Привод цепного конвейера

  • Вид работы:
    Курсовая работа (т)
  • Предмет:
    Другое
  • Язык:
    Русский
    ,
    Формат файла:
    MS Word
    2,05 Мб
  • Опубликовано:
    2013-03-27
Вы можете узнать стоимость помощи в написании студенческой работы.
Помощь в написании работы, которую точно примут!

Привод цепного конвейера

МИНИСТЕРСТВО ОБРАЗОВАНИЯ И НАУКИ РОССИЙСКОЙ ФЕДЕРАЦИИ

ЮЖНО-УРАЛЬСКИЙ ГОСУДАРСТВЕННЫЙ УНИВЕРСИТЕТ

Кафедра «Теоретическая механика и основы проектирования машин»






курсовой проек

ПРИВОД ЦЕПНОГО КОНВЕЙРА

Руководитель

Устиновский Е.П.

Автор проекта

студент группы АК-304

Панченко С. С.






Челябинск 2012г.

Введение

В данной курсовой работе разработан привод лебедки, состоящий из следующих частей: асинхронный электрический двигатель АИР; муфта упругая со звездочкой; конически-цилиндрический редуктор; открытой цепной зубчатой передачи со встроенной предохранительной муфтой и исполнительного органа в виде барабана. Рассмотрены назначение, а также достоинства и недостатки всех компонентов. Электродвигатель, предназначен для преобразования электрической энергии в механическую, а также обеспечения номинальной мощности и частоты вращения на входном валу редуктора. Муфта, предназначена для соединения валов и передачи вращающего момента без изменения его направления. Наряду с кинематической и силовой связью отдельных частей машины муфты обеспечивают выполнение ряда других функций: обеспечение работы соединяемых валов смещениях, обусловленных неточностями монтажа или деформациями деталей; улучшение динамических характеристик привода, т. е. смягчение при работе толчков и ударов; предохранение частей машин от воздействия перегрузок; быстрое соединение или разъединение валов и других деталей на ходу или в неподвижном состоянии; регулирование передаваемого момента в зависимости от угловой скорости; передачу момента только в одном направлении; облегчение пуска машины и пр.

Конически-цилиндрический редуктор - это механизм, служащий для передачи мощности от электродвигателя к рабочему органу исполнительного устройства. С помощью редукторов осуществляют уменьшение угловой скорости, а также увеличение выходного момента. В зависимости от требуемого расположения геометрических осей валов, между которыми передаётся вращение, и необходимого передаточного числа в редукторах используют цилиндрические, конические, коническо-цилиндрические, а также червячные передачи.

Исполнительным органом является барабан.

1. КИНЕМАТИЧЕСКИЙ И СИЛОВОЙ РАСЧЕТ ПРИВОДА, ВЫБОР ЭЛЕКТРОДВИГАТЕЛЯ

 

Рисунок 1 - Кинематическая схема привода лебедки

1. - асинхронный электрический двигатель; 2 - муфта со звездочкой; 3 коническо- цилиндрический редуктор; 4 - цепная передача со встроенной предохранительной муфтой; 5 - барабан.

1.1. Определение мощности на валу исполнительного органа


Мощность на валу исполнительного механизма P4, кВт

 

Ft - окружное усилие на исполнительном механизме,

Vt - окружная скорость на исполнительном механизме

 

1.2 Определение расчетной мощности на валу двигателя


Расчетная мощность на валу двигателя P1 определяется с учетом потерь в приводе

 

где η - общий КПД привода.

Общий КПД привода вычисляется как произведение КПД отдельных передач, учитывающих потери во всех элементах кинематической цепи привода

 

где η1. - КПД закрытой зубчатой конической передачи η1 = 0.96;

η2 − КПД закрытой зубчатой цилиндрической передачи η2 = 0,97;

η3 - КПД плоско - ременной передачи η3= 0,96.

С учетом это следует

 

1.3. Определение частоты вращения вала исполнительного органа


Частота вращения вала исполнительного органа n4, мин-1

 

где D - диаметр барабана ленточного конвейера.

 

1.4. Выбор электродвигателя


Частота вращения вала электродвигателя n1, мин-1

 

где i - передаточное отношение привода, равное произведению передаточных отношений всех передач


где (k-1) - число передач привода;

ij - передаточное отношение j-й передачи согласно кинематической схеме привода, где:

i1 - п. о. закрытой зубчатой конической передачи i1 = 2…3;

i2 - п.о. закрытой зубчатой цилиндрической передачи i2 = 3…6;

i3 - п. о. открытой цепной передачи i3=2…4

Найдем среднее значение частоты вращения электродвигателя.

 

 

 

 

 

Электродвигатель выбираем из справочника (3) по следующим критериям: частота вращения вала n= 3120 ,паспортная мощность Р= 9.76 кВт, этому соответствует электродвигатель АИР132M2 с мощностью 11 кВт, синхронная частота вращения n= 3000 .       Номинальная асинхронная частота вращения вала определяется

 

где S - относительное скольжение вала.

 

Рисунок 2 - Эскиз электродвигателя АИР 132 M2

Расшифровка аббревиатуры электродвигателя АИР 132M2:

Электродвигатели асинхронные типа АИР общего назначения предназначены для привода механизмов и машин в условиях умеренного климата. А - асинхронный; И - унифицированная серия Интерэлектро; Р - Привязка мощностей к установочно-присоединительным размерам по ГОСТ (РС 3031). 132 - габарит от плоскости установки до плоскости вращения вала; M - Установочный размер по длине станины; Длинна сердечника первая; 2 - число полюсов

1.5 Определение передаточного отношения привода


Уточним передаточное отношение привода

 

Проведем разбивку передаточного отношения привода между редуктором и открытой цепной передачей, находящейся вне редуктора. Вначале назначим передаточное отношение iр редуктора.

iр =15 (iц=5; iк=3)

Вычислим передаточное отношение iц цепной передачи:

 

1.6. Определение мощностей, вращающих моментов и частот вращения валов


Связь между мощностями, частотами вращения и вращающими моментами предыдущего и последующего валов

 

 

 

Тогда

 

 

Вращающий момент на 1 валу

 

Вращающий момент на 4 валу

 

Вращающий момент 3 вала

 

Число оборотов на 3 валу

 

Составим промежуточную таблицу для упорядочивания данных:

Таблица 1 - Силовые и кинематические параметры привода (промежуточные данные)

№ вала

Мощность Р, кВт

Частота вращения n, мин-1

Вращающий момент Т, Н∙м

1

9,76

2910

32

2

9,36

-

-

3

9,08

194

446

4

8,4

74,6

1081



2. ПРОЕКТНЫЙ РАСЧЕТ ЗАКРЫТЫХ ПЕРЕДАЧЬ НА ЭВМ

 

2.1 Подготовка исходных данных для проектного расчета

 

.1.1 Выбор материалов и термообработки

Материал зубчатых колес для закрытых передач должен обеспечивать высокую сопротивляемость выкрашиванию поверхностных слоев зубьев. Этим требованиям отвечают термически обрабатываемые углеродистые и легированные стали.

Наиболее оптимальная термообработка зубчатых колес для быстроходной конической передачи - это улучшение. Главное преимущество, которого заключается в том, что проводится до нарезания зубьев. В результате не происходит деформации зуба при термообработке, что особенно важно при малом среднем модуле.

В качестве материала шестерни выберем сталь 40Х ГОСТ 4543-71 (0,4% углерода). Для колеса сталь 35Х ГОСТ 4543-71 (0,35% углерода, 1% хрома).

Для термообработки тихоходной и более нагруженной цилиндрической передачи применим цементацию Цементация - поверхностное насыщение зубьев углеродом с последующей закалкой и низким отпуском. Углерод может находиться в твердой либо газообразной фазе. Преимущество цементации высокая твердость поверхности зубьев.

В качестве материала для шестерни выберем сталь 20Х (0,2% углерода, менее 1% хрома), для колеса - 15Х (0,15% углерода, менее 1% хрома).

Таблица 2 - Материал, термообработка, предел контактной и изгибной выносливости.

Передача

Марка стали

Термообработка

Твердость

Предел выносливости, МПа


шестерни

колеса


Поверхности зубьев, HRC

Сердцевины, НВ








σHlimb

σFlimb

КП

Сталь 40ХН

Сталь 35Х

Улучшение

_

_

270

240

630

550

ЦП

Сталь 20Х

Сталь 15Х

Цементация

55

55

230

230

1265

1265

 

2.1.2. Допускаемые контактные напряжения при расчете на выносливость активных поверхностей зубьев закрытых передач

Допускаемые контактные напряжения конической передачи, σHP МПа, вычисляются отдельно для шестерни и колеса каждой из рассчитываемых передач

 

где σHlimb1, σHlimb2 - пределы контактной выносливости поверхностей зубьев шестерни и колеса, соответствующие базовому числу циклов напряжений, приведены в таблице 2.

SHmin - минимальный коэффициент запаса прочности, при поверхностном упрочнении зубьев

SHmin=1,1;

ZH1, ZH2 - коэффициенты долговечности для шестерни и колеса т.к. проводится многовариантное проектирование редуктора на ЭВМ, то на данном этапе принимаем:

ZH1=ZH2=1.

Тогда получим

 

 

Тогда расчетные допускаемые контактные напряжения косозубой конической передачи определятся:


Допускаемые контактные напряжения цилиндрической передачи, σHP МПа, вычисляются

 

тогда SHmin=1,2.

 

2.1.3. Определение коэффициентов закрытой передачи

Коэффициент ширины зубчатого венца конической передачи, в связи с малой твердостью Н2<350 HВ выберем равным

Kbe=2,5.

Коэффициент K, учитывающий неравномерность распределения нагрузки по длине контактной линии при расчете зубьев на выносливость при изгибе, зависит от параметра ψbd, твердости и расположения зубчатых колес относительно опор. Параметр ψbd вычисляется по формуле

 

где u - передаточное число конической передачи

 

Исходя из параметра ψbd найдем K из графика (Рисунок 10 учебного пособия).

K1=1.12

Коэффициент ширины зубчатого венца цилиндрической передачи, в долях диаметра шестерни. Выбирается исходя из высокой твердости Н>350 HB и несимметричного расположения колеса относительно опор (таблица 14 учебного пособия):

ψbd2=0.6;

Коэффициент K выбирается так же как для конической передачи:

K2=1.09

 

2.1.4. Исходные данные и расчет редуктора на ЭВМ


Таблица 3 - Исходные данные

Передаточное отношение редуктора

15

Вращающий момент на тихоходном валу, Н∙м

446

Допускаемые контактные напряжения передач, МПа

конической

450


цилиндрической

949

Коэффициент ширины конической передачи относительно внешнего конусного расстояния

0,24

Коэффициент ширины цилиндрической передачи относительно диаметра шестерни

0,60

Коэффициенты, учитывающие распределение нагрузки по ширине зубчатого венца

конической

1,12


цилиндрической

1,09

Виды зубьев зубчатых колес

конической

круговые


цилиндрической

косые



Таблица 4 - Результаты расчета

Наименование

Обозначение

Вариант расчета



1

2

3

4

5

КОНИЧЕСКАЯ ПЕРЕДАЧА

Передаточное отношение

u

2,882

2,647

3,056

2,824

2,000

Внешнее конусное расстояние, мм

Re

80,73

117,767

120,970

124,786

105,881

Модуль средний нормальный, мм

mn

2,25

3,500

3,000

3,500

4,000

Средний угол наклона зубьев, град.

β

35,000

35,000

35,000

35,000

35,000

Число зубьев:







шестерни

z1

17

17

18

16

16

колеса

z2

49

45

55

48

34

Внешний делительный диаметр







шестерни

de1

52,922

83,238

75,253

78,418

89,073

колеса

de2

152,541

220,336

229,940

235,254

189,280

Ширина зубчатого венца, мм

b

19

30

30

32

26

Угол делительного конуса, град.:







шестерни

δ1

19,134

20,695

18,122

19,502

26,565

колеса

δ2

70,866

69,305

71,878

70,498

63,435

ЦИЛИНДРИЧЕСКАЯ ПЕРЕДАЧА

Передаточное отношение

u

5,150

4,900

4,316

4,619

6,526

Межосевое расстояние, мм

aw

125,000

180,000

180,000

180,000

200,000

Модуль средний нормальный, мм

mn

2,000

3,000

3,500

3,000

2,750

Угол наклона зубьев, град.

β

10,263

10,475

10,904

10,475

10,541

Число зубьев:







шестерни

z1

20

20

19

21

19

колеса

z2

103

98

82

97

124

Делительный диаметр, мм:







шестерни

dw1=d1

40,65

61,017

67,723

64,068

53,147

колеса

dw2=d2

209,35

298.983

292,277

295,932

346,853

Ширина зубчатого венца, мм:







шестерни

b1

26,0

38,0

42,0

40.0

34,0

колеса

b2=bw

24,0

36,0

38,0

32,0

ПАРАМЕТРЫ РЕДУКТОРА

Передаточное отношение

i

14,84

14,87

15

15,18

14,92

Масса редуктора, кг

m

48,4

48,7

48,7

49

49,9

Примечания: 1. Материал корпуса редуктора - серый чугун; 2. КПД конической передачи - 0,96; 3. КПД цилиндрической передачи - 0,97.

 



2.2 Выбор варианта расчета редуктора

 

Уточнение данных таблицы 1

Из четырех предложенных программой вариантов расчета наиболее подходящей является первый вариант, т.к. масса редуктора по сравнения с другими вариантами меньше.

Уточнение таблицы 1

 

 

 

 

Таблица 5 - Силовые и кинематические параметры.

№ вала

Мощность Р, кВт

Частота вращения n, мин-1

Вращающий момент Т, Н∙м

1

9,76

2910

32

2

9,36

1009,7

88,5

3

9,08

194

446

4

8,4

74,6

1081

 

2.3 Геометрические параметры передач

 

.3.1 Геометрические параметры конической передачи

Коэффициент ширины зубчатого венца

 

Коэффициент K, учитывающий неравномерность распределения нагрузки по длине контактной линии при расчете зубьев на выносливость при изгибе, зависит от параметра ψbd, твердости и расположения зубчатых колес относительно опор. Параметр ψbd вычисляется по формуле

 

Исходя из параметра ψbd найдем K из графика (Рисунок 10 учебного пособия).

K=1,12

Коэффициент высоты головки исходного контура

 

Коэффициент радиального зазора

 

Коэффициент смещения исходного контура.

Для повышения изгибной прочности зубьев шестерни ее нарезают с положительным смещением инструмента.

Коэффициент смещения инструмента х1 для шестерни зависит от вида зубчатых колес, числа зубьев шестерни и передаточного отношения передачи:

х1=0,28.

Для колеса назначают отрицательное смещение с коэффициентом х2:

х2= - х1= - 0,28.

Среднее конусное расстояние:

Rm=Re - 0,5∙b=80,73 - 0,5∙19=71,23 (мм).

Высота ножки зуба в расчетном (среднем) сечении:

шестерни:

колеса:

Угол ножки зубьев:

шестерни:

колеса:

Угол головки зубьев:

шестерни:

колеса:

Угол конуса впадин:

шестерни:

колеса:

Угол конуса вершин:

шестерни:

колеса:

Внешняя высота головки зуба:

шестерни:

 

колеса:

 

Внешняя высота ножки зуба:

Шестерни

 

Колеса

Внешняя высота зуба:

 

 

 

Средний делительный диаметр:

шестерни:

 

колеса:

 

Внешний диаметр вершин:

Шестерни

 

колеса:

 

Рисунок 3 - Геометрические параметры конической передачи

2.3.2. Геометрические параметры цилиндрической передачи

Диаметр вершины зубьев:

шестерни:

 

колеса:

 

Диаметр впадин зубьев:

шестерни:

 

колеса:

 

Проверка вписывания передачи в заданное межосевое расстояние

 

Рисунок 4 - Геометрические параметры цилиндрической передачи.

3. ПРОВЕРОЧНЫЙ РАСЧЕТ

 

.1 Проверочный расчет тихоходной передачи на контактную выносливость активных поверхностей зубьев


Цель расчета - определить фактическое напряжение в контакте для проверки условия прочности. Фактические напряжения могут отличаться от допускаемых вследствие уточнения геометрических размеров передачи и расчетных коэффициентов.

Уточнение коэффициента ψbd:

 

Уточнение коэффициента K.

K1=1,09.

Окружная скорость в зацеплении, м/с,

 

Поскольку данная передача является передачей общего машиностроения, не требующая высокой точности, выберем 8 степень точности.

Перекрытие зубьев характеризуется коэффициентом торцевого перекрытия εα и коэффициентом осевого перекрытия εβ.

Коэффициент торцового перекрытия вычисляется по формуле

 

Коэффициент осевого перекрытия

 

Суммарный коэффициент перекрытия

εγ= εα+ εβ=1,66+0,68=2,34

Коэффициент K, учитывающий распределение нагрузки между зубьями в связи с погрешностями изготовления примем (рисунок 12 учебного пособия):

K=1,07.

Коэффициент, учитывающий динамическую нагрузку, возникающую в зацеплении определяется по формуле

 

где WHV - удельная окружная динамическая сила, Н/мм

WHVH∙g0∙V∙,

где δH - коэффициент, учитывающий влияния вида зубчатой передачи и модификации профиля зубьев (таблица 16учебного пособия):

δH=0,004,

g0 - коэффициент, учитывающий влияние разности шагов зацепления зубьев шестерни и колеса (таблица 17 учебного пособия):

g0=56

Тогда

 

Подставив в формулу получим

 

Удельная расчетная окружная сила,

 

Коэффициент Zε, учитывающий суммарную длину контактных линий, для косозубой передачи с коэффициентом осевого перекрытия εβ<1

 

Расчетное контактное напряжение определяется как

 

где ZH - коэффициент, учитывающий форму сопряженных поверхностей зубьев в полосе зацепления (рисунок 13 учебного пособия):

ZH=2,45,

ZE - коэффициент, учитывающий механические свойства материалов сопряженных зубчатых колес:

ZE=190,

Тогда подставив все коэффициенты в формулу, получим

 

 

Условие выполняется.

Уточнение допускаемых контактных напряжений

 

где величина  посчитана в пункте 2.1.2, а именно, следовательно, получим

 

где ZN2, ZN3 - коэффициенты долговечности для шестерни и колеса, определяемые в зависимости от отношения NHE1/NHlimb1 и NHE2/NHlimb2 или по формуле


NHlimbj - базовое число циклов контактных напряжений шестерни и колеса, NHlimbj=118 циклов (рисунок 2.2 учебного пособия).

NHEj - эквивалентное число циклов контактных напряжений на зубьях шестерни и колеса, определяемое в зависимости от режима нагружения и продолжительности работы привода по формуле:

NHEjHNΣj,

где μH - коэффициент, характеризующий интенсивность типового режима нагружения при расчете на контактную прочность. Так как номер режима II - средний равновероятный (таблица 8 учебного пособия), следует:

μH=0.25,

NΣj - число циклов нагружения колеса или шестерни на весь срок службы передачи:

NΣj=60∙cj∙nj∙tΣ

где cj - число циклов нагружения зуба за один оборот зубчатого колеса, равное числу зубчатых колес, находящихся в зацеплении с рассматриваемым:

cj=1,

nj - частота вращения вала, на котором установлено рассматриваемое зубчатое колесо, n=194 мин-1;

tΣ - время работы (ресурс) передачи за весь срок службы привода,

tΣ=28∙2∙106/3600=15,5∙103

NΣ2=60∙1∙194∙1009,7∙103=939∙106

NΣ3=60∙1∙194∙15,5∙103=180,4∙106;

NHE2=939∙106∙0,25=234,75∙106 > NHlimbj =>qn=20

NHE3=180,4∙106∙0,25=45,1∙106 < NHlimbj =>qn=5

Тогда


Подставив в уравнение, получим

 

 Мпа.

 Мпа.

Проверка выполнения условия:

(МПа) ≤ 1265≤1,23912 (МПа).

Следовательно, условие прочности выполнилось.

 

3.2. Проверочный расчет тихоходной цилиндрической передачи на выносливость зубьев по изгибу


Цель расчета - предотвращение усталостного излома зубьев у основания вследствие действия переменных напряжений изгиба.

K - коэффициент, учитывающий неравномерность распределения нагрузки по длине контактных линий при расчете зубьев на выносливость при изгибе:

K=1,3

K - коэффициент, учитывающий распределение нагрузки между зубьями. При расчетах на изгибную прочность полагают, что влияние погрешностей изготовления на распределение нагрузки между зубьями то же, что и в расчетах на контактную прочность, т.е.

K= K=1,07.

Коэффициент, учитывающий динамическую нагрузку, возникающую в зацеплении

 

где WFV - удельная окружная сила при расчете на изгиб, Н/мм:

 

δF - коэффициент, учитывающий влияние вида зубчатой передачи и модификации профиля зубьев, (таблица 16 учебного пособия).

δF=0,004

Остальные величины входящие в формулы описаны в пункте 3.1.

 

 

Удельная расчетная окружная сила определяется по формуле

 

Коэффициент YFS, учитывающий форму зуба и концентрацию напряжений, определяется в зависимости от эквивалентного числа зубьев

 

где β - угол наклона зубьев.

Тогда

 

 

Следовательно, из рисунка 15 учебного пособия:

YFS1=4,07; YFS2=3,6,

Расчет будем проводить для, менее прочного зубчатого колеса передачи, которое выбирается из сравнения отношений для колеса и шестерни

 

где σFP - допускаемое напряжение изгибу, МПа, не вызывающие усталостного разрушения материала, определяется

 

где σFlimb=680 МПа;

SFmin=1,7 - минимальный коэффициент запаса прочности;

YA=0,75 - коэффициент реверсивной нагрузки на зуб;

YN - коэффициент долговечности, вычисляется по формуле

 

где qF = 9 - для зубчатых колес с поверхностной твердостью зубьев Н>350 НВ.

NFlim=4∙106 - базовое число циклов напряжений изгиба, соответствующие перегибу кривой усталости.

NFE - эквивалентное число циклов напряжений изгиба на зубьях, определяемое в зависимости от режима нагружения и продолжительности работы привод.

 

где μF=0,1 - коэффициент, характеризующий интенсивность типового режима нагружения при расчете на изгиб;

N∑1 = 939∙106

N∑2 = 180.4∙106.

 

 

Тогда

 

 

Получим:

 

Тогда отношение примет вид

 

 

Следовательно, расчет будем проводить для, мене прочного зубчатого колеса передачи, т.е. для шестерни.

Коэффициент, учитывающий перекрытие зубьев для косозубых передач при εβ<1 определяется как

 

Коэффициент, учитывающий наклон зуба

 

Расчетное напряжение изгиба на переходной поверхности зуба определяется по формуле

 

 

 

Следовательно, условие прочности выполнилось.

 

3.3 Расчет зубчатой передачи на контактную прочность при действии максимальной нагрузки


Расчет проводится в качестве проверочного и служит для предотвращения остаточной деформации или хрупкого разрушения поверхностного слоя.

Расчетное напряжение σHmax, МПа, создаваемое наибольшей нагрузкой из числа подводимых к передаче, даже при однократном ее действии, вычисляют по формуле

 

где β1 - кратность пиковых перегрузок, β1=1,3;

Тогда

 

 

3.4 Расчет зубчатой передачи на прочность при изгибе максимальной нагрузкой


Этот вид расчета проводится в качестве проверочного и служит для предотвращения остаточных деформаций или хрупкого излома зубьев.

Расчет проводится для менее прочного зубчатого колеса. В нашем случае расчет проводится для шестерни.

Расчетное напряжение σFmax, МПа, создаваемое наибольшей нагрузкой из числа подводимых к передаче, даже при однократном ее действии, вычисляют по формуле

 

где β1 - кратность пиковых перегрузок, β1=1,3;

 

 

4. СИЛЫ В ЗАЦЕПЛЕНИЯХ ЗАКРЫТЫХ ПЕРЕДАЧ

 

4.1 Силы в зацеплении цилиндрической передачи


Окружная сила

 

Радиальная сила

 

Осевая сила

 

В формулах:

αw - угол зацепления в нормальном сечении; при нарезании зубьев без смещения исходного контура:

αw=20°.

 

4.2. Силы в зацепление конической передачи


Окружная сила

 

Радиальная сила на шестерни (осевая на колесе)

 

 

Осевая сила на шестерни (радиальная на колесе)

 

 

В формулах:

αw - угол зацепления в нормальном сечении; при нарезании зубьев без смещения исходного контура:

αw=20°.

δ1 - угол делительного конуса шестерни,

βn - средний угол наклона зубьев.

Рисунок 7 - Силы в зацеплении закрытой передачи

5. ПРОЕКТИРОВАНИЕ ЦЕПНОЙ ПЕРЕДАЧИ


В данном случае, исходя из расчетов на прочность и на выносливость (проведенных с помощью ЭВМ), определяются параметры цепной передачи

ИСХОДНЫЕ ДАННЫЕ:

Вращающим момент на быстроходном валу передачи Т, Н*м .         446.00

Частота вращения быстроходного вала n мин-1 •••• 194.00

Передаточное отношение передачи i ........... .  2.63

Ресурс Тц. ч ......................             6500

Тип цепи ............ ....  .......     Роликовая

Передача .....................                     Открытая

Температура окружающей среды ......... от -25°С       до +150°

Угол наклона линии центров звездочек к горизонту - 0 градусов

Характер работы передачи - Легкие удары, небольшие толчки

Условия смазки ..... Периодическая регулярная

Движение цепи ......................................... Синфазное

РЕЗУЛЬТАТЫ РАСЧЕТА:

Цепь - ПРА-38.1-12700 ГОСТ 13568-75

Шаг цепи, мм                                                                          38.100

Ширина цепи, мм .................... .        58.000

Число звеньев цепи ...................            83

Масса цепи, кг .....................             17.4

Числа зубьев звездочек:

меньшей ..... .  .........               19

большей ....................                       50

Фактическое передаточное отношение передачи ...... 2.63

Межосевое расстояние передачи, мм ........... .  704.000

Диаметры выступов, мм:

меньшей звездочки ...............             247

большей звездочки •                                                              624 Делительные диаметры, мм:

меньшей звездочки ...............                     231.478

большей звездочки ...............                     606.779

Диаметры впадин, мм:

меньшей звездочки ...............             209

большей звездочки ...............             584

Динамическая нагрузка от неравномерного хода цепи, Н . .     385.4

Усилия в ведущей ветви, И ............... .       4293.2

Усилия в ведомой ветви, Н ............... .        54.3

Усилия на валы передачи, Н ...............      4874.7

Давление в шарнире цепи, МПа ..............    10.9

Допускаемое давление в шарнире цепи, МПА ........ 15.1

Срок службы цепи по износостойкости шарниров, ч . . . . .       14695

Разрушающая нагрузка, Н .......... . .  .127000.0

Коэффициент запаса прочности ..............   29.6

Допускаемый коэффициент запаса прочности ........     14.1


Параметры меньшей звездочки

Число зубьев

Z

19

Сопрягаемая цепь

Шаг

t

33,100


диаметр ролика

22.230

Профиль зуба по ГОСТ 591-69

-

со смещением 1.14

-

С

Наибольшая хорда

Lx

208.156 -0.460

Допуск на разность шагов

δtz

0. 320

Радиальное биение окружности впадин

δх

0.630

Торцовое биение зубчатого венца

δz

0.630

Диаметр делительной окружности

dд

231.478

Сопрягаемая цепь

Ширина внутренней пластины-

h

36.200


Расстояние между цепь внутренними пластинами

25.400


Параметры большей звездочки

Число зубьев

Z

50

Сопрягае- мая цепь

Шаг

t

38.100


Диаметр ролика

22.230

Профиль зуба по ГОСТ 591-69

-

со смещением 1.14

Группа точности по ГОСТ 591-69

-

С

Наибольшая хорда

Lx

584,338 -0.700

Допуск на разность шагов

δtz

0.500

Радиальное биение окружности впадин

δx

1.000

Торцовое 6иение зубчатого венца

δz

1.000

Диаметр делительной окружности

dд

606.779

Сопрягаемая цепь

Ширина внутренней пластины

h

36.200


Расстояние между внутренними пластинами

b3

25.400



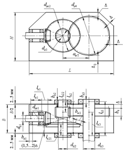
6. КОМПОНОВКА РЕДУКТОРА

 

6.1. Проектный расчет валов


Диаметр цапф вала в местах установки подшипников рассчитывается из условия прочности на кручение при заниженных допускаемых напряжениях, полученные размеры округляют до ближайших размеров из ряда внутренних диаметров подшипников

 

где [] - допускаемые напряжения при кручении,

T - вращающий момент, Н∙м.

Для первоого, быстроходного вала []=5…6 (МПа) ; T=32 (Н∙м):

 

Для второго, промежуточного вала []=15…20 (МПа) ; T=88,5 (Н∙м):

 

Для третьего, тихоходного вала []=15…20 (МПа) ; T=446 (Н∙м):

 

Полученные размеры округлим до стандартных по ГОСТ 6636-69, соответственно

 

 

 

Диаметр участка вала под установку зубчатых колес выбираем по формуле:

Для первого, быстроходного вала установленного консольно:

,

для второго, промежуточного вала, установленного между опорами

,

для третьего, тихоходного вала, установленного между опорами

.

Для осевой фиксации колес и подшипников вал выполняют ступенчатым. Высоту заплечника выбирают в зависимости от диаметра вала по формуле

 

Вращающиеся детали в редукторе выполняют таким образом, чтобы исключить их касание друг с другом и со стенками корпуса, а также получить наименьшие габариты редуктора. Поэтому при проектировании выдерживаются зазоры:

между внешними поверхностями вращающейся детали и стенками корпуса редуктора

 

между внешними поверхностями вращающейся детали и днищем редуктора

 

где: m=2 - модуль зацепления тихоходной передачи.


В коническо-цилиндрическом редукторе зазор между коническим зубчатым колесом и боковой стенкой корпуса увеличивают в 1.5-2 раза для размещения ступицы конического колеса.

6.2. Подбор подшипников качения


Подшипники - детали, поддерживающие вращающиеся валы и оси в пространстве, обеспечивая им возможность вращения или качения, и воспринимая действующие на них нагрузки.

Ввиду значительных осевых и радиальных нагрузок были выбраны:

роликовые конические однорядные подшипники по ГОСТ 27365-87 средней серии:

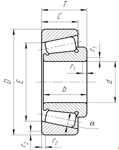
Для первого вала: 7306А, для второго 7306А, для третьего 7310А. Серия диаметров 3, серия ширин 0.

Таблица 9 - Геометрические характеристики радиально-упорных подшипников качения

Условное обозначение

d, мм

D, мм

b, мм

С, мм

T, мм

Е, мм

α

Масса, кг

r1, мм

r2, мм

e

7306А

30

72

19

16

20,75

58,287

11˚51’35’’

0.406

1,5

1.5

0.34

7310А

50

110

27

23

29,25

90,633

12˚57’10’’

1,310

2,5

2,0

0.31


Рисунок 9 - Подшипник радиально-упорный, роликовый, конический, однорядный.

При эскизном проектировании, для уменьшения изгибающего момента на быстроходном валу, расстояние между центрами подшипников примем минимальным

 

где  - расстояние от центра шестерни до центра ближайшего подшипника, которое принимают

 

 

 

 

6.3 Подбор шпоночных соединений


Шпонка - деталь, устанавливаемая в пазах двух соприкасающихся деталей и препятствующая относительному повороту или сдвигу этих деталей. Шпонки применяют для передачи вращающего момента от вала к ступице или наоборот.

Таблица 10 - Размеры призматических шпонок и шпоночных пазов (ГОСТ 23360-80), мм

Диаметр вала D

Шпонка

Шпоночный паз


b

h

c или r

Вал t1

Втулка t2

с или r

30

10

8

0,16…0,25

5.0

3.3

0.16…0.25

50

16

10

0,25…0,4

6

4,3

0,25…0,4


Длины шпонок должны выбираться из ряда: 12, 14, 16, 18, 20, 25, 28, 32, 36, 40, 45, 50, 56, 63.

Рисунок 10 - Геометрические параметры соединения призматической шпонкой

6.4 Конструирование основных элементов

 

.4.1. Цилиндрические зубчатые колеса

Зубчатые колеса с диаметром впадин зубьев , экономически целесообразно изготовить за одно целое с валом. Поэтому шестерню цилиндрической передачи, проектируем в целом с валом.

Основные геометрические характеристики при проектировании, находятся по формулам:

ширина базовых поясков:

толщина обода:

длинна ступицы:

диаметр ступицы:

толщина диска:

штамповочные и литейные уклоны и радиусы

 

 

фаски на торцах зубчатого венца

 

6.4.2. Конические зубчатые колеса

Размеры для проектирования конических зубчатых колес, выполняются согласно рекомендациям, приведенным для цилиндрических зубчатых колес. С одной поправкой для толщины диска:

муфта подшипник вал зубчатый


6.5 Смазка редуктора


Для уменьшения износа и потерь на трение все трущиеся детали редуктора необходимо надежно смазывать. В данном проекте для смазки передач и подшипников предполагается использовать картерную систему смазки, при которой в масло погружаются венцы зубчатых колес. При их вращении внутри корпуса образуется взвесь частиц масла в воздухе, которая покрывает всю поверхность деталей редуктора.

Уровень масляной ванны должен быть таким, чтобы зубья конического колеса полностью погружались в масло. Объем масла не менее 0.7…1 литра на 1 кВт, подводимой мощности. Следовательно, в данный редуктор стоит залить приблизительно 6,8-7 литра масла, до уровня контрольного отверстия. Масло заливается индустриальное, жидкое И-Г-А-68 ГОСТ 207799-88. (И - масло индустриальное; Г - для гидравлических систем; А - масло без присадок; 68 - класс кинематической вязкости).

 


7. ПРОВЕРОЧНЫЙ РАСЧЕТ ТИХОХОДНОГО ВАЛА РЕДУКТОРА НА СТАТИЧЕСКУЮ ПРОЧНОСТЬ ПО ЭКВИВАЛЕНТНОМУ МОМЕНТУ


Крутящий момент

 

Fr= (H) - радиальная сила;

Fa= (H) - осевая сила;

Ft=4354,2 (H) - окружная сила;

Fb=4874.7 (Н)- сила цепной передачи.

Изгибающий момент:

 

При построении эпюр от реальной конструкции, переходим к расчетной схеме, заменяя опоры соответствующими им реакциями.

Для определения реакции в опорах, составим уравнения равновесия.

Сумма моментов сил относительно первой опоры:

 

 

 

 

Сумма моментов сил относительно второй опоры

 

 

 

 

Для проверки составим сумму проекций сил на ось x и y.

Сумма проекций сил на ось x

 

Сумма проекций сил на ось y

 

Рисунок 11 - Расчетная схема вала редуктора

Расчет ведется по сечению для определения запаса прочность.

Сечение I:

Изгибающий момент

 

 

 

 

 

 

где W - осевой момент сопротивления (сечения вала с учетом шпонки),

Wp - полярный момент сопротивления (сечения вала с учетом шпонки),

Из формул показанных выше следует

 

 

 

 

 

 

 

где Kp=2 - коэффициент перегрузки машины.

Фактический коэффициент запаса прочности

 

Условие прочности выполнено, запас прочности обеспечен.

Сечение II:

Изгибающий момент

Mx=Fb*0.07=4800*0.07=341.22 (H*м)

 

 

 

 

 

 

где W - осевой момент сопротивления (сечения вала с учетом шпонки),

Wp - полярный момент сопротивления (сечения вала с учетом шпонки),

Из формул показанных выше следует

 

 

 

 

 

 

 

где Kp=2 - коэффициент перегрузки машины.

Фактический коэффициент запаса прочности

 

Условие прочности выполнено, запас прочности обеспечен.

8. ПРОВЕРОЧНЫЙ РАСЧЕТ ТИХОХОДНОГО ВАЛА РЕДУКТОРА НА ВЫНОСЛИВОСТЬ


Определим запас прочности из условия прочности

 

где  - запас прочности по нормальным напряжениям,

 - запас прочности по касательным напряжениям.

Из данного условия прочности, выразим запас прочности n в чистом виде

 

где [n]=2…3 - допустимый запас прочности, предшествующий разрушению.

 

 

где  - эффективные коэффициенты концентрации напряжений,

 - коэффициент шероховатости материала,

 - масштабный фактор, зависящий от размера,

 - коэффициенты чувствительности материала к асимметрии цикла нагружения,

 - амплитудные значения,

 - значения цикла.

 - коэффициенты берутся с учетом напряжения шпоночного паза в сечении,

;

 - с учетом работы вала в данном сечении, только на изгиб,

=0,7

 

 

 

 

.

 

 

 

 

 

Условие прочности выполнено, запас прочности обеспечен.

 

 

 

Условие прочности выполнено, запас прочности обеспечен.

9. ПРОВЕРОЧНЫЙ РАСЧЕТ ШПОНОЧНЫХ СОЕДИНЕНИЙ ДЛЯ ТИХОХОДНОГО ВАЛА РЕДУКТОРА


Расчет шпоночного соединения на прочность проводится по напряжениям смятия

Рисунок 12 - Расчетная схема шпоночного соединения

Условие прочности

 

 - допускаемые напряжения на смятие.

Шпонка для фиксации цилиндрического зубчатого колеса на валу:

Шпонка 16×10×63 ГОСТ 23360-80:

Т=455.7 (Н∙м) - момент на валу;

lp - рабочая длинна шпонки

 

b=16 (мм) - ширина шпонки;

d=55 (мм) - диаметр посадочной части вала;

h=10 (мм) - высота шпонки;

t=6 (мм) - глубина паза на валу.

 

 

Условие прочности выполнено, запас прочности обеспечен.

Шпонка для фиксации ведущей звездочки открытой зубчатой цепной передачи на валу:

Шпонка 20×12×40 ГОСТ 23360-80:

Данные для второй шпонки аналогичны, отличие лишь в длине рабочей части

 

 

 

Условие прочности выполнено, запас прочности обеспечен.

10. ПРОВЕРОЧНЫЙ РАСЧЕТ ПОДШИПНИКОВ КАЧЕНИЯ ДЛЯ ТИХОХОДНОГО ВАЛА НА ДОЛГОВЕЧНОСТЬ


Для тихоходного вала редуктора были выбраны - радиально-упорные, роликовые, конические, однорядные подшипники, средней серии 7310А ГОСТ 27365-87 (серия диаметров 3, серия ширин 0). Схема установки подшипников «враспор».

 

10.1 Определение сил, нагружающих подшипники


Рисунок 13 - Схема установки и нагружения подшипников вала

Из расчета вала имеем реакции в опорах 1 и 2

 

Тогда радиальная нагрузка в этих опорах, действующая, на подшипники найдется

 

 

Минимальная осевая сила, действующая на подшипники

 

где R - радиальная нагрузка, действующая на подшипник,

e=0.35 - коэффициент минимальной осевой нагрузки.

 

 

Так как

 

 

Сравнение соотношений с коэффициентом минимальной осевой нагрузки

 

Для первого подшипника

 

X=0.72; Y=1.63,

Для второго подшипника

 

Следовательно

X=1; Y=0

где V - коэффициент вращения кольца при вращении внутреннего кольца,

X, Y - коэффициенты динамической радиальной и осевой нагрузок

 

10.2. Расчет подшипников на заданный ресурс


Расчет подшипников на заданный ресурс ведется по обоим опорам

 

где  - коэффициент долговечности при вероятности безотказной работы 90%,

 - коэффициент, характеризующий влияние на долговечность материала подшипника и условий его эксплуатации,

 - частота вращения тихоходного вала,

С=209 (кН) - базовая радиальная, динамическая грузоподъемность подшипника,

P - эквивалентная радиальная грузоподъемность подшипника:

 

где Ri - радиальная нагрузка, в опорах действующая на подшипник,

V=1 - коэффициент вращения кольца при вращении внутреннего кольца,

X=0.72; Y=1.63- коэффициенты динамической радиальной и осевой нагрузок для первого подшипника,

X=1; Y=0, для второго,

 - коэффициент безопасности при умеренных толчках и вибрационных нагрузках,

 - температурный коэффициент (выбирается в зависимости от рабочей температуры, при t<100˚C).

 

 

Тогда:

 

 

Сравним полученный ресурс с заданным

 

> 15500

Полученный ресурс удовлетворяет требованиям. Следовательно, в ходе эксплуатации редуктора равной 15500 часов, не требуется менять подшипники.

11. ПРОЕКТИРОВАНИЕ ИСПОЛНИТЕЛЬНОГО ОРГАНА

 

11.1 Проектный расчет вала


Диаметр цапф вала в местах установки подшипников рассчитывается из условия прочности на смятие

 

где [τк]=15…30 (МПа) (в формулу подставлено среднее значение).

Полученное значение округлим до стандартного по ГОСТ 6636-69:

 

Входной конец вала, целесообразно спроектировать, коническим.

Для осевой фиксации колес и подшипников вал выполняют ступенчатым. Высоту заплечника выбирают в зависимости от диаметра вала по формуле

 

11.2 Подбор подшипников качения


Ввиду радиальных нагрузок были выбраны радиальные сферические двухрядные шарикоподшипники ГОСТ 28428-90:

Подшипник 1213 исполнение 1000 - с цилиндрическим отверстием внутри кольца. Серия диаметров 2.

Рисунок 14 - Подшипник радиальный сферический, двухрядный.

Таблица 11 - Геометрические характеристики подшипника

Условное обозначение

d, мм

D, мм

B, мм

r, мм

Cr, кН

n

Масса, кг

1213

65

120

23

2,5

31

4

1,15

 

11.3 Подбор шпоночных соединений


Шпонка выбирается из ряда стандартных, по ГОСТ 23360-80

Таблица 12 - Размеры призматических шпонок

Диаметр вала, D

Шпонка

Шпоночный паз


b

h

с или r

Вал t1

Втулка t2

с или r

65

20

12

0.4…0.6

7,5

4.9

0.6…0.4

75

22

14

0.4…0.6

9

5,4

0.6…0.4


Для фиксации звездочки зубчатой цепи на цилиндрическом конце вала:

Шпонка 20×12×70 ГОСТ 23360-80.

Для фиксации барабана исполнительного органа на валу:

Шпонка 22×14×80 ГОСТ 23360-80.

Рисунок 15 - Геометрические параметры шпоночного соединения

11.5 Проверочный расчет шпоночных соединений для вала исполнительного органа


Расчет шпоночного соединения на прочность проводится по напряжениям смятия

Рисунок 19 - Расчетная схема шпоночного соединения

Условие прочности

 

 - допускаемые напряжения на смятие.

Для фиксации звездочки зубчатой цепи на цилиндрическом конце вала:

Шпонка 20×12×70ГОСТ 23360-80.

Т=1081 (Н∙м) - момент на валу;

lp - рабочая длинна шпонки

 

b=20 (мм) - ширина шпонки;

d=65 (мм) - диаметр посадочной части вала;

h=12 (мм) - высота шпонки;

t=7,5 (мм) - глубина паза на валу.

 

 

Условие прочности выполнено, запас прочности обеспечен.

Для фиксации барабана исполнительного органа на валу:

Шпонка 22×14×80 ГОСТ 23360-80.

Т=1081 (Н∙м) - момент на валу;

lp - рабочая длинна шпонки:

 

b=20 (мм) - ширина шпонки;

d=75 (мм) - диаметр посадочной части вала;

h=14 (мм) - высота шпонки;

t=9 (мм) - глубина паза на валу.

 

 

Условие прочности выполнено, запас прочности обеспечен.

 

11.6. Проверочный расчет вала исполнительного органа на статическую прочность по эквивалентному моменту


Fb=4874,2 (H) - сила действующая на валы передачи.

Определим силы, действующие на ветви ленты:

Ft = 6000 (Н) - крутящая сила (задана по т.з.);

 

где F2 = 0.25F1, тогда

Следовательно, сила, действующая на ведущую ветвь:

 

сила, действующая на ведомую ветвь:

 

Тогда, сила, действующая на вал барабана

 

Крутящий момент на валу барабана

 

При построении эпюр от реальной конструкции, переходим к расчетной схеме, заменяя опоры соответствующими им реакциями.

Материал вала Сталь 45 ГОСТ 1050-88:

 

 

Для определения реакции в опорах, составим уравнения равновесия:

Сумма моментов всех сил, относительно первой опоры («А»)

 

 

Сумма моментов всех сил, относительно второй опоры («B»)

 

 

Для проверки составим сумму проекций сил

 

Рисунок 20 - Расчетная схема вала исполнительного органа

Так как опора А наиболее нагружено (изгибающая сила и момент), и очевидно является более опасным чем опора B, поэтому расчет ведет по одному сечению:

Изгибающий момент

 

 

 

 

 

 

где W - осевой момент сопротивления (сечения вала с учетом шпонки),

Wp - полярный момент сопротивления (сечения вала с учетом шпонки),

Из формул показанных выше следует:

 

 

 

 

 

 

 

где Kp=1.5 - коэффициент перегрузки машины.

Фактический коэффициент запаса прочности

 

Условие прочности выполнено, запас прочности обеспечен.

 

11.7 Проверочный расчет вала исполнительного органа на выносливость


Определим запас прочности из условия прочности

 

где  - запас прочности по нормальным напряжениям,

 - запас прочности по касательным напряжениям.

Из данного условия прочности, выразим запас прочности n в чистом виде:

 

где [n]=2…3 - допустимый запас прочности, предшествующий разрушению.

 

 

где  - эффективные коэффициенты концентрации напряжений (коэффициенты берутся с учетом напряжения шпоночного паза в сечении),

 - коэффициент упрочнения материала,

 - масштабный фактор, зависящий от размера (с учетом работы вала в данном сечении),

 - коэффициенты чувствительности материала к асимметрии цикла нагружения,

 

 

 - амплитудные значения,

 - значения цикла.

 

 

 

 

 

 

 

 

Условие прочности выполнено, запас прочности обеспечен.

 

11.8 Проверочный расчет подшипников исполнительного органа на ресурс

Эквивалентная нагрузка на подшипник

 

где Fr - радиальная нагрузка;

Fa - осевая нагрузка;

X, Y - коэффициенты учитывающие радиальную и осевую нагрузки соответственно,

Kб - коэффициент безопасности;

Kт - коэффициент температуры;

V - коэффициент вращения кольца;

Учитывая, что Fa = 0 и X = 1, для радиального подшипника приведенная динамическая нагрузка найдется из равенства

 

где V = 1,

KБ = 1.5,

KТ = 1.

RB = 5512,34 (Н) - сила действующая на второй подшипник вала и.о.

 

Базовая динамическая радиальная грузоподъемность : Сr = 31 (кН)=31000 (Н).

Определяем по уровню надежности и условиям применения расчетный ресурс подшипника

 

где: a1 =1 - коэффициент долговечности, при вероятности безотказной работы 90%;

a23 = 0.6 - коэффициент, характеризующий влияние на долговечность материала подшипника и условий его эксплуатации, для шарикоподшипников сферических двухрядных.

k =3 - показатель степени, для шарикоподшипников сферических двухрядных подшипников.

n =74,6 - частота вращения вала исполнительного органа.

 

Сравниваем с требуемым ресурсом:

,7 ³ 15500.

Полученный ресурс удовлетворяет требованиям, подшипники работоспособны.

Рисунок 21 - Барабан приводный (ИО1)

12. ПРОЕКТИРОВАНИЕ МУФТЫ

 

12.1 Проектирование муфты со звездочкой


Муфта состоит из двух полумуфт 1 и 2 с торцевыми кулачками. Кулачки входят в соответствующие впадины промежуточного элемента - резиновой звездочки 3. Зубья звездочки работают на сжатие. При передаче момента в каждую сторону работает половина зубьев звездочки.

При малых моментах Т<6,3 Н*м число лепестков равно четырем, при больших Т=16…400 шести. Звездочки работают на сжатие, при передаче момента в каждую сторону работает половина зубьев.


Звездочку проверяют по условному давлению по поверхности лепестка и приложения окружной силы по среднему диаметру контакта лепестков звездочки с кулачками полумуфт


Ft - окружная сила на среднем диаметре кулачка, Н;

h - высота зоны контакта кулачка с лепестками звездочки, мм;

l - длина лепестка звездочки, мм; (l=58 мм.)

[p] - допускаемое давление на звездочку [p]=4…7 МПа

Окружная сила

dc - средний диаметр контакта кулачков с лепестками звездочки, мм;

z - число лепестков на одной полумуфте, равное половине лепестков звездочки (z=3)

 и

Введем внутренний диаметр по диаметры вала двигателя D2=38 мм, D1=135 мм тогда h=48,5, dc=86,5

 

Условие прочности выполняется.

12.2 Расчет предохранительной муфты


Материал пар трения: сталь закаленная - асбест.

Допускаемое давление на трущихся поверхностях [p] = 0,25МПа.

Коэффициент трения покоя f0 = 0,3.

Диаметр выходного конца тихоходного вала d = 65мм.

Для расчета муфты вначале зададимся диаметрами дисков. Примем наружный диаметр кольца трения:

 

внутренний диаметр кольца трения

 

Рассчитаем средний диаметр кольца трения

 

Коэффициент запаса сцепления β1 = 1,7.

Число пар z поверхностей трения вычисляется по формуле


Округляем до четного числа z=8.

Число ведущих дисков z1 = z/2 = 4; число ведомых дисков z2 = z1+1 = 5; толщина внутренних дисков S1 = 3мм; толщина внешних дисков S2 = 5мм.

Сила F сжатия дисков равна


Расчет пружины фрикционной полумуфты:

Количество пружин n = 6.

Сила , действующая на одну пружину, определяется по формуле

;


12.3. Расчет пружин предохранительной муфты


Определим параметры пружин из условия прочности

 

где τ - расчетное напряжение в поперечном сечении витка,

F1 - сила, сжимающая пружину;

k - коэффициент, учитывающий влияние кривизны витков и поперечной силы

 

где с - индекс пружины:

 

D0 - средний диаметр пружины,

d - диаметр проволоки

 

Примем c = 6, тогда:

 

Выбираем для пружин стальную углеродистую проволоку II класса по ГОСТ 9389-75 (σ=1400 МПа)

[τ]=0,4σ =0,4∙1400=560 МПа.

Тогда, подставив все известные величины, в одну формулу получим

 

Отсюда следует

 

Рисунок 5 - Пружина сжатия.

Тогда, напряжение в поперечном сечении витка будет равно

 

 

Условие прочности выполнилось, пружина работоспособна.

Рисунок 6 - Характеристика пружины сжатия

Определим величину осадка пружины λ2, учитывая, его увеличение на 3 мм при возрастании силы от F1 до F2.

где F2 = 1.3∙F1 = 1.3∙1263 = 1641 (Н),

 

тогда:

 

Найдем число рабочих витков пружины, выразив из выражения

 

где z - число рабочих витков пружины;

G - модуль сдвига, G=8∙104 МПа;

Тогда выразив z, имеем:

 

Округлив до наибольшего целого значения, получим z = 3.

 

Определим шаг пружины

 

где sp = 0.1d - зазор между витками пружины, тогда

 

Определим высоту при полном сжатии витков

 

Определим высоту свободной пружины

 

Вычислим отношение

 

 

 

Так как, данное условие выполнилось, то проверка пружины на устойчивость не нужна.

Список литературы


1.    В.А. Чурюкин; Ю.К. Яшков. Обозначение конструкторской документации. Учебное пособие. Челябинск 1996г.-61c.

2.      П.П.Сохрин; Е.П.Устиновский; Ю.А.Шевцов. Техническая документация в курсовом проектировании по деталям машин и ПТМ. Учебное пособие. Челябинск 2001г.-67c.

.        Пелипенко И.А., Ю.А.Шевцов; Разработка компоновки редуктора. Учебное пособие. Челябинск 1991г.-41с

.        П.П.Сохрин; В.В.Кулешов. Проктирование валов. Учебное пособие. Челябинск 2000г.-94с.

.        П.П.Сохрин; Е.В.Вайчулис; Е.П.Устиновский и др. Разработка рабочих чертежей деталий передач. Учебное пособие. Челябинск 2000г.

.        О.А.Ряховский; С.С.Иванов. Справочник по муфтам. Ленинград «Политех» 1991г.-384с.

.        Д.Н.Решетов. Детали машин. Москва «Машиностроение» 1989г.-496с

.        Анурьев В.И. Справочник конструктора-машиностроителя: в 3-х т. Т.1, 2, 3. - 8-е изд., перераб. и доп. / Под ред. И.Н. Жестковой - М.: Машиностроение, 2001.-920,901,859с.

9.      П.Ф.Дунаев; О.П. Леликов. Конструирование узлов и деталей машин. Учебное пособие для машиностроительных специальностей вузов 7-е изд., перераб. и доп. Москва Высшая школа 2001г.-447с.

10.    М.Н. Иванов Детали машин: Учебник для машиностроительных специальностей вузов. / М.Н. Иванов, В.А. Финогенов - 7-е изд., перераб. И доп. М.: Высш.шк., 2002.-408с.

11.    Е.П. Устиновский. Проектирование передач зацеплением с применением ЭВМ: Компьютеризованное учебное пособие с программами расчета передач. Челябинск: Изд-во ЮУрГУ, 2005.-192с.

Похожие работы на - Привод цепного конвейера

 

Не нашли материал для своей работы?
Поможем написать уникальную работу
Без плагиата!
Без нейросетей!