Привод цепного конвейера

  • Вид работы:
    Курсовая работа (т)
  • Предмет:
    Другое
  • Язык:
    Русский
    ,
    Формат файла:
    MS Word
    1,32 Мб
  • Опубликовано:
    2013-04-30
Вы можете узнать стоимость помощи в написании студенческой работы.
Помощь в написании работы, которую точно примут!

Привод цепного конвейера

ФГОУ ВПО

Омский Государственный Аграрный Университет

Кафедра: Деталей машин и инженерной графики

Факультет: ТС В АПК

Специальность: 110301






Пояснительная записка

По курсовому проекту «Детали машин»

Задание 2201


Разработала:

студентка факультета технического

сервиса в АПК 32 гр.

Заварухина Н.В.

Принял: Дегтярев А.А.

.



Омск 2010

Содержание

1. Задание

. Кинематический расчет привода

.1 Общий КПД привода

.2 Мощность на валу цепного конвейера

.3 Требуема мощность электродвигателя

.4 Частота вращения вала конвейера

.5 Ориентировочное значение передаточного числа привода

.6 Требуемая частота вращения вала электродвигателя

.7 Выбор электродвигателя

.8 Общее передаточное число привода и отдельных ступеней

. Расчет плоскоременной передачи

.1 Исходные данные

.2 Вращающий момент на ведущем шкиве

.3 Диаметр ведущего шкива

.4 Диаметр ведомого шкива

.5 Передаточное число ременной передачи

.6 Межосевое расстояние

.7 Длина ремня

.8 Угол обхвата малого шкива

.9 Скорость ремня

.10 Окружная сила

.11 Число пробегов

.12 Коэффициент для расчета допустимой нагрузки на 1 мм ширины ремня

.13 Допустимая рабочая нагрузка на 1 мм ширины ремня

.14 Ширина ремня

.15 Предварительное натяжение ремня

.16 Натяжение ведущей ветви

.17 Натяжение ведомой ветви

.18 Напряжение в ведущей ветви

.19 Напряжение изгиба.

.20 Напряжение от центробежной силы

.21 Максимальное напряжение ремня

.22.Рабочий ресурс ремня

.23 Нагрузка на валы

. Расчет зубчатой передачи

.1 Исходные данные

.2 Выбор материала и термообработки

.3 Проектный расчет на контактную выносливость закрытых цилиндрических передач

.3.1 Допускаемые контактные напряжения

.3.2 Межосевое расстояние

.3.3 Основные параметры зубчатой передачи

.3.4 Усилия в зацеплении

.4 Проверочный расчет на контактную выносливость закрытых зубчатых цилиндрических передач

.5 Проверочный расчет цилиндрических зубчатых передач на выносливость при изгибе

.5.1 Допускаемые напряжения изгиба

.5.2 Сравнительная оценка прочности зубьев

.5.3 Расчетное напряжение изгиба

.Цепная передача

.1 Исходные данные

.2 Числа зубьев звездочек

.3 Межосевое расстояние

.4 Расчетная мощность

.5 Скорость цепи

.6 Длина цепи в шагах

.7 Уточнение межосевого расстояния

.8 Диаметры звездочек

.9 Параметры, подтверждающие правильность принятых ранее допущений

. Расчет валов

.1 Расчет ведущего вала

.2 Расчет ведомого вала

. Размеры элементов корпуса и крышки редуктора

.1 Ориентировочные размеры конструктивных элементов корпуса

.2 Конструирование крышек подшипниковых узлов

.Определение реакций в опорах и моментов

.1 Ведущий вал

.2 Ведомый вал

.3 Проверочный расчет ведомого вала на сопротивление усталости

.Выбор подшипников

.1 Ресурс подшипника ведущего вала

.2 Ресурс подшипника ведомого вала

.Шпоночные соединения

.1 Подбор шпонок

.2 Проверка прочности шпоночных соединений

.Подбор смазки

.1 Тип смазки зубчатых колес и подшипников

.2 Выбор сорта масла

.3Уровень масла

Литература

привод вал передача подшипник

1.  Задание


Привод цепного конвейера состоит из электродвигателя серии АИР, плоскоременной передачи, одноступенчатого цилиндрического редуктора с прямозубыми колесами и цепной передачи.

.Кинематический расчет привода

.1 Общий КПД привода

КПД привода ηоб определяется с учетом КПД отдельных звеньев кинематической цепи:

где  - КПД одной пары подшипников качения,;

 - КПД плоскоременной передачи, ;

 - КПД закрытой цилиндрической зубчатой передачи,

 - КПД цепной передачи,.

2.2 Мощность на валу цепного конвейера


2.3 Требуемая мощность электродвигателя

2.4 Частота вращения вала конвейера

где V=0,7м/c;=1,5 кН;- шаг цепи, t- 160мм;- число зубьев звездочки z=13.

.5 Ориентировочное значение передаточного числа привода


где - ориентировочное значение передаточного числа ременной передачи, ;

 - ориентировочное значение передаточного числа редуктора,;

 - ориентировочное значение передаточного числа открытой цепной передачи.


2.6 Требуемая частота вращения вала электродвигателя


2.7 Выбор электродвигателя

По  и  выбираем электродвигатель АИР 100L8

=702 мин-1, .

2.8 Общее передаточное число привода и отдельных ступеней


,

где  - значение передаточного числа ременной передачи;

 - значение передаточного числа редуктора;

 - значение передаточного числа открытой цепной передачи.

По ГОСТ 2185-69 принимаем =5, .



3. Расчет плоскоременной передачи

.1 Исходные данные

Мощность на ведущем шкиве Р1=Рэлтр=1,212 кВт. Частота вращения ведущего шкива n1=nэл=702 мин-1. Передаточное число ременной передачи u1=2.78. Линия центров горизонтальная.

.2 Вращающий момент на ведущем шкиве


3.3 Диаметр ведущего шкива

.

Принимаем d1=160мм.

.4 Диаметр ведомого шкива


Принимаем =450мм.

.5 Передаточное число ременной передачи


Отклонение от заданного


3.6 Межосевое расстояние


3.7 Длина ремня


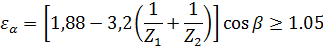
3.8 Угол обхвата малого шкива


3.9 Скорость ремня


3.10 Окружная сила



3.11 Число пробегов


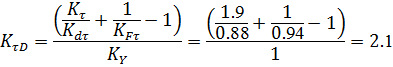
3.12 Коэффициент для расчета допустимой нагрузки на 1 мм ширины ремня

Коэффициент угла обхвата:


Коэффициент, учитывающий влияние скорости ремня:


Коэффициент режима работы:


Коэффициент угла наклона линии центров шкивов к горизонту:


3.13 Допустимая рабочая нагрузка на 1 мм ширины ремня


3.14 Ширина ремня


Принимаем b=63мм.

.15 предварительное натяжение ремня


3.16 Натяжение ведущей ветви


3.17 Натяжение ведомой ветви


.18 Напряжение в ведущей ветви


3.19 Напряжение изгиба


3.20 Напряжение от центробежной силы


3.21 Максимальное напряжение ремня


Условие  выполнено

.22 Рабочий ресурс ремня


3.23 Нагрузка на валы



4. Расчет зубчатой передачи

.1 Исходные данные

Передаточные числа

Частота вращения колеса:


Угловая скорость колеса:


Угловая скорость шестерни:


Мощность на шестерне:


Момент передаваемый шестерней:


Мощность на колесе:

Момент передаваемый колесом:


Ресурс передачи:

.2 Выбор материала и термообработки

- марка стали для изготовления колеса и шестерни 45, термообработка улучшение, твердость для шестерни 280 HB, твердость для колеса 250 HB.

.3 Проектный расчет на контактную выносливость закрытых

цилиндрических передач

4.3.1 Допускаемые контактные напряжения

Допускаемые контактные напряжения определяют отдельно для колеса и шестерни по формуле:


Где  - предел контактной выносливости при базовом числе циклов нагружения, для углеродистой и легированной стали,

для шестерни  

для колеса -  ;

- коэффициент долговечности выбирают по отношению  для шестерни

для колеса - ;

 - базовое число циклов перемены напряжений,

для шестерни-,

для колеса ;

 - эквивалентное число циклов, определяют по формуле

,

для шестерни - ,

для колеса - .

Где ω - угловая скорость, с-1 ;- ресурс передачи, ч, по исходным данным;

 - коэффициент безопасности (запаса прочности), для колес с однородной структурой

Допускаемые контактные напряжения для шестерни:


Для колеса:

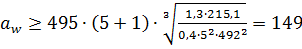
.3.2 Межосевое расстояние

Межосевое расстояние определяется по формуле


Где  - расчетный коэффициент, для прямозубых передач ;- передаточное число;

 - коэффициент неравномерности распределения нагрузки по длине контактной линии, ;

Т2 - вращающий момент на колесе,

 - коэффициент ширины колеса относительно межосевого расстояния. По ГОСТ 2185-66 величину коэффициента выбираем для колес из улучшенных сталей равной 0,4;

 - допускаемое контактное напряжение, для прямозубых передач .

.

Полученное значение  округляем до ближайшего значения по ГОСТ 2185-66. Принимаем

.3.3 Основные параметры зубчатой передачи

) Межосевое расстояние

) Передаточное число u = 5.

) Модуль номинальный mn = (0.01…0.02),

Уточняем величину модуля по ГОСТ 9563-60. Принимаем mn = 2,75.

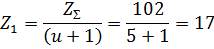
) Число зубьев суммарное

) Число зубьев шестерни


6) Число зубьев колеса Z2 =ZΣ -Z1= 102-17=85.

) Фактическое передаточное число uф = Z2/ Z1=85/17=5

) Отклонение передаточного числа

.

) Делительные диаметры

шестерни

колеса

) Начальные диаметры. У некорригированных зубчатых колес совпадают с делительными, т.е.

) Высота зуба ,

высота головки зуба ,

высота зуба ножки .

) Диаметр впадин

шестерни ,

колеса

) Диаметр впадин

шестерни

колеса

) Диаметр основной окружности

шестерни ,

колеса

) Постоянная хорда зуба

) Высота постоянной хорды

) Ширина

колеса

шестерни .

Значения b1 и b2 округляются в соответствии с нормальными размерами по ГОСТ 6636-69: b1=60, b2=55.

.3.4 Усилия в зацеплении

 - окружная сила,

 - радиальная сила,

 

.4 Проверочный расчет на контактную выносливость закрытых

зубчатых цилиндрических передач

Расчетные контактные напряжения определяются по формуле:


где  - коэффициент, учитывающий механические свойства материалов сопряженных колес, для пары стальных колес

;

 - коэффициент, учитывающий суммарную длину контактных линий, для прямозубых колес ;

 - коэффициент торцового перекрытия:

;

 - коэффициент, учитывающий форму сопряженных поверхностей зубьев: ;

 - вращающий момент на шестерне;

 - коэффициент нагрузки:


где  - коэффициент, учитывающий неравномерность распределения нагрузки по длине зуба, ;

 - коэффициент, учитывающий динамичность нагрузки.

Окружная скорость вращения колес,


Степень точности -9.


 - коэффициент, учитывающий распределение нагрузки между зубьями, для прямозубых передач ;


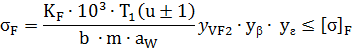
4.5 Проверочный расчет цилиндрических зубчатых передач на выносливость при изгибе

.5.1 Допускаемые напряжения изгиба

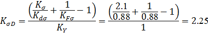
Допускаемые напряжения изгиба определяют отдельно для колеса и шестерни по формуле:

,

где  - предел выносливости зубьев при изгибе,

для шестерни  , для колеса ;

 - коэффициент запаса прочности,

 - коэффициент долговечности,

- показатель степени,

 - базовое число циклов напряжений, ;

 - эквивалентное число циклов напряжений

Для шестерни


Для колеса


 - коэффициент, учитывающий шероховатость переходной поверхности, ;

 - коэффициент, учитывающий влияние двухстороннего приложения нагрузки. для улучшенных сталей

Для шестерни

Для колеса

.5.2 Сравнительная оценка прочности зубьев

Сравнительная оценка прочности зубьев производится по допускаемым напряжениям изгиба с учетом формы зубьев передачи.

Для шестерни


Для колеса


где  - коэффициенты, учитывающие форму зуба шестерни и колеса, принимают в зависимости от эквивалентного числа зубьев

Эквивалентное число зубьев шестерни:


для колеса


4.5.3 Расчетное напряжение изгиба


где- принимается наименьшая из рассчитанных величин.

 - коэффициент, учитывающий угол наклона зуба, для прямозубых колес =1.

 - коэффициент, учитывающий перекрытия зубьев, =1 при степени точности 9.

 - коэффициент нагрузки.

,

 - коэффициент, учитывающий распределение нагрузки между зубьями, для прямозубых передач  



5.Цепная передача

.1 Исходные данные

Мощность на ведущей звездочке


Частота вращения ведущей звездочки


Принимаем

Передаточное число u = 2,5

Условия работы: нагрузка равномерная или близкая к ней, расположение линии центров передачи под углом менее 600 к горизонту, регулируется передвижением оси малой звездочки, работает в одну смену в запыленном помещении, цепь роликовая.

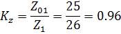
.2Числа зубьев звездочек

Назначаем число зубьев ведущей звездочки в зависимости от передаточного числа и определяем число зубьев ведомой звездочки .



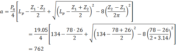
5.3 Межосевое расстояние

Назначаем межосевое расстояние

где  - шаг цепи.

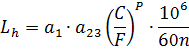
.4 Расчетная мощность


где  - мощность на ведущей звездочке;

 - коэффициент эксплуатации


 - коэффициент динамической нагрузки, ;

 - коэффициент межосевого расстояния и длины цепи, ;

 - коэффициент наклона передачи к горизонту, ;

 - коэффициент способа регулировки натяжения цепи, ;

 - коэффициент смазки и загрязнения передачи, ;

 - коэффициент режима или продолжительности работы передачи в течение суток .

 - коэффициент числа зубьев


 - коэффициент частоты вращения

Принимаем коэффициент числа рядов, учитывающий неравномерность нагрузки по рядам цепи, К ряд = 1, назначаем однорядную цепь с шагом =19,05.


5.5. Скорость цепи


Назначаем качество смазки - II удовлетворительная, густая внутришарнирная.

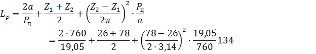
.6 Длина цепи в шагах


5.7 Уточнение межосевого расстояния

∆a=0.003a≈2

5.8 Диаметры звездочек


5.9 Параметры, подтверждающие правильность принятых ранее допущений

Окружная сила:

Натяжение от центробежных сил:

Сила предварительного натяжения:


Возможность резонансных колебаний цепи

Резонанса нет.

6. Расчет валов

.1 Расчет ведущего вала

Диаметр выходного конца вала


где Т - вращающий момент на рассматриваемом валу, ;

- пониженное допускаемое напряжение на кручение Н/мм2 для валов из стали 45 =15…28 Н/мм2.


d=dэл=26

Концевой участок вала по форме принимаем цилиндрическим.

Участок под подшипник = d+2t=26+2*2=30мм

принимаем d3=30мм

Участок вала под шестерню принимаем d4=36мм, шестерня вместе с валом.

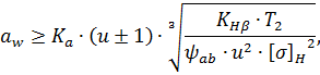
.2 Расчет ведомого вала

Диаметр выходного конца вала


Принимаем d = 30мм

Участок под подшипник

= d+2t=30+2*2,5=35мм

Диаметр буртика

= d2+3,2r=35+3,2*2=41,1мм

Принимаем d3 = 42мм

Участок вала под колесо принимаем d4=36мм

7. Размеры элементов корпуса и крышки редуктора

.1 Ориентировочные размеры конструктивных элементов корпуса

Корпус выполнен с внешним расположением подшипниковых бобышек.

Толщина стенки корпуса и крышки редуктора: во всех случаях

δ ≥ 8; δ1 ≥ 8


Принимаем

Толщина верхнего пояса (фланца) корпуса


Толщина нижнего пояса (фланца) крышки


Толщина нижнего пояса корпуса с наличием бобышки


Толщина основания корпуса


Диаметр фундаментальных болтов


Принимаем

Диаметр болтов у подшипников


Принимаем

Диаметр болтов, соединяющих корпус с крышкой


Принимаем ;

Размеры, определяющие положение болтов  


7.2 Конструирование крышек подшипниковых узлов

Диаметр болтов

Количество болтов

Диаметр установки болтов

Наружный диаметр фланца

Диаметр отверстий  для нормальной точности

Толщина фланца крышки h1=d4=8мм

Толщина крышки δ2=6мм

Толщина цилиндрической части крышки δ3=h1=8мм

Толщина цилиндрической части крышки, контактирующая с подшипником=57da=35мм, а =2мм.

Размеры подточек b=3мм, d1=30-0.5=29.5мм, D2=D+0.5=62.5мм=1, R2=0,5.

Длина цилиндрической части b1=2*3=6мм.

8.Определение реакций в опорах и моментов

.1 Ведущий вал






Горизонтальная плоскость:



Вертикальная плоскость



Напряжение в материале вращающихся валов

8.2 Ведомый вал

Горизонтальная плоскость



Вертикальная плоскость



Напряжение в материале вращающихся валов

.3 Проверочный расчет ведомого вала на сопротивление усталости

Общий коэффициент запаса прочности:


где - пределы выносливости стали при симметричном цикле соответственно изгиба и кручения


где - амплитуды циклов напряжений при изгибе и кручении

где -коэффициенты концентрации напряжений в расчетном опасном сечении при изгибе и кручении.




9.Выбор подшипников

Для ведущего вала выбираем 206 подшипник =62, d=30, b=16

Для ведомого вала выбираем 207 подшипник=72, d=35, b=17

.1 Ресурс подшипника ведущего вала (206)

Р=3


.2 Ресурс подшипника ведомого вала

. Шпоночные соединения

.1 Подбор шпонок

Для ведущего вала =26, b=8, h=7, t1=4, t2=3.3, фаски 0,16…0,25

Для ведомого вала =30, b=10, h=8, t1=5, t2=3.3, фаски 0,25…0,40=36, b=10, h=8, t1=5, t2=3.3, фаски 0,25…0,40

.2.Проверка прочности шпоночных соединений

Материал шпонок 45 сталь, нормализованная

Напряжение смятия и условие прочности:


Ведущий вал


Ведомый вал



11.Подбор смазки

.1 Тип смазки зубчатых колес и подшипников


Картерное смазывание осуществляется окунанием зубчатых колес в масло, заливаемое внутрь корпуса. Это смазывание применяют при окружных скоростях в зацеплении зубчатых передач до V≤12м/с

Подшипник смазывается разбрызгиванием т.к. V>1 м/с.

.2 Выбор сорта масла

Смазывание зубчатого зацепления производится окунанием зубчатого колеса в масло, заливаемое внутрь корпуса до уровня, обеспечивающего погружение колеса примерно на 10 мм. Объем масляной ванны определяется из расчета 0,25 дм3 масла на 1 кВт передаваемой мощности V=0.25*1.14=0.285 дм3.

При контактных напряжениях σн = 492 Н/мм2 и скорость 1,26м/c рекомендуемая вязкость масла должна быть равна примерно 34*10-6м2/c принимаем масло индустриальное И -30А (по ГОСТ 20799-75)

Подшипники смазываются разбрызгиванием масла индустриального И-30А.

.3Уровень масла


Высота масляной ванны

Для наблюдения за уровнем масла в корпусе устанавливают пробки с конической резьбой, маслоуказатели крановые, маслоуказатели жезловые (щупы), маслоуказатели круглые и удлиненные из прозрачного материала.

При длительной работе в связи с нагревом воздуха повышается давление внутри корпуса. При интенсивном тепловыделении это приводит к просачиванию масла через уплотнения и стычки. Чтобы избежать этого, внутреннюю полость корпуса сообщают с внешней средой путем установки отдушин в его верхних точках.

Литература

Детали машин: учебник для машиностроительных специальностей вузов/ М.Н. Иванов, В.А. Финогенов - 7-е изд., перераб. и доп. - М:. Высш. Шк., 2002 - 408с.: ил.

Курсовое проектирование по деталям машин и основам конструирования: учеб. Пособие /А.А. Дегтярев, Г.В. Редреев.- Омск: Изд-во ФГОУ ВПО ОмГАУ, 2008. - 176с. : ил.

Детали машин. Проектирование: Справочное учебно-методическое пособие /Л.В. Курмаз, А.Т. Скойбеда. - М:. Высш. Шк., 2004-309 с.: ил.

Похожие работы на - Привод цепного конвейера

 

Не нашли материал для своей работы?
Поможем написать уникальную работу
Без плагиата!
Без нейросетей!