|
|
1. неподвижная плита 2. прижимная плита 3. опора 4. верхняя
направляющая 5. нижняя направляющая 6. направляющий ролик 7. стяжная шпилька
8. крепежный болт 9. резиновая втулка 10. уплотнение 11. теплообменные
пластины
|
Преимущества и недостатки пластинчатых теплообменников:
Давление и температура водяного пара в разборных
пластинчатых теплообменниках ограничиваются материалами прокладок. Прокладки из
материала EPDM выдерживают до 160°С (давление насыщенного пара до 5 бари),
материала Viton - до 190°С (давление до 11 бари). Существуют графики
зависимости времени работы прокладок от рабочей температуры в теплообменнике -
чем ближе она к максимальной, тем меньше срок службы прокладок. Кроме того,
материал прокладок накладывает ограничения на применение рабочих сред, таких
как кислоты, щелочи и пр. Паянные пластинчатые теплообменники используются при
давлении до 40 бари и температуре до 350°С. Сварные - при давлении 70 бари и
температуре до 540°С. Все пластинчатые теплообменники характеризуются высокими
коэффициентами теплопередачи, и как следствие, малыми габаритами, меньшей
ценой, высокой ремонтопригодностью, более быстрым выходом на режим при более
точном регулировании. При постоянных нагрузках их конструкция позволяет
осуществлять достаточно точное регулирование по конденсату. Кроме того, высокие
скорости теплоносителей, как утверждают производители, способствуют меньшему
накипеобразованию, и, как следствие, увеличению межсервисного интервала. Если
требуется, площадь теплообмена пластинчатого теплообменника можно легко увеличить
или уменьшить путём оснащения дополнительными пластинами или, наоборот,
демонтажем части пластин. Следует отметить, что максимальная эффективность
достигается на теплообменниках, имеющих пластины со специальным профилем,
разработанным для применения на паре.[6]
Удобство в эксплуатации:
- простота монтажа, использования и ремонта;
легкоизменяемая мощность теплообменника путем
установки дополнительного количества пластин;
минимальное загрязнение поверхностей благодаря высокой
скорости и турбулизации потока;
экономия площадей и денежных средств из-за небольшого
веса и габаритных размеров;
исключение возможности смешения жидкостей, благодаря
специфической конфигурации уплотнения;
.2.3 Классификация пластинчатых теплообменников по схеме движения
теплоносителей
I. Одноходовой пластинчатый теплообменник
Пластинчатый теплообменник, в котором направление движения
каждого из теплоносителей постоянно и не меняется по всей длине теплообменника,
называется одноходовыми. Например, в классическом пластинчатом
теплообменнике-испарителе кипящий фреон всегда движется по межпластинчатым
каналам вверх. В классическом пластинчатом теплообменнике-конденсаторе
конденсирующийся фреон всегда движется вниз. Соответственно теплоноситель (вода,
рассол, гликоль и т.д.) в данных двух случаях всегда движется в направлении,
противоположном направлению движения фреона.
Таким образом, главной отличительной особенностью
одноходового пластинчатого теплообменника является 100%-ный противоток теплоносителей.
В случаях, когда разница температур двух теплоносителей достаточно мала
целесообразно применить многоходовой пластинчатый теплообменник.
II. Многоходовой пластинчатый теплообменник
Многоходовой пластинчатый теплообменник
применяется в случаях, когда необходимо достичь небольшой разницы температур
между теплоносителями. В таком теплообменнике патрубки располагаются как на
передней неподвижной так и на нажимной торцевой плите. В многоходовом
пластинчатом теплообменнике потоки меняют направление в одном или нескольких
ходах. Это может привести к следующим явлениям.
Конденсатор, как правило, может работать с нагрузкой
от 100 % до 0 %. Однако в случае восходящего потока это не так в связи с
возможностью затопления конденсатора. В результате при малых нагрузках поток
будет неустойчивым, что, в свою очередь, приведет к проблемам в управлении.
Поэтому конденсатор должен быть спроектирован так, чтобы поток в последнем ходе
был направлен вниз, по крайней мере, если конденсатор должен работать при очень
низкой нагрузке по сравнению с расчетной.
Испаритель не может работать нормально при нагрузке
намного ниже номинальной из-за затопления каналов и задержки масла.
Следовательно, нисходящий поток мог бы исправить этот недостаток. Однако
возникает другая опасность, заключающаяся в разделении фаз при низкой скорости
потока - жидкость будет проходить через первые каналы, а пар - через последний.
Чтобы уменьшить эту опасность, в первом ходе, где
поток имеет самую низкую скорость, он должен двигаться вверх. Такая схема теплообменников
очень хорошо подходит для реверсивных чиллеров. Поток хладагента меняет свое
направление при реверсировании, когда кондиционер превращается в испаритель, и
вышеупомянутое требование выполняется в обоих случаях.
Рассмотрим рисунок 8:
Рисунок
8
На рисунке 8 показана только одна сторона. Другая
сторона является симметричным отражением относительно горизонтальной оси, т.е.
имеет такие же газовыпускные и сливные отверстия. Число проходов не обязательно
должно быть одинаковым на обеих сторонах.
А, Б. Газовыпускными и сливными отверстиями служат
обычные соединительные патрубки.
В, Г. Для каждой стороны на передней или задней плите
необходимо установить дополнительный газовыпускной или сливной патрубок.
Д, Е. Для каждой стороны на передней и задней плитах
необходимо установить дополнительный газовыпускной и дополнительный сливной
патрубок.
Ж, З. На одной из секций невозможно установить
газовыпускной или сливной патрубок при любом расположении патрубков.
И, К. На одной из секций невозможно установить
газовыпускной и сливной патрубки при любом расположении патрубков.
На рисунке 9 представлен теплообменник, двухходовой по
воде и одноходовой по хладагенту.
Такая многоходовая схема имеет
следующие основные свойства:
· Допускается только один входной и
один выходной патрубки.
· Стороны независимы. Можно иметь
разное число ходов на каждой стороне, но не все варианты являются разумными.
· Общее количество водных каналов на
один больше, чем каналов хладагента, т.е. каждый канал хладагента окружен
водными каналами.
· В исключительных случаях - обычно,
при малом перепаде температур между средами - каждый ход отделяется от соседних
пустым холодильным каналом. В этом случае водных каналов больше, чем
холодильных, на число ходов.
· В случае несимметричной группировки
каналов - неравного числа ходов на сторонах теплообменника - в одних группах
каналов теплоносители будут двигаться в противотоке, в других группах в
прямотоке, независимо от расположения входных патрубков.
· В случае симметричной группировки
каналов - равного числа ходов на сторонах теплообменника - в каждом ходе будет
пластина с противотоком в соседних каналах. Это может создать проблемы, если на
ход приходится малое количество каналов при условии малого перепада температур.
· Соединение соседних ходов имеет либо
форму буквы U, либо перевернутой буквы U. Это означает, что при останове
системы в нижней части U-образных секций может остаться жидкость, а при пуске в
верхней части перевернутых U-образных секций может остаться газ.
Чтобы полностью выпустить газ или слить жидкость из
такого ППТО, необходимы дополнительные выпускные отверстия. Возможные варианты
их расположения приведены на рис. 8. Поскольку теплообменники с более чем тремя
ходами практически не применяются в холодильной технике, то проблем с выпуском
газа и сливом жидкости не возникает. В нормальном режиме работы для
предотвращения образования газовых пузырей необходимо, чтобы перепад давлений в
каждом ходе был не меньше гидростатического давления, определяемого перепадом
высот.
Применение многоходовых ППТО обусловлено, в основном,
следующими причинами:
· Положение патрубков. Двухходовая
схема дает возможность расположить патрубки на одной линии с трубами для
теплоносителей.
· Меры борьбы с замерзанием или
загрязнением.
· Обеспечение режимов с большой
термической длиной.
· Более полное использование доступного
перепада давлений
III. Многоконтурный пластинчатый теплообменник
Во многих приложениях возникает необходимость в двух
независимых контурах на одной из сторон. В основном это происходит в следующих
двух случаях:
а) Среда должна быть нагрета или охлаждена в два
этапа, причем на каждом этапе на второй стороне используются разные среды.
Одним из примеров такого применения может быть переохладитель/перегреватель
пара и испаритель. В этом случае один двухконтурный пластинчатый
теплообменник может заменить два отдельных теплообменника. Хладагент
испаряется в испарительной секции, затем поступает в секцию перегревателя
пара/переохладителя.
Другой пример - это охладитель перегретого
пара/конденсатор. В секции охладителя перегретый пар отдает в контур
водопроводной воды явную теплоту, а в секции конденсации пар конденсируется с
помощью охлаждающей воды.
б) В целях регулирования тепловой мощности, особенно в
случае испарителя, контур хладагента разделяется на два номинально одинаковых
контура. При полной нагрузке работают оба контура, при низкой нагрузке один
контур отключен.[3]
1.2.4 Типы теплообменников
Возможно несколько конструкций пластинчатых
теплообменников с двухконтурной схемой одной из сторон: три для ПТО любого
типа, одна для ПТО специального типа.
) Обычный двухконтурный одноходовой пластинчатый
теплообменник (рисунок 7).
) Обычный двухконтурный двухходовой. На рисунке
8 показан пластин-чатый теплообменник с двумя контурами теплоносителя по
стороне 1 и двухходовым контуром по стороне 2.
) Пластинчатый теплообменник со
сдвоенными контурами
I. Обычный пластинчатый теплообменник с
одноходовым контуром
Это обычный пластинчатый теплообменник, в
котором соединительные патрубки одной из сторон расположены как на передней,
так и на задней плитах. Перекрыв проходные отверстия хотя бы на одной из
пластин, разделим эту сторону на два независимых контура. Для такого разделения
можно использовать любую пластину, но чаще всего встречаются разбиения 50/50 и
33/67. Другая сторона остается одноходовой, часть среды на этой стороне
контактирует с первым из контуров противоположной стороны, а другая часть - со
вторым контуром.
В случае испарителя с двумя контурами хладагента такая
конструкция чревата опасностью замерзания воды.
Когда один контур отключен, вода проходит через эту
секцию, не охлаждаясь. Вода на выходе из теплообменника представляет собой
смесь охлажденной и неохлажденной воды. Если температура такой водной смеси
используется потом для управления, например, регулирующим клапаном,
низкотемпературным реле и т.п., это может привести к тому, что температура
охлажденной воды опустится ниже нуля, т.е. ниже точки замерзания, хотя
температура смеси будет выше нуля.
Отсюда следует, что такие методы управления тепловой
мощностью допустимы только в системах, где одновременно работают все контуры.
Одним из примеров является термосифонный испаритель, в котором хладагент
проходит по одноконтурной стороне и охлаждает два жидкостных контура. Даже если
один из жидкостных контуров будет отключен, то оставшийся контур будет работать
без проблем.
II. Обычный пластинчатый теплообменник с
двухходовым контуром
Эта конструкция, широко используется в обоих
применениях а) и б), указанных выше. Как и в предыдущем случае, соединительные
патрубки одной из сторон расположены и на передней, и на задней плитах.
Установив хотя бы одну пластину без проходных отверстий на этой стороне, можно
создать два контура. Каналы на другой стороне соединены по двухходовой схеме,
так что каждый ход соответствует одному контуру противоположной стороны.
· В аппарате может быть не более двух
независимых контуров.
· Два контура/хода необязательно должны
иметь одинаковое число каналов.
· Каждый из двух контуровдолжен быть
одноходовым, с од" ним входом и одним выходом.
· Стороны не зависят друг от друга.
Тепловые характеристики для теплообменника типа а)
определяются просто. В сущности, это два теплообменника, таких, что выход
одного теплообменника непосредственно соединен с входом второго. Поэтому такой
теплообменник рассчитывается как два отдельных теплообменника (одной модели).
Применение теплообменника типа б) нуждается в некоторых пояснениях. Такой
теплообменник используется, в основном, как испаритель, в котором управление тепловой
мощностью производится отключением одного или другого контура хладагента. На
водной стороне имеется два хода, а каждый контур хладагента является
одноходовым.
Такая конфигурация означает, что вода движется в
противотоке с одним из контуров и в прямотоке с другим. Следовательно, тепловые
мощности контуров не равны друг другу. Это необязательно является недостатком,
поскольку такая схема вместо двух дает три уровня тепловой мощности (открыт
контур 1, открыт контур 2, открыты оба контура).
Вся вода, в отличие от предыдущей конструкции, всегда
проходит через активный контур, независимо от того, какой из них открыт. Это
очень важно для испарителей, поскольку снижает опасность замерзания.
Теплообменник такой конструкции работает хорошо, однако у него есть один очень
серьезный недостаток. Падение давления на водной стороне обычно очень велико,
поэтому немного моделей таких пластинчатых теплообменников находят
применение.[4]
. Использование теплообменников в молочной
промышленности
2.1 Использование пластинчатого теплообменника в молочной
промышленности
Молоко является важнейшим пищевым продуктом, обладающим
иммунологическими и бактерицидными свойствами. При переработке молока важную
роль играют теплообменные процессы на различных технологических стадиях. [5]
Для увеличения срока хранения молочные продукты подвергаются
пастеризации. Для этого молоко выдерживают определённое время при высоких
температурах (пастеризуют).
Кроме того, пастеризованное молоко или сливки применяются при
производстве производных молочных продуктов (творога, масла, сметаны и т. д.).
Важной составляющей любого пастеризатора является теплообменник. Разборные
пластинчатые теплообменники ГЕА Машимпэкс серии Varitherm сочетают в себе
компактность установки, высокие эксплуатационные и гигиенические требования,
необходимые для применения на предприятиях молочной промышленности.
Помимо пастеризации при переработке молока или молочных продуктов широко
используются разборные пластинчатые теплообменники для нагрева или охлаждения
продуктов на различных технологических стадиях. В некоторых случаях продукт
имеет более высокую вязкость, отличную от молока. Для его термообработки
необходимы теплообменники с большей шириной каналов. В разборных пластинчатых
теплообменниках ГЕА Машимпэкс серии Free Flow зазор между пластинами по стороне
продукта может достигать 12 мм. Теплообменники ГЕА Машимпэкс используются для
деликатной обработки молока, сливок, сыворотки, йогурта, десертов, смесей для
мороженного, сгущенного молока, кефира, сливочного масла, молочных
концентратов, детского питания и многих других молочных продуктов.
Исполнение рам теплообменников из нержавеющей стали - жёсткое требование,
предъявляемое к оборудованию для молочной промышленности. Компания "ГЕА
Машимпэкс" предлагает исполнение рам теплообменников как из нержавеющей
стали, так и рамы с покрытием из нержавеющей стали AISI 304 (плакированная
рама). Кроме того, рамы теплообменников для предприятий молочной промышленности
изготавливаются на регулируемых по высоте опорах. [5]
2.2 Технологическая схема пастеризации молока
Рисунок
12
· Установка состоит из пластинчатого аппарата, в который входит
станина (6), нажимная плита (8), набор пластин (7), двух горизонтальных штанг,
зажимных устройств, поддерживающей и распорной стоек, узла регулировки и
контроля.
· Пластины аппарата изготовляются из тонколистовой нержавеющей
стали.
· Каждая пластина, за исключением крайних, снабжена
уплотнительной прокладкой. Пластины аппарата в рабочем состоянии должны быть
сжаты между станиной и нажимной плитой. Требуемая степень сжатия пластин при
новых уплотнительных прокладках определяется совпадением нулевой отметки на
шкале с риской, нанесенной на распорной стойке, соединяющей штанги.
· Установка работает по принципу косвенного теплообмена между
двумя средами (нагреваемый продукт и теплоноситель) отделенными друг от друга
теплопередающими пластинами.
· Молоко, проходящее через пластинчатый аппарат, предварительно
нагревается горячей водой в первой секции и окончательно высокотемпературным
теплоносителем (горячая вода) во второй секции
· Узор регулятора теплоносителя состоит из регулирующего
клапана (2) с исполнительным механизмом и запорного муфтового вентиля (1),
соединенного между собой трубопроводом, на котором установлен показывающий
манометр (3) с трехходовым краном.
· Блок управления (5) регулирует температуру охлаждаемого
продукта (по сигнализации манометрического термометра (4) в ручном и
автоматеческом режимах.
3. Методика проектного расчета пластинчатого теплообмена
Объемная производительность: Vч = 6000
Температура пастеризации молока: t2 = 750C
Начальная температура молока: t1 = 140С
Начальная температура горячей воды: tr’ = 940C
Конечная температура горячей воды: tr” = 180C
Кратность объема горячей воды: n = 6
Давление молока на входе в пастеризатор: p1 =0.15 МПа
Давление молока на выходе из пастеризатора: p2 = 0.10 МПа
Применяемые пластины «ПР-0,2». Материал сталь Х18Н10Т
3.1 Тепловой расчет
1. Средняя температура воды
2. При
по таблице Приложения №2 находим для воды, следующие
теплофизические свойства:
· Плотность: p = 985,6 кг/м3
· Удельная теплоемкость: c = 4,203 Дж/кг
град.
· Теплопроводность
Вт/м
град.
· Коэффициент кинематической вязкости
· Коэффициент динамической вязкости
· Критерии Прандтля
. Средняя температура молока:
4. При
по таблице Приложения №2 находим для воды, следующие
теплофизические свойства:
· Плотность: p = 1018,8
кг/м3
· Удельная теплоемкость: c = 9,918 Дж/кг
град.
· Теплопроводность
Вт/м
град.
· Коэффициент кинематической вязкости
· Коэффициент динамической вязкости
· Критерии Прандтля
. Для пластин «ПР-0,2» из стали Х18Н10Т находим следующие
технические данные:
Ø поверхность теплопередачи одной пластины F1 = 0,2 м2;
Ø эквивалентный диаметр межпластинного
канала dэ = 7,5 мм;
Ø площадь поперечного сечения одного
канала f = 0,0016 м2;
Ø длина канала, привиденная Ln = 0,44 м;
Ø диаметр углового отверстия Dy = 100 мм;
Ø толщина пластины
Ø коэффициент теплопроводности стали
Вт/м
град.
. Определяем тепловую нагрузку пастеризатора:
. Рассчитываем необходимый массовый расход горячей воды:
8. Объемный расход горячей воды:
9. Вычисляем средний температурный напор между горячей
водой и молоком при приямотоке:
§ большая разность температур:
§ меньшая разность температур
10. Средняя скорость молока в межпластинном канале:
11. Критерий Рейнольдса для потока молока:
12. Определяем коэффициент гидравлического сопротивления:
. Критерий Пратандтля при средней температуре молока опред. :
Средняя температура стенки:
При температуре критерии Пратандтля в пристеночном слое по табл.
14. Уравнение Нуссельта
15. Коэффициент теплоотдачи:
. Средняя скорость воды в межпластинном канале:
17. Критерий Рейнольдса для потока воды:
18.
19. Определяем коэффициент гидравлического сопротивления:
. Критерий Пратандтля при средней температуре воды опред. :
Критерий Пратандтля для воды в пристеночном слое при
по табл.
. Для данного типа пластин при движений воды в диапазоне чисел
Рейнольдса: 50<Re<20000
критериальное уравнение Нуссельта по аналогии имеет вид:
. Коэффициент теплоотдачи:
. Термическое сопротивление загрязнения R1 на стенке со стороны молока:
24. Термическое сопротивление стенки R2 из стали марки Х18Н10Т при ее тольщине
. Термическое сопротивление загрязнения со стороны воды R3:
. Коэффициент теплопередачи:
27. Рассчитываем общую поверхность теплопередачи аппарата:
Принимаем стандартную поверхность: F = 25 м2
3.2 Компоновочный расчёт
1.Расчитываем число каналов в пакетах секций пастеризаций (m)
Габаритные размеры пластины ПР-0,2:Е=650 мм, b=650 мм,h=3,8 мм
Где Н-
распологаемый напор молока, м:
Подставляем численные значения и получаем m=2,1
Принимаем m=2,0
.Скорость потока молока
:
3.Число Рейнольдса для потока молока
=
=
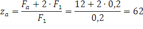
4.Число пластин в секций (z):
Z=
=
b=
5.Число пакетов в секций (i):
I=
Принимаем i=7.
.Число пластин в аппарате
Принимаем
Схема компоновки:
8.Скорость потока воды (
):
(
9.Число Рейнольдса для потока воды (
10.В связи с изменениями значений
необходимо выполнить перерасчет
коэффициентов теплоотдачи
коэффициента теплопередачи. К поверхности теплопередачи F (методика последовательных
приблежений) Определяем коэфициент теплоотдачи
со стороны молока:
Определяем коэффициент теплоотдачи
со стороны горячей воды:

11.Далее пересчитываем общую поверхность теплопередачи
аппарата (F)
Принимаем ближайшую стандартную поверхность F=28
12.Пересчитывеам число каналов в пакетах секций пастеризаций (m):
Где габаритные размеры пластины ПР-0,2:
=3,8 мм.
Подставляем численные значения и получаем
Принимаем
При
параметры
будут в точности равны их значениям, полученным в пунктах
2-9.
.Корректируем число пластин в секций (z):
Принимаем
14.Пересчитываем число пакетов в секций (i):
Принимаем
15.Уточняем число пластин в аппарате (
Принимаем
16.Окончательно принимаем схему компоновки
3.3 Гидравлический расчет
1. Из предыдущего расчета фактические скорости движения:
воды w1=0,26 м/с
молока w2=0,3м/с
Числа Рейнольдса :
для потока воды Re1=3786
для потока молока Re2=2446
2. Вычисляем коэффициенты общего гидравлического сопротивления единицы
относительной длины канала для обеих сред :
- для воды :
Е1= 22,4/ Re0,25= 22,4/ 37860,25= 2,855
-для молока:
E2=22,4/Re0,25=22,4/24460,25=3,1852
. Рассчитываем гидравлические сопротивления пакетов выраженные в
потерях давления:
для воды:
1=E1*ln/dэ*p1*w12/2*m
1=2,855*0,44/0,0075*985,6*0,262/2*2=11159,5Па=11,2
кПа
для молока:
2=
E2*ln/dэ*p2*w22/2*m
2=3,2*0,44/0,0075*1018,8*0,32/2*2=17,2кПа
. Проверяем скорости движения воды и молока в штуцерах при площади
проходного сечения штуцера DШТ=100мм и fD=0,0082м2
w1= Vc1/fD= 0,0015/0,0082=0,14м/с
w2= Vc1/fD= 0,00139/0,0082=0,17м/с
3. Потери давления в штуцерах для потоков воды (
1ш) и молока (
2ш) составят:
1ш= Е1ш*w12/2*p1= 1,5*0,142/2*985,6=14,5Па
2ш= Е2ш*w22/2*p2=1,5*0,172/2*1018,8=22,1Па
4. Потеря давления из прочих сопротивления, в том числе на входе и
выходе из теплообменника, определяем укрупнено для потоков воды
3) и молока
4):
3= E3*w12/2*p1=6*0,262/2*985,6=199,8Па
2ш= Е2ш*w22/2*p2=8*0,32/2*1018,8=366,8Па
5. Общее гидравлическое сопротивление для тракта движения воды:
4=
1+
1ш+
3= 11159,5+14,5+199,8=11374Па
6. Общее гидравлическое сопротивление для тракта движения молока:
м=
2+
2ш+
4= 17214+22,1+366,8=17603Па
7. Рассчитываем мощность, необходимую для преодоления гидравлических
сопротивлений при прокачивании воды теплообменнипк:
N1=
1*Vc1/
= 11374*0,00115/0,7=19Вт
8. Рассчитываем мощность, необходимую для преодоления гидравлических
сопротивлений при прокачивании молока теплообменник:
N2=
2*Vc2/
=17603*0,00139/0,7=40Вт
.4 Экономический расчет
Целью расчета является определение основных затрат на установку и
эксплуатацию пластинчатого пастеризатора.
. Стоимость производственной площади, занимаемой пастеризатором
Спл=l*b*cпл
Спл=0,65*0,65*15000=6337,5тнг/год
. Стоимость амортизации и ремонта установки
Са=са*а*F
Cа=12000*,02*25=60.000тнг/год
. Стоимость электроэнергии годовая
Сэл=сэл*N*Ө*z0
. Стоимость теплоэнергии годовая
Ст=ст*Q*Ө*z0
Cт=2400*(162,5/4,2*106)*3600*14*280=1310400тнг/год
. Стоимость теплоизоляции включающая доставку, наложение,
обслуживание
Сиз=сиз*(1+аиз)*Fиз
Сиз=3000*(1+,03)*2,882*,0045=505,8=506тнг/год
. Суммарная годовая стоимость эксплуатации и ремонта установки
С=Спл+Са+Сэл+Ст+Сиз=45000+6000+11290+1,310400+506=1328241тнг
Заключение
В данной курсовой работе были рассмотрены основные теплообменные процессы
и виды теплообменников, в частности пластинчатый теплообменник. Исходя из выше
сказанного, можно сказать, что пластинчатый теплообменник один из наиболее
широко используемых теплообменников, так как отличаются интенсивным
теплообменом, простотой изготовления, удобствами, компактностью, малыми
гидравлическими сопротивлениями, удобством монтажа и очистки от загрязнений.
Теплообменники можно применять для охлаждения и подогрева, в качестве
рекуператоров тепла, конденсаторов, дефлегматоров, а также для теплообмена
между двумя, тремя и большим количеством рабочих сред в компактных аппаратах с
минимальной теплопередающей поверхностью. Такие аппараты пригодны для
теплообмена с двух- и трехфазными рабочими средами. [11]
В пластинчатых теплообменниках можно осуществлять теплообмен между
рабочими средами жидкость - жидкость, пар - жидкость, пар + газ - жидкость, газ
- газ. Разборные теплообменники могут работать с рабочими средами, в которых
размер твердых частиц не превышает 4 мм. При отложении загрязнений на теплопередающих
поверхностях можно периодически переключать каналы на такие рабочие среды,
которые очищают поверхности от загрязнений без разборки аппарата.[11]
Так же были рассчитаны и определены по таблице габаритные размеры
теплообменного аппарата. Общая производительность молока, а так же скорость
движения ее потока. Рассчитаны и проверены скорость движения воды и молока в
штуцерах и были произведены экономические расчеты.
Список литературы
1. М.Н. Мефодьев, Г.М. Харченко, А.А. Мезенов «Процессы
и аппараты пищевых производств» - Новосибирск .: Курс лекций, 2009 г.
2. http://www.teploobmenka.ru/oborud/art-phe/
. http://tkm-r35.ru/products/pr_rabteb.php
. http://www.teploobmenka.ru/oborud/art-schemes/
5.
http://www.gea-heatexchangers.com/ru/applications/food-application/dairy/#sthash.bUdJ2vrX.dpuf
. http://www.spiraxsarco.com/ru/steam-academy/academy-articles.asp?id=140
. http://paht.vector-study.ru/apparat/teplo/target-select.html
. www.funke.de/files/funke_overview_ru.pdf
. http://www.pandia.ru/459086/
. М.И. Ведерникова, В.С. Таланкин «Расчет пластинчатых
теплообменников» - Екатиринбург.: Методические указания, 2008г.