки, приводы конвейеров и др.) теперь устанавливают или на
переносных виброопорах, или непосредственно на бетонном (железобетонном) полу
цеха, используя специальные фундаментные болты.Фундаментные болты устанавливают
в скважины, просверленные в полу цеха твердосплавным или алмазным инструментом,
свободно порезывающим и арматуру.
Фундаментный болт по ГОСТ 24379.1-80 состоит из
шпильки, шайбы, гаек и других деталей. Шпильки фундаментных болтов
изготавливают из углеродистой стали ВСт3пс2 по ГОСТ 380-88.
На необработанном бетонном полу оборудование
устанавливают с подливкой раствора цемента под опорную поверхность. Перед
подливкой оборудование выверяют на горизонтальность подкладками и клиньями.
Если поверхность пола точно обработана (например, шлифованием), то выверку и
подливку не применяют.
Принимаем фундаментный болт с коническим концом
М16.
Болты закрепляют в скважине цементным раствором
при вибропогружении в него шпильки болта или путем утрамбовывания сырого
цементного порошка.
Диаметр скважины 27 мм.
На подвижные элементы привода, находящиеся
снаружи, устанавливаются защитные кожухи, окрашенные в оранжевый цвет.
Список используемых источников
1. Анурьев, В.И. Справочник
конструктора-машиностроителя:в 3 т. / В.И. Анурьев. - М.: Машиностроение, 2000.
- т. 1.
. Анурьев, В.И. Справочник
конструктора-машиностроителя:в 3 т. / В.И. Анурьев. - М.: Машиностроение, 2000.
- т. 2.
. Анурьев, В.И. Справочник
конструктора-машиностроителя:в 3 т. / В.И. Анурьев. - М.: Машиностроение, 2000.
- т. 3.
. Детали машин в примерах и
задачах / С.Н. Ничипорчик [и др.]; подобщ. ред. С.Н. Ничипорчика. - Минск:
Вышэйшая школа, 1981. - 432 с.
. Дунаев, П.Ф. Детали машин.
Курсовое проектирование /П.Ф. Дунаев, О.П. Леликов. - М.: Машиностроение, 2004.
- 560 с.
. Иванов М.Н. Детали машин:
Учеб. для машиностроительных специальностей вузов. - М.: Высш. шк.,2008 -
408с..
. Кузьмин А.В. и др. Расчеты
деталей машин: Справ. пособие /А.В.Кузьмин, И.М.Чернин, Б.С.Козинцов. - Мн.: Выш.
шк., 1986.
. Курмаз Л.В., Скойбеда А.Т.
Детали машин. Проектирование. Справочное учебно-методическое пособие. - Москва,
«Высшая школа», 2005. - 309с.
. Курсовое проектирование
деталей машин / С.А. Чернавский [идр.). -Москва: Машиностроение, 1988. -416 с.
. Курсовое проектирование
деталей машин: справ, пособие:в 2 ч./ А.В.Кузьмин [и др.]. - Минск: Вышэйшая
школа, 1982. -ч. 1.-208 с.
. Передачи зубчатые
цилиндрические эвольвентные внешнегозацепления. Расчет на прочность: ГОСТ
21354-87.- М.:Изд-востандартов, 1987.
. Передачи зубчатые
конические с прямыми зубьями. Расчет геометрии: ГОСТ19624-74. - М.:
Изд-востандартов, 1974.
. Передачи зубчатые
конические с круговыми зубьями. Расчет геометрии: ГОСТ19326-73. - М.:
Изд-востандартов, 1973.
. Прикладная механика / под
ред. А.Т. Скойбеды. - Минск: БНТУ, 2010. - 177 с.
. Примеры подбора и проверки
на прочность муфт соединительных и предохранительных и пружин к ним:
методические указания / сост. В.М. Иванов. - Минск: БИМСХ, 1980.
. Проектирование механических
передач / С.А. Чернавский[и др.]. - М.: Машиностроение, 1976.
. Скойбеда, А.Т. Детали машин
и основы конструирования /А.Т. Скойбеда, А.В. Кузьмин, Н.Н. Макайчик. - Минск,
2006.
. Фролов, М.И. Техническая
механика. Детали машин /М.И. Фролов. - М.: Высшая школа, 1990. - 352 с.
. Шейнблит, А.Е. Курсовое
проектирование деталей машин: учеб. пособие. Изд-е 2-е, перераб. и дополн. -
Калининград: Янтар. Сказ. 2005. - 456 с.: ил. черт.- Б. ц.