Тепловой поверочный расчет кожухотрубного и пластинчатого теплообменников
Министерство образования и науки РФ
Иркутский национальный
исследовательский технический университет
Кафедра теплоэнергетики
Расчетно-графическая работа
по дисциплине «Тепломассообменное
оборудование ТЭС и промпредприятий»
на тему: «Тепловой поверочный расчет
кожухотрубного и пластинчатого теплообменников»
Вариант 15
Выполнил:
студент гр. ПТЭб-12-1
Распутин В.В.
Проверил:
доцент кафедры ТЭ Картавская В. М.
Иркутск 2015г.
СОДЕРЖАНИЕ
ВВЕДЕНИЕ
. Расчет тепловой нагрузки теплообменного аппарата
. Расчет и выбор кожухотрубных теплообменников
. Графо-аналитический метод определения коэффициента
теплопередачи и поверхности нагрева
. Расчет и выбор пластинчатого теплообменника
. Сравнительный анализ теплообменных аппаратов
. Гидравлический расчет кожухотрубных теплообменников,
трубопроводов воды и конденсата, выбор насосов и конденсатоотводчика
ЗАКЛЮЧЕНИЕ
СПИСОК ИСПОЛЬЗОВАННЫХ ИСТОЧНИКОВ
ВВЕДЕНИЕ
В работе приводится расчет и выбор двух видов теплообменников
кожухотрубного и пластинчатого.
Кожухотрубные теплообменники представляют собой аппараты, выполненные из
пучков труб, собранных при помощи трубных решеток, и ограниченные кожухами и
крышками со штуцерами. Трубное и межтрубное пространства в аппарате разобщены,
а каждое из этих пространств может быть разделено при помощи перегородок на
несколько ходов. Перегородки устанавливаются с целью увеличения скорости, а,
следовательно, и интенсивности теплообмена.
Теплообменники этого типа предназначаются для теплообмена между
жидкостями и газами. В большинстве случаев пар (греющий теплоноситель) вводится
в межтрубное пространство, а нагреваемая жидкость протекает по трубкам.
Конденсат из межтрубного пространства выходит к конденсатоотводчику через
штуцер, расположенный в нижней части кожуха.
Другой вид - пластинчатые теплообменные аппараты. В них поверхность
теплообмена образована набором тонких штампованных гофрированных пластин. Эти
аппараты могут быть разборными, полу-разборными и неразборными (сварными).
В пластинах разборных теплообменников имеются угловые отверстия для
прохода теплоносителей и пазы, в которых закрепляются уплотнительные и
компонующие прокладки из специальных термостойких резин.
Пластины сжимаются между неподвижной и подвижной плитами, таким образом,
что, благодаря прокладкам между ними, образуются каналы для поочередного
прохода горячего и холодного теплоносителей. Плиты снабжены штуцерами для
присоединения трубопроводов.
Неподвижная плита крепится к полу, пластины и подвижная плита -
закрепляются в специальной раме. Группа пластин, образующих систему
параллельных каналов, в которых данный теплоноситель движется только в одном
направлении, составляет пакет. Пакет по существу аналогичен одному ходу по
трубам в многоходовых кожухотрубных теплообменниках.
Цель работы - произвести тепловой и поверочный расчет кожухотрубных и
пластинчатого теплообменников.
Для этого необходимо:
рассчитать тепловую нагрузку теплообменного аппарата;
рассчитать и выбрать:
кожухотрубные теплообменники из стандартного ряда;
пластинчатый теплообменник из стандартного ряда.
Задание - выполнить
тепловой поверочный расчет кожухотрубных и пластинчатого теплообменников.
Исходные данные:
Теплоноситель:
греющий - сухой насыщенный пар;
нагреваемый - вода.
Параметры греющего теплоносителя:
давление Р1 = 1,5 МПа;
температура t1к = tн .
Параметры нагреваемого теплоносителя:
расход G2 = 80 кг/с;
температура на входе t2н = 40°С;
температура на выходе t2к = 170°С.
Расположение труб -
вертикальное.
1. Расчет тепловой нагрузки теплообменного аппарата
Тепловая нагрузка из уравнения теплового баланса [1]
,
кожухотрубный теплообменник пластинчатый нагрев
где
- теплота, переданная греющим теплоносителем (сухим
насыщенным паром), кВт;
- теплота, воспринятая нагреваемым теплоносителем (водой),
кВт; h - КПД теплообменника, учитывающий потери теплоты в окружающую
среду.
Уравнение теплового баланса при изменении агрегатного состояния одного из
теплоносителей
,
где
,
- соответственно расход, теплота парообразования и температура насыщения
сухого насыщенного пара, кг/с, кДж/кг, °С;
- температура переохлаждения конденсата, °С;
- теплоемкость конденсата греющего теплоносителя, кДж/(кг·К);
- соответственно расход и удельная
теплоемкость нагреваемой воды, кг/с и кДж/(кг·К) при средней температуре
;
- соответственно начальная и
конечная температуры нагреваемой воды, °С.
По давлению греющего теплоносителя Р1 = 1,5 МПа определяем
по[2,3] температуру насыщения tн
= 198,3°С и теплоту парообразования r = 1946,3 кДж/кг.
Определяющая температура конденсата
°С.
Теплофизические параметры конденсата при
=198,3°С из [2,3]:
плотность r1 = 1963,9
кг/м3;
теплоемкость
= 4,49 кДж/(кг·К);
теплопроводность l1 = 0,66
Вт/(м·К);
динамический коэффициент вязкости m1=136×10-6 Па×с;
кинематическая вязкость ν1 = 1,56×10-7 м2/с;
число Прандтля Pr1=0,92.
Определяющая температура воды
°С.
Теплофизические параметры воды при
=
°С из [2,3]:
плотность r2 = 1134,68
кг/м3;
теплоемкость
= 4,223 кДж/(кг·К);
теплопроводность l2 = 0,68
Вт/(м·К);
кинематическая вязкость ν2 = 2,8×10-7 м2/с;
число Прандтля Pr2
= 1,7.
Теплота, воспринятая нагреваемой водой без изменения агрегатного
состояния
Теплота, переданная сухим насыщенным паром при изменении агрегатного
состояния
МВт.
Расход греющего теплоносителя
кг/с.
Выбор схемы движения теплоносителей и определение среднего температурного
напора
На рис.1 представлен график изменения температур теплоносителей по
поверхности теплообменника при противотоке. [2]
Рисунок 1 - График изменения температур теплоносителей по поверхности
теплообмена при противотоке
В теплообменном аппарате происходит изменение агрегатного состояния
греющего теплоносителя, следовательно, средний логарифмический температурный
напор находится по формуле
.
°С,
где
°C- большая разность температур двух теплоносителей на концах
теплообменника;
°C - меньшая разность температур двух теплоносителей на концах
теплообменника.
Принимаем ориентировочное значение коэффициента теплопередачи
ор=2250 Вт/(м2·К).
Тогда из основного уравнения теплопередачи ориентировочная площадь
поверхности теплообмена
м2.
2. Расчет и выбор кожухотрубных теплообменников
Между труб в кожухотрубном теплообменнике движется греющий теплоноситель
- конденсирующийся сухой насыщенный пар, в трубах - нагреваемый теплоноситель - вода, коэффициент теплоотдачи
конденсирующегося пара выше, чем у воды.
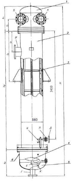
Выбираем вертикальный сетевой подогреватель типа ПСВК-220-1,6-1,6 (рис.2)
[5].
Основные размеры и технические характеристики теплообменника:
Диаметр корпуса D =
1345 мм.
Толщина стенки d =
2 мм.
Наружный диаметр труб d = 24
мм.
Число ходов теплоносителя z = 4.
Общее число труб n =
1560.
Длина труб L = 3410 мм.
Площадь поверхности теплообмена F = 220 м2.
Выбран вертикальный подогреватель сетевой воды ПСВК-220-1,6-1,6 (рис. 4)
с поверхностью теплообмена F =
220 м2.
Условное обозначение теплообменника ПСВК-220-1,6-1,6: П - подогреватель; С - сетевой воды; В - вертикальный; К - для котельных; 220 м2 -
площадь поверхности теплообмена; 1,6 МПа - максимальное рабочее давление
греющего сухого насыщенного пара, МПа; 1,6 МПа - максимальное рабочее давление
сетевой воды.
Рисунок 2 - Схема вертикального подогревателя сетевой воды типа ПСВК-220:
1 - распределительная водяная камера; 2 - корпус; 3 - трубная система; 4 -
малая водяная камера; 5 - съемная часть корпуса; А, Б - подвод и отвод сетевой
воды; В - вход пара; Г - отвод конденсата; Д - отвод воздушной смеси; Е - слив
воды из трубной системы; К - к дифманометру; Л - к указателю уровня
В корпусе имеется нижний фланцевый разъем, что обеспечивает доступ к
нижней трубной доске без выемки трубной системы. Применена однопроходная схема
движения пара без застойных зон и завихрений. Усовершенствована конструкция
пароотбойного щита и его крепление. Введен непрерывный отвод паровоздушной
смеси. Введен каркас трубной системы, за счет чего повышена ее жесткость.
Параметры указаны для латунных теплообменных труб при номинальном расходе
сетевой воды и при указанном давлении сухого насыщенного пара. Материал труб -
латунь, нержавеющая сталь, медноникилевая сталь.
Так как в теплообменнике происходит пленочная конденсация пара на
наружной поверхности вертикально расположенных труб, воспользуемся следующей
формулой коэффициента теплоотдачи от конденсирующегося сухого насыщенного пара
к стенке из [3]:
Вт/(м2К),
где
= 0,66 Вт/(м×К) - коэффициент теплопроводности насыщенной жидкости;
=
кг/м3 - плотность
насыщенной жидкости при
°С;
Па×с - коэффициент динамической вязкости насыщенной жидкости.
Определим коэффициент теплоотдачи для трубного пространства (нагреваемый
теплоноситель - вода).
Для определения коэффициента теплоотдачи необходимо определить режим
течения воды по трубкам. Для этого вычисляем критерии Рейнольдса [4]:
,
где dвн = d-2d = 24-2×2 = 20 мм = 0,02 м - внутренний диаметр трубок; n = 1560 - общее число трубок; z = 4 - число ходов;
Па×с -
динамический коэффициент вязкости воды.
=
³104 - режим течения турбулентный, тогда критерий
Нуссельта из [4]
,
Коэффициент теплоотдачи от стенки к нагреваемому теплоносителю
Вт/(м2×К),
где
Вт/(м2×К) - коэффициент теплопроводности воды при
°С.
Определим скорость воды:
Проверка температуры стенки:
Принимаем, что трубы изготовлены из латуни, коэффициент теплопроводности lст = 111 Вт/(м·К) по [4].
По наибольшему значению коэффициента теплоотдачи от пара к стенке
определяем коэффициент теплопередачи:
Вт/(м2×К).
Определяем площадь поверхности теплообмена:
м2,
где
МВт - теплота, переданная греющим теплоносителем;
°С - средний температурный напор.
Запас:
.
. Графо-аналитический метод определения коэффициента теплопередачи и
поверхности нагрева
Коэффициент теплопередачи определяем графо-аналитическим методом, для
чего предварительно находим для различных участков перехода теплоты зависимость
между плотностью теплового потока q и перепадом температур Dt.
а) Передача тепла от пара к стенке.
Коэффициент теплоотдачи определяем по формуле
где H=3,41м - высота трубок в одном ходе.
Для найденного значения a1 определяем
плотность теплового потока
Задавшись рядом значений
, вычисляем соответствующие им величины
и
:
|
|

|
|
1
|
1
|
|
|
5
|
3,3
|
50693,6
|
|
10
|
5,6
|
86385,1
|
Строим кривую
рис. 3.
б) Передача теплоты через стенку.
где lст=111 Вт/(м×°С) - теплопроводность для латунной стенки;
толщина стенки.
Задавшись рядом значений
, вычисляем величину
:
|
|
|
|
1
|
55500
|
|
5
|
277500
|
|
10
|
555000
|
Связь между q2 и t2 изображается графически прямой линией (рис. 3).
в) Передача теплоты через накипь
где lнак=3,49 Вт/(м×°С) - теплопроводность накипи;
толщина накипи.
Задавшись рядом значений
, вычисляем величину
:
|

|
|
|
1
|
17450
|
|
5
|
87250
|
|
10
|
174500
|
Строим кривую
рис. 3.
г) Передача теплоты от стенки к воде
Скорость воды в пароводяных подогревателях составляет
, движение воды в трубках
турбулентное, поэтому пользуемся формулой
где dвн=0,02 м - внутренний диаметр труб; А=
при средней температуре воды
(табл. 1-4 [4]).
Тогда
Задавшись рядом значений
, вычисляем величину
:
Строим кривую
рис. 3.
Складывая ординаты четырех зависимостей, строим суммарную кривую
температурных перепадов. Из точки m на оси ординат, соответствующей
, проводим прямую, параллельную оси
абсцисс до пересечения ее с суммарной кривой. Из точки пересечения n опускаем перпендикуляр n на ось абсцисс и находим значение q=49500 Вт/м2.
Рисунок 3 - Зависимость теплового напряжения поверхности нагрева от
температурного напора
При этом коэффициент теплопередачи
Поверхность нагрева теплообменника
4. Расчет и выбор пластинчатого теплообменника
Выбираю стандартный теплообменник (рис.4, табл. 2.13 [6]).
Параметры теплообмена и основные параметры разборных пластинчатых
теплообменников (по ГОСТ 15518-83) со следующими характеристиками:
площадь поверхности теплообмена F=250м2;
площадь платины f=0,6м2;
количество пластин N=420;
эквивалентный диаметр канала dэ=8,3мм;
приведенная длина канала L=1,01м;
поперечное сечение канала S=0,00245м2.
Условное обозначение теплообменника ТПР-0,6Е-250-1-2-10 (рис.4): Т -
теплообменник; П - пластинчатый; Р - разборный; 0,6 м2 - площадь
одной пластины; Е - тип пластин; 250м2 - площадь поверхности
теплообмена; 1 - на консольной раме; 2 - марка материала; 10 - марка материала
прокладки.
Скорость жидкости в каналах найдем по формуле [4]
м/с,
где
кг/с - расход нагреваемого теплоносителя;
кг/м3 - плотность воды при
= 105⁰С; N = 420 - количество пластин аппарата; S = 0,00245м2 - поперечное сечение канала.
Рисунок 4 - Разборный пластинчатый теплообменник типа ТПР-0,6Е-250-1-2-10
Критерий Нуссельта
;
Коэффициент теплоотдачи к воде рассчитывается по формуле
Вт/(м2×К).
Определяем значение
Температура стенки tст=(tн+
/2=(198,3+170)/2=184,2
. Тогда
При этом критерий Рейнольдса рассчитывается по формуле [6]
Коэффициент теплоотдачи от сухого насыщенного пара к стенке
Вт/(м2×К),
где
= 240 -
коэффициент, зависящий от типа (площади) пластины, при f=0,6м2.
Теплопроводность нержавеющей стали lл = 111 Вт/(м×К).
Тогда значение коэффициента теплопередачи составит
Вт/(м2×К).
Уточняем значение
Температура стенки составит
Так как полученное значение температуры стенки мало отличается от
принятого, то рассчитываем поверхность теплообмена.
Требуемая поверхность теплообмена
м2;
Запас поверхности составит
.
5. Сравнительный анализ теплообменных аппаратов
Сравнивая выбранные кожухотрубные и пластинчатый теплообменники, можно
сделать вывод, что пластинчатый теплообменник предпочтительнее, особенно по
габаритам, так как длина канала у пластинчатого L=1,01 м, а кожухотрубных L=3,41м.
Пластинчатые теплообменники экономически выгодны и по эксплуатационным
показателям превосходят лучшие кожухотрубные [5].
Таким образом, можно сделать вывод, что в нашем случае предпочтительнее
установить пластинчатый теплообменник, тем более, что запас поверхности нагрева
его составляет
% против отсутствия практически такового у кожухотрубных, -
существует возможность обеспечения тепловой нагрузки выше расчетной 46,2 МВт.
Таблица 1 - Сравнительный анализ теплообменников
|
Вид теплообменника
|
Площадь поверхности теплообмена F, м2
|
Коэффициент теплопередачи k, Вт/(м2·К)
|
Длина трубок (каналов) L, м
|
|
Кожухотрубные
|
220
|
2272,7
|
3,41
|
|
Пластинчатый
|
250
|
|
(1,01)
|
6. Гидравлический расчет кожухотрубных теплообменников,
трубопроводов воды и конденсата, выбор насосов и конденсатоотводчика
Потери давления воды в трубном пространстве с учетом шероховатости труб и
сопротивлений входного и выходного штуцеров определяется по формуле [3]
где λ - коэффициент гидравлического сопротивления трения; L - длина
трубы, м; ωтр - скорость потока внутри труб, м/с; d - внутренний диаметр трубы, м; ρтр- плотность воды внутри труб, кг/м3;
z - число ходов; ξ1=2,5 - коэффициент поворота между ходами [3];
=1,5 - коэффициент гидравлического
сопротивления штуцеров [2];
- скорость потока в штуцерах, определяемая по формуле [3],
м/с.
где Gтр - расход воды, кг/с; dш - диаметр штуцера,
м, определяемый в зависимости от диаметра кожуха [3].
Коэффициент гидравлического сопротивления трения при турбулентном течении
жидкости внутри труб определяется по формуле [3]
где Reтр - число Рейнольдса для трубного пространства; е=Δ/d
- отношение величины
шероховатости Δ=0,2 мм [3] к внутреннему диаметру трубы d, мм.
Гидравлическое сопротивление
Скорость воды в трубках
где
плотность воды при температуре
=105 °С.
Внутренний диаметр штуцеров по [3] принимаем dш=300 мм=0,3 м.
Скорость потока воды в штуцерах
0,99 м/с.
Коэффициент гидравлического сопротивления трения при турбулентном течении
жидкости внутри труб из [3]
,
где e=D/d=0,0002/0,02=0,01
- отношение величины шероховатости D=0,2мм.
Таким образом, определим потери давления в трубном пространстве
теплообменника:
Па.
Скорость конденсата в межтрубном пространстве определяют по формуле [3]
0,4 м/с,
где
0,03 м2 - площадь сечения потока между
перегородками;
1963,9 кг/м3 - плотность конденсата при
температуре
=198,3 °С.
Потери давления конденсата в межтрубном пространстве определяются по формуле
[3]
где Reмтр - число Рейнольдса для межтрубного
пространства; ωмтр - скорость потока конденсата в межтрубном пространстве, м/с; ρмтр- плотность конденсата в межтрубном
пространстве, кг/м3; ξ=1,5 - коэффициент гидравлического
сопротивления входов и выходов воды в межтрубном пространстве [3]; x=4 - число
сегментных перегородок [3]; m - число рядов труб, преодолеваемых потоком
конденсата в межтрубном пространстве, определяемая по формуле [3]
где wмтр.ш - скорость потока конденсата в
штуцерах, м/с, определяемая по формуле [3]
0,17 м/с,
где G1=23,73 кг/с - расход конденсата;
кг/м3 - плотность
конденсата при температуре
=198,3 °С; dмтр.ш = 0,3 м - диаметр штуцеров к кожуху
из [3].
= 8226,2 Па.
ЗАКЛЮЧЕНИЕ
В расчетно-графической работе был произведен поверочный расчет
кожухотрубчатых и пластинчатого теплообменников для нагрева воды за счет
теплоты конденсации водяного пара. В результате были выбраны стандартные
теплообменники:
для нагрева воды за счет теплоты конденсации водяного пара
ПСВК-220-1,6-1,6;
Расчетный коэффициент теплопередачи пластинчатого теплообменника
Вт/(м2×К) и стандартная площадь поверхности
теплообмена 250 м2.
Выполнен гидравлический расчет с учетом местных сопротивлений, а также
потерь давления в трубопроводах, длина которых принята самостоятельно.
Выбраны насосы для теплоносителей с учетом их расхода и напора, который
должны создать насосы. Для нагреваемого теплоносителя - насос Х90/85, для
охлажденного конденсата - насос Х90/33. Также выбраны для питания насосов
электродвигатели АО-103-4 и АО2-91-2. Для отвода конденсата выбран
конденсатоотводчик типа КА2Х26.16.13 и давлением пара 1,3 МПа.
СПИСОК
ИСПОЛЬЗОВАННЫХ ИСТОЧНИКОВ
1. Картавская
В.М. Тепломассообменное оборудование ТЭС и промпредприятий [Электронный
ресурс]: учеб. пособие. - Иркутск: Изд-во ИрГТУ, 2014.
. Александров
А.А., Григорьев Б.А. Таблицы теплофизических свойств воды и водяного пара:
справочник. - М.: Издательский дом МЭИ, 2006. - 168с.
. Авчухов
В.В., Паюсте Б.Я. Задачник по процессам тепломассообмена: учеб. пособие. - М.: Энергоатомиздат, 1986. - 144с.
. Лебедев
П.Д. Теплообменные, сушильные и холодильные установки: учеб. пособие - М.:
Энергия, 1972. - 317 с.
.
Теплообменное оборудование для промышленных установок и систем теплоснабжения.
Промышленный каталог [Электронный ресурс]. - М.: ФГУП ВНИИАМ, 2004.
. Основные
процессы и аппараты химической технологии: пособие по проектированию/ под ред.
Ю.И. Дытнерского. - М.: Альянс, 2008. - 496с.
7. Оборудование для
пароконденсатных систем. Промышленный каталог [Электронный ресурс]. - Режим
доступа: <http://www.relasko.ru> (29 апреля 2015).