Нормирование точности деталей, узлов и механизмов в машиностроении

  • Вид работы:
    Курсовая работа (т)
  • Предмет:
    Другое
  • Язык:
    Русский
    ,
    Формат файла:
    MS Word
    168,95 Кб
  • Опубликовано:
    2015-05-14
Вы можете узнать стоимость помощи в написании студенческой работы.
Помощь в написании работы, которую точно примут!

Нормирование точности деталей, узлов и механизмов в машиностроении

МИНИСТЕРСТВО ОБРАЗОВАНИЯ И НАУКИ РОССИЙСКОЙ ФЕДЕРАЦИИ

Федеральное государственное бюджетное образовательное учреждение  высшего профессионального образования

«Сибирский государственный аэрокосмический университет

имени академика М. Ф. Решетнева»

Факультет машиноведения и мехатроники

Кафедра управления качеством и сертификации


КУРСОВАЯ РАБОТА

по дисциплине: «Взаимозаменяемость и нормирование точности»

Тема: «Нормирование точности деталей, узлов и механизмов в машиностроении»

ВЫПОЛНИЛ:

Ст. гр. БСМ11 - 01

Митрохина М. В.

ПРОВЕРИЛ:

Старший преподаватель

Захарова Н. В.


Красноярск, 2014

Содержание

Введение

.        Гладкие цилиндрические соединения

.1 Расчет посадок с натягом

.2 Выбор переходных посадок

.        Расчет подшипников качения

.        Расчет прямобочных шлицевых соединений

.        Размерные цепи

.1 Расчет методом полной взаимозаменяемости

.2 Вероятностный метод расчета размерных цепей

.        Зубчатые и червячные соединения

.1 Расчет показателей зубчатых соединений

Заключение

Библиографический список

Приложения

Введение

В машиностроении чаще всего нормируют требования к точности элементов детали и очень редко механизмов в целом. Такое нормирование обусловлено тем, что абсолютно точно изготавливать элементы деталей нет необходимости, да и невозможно, а кроме того еще и экономически нецелесообразно.

Для элементов деталей нормируют точность, т.е. устанавливают степень точности приближения к заданным значениям, по нескольким параметрам, которые определяют ее функциональные и эксплуатационные показатели:

точность размера;

точность формы поверхности;

точность относительного расположения элементов детали;

точность по шероховатости поверхности.

Нормирование требований по всем вышеуказанным показателям преследует еще одну важную цель - обеспечить принцип взаимозаменяемости.

Взаимозаменяемостью изделий, их частей или других видов продукции называется их свойство равноценно заменять при использовании любой из множества экземпляров изделий, их частей или иной продукции другим однотипным экземпляром. Наиболее широко применяют полную взаимозаменяемость, это вид взаимозаменяемости, при которой обеспечивается возможность беспригоночной сборки любых независимо изготовленных с заданной точностью однотипных деталей в составные части, а последних - в изделия при соблюдении предъявленных к ним технических требований по всем параметрам качества. Они достигаются только тогда, когда после изготовления размеры, форма, механические, электрические и другие количественные и качественные характеристики деталей и составных частей находятся в заданных пределах, а собранные изделия удовлетворяют техническим требованиям.

Взаимозаменяемыми могут быть детали, составные части и изделия в целом. В первую очередь такими должны быть те детали и составные части, от которых зависят надежность, долговечность и другие эксплуатационные показатели изделий. Это требование, естественно, распространяется и на запасные части.

Свойство собираемости и возможности равноценной замены любого экземпляра взаимозаменяемой детали и составной части изделия любым другим однотипным экземпляром позволило на машиностроительных заводах серийного и массового производства изготавливать детали в одних цехах, а собирать их в составные части (узлы) и изделия - в других, независимо друг от друга. При сборке используют стандартные крепежные детали, подшипники качения, электротехнические, резиновые и пластмассовые изделия, а часто и унифицированные агрегаты, получаемые по кооперации от других предприятий. Несмотря на это, при полной взаимозаменяемости сборка составных частей и машин, удовлетворяющих предъявляемым требованиям, производится без доработки деталей и составных частей. Такое производство называется взаимозаменяемым.

Иногда эксплуатационные требования к изделиям приводят к необходимости изготовлять детали и составные части с малыми экономически неприемлемыми или технологически трудновыполнимыми допусками.

Различают также внешнюю и внутреннюю взаимозаменяемость.

Внешняя взаимозаменяемость - это взаимозаменяемость покупных и некооперируемых изделий и составных частей по эксплуатационным показателям, а также размерам и форме присоединительных поверхностей, т.е. таких, по которым взаимосвязанные узлы основного изделия соединяют между собой и с покупными кооперируемыми агрегатами.

Внутренняя взаимозаменяемость распространяется на детали, составляющие отдельные узлы, или на основные части и механизмы, входящие в изделие.

Изготовление высококачественной продукции машиностроения невозможно без умения грамотно пользоваться конструкторской и технологической документацией, владения техникой измерений.

Изучив предмет, я научусь свободно читать в конструкторской и технологической документации указания о точности изготовления и характере сопряжения деталей, а также о допустимых отклонениях формы и расположения поверхностей и их шероховатости, чтобы в процессе обработки деталей и сборки учитывать указанные на чертежах требования, обоснованно выбирать средства измерений и умело пользоваться ими.

1.      Гладкие цилиндрические соединения

Единая система допусков и посадок (ЕСДП) разработана в соответствии с комплексной программой и рекомендациями международных стандартов. Она распространяется на сопрягаемые гладкие цилиндрические элементы и элементы, ограниченные параллельными плоскостями.

Все детали, из которых состоят соединения, узлы, агрегаты и машины, характеризуются геометрическими размерами. Размеры выражают числовое значение линейных величин и делятся на номинальные, действительные и предельные В машиностроении размеры указывают в миллиметрах.

Номинальный размер - размер, который служит началом отсчета отклонений и относительно которого определяются предельные размеры.

Номинальный размер является основным размером детали или их соединений. Его назначают исходя из расчетов деталей на прочность, износостойкость, жесткость и т.д. и на основании конкретных конструктивных, технологических и эксплуатационных соображений. В соединении две детали имеют общий номинальный размер, который берут из рядов предпочтительных чисел: R5, R10, R20 или R40 (табл. 1.2 «Ряды предпочтительных чисел и их приближенных значений» [1] или по ГОСТ 8032 - 84).

Действительный размер - размер, установленный изменением с допустимой погрешность.

Предельные размеры детали (максимальные и минимальные диаметры вала -  и ; максимальные и минимальные диаметры отверстия -  и ).

Действительным отклонением называют алгебраическую разность между действительным и номинальным размерами. Отклонение является положительным, если предельный или действительный размер больше номинального, и отрицательным, если указанные размеры меньше номинального.

На машиностроительных чертежах номинальные и предельные размеры и их отклонения проставляются в миллиметрах без указания единицы, например: ; ; ; ; угловые размеры и их предельные отклонения - в градусах, минутах или секундах с указанием единицы, например: 0º30ʹ; 40ʹʹ; 120º±20º. Отклонение, равное нулю, на чертежах не проставляется, наносят только одно отклонение - положительное - на месте верхнего или отрицательное - на месте нижнего предельного отклонения. Предельные отклонения в таблицах допусков указывают в микрометрах.

Допуск - положительная величина. Он определяет допускаемое поле рассеивания действительных размеров годных деталей в партии, т.е. заданную точность изготовления. Чем меньше допуск, тем выше требуемая точность детали, при этом стоимость изготовления увеличивается.

Поле допусков - поле, ограниченное верхним и нижним отклонениями, а высота поля допуска является его числовым значением. Нулевая линия - линия, соответствующая номинальному размеру, от которой откладывают отклонения размеров при графическом изображении допусков и посадок. Если нулевая линия расположена горизонтально, то положительные откладывают вверх от нее, а отрицательные - вниз.

Две или несколько подвижных соединяемых деталей называют сопрягаемыми, а поверхности соединяемых элементов - сопрягаемыми поверхностями. Поверхности тех элементов деталей, которые не входят в соединение с поверхностями других деталей, называют несопрягаемыми (свободными) поверхностями. Соединения подразделяются и по геометрической форме сопрягаемых поверхностей - гладкие цилиндрические, плоские и др.

В зависимости от эксплуатационных требований сборку соединений осуществляют с различными посадками.

Посадкой называют характер соединения деталей, определяемый разностью между размерами отверстия и вала.

В зависимости от взаимного расположения полей допусков отверстия и вала посадка может быть с зазором, с натягом или переходной, при которой возможно получение как зазора, так и натяга.

Посадка с зазором обеспечивает возможность относительного перемещения собранных деталей. К посадкам с зазором относятся также посадки, в которых нижнее отклонение отверстия совпадает с верхним отклонением вала. В случае посадки с зазором поле допуска вала всегда будет располагаться ниже поля допуска отверстия.

Посадка с натягом обеспечивает взаимную неподвижность деталей после сборки. В случает посадки с натягом поле допуска отверстия расположено под полем допуска вала.

Переходная посадка - посадка, при которой возможно получение как зазора, так и натяга. Она характеризуется небольшим зазором и натягом. В переходной посадке поля допусков отверстия и вала перекрываются частично и полностью.

Из-за неточности выполнения размеров отверстия и вала зазоры и натяги в соединениях, рассчитанные из эксплуатационных требований, не могут быть выдержаны точно. Отсюда появляется значение «допуск посадки».

Допуск посадки - разность между наибольшим и наименьшим допускаемыми зазорами или наибольшим и наименьшим допускаемыми натягами.

Согласно ГОСТ 25346 - 86, ГОСТ 25347 - 82, ГОСТ 25348 - 82 в системе ИСО и ЕСДП установлены допуски и посадки для размеров менее 1 до 500 мм, свыше 500 до 3150 мм, а в ЕСДП - для размеров свыше 315 до 10000 мм. В ЕСДП поля допусков для размеров менее 1 мм выделены отдельно.

1.1 Расчет посадок с натягом

Дано:

номинальный диаметр соединения 35 мм

максимальный предельный натяг  70 мкм

минимальный предельный натяг  25 мкм

Решение:

Расчетный номинальный диаметр, заданный в задании, используя табл. 1.3 в справочнике [1], округляем до ближайшего стандартного значения d=36 мм по ряду Ra 20.

Определяем средний натяг предельных натягов:

 = ;

 =  = 47,5 мкм,

где  и  - расчетные предельные натяги, данные в задаче, мкм.

По среднему натягу подбираем посадку в любой системе (системе вала или отверстия) (табл. 5 в справочнике [1]) и выписываем табличные натяги  = 64 мкм и  = 23 мкм подобранной посадки:

 = ;

 =  = 43,5 мкм,

где  и  - табличные предельные натяги, мкм.

Табличный средний натяг близок к расчетному и ему в системе вала соответствует посадка

⌀36.

Находим отклонения для полей допусков отверстия и вала по табл. 6,9,14 в справочнике [1].

Записываем комбинированное обозначение посадки с отклонениями:

⌀36 .

Строим схему расположения полей допусков выбранной посадки. Указываем натяги. Отклонения на схеме допусков проставляем в микрометрах (рис.1.1.1).

Рис. 1.1.1. Поля допусков для посадки с натягом

Подсчитываем максимальный и минимальный натяги (проверка) для выбранной посадки согласно схеме полей допусков по формулам:

 = es - EI = 0 - (-64) = 64 мкм;

 = ei - ES = -16 - (-39) = 23 мкм,

где ES, es, EI, ei - верхние и нижние отклонения отверстия и вала соответственно.

Полученные предельные натяги совпадают с табличными предельными натягами.

Определяем допуск вала и допуск отверстия:

TD = ES - EI = -39 - (-64) = 25 мкм;= es - ei = 0 - (-16) = 16 мкм.

Посадка выбрана с одинаковыми допусками вала и отверстия. Чертеж соединения «вал-отверстие» с указанным номинальным диаметром и соединением с посадкой представлен на рис. 1.1.2.

Рис. 1.1.2. Эскиз соединения

На эскизе указаны номинальный диаметр соединения, поля допусков отверстия вала и их предельные отклонения.

1.2 Переходные посадки

Дано:

номинальный диаметр соединения 78 мм

максимальный предельный натяг  11 мкм

максимальный предельный зазор  23 мкм

Решение:

.        Округлим заданный диаметр соединения до значения 75 мм, соответствующего ряду Ra40 по ГОСТ 6636-69 (табл. 1.3, в справочнике [1]).

.        Табличные значения переходных посадок:

 = - ;

 = 11 мкм;

 = -23 мкм.

Этим значениям соответствует посадка  в системе вала (табл. 1.48 в [1]).

.        Предельные отклонения отверстия и вала:

⌀ 75 6 ;

⌀ 75 h5 .

4.      Схема расположения полей допусков в посадке:

 = ES - ei; = 9,5 - (-13) = 22,5 мкм;

 = EI - es; = -9,5 - 0 = -9,5;

 = -; = -9,5 мкм.

Табличные значения зазора и натяга совпадают с заданными параметрами (рис. 1.2.1).

Рис. 1.2.1. Поля допусков для переходной посадки

5.      Полное обозначение посадки:

⌀75 .

6.      Допуск переходной посадки:

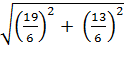
T (S,N) = TD + Td;(S,N) = (9,5 - (-9,5)) + (0 - (-13)) = 19 + 13 = 32 мкм.

.        Допуск отверстия больше допуска вала, значит, вал изготовлен более точно, чем отверстие.

.        Средние значения величин рассчитываются следующим образом:

 =  =  = 0 мкм;

 =  =  = -6,5 мкм;

 =  -  = 0 - (-6,5) = 6,5 мкм.

.        Расчеты для построения кривой Гаусса:

среднеквадратичное отклонение посадки вычисляется по формуле

 =  =  =  =  = 3,84 мкм;

зона рассеивания зазоров натягов и максимальная ордината имеет вид

 =  =  =  =  =  = 0,1 мкм;

- относительное отклонение рассчитывается по уравнению

z =  =  = 1,7;

действительное отклонение ординаты с нулевым зазором определяется по выражению

x =  = 6,5 мкм;

вероятное количество сопряжений с зазором имеет вид

 = 0,5 - f(z) = 0,5 - 0,4554 = 0,0446, если z ˃ 0;

 = 0,5 + f(z) = 0,5 + 0,4554 = 0,9554, если z ˂ 0;

f(z) = 0,4554 [1];

вероятное количество сопряжений с натягом находится по формуле

 = 1 -  = 1 - 0,9554 = 0,0446.

.        Кривая Гаусса.

По оси y откладываем число сопряжений, т.е. число посадок ( рис. ), а по оси x - рассеивания зазоров или натягов. На этой кривой центр группирования посадки соответствует центру посадки .

Рис. 1.2.2. Кривая Гаусса

На расстоянии x = 6,5 мкм от центра группирования расположена ордината, соответствующая нулевому натягу (зазору). Условимся отсчитывать эту ординату влево от центра группирования, когда переходная посадка обладает средним зазором и вправо при натяге. Вся площадь под кривой, ограниченная по ординате интервалом рассеивания R, соответствует общему числу сопряжений данной посадки, т.е. вероятность равна от 1 до 100 %. Вероятность появления сопряжений с натягом соответствует незаштрихованной площади слева, с зазором - заштрихованной справа.

2.      Расчет подшипников качения.

Дано: подшипник 1318, вращается наружное кольцо, класс точности 0, радиальная нагрузка 25000 Н, осевая нагрузка 4500 Н, умеренная, с малой вибрацией

Решение:

Тип подшипника: конический, однорядный, средней серии

Выбираем технические характеристики подшипников:

номинальный диаметр отверстия внутреннего кольца d = 90 мм

номинальный диаметр отверстия посадочной поверхности наружного кольца D = 190 мм

ширина внутреннего и наружного колец b = 43 мм

r = 4

β = 8

Вращается наружное кольцо, следовательно, оно является циркуляционно-нагруженным. Циркуляционно-нагруженное кольцо соединяется с валом с натягом.

Вал сплошной, корпус массивный, так как не указаны отношения  и .

Используем данные:

а) R = 25000 Н - радиальная нагрузка;

б) b = 4,3 см - ширина кольца;

в)  - коэффициент, зависящий от характера нагрузки,  = 1;

г)  - коэффициент, учитывающий ослабление посадочного натяга при полом вале или тонкостенном корпусе,  = 1;

д)  - коэффициент нагрузки R между рядами роликов и двурядных роликоподшипниках,  = 1.

Рассчитаем интенсивность радиальной нагрузки:

 =  ×  × × × 1 × 1 × 1 = 5813,95488 Н/см.

Поле допуска для посадочного отверстия: нагрузке в 5813,95488 Н/см и диаметру внутреннего кольца d = 90 соответствует поле допуска k. Так как по условию класс точности подшипника 0, то квалитет для вала 6, записываем k6.

Поле допуска для циркуляционно-нагруженного кольца : отверстие в корпусе диаметром 190 мм соответствует посадка в корпусе К7.

Выберем предельные отклонения для k6 из табл. 1.28 в справочнике [1] для К7 - табл. 1.36 [1]. Отклонения для k6: es = 25 мкм, ei = 3 мкм. Отклонения для К7: ES = 5 мкм, EI = -24 мкм.

Отклонения для полей допусков внутреннего и наружного колец конического однорядного подшипника выберем из табл. 4.83 и 4.84 [2]. Отклонения ищем в графах, где обозначено  или . Для внутреннего кольца ES = 0, EI = -12 мкм, для наружного кольца es = 0, ei = -13 мкм.

Рассчитаем предельные отклонения валов:

 = d + es = 90 + 0,025 = 90,025 мм;

 = d - ei = 90 - 0,003 = 89,997 мм.

Рассчитаем предельные отклонения отверстий:

 = D + ES = 190 + 0,005 = 190,005 мм;

 = D - EI = 190 - 0,024 = 189,976 мм.

Отклонение для поля допуска внутреннего кольца подшипника качения:

 =  =  = 90,011 мм;

Отклонение для поля допуска наружного кольца подшипника качения:

 =  =  = 189,9905 мм.

Строим схемы расположения допусков для двух соединений: «вал - внутреннее кольцо подшипника» и «отверстие в корпусе - наружное кольцо подшипника».

Рис. 2.1. Схема расположения полей допусков соединения «вал - внутреннее кольцо подшипника»

Рис. 2.2. Схема расположения полей допусков соединения «отверстие в корпусе - наружное кольцо подшипника»

Запишем условное обозначение посадок для двух выше указанных соединений:

посадка для соединения «внутреннее кольцо - вал»: ⌀90  - поле допуска внутреннего кольца (6 - обозначение класса точности);

посадка для соединения «отверстие в корпусе - наружное кольцо»: ⌀190, где l6 - поле допуска наружного кольца ( 6 и 7 - классы точности).

3.      Расчет прямобочных шлицевых соединений

Дано: номинальные размеры (z × d × D): 8 × 32 × 36; условия работы: неподвижное, точное, ударная нагрузка.

Решение:

.        Исходя из условий задачи, запишем число шлицев z = 8, внутренний диаметр d = 32 мм, наружный диаметр D = 36 мм.

.        По параметрам данного шлицевого соединения находим ширину зуба (шлица) b = 6 мм, наименьший диаметр  = 30,4 мм, серия - легкая (табл. 4.71 [2]) (ГОСТ 1339 - 80).

.        Исходя из заданных условий работы, выбираем вид центрирования: центрирование по D - наружному диаметру.

.        Определим посадку для центрирующего параметра D по табл. 4.74 [2] (ГОСТ 1339 - 80).

Так как соединение неподвижное и точное, то посадка будет с минимальным гарантированным зазором .

.        Выбираем посадки для нецентрирующих диаметра d и параметра b. Для внутреннего диаметра d: для втулки - посадка Н11, для вала - d - , для параметра b - посадка .

.        Найдем отклонения всех параметров (табл. 1.27, 1.28, 1.36 [1]): Н11: ES = 160 мкм, EI = 0 ( в качестве диаметра берем размер d = 32 мм); Н12: ES = 120 мкм, EI = 0 (b = 6 мм); a11: es = -310 мкм, ei = -470 мкм (b = 6 мм); g6: es = -4 мкм, ei = -12 мкм (D = 36 мм); Н7: ES = 125 мкм, EI = 0 (D = 36 мм); внутреннего диаметра вала: d -  = 32 - 30,4 = 1,6 мм = 1600 мкм.

.        Построим схемы расположения полей допусков для параметров b (рис. 3.3), d (рис. 3.2), D (рис. 3.1).

Рис. 3.1. Схема расположения допусков для центрирующего диаметра D.

Рис. 3.2. Схема расположения допусков для нецентрирующего диаметра d.

Рис. 3.3. Схема расположения допусков для нецентрирующего параметра b.

8.      Запишем условное обозначение данного в задаче шлицевого соединения с соответствующими посадками:

D - 8×32×36  × 6

где D - вид центрирования; 8 - число зубьев; 32 - внутренний диаметр соединения (посадка в значении не проставляется, так как в знаменателе поле допуска отсутствует); 36 - наружный диаметр соединения;  - посадка для параметра b; 6 - ширина зуба (шлицы);  - посадка для наружного диаметра.

Запишем обозначения для шлицевого вала и шлицевой втулки отдельно:

D - 8×32Н11 × 36Н7 × 6Н12 - обозначение втулки.

В этом обозначении у внутреннего диаметра d = 32 мм проставляется поле допуска втулки Н11:

D - 8×32× 36g6 ×6a11 - обозначение вала.

цилиндрический подшипник зубчатый червячный

4.      Размерные цепи

При конструировании механизмов, машин, приборов и других изделий, проектировании технологических процессов, выборе средств и методов измерений возникает необходимость в проведении размерного анализа, с помощью которого достигается правильное соотношение взаимосвязанных размеров и определяются допустимые ошибки (допуски). Подобные геометрические расчеты выполняются с использованием теории размерных цепей.

Размерной цепью называется совокупность взаимосвязанных размеров, образующих замкнутый контур и определяющих взаимное расположение поверхностей (или осей) одной или нескольких деталей.

Звеном называется каждый из размеров, образующих размерную цепь. Звеньями размерной цепи могут быть любые линейные или угловые параметры: диаметральные размеры, расстояния между поверхностями или осями, зазоры, натяги, перекрытия, мертвые ходы, отклонения формы и расположения поверхностей (осей) и т.д.

Любая размерная цепь имеет одно исходное (замыкающее) звено и два или более составляющих звеньев.

Исходным называют звено, к которому предъявляется основное требование точности, определяющее качество изделия в соответствии с техническими условиями. Понятие исходного звена используется при проектном расчете размерной цепи. В процессе обработки или при сборке изделия исходное звено получается обычно последним, замыкая размерную цепь. В этом случае такое звено именуется замыкающим. Понятие замыкающего звена используется при поверочном расчете размерной цепи. Таки образом, замыкающее звено непосредственно не выполняется, а представляет собой результат выполнения (изготовления) всех остальных звеньев цепи.

Составляющими называются все остальные звенья, с изменением которых изменяется и замыкающее звено.

Составляющие звенья размерной цепи разделяются на две группы. К первой группе относятся звенья, с увеличением которых (при прочих постоянных) увеличивается и замыкающее звено. Такие звенья называются увеличивающими.

Ко второй группе относятся звенья, с увеличением которых уменьшается замыкающее звено. Такие звенья называются уменьшающими.

В более сложных размерных цепях можно выявить увеличивающие и уменьшающие звенья, применив правило обхода по контуру. На схеме размерной цепи исходному звену предписывается определенное направление, обозначаемое стрелкой над буквенным обозначением.

Все составляющие звенья обозначаются стрелками, начиная от звена, соседнего с исходным, и должны иметь один и тот же замкнутый поток направлений. Тогда все составляющие звенья, имеющие то же направление стрелок, что и у исходного звена, будут уменьшающими, а остальные звенья цепи - увеличивающими.

Размерные цепи классифицируются по ряду признаков. Расчет и анализ размерных цепей позволяет установить количественную связь между размерами деталей машины и уточнить номинальные значения и допуски взаимосвязанных размеров исходя из эксплуатационных требований и экономической точности обработки деталей и сборки машины; определить наиболее рентабельный вид взаимозаменяемости (полная или неполная); добиться наиболее правильной простановки размеров на рабочих чертежах; определить операционные допуски и пересчитать конструктивные размеры на технологические.

Расчет размерных цепей и их анализ - обязательный этап конструирования машин, способствующий повышению качества, обеспечению взаимозаменяемости и снижению трудоемкости их изготовления. Сущность расчета размерной цепи заключается в установлении допусков и предельных отклонений всех ее звеньев, исходя из требований конструкции и технологии. При этом различают две задачи.

Прямая задача: по заданным номинальному размеру и допуску (отклонениям) исходного звена определить номинальные размеры, допуски и предельные отклонения всех составляющих звеньев размерной цепи.

Обратная задача. По установленным номинальным размерам, допускам и предельным отклонениям составляющих звеньев определить номинальный размер, допуск и предельные отклонения замыкающего звена. Такая задача относится к поверочному расчету размерной цепи.

Решением обратной задачи проверяется правильность решения прямой задачи.

Существуют методы расчета размерных цепей, которые при внедрении результатов расчета обеспечивают полную и неполную (ограниченную) взаимозаменяемость. Кроме того, применяют теоретико-вероятностный метод расчета размерных цепей.

4.1 Расчет методом полной взаимозаменяемости

Дано: Т = 200 мкм,  = 6 мм,  = 6 мм,  = 20 мм,  = 25 мм,  = 25 мм,  = 38 мм,  = 60 мм,  = 182 мм.

Схема сборочной размерной цепи представлена на рис. 5.1.

Рис. 5.1. Схема сборочной размерной цепи

Данные задачи занесем в табл. 5.1, графы которой заполняются в процессе решения.

.        Определим номинальный размер замыкающего звена:

 =  -  = 182 - (6 + 6 + 20 + 25 + 25 + 38 + 60) = 182 - 180 = 2 мм,

где  - замыкающее звено;  - увеличивающий размер;  - уменьшающий размер; m - число увеличивающих звеньев; n - число составляющих звеньев.

Таблица 5.1. Расчет допусков размерных цепей полным методом

Номинальные размеры составляющих звеньев , мм

Допуск замыкающего звена Т, мкм

Единица допуска i, мкм

Допуски составляющих звеньев Т, мкм

Размеры звеньев с отклонениями, мм




табличные

откорректированные


 = 6


0,73

12

-

 = 6


0,73

12

-

 = 20


1,31

21

-

 = 25

200

1,31

21

-

 = 25


1,31

21

-

 = 38


1,56

25

-

 = 60


1,86

30

-

 = 182


2,90

46

-


.        Определим средний коэффициент точности а:

а =  =  = 17,08,

где Т - допуск замыкающего звена; i - единица допуска; n - число составляющих звеньев.

Значения для i необходимо взять из табл. 4.4.

Для данной задачи  =  = 0,73 мкм;  =  =  = 1,31 мкм;  = 1,56 мкм;  = 1,86 мкм;  = 2,90 мкм.

.        Занесем числовые значения i в графу 3 табл. 5.1.

.        По среднему коэффициенту точности (табл. 4.5) определим квалитет точности.

Значение «а» ближе к 16, чем к 25, поэтому выбираем 7 квалитет.

.        Согласно квалитету и размерам звеньев (табл. 4.6) находим значения допусков составляющих звеньев и заносим их в графу 4 табл. 5.1.

.        Проверка допуска:

Т = ;

 = 12 + 12 + 21 + 21 + 21 + 25 + 30 + 46 = 188 мкм.

Допускается, чтобы сумма допусков составляющих звеньев была равна или меньше допуска замыкающего звена, но не более чем на 5 - 6 %.

В данном случае  ˃ Т на 1%, что находится в пределах допустимого.

.        Размеры уменьшающих звеньев с отклонениями заносим в табл. 5.1. Так как размеры с  по  охватываемые, то назначаем отклонения как для валов.

Для увеличивающего размера  предельные отклонения подлежат расчету. Если в задаче несколько увеличивающих размеров, то предельные отклонения для большего из них рассчитываются по ниже указанным формулам. Для остальных увеличивающих размеров можно назначить симметричные отклонения (ES ˃ 0), а нижнее - равным 0 (EI = 0).

.        Подсчитать предельные отклонения для увеличивающего размера  можно следующим образом:

ES = ES +  = - (12 + 12 + 21 + 21 + 21 + 25 + 30) + 100 = -42 мкм;

 =  +  = -100 + 0 = -100 мкм,

где ES - верхнее предельное отклонение замыкающего звена; ES - верхнее предельное отклонение i-го увеличивающего звена;  - нижнее предельное отклонение i-го уменьшающего звена;  - нижнее предельное отклонение замыкающего звена;  - нижнее предельное отклонение i-го увеличивающего звена;  - верхнее предельное отклонение i-го уменьшающего звена.

Из уравнения ES = ES +  выразим верхнее предельное отклонение для увеличивающего звена:

ES =  + ES - .

Из выражения  =  +  найдем  - нижнее предельное отклонение увеличивающего звена:

 =  -  + .

Так как в задаче один увеличивающий размер, то  = 0, а сумма  = 0, так как верхние отклонения всех уменьшающих звеньев равны 0.

4.2 Вероятностный метод расчета размерных цепей

Данные задачи занесем в табл. 5.2, графы которой заполняются в процессе решения.

.        Определим номинальный размер замыкающего звена:

 =  -  = 182 - (6 + 6 + 20 + 25 + 25 + 38 + 60) = 182 - 180 = 2 мм.

Таблица 5.2. Расчет допусков размерных цепей теоретико-вероятностным методом

Номинальные размеры составляющих звеньев , мм

Допуск замыкающего звена Т, мкм

Законы распределения

Допуски составляющих звеньев Т, мкм

Единица допуска , мкм

Размеры звеньев с отклонениями, мм




Табл.

Отк.



 = 6


1

18


0,5329

 = 6


1

18


0,5329

 = 20


2

33


1,7161

 = 25

2

33


1,7161

 = 25


3

33

52

1,7161

 = 38


1

39

62

2,4336

 = 60


2

46


3,4596

 = 182


2

72


8,41


.        Определяем средний коэффициент точности:

а =  =  =  =  =  = 27,8,

где  = 1;  = 1,73;  = 1,22; i - единица допуска; n - число составляющих звеньев;  - допуск замыкающего звена.

Значения для i необходимо взять из табл. 4.4. и возвести каждое из них в квадрат.

Для данной задачи  =  = 0,5392 мкм;  =  =  = 1,7161 мкм;  = 2,4336 мкм;  = 3,4596 мкм;  = 8,41 мкм.

.        Занесем числовые значения  в графу 6 табл. 5.2.

.        По среднему коэффициенту точности (табл. 4.5) определим квалитет точности.

Значение «а» ближе к 25,чем к 16, поэтому выбираем 8 квалитет.

.        Согласно квалитету и размерам звеньев (табл. 4.6) находим значения допусков составляющих звеньев и заносим их в графу 4 табл. 5.2.

.        Проверка допуска:

 =  =  =  =  =  = 179,32 мкм = 180 мкм.

Допускается, чтобы сумма допусков составляющих звеньев была равна или меньше допуска замыкающего звена, но не более чем на 5 - 6%.

В данном случае (когда  ˃ Т) рекомендуется провести корректировку следующим образом: часть допусков можно взять по 9 квалитету и таким образом уменьшить  до необходимого значения.

Например, назначим по 9 квалитету допуски на размеры  и .

В этом случае Т = 52 мм, Т = 62 мм, тогда  = 192 мкм.

 ˃ Т на 4%, что находится в пределах допустимого.

.        Отклонения для увеличивающего звена  подсчитываем. Для этого определяем средние отклонения для уменьшающих размеров с  по  по формуле:

𝛥сА = ;

𝛥с = 𝛥с =  = -9 мкм;

𝛥с = 𝛥с =  = -16,5 мкм;

𝛥с =  = -26 мкм;

𝛥с =  = -31 мкм;

𝛥с =  = -23 мкм;

Для замыкающего звена () положим верхнее отклонение, равным допуску, а нижнее - равным 0.

ES = Т = 200 мкм;

Тогда среднее отклонение для замыкающего звена находим по формуле:

𝛥с =  =  = 100 мкм.

Среднее отклонение для увеличивающего размера  находим из уравнения:

𝛥с =;

 = (-9)*2 + (-16,5)*2 - 26 - 31 - 23 = -131 мкм;

𝛥с = -131 + 100 = -31 мкм.

Верхнее и нижнее отклонения для увеличивающего размера :

ES = 𝛥с +  = -31 +  = -8 мкм;

EI = 𝛥с -  = -31 -  = -54 мкм.

Допуски, рассчитанные методом полной взаимозаменяемости, получаются более жесткими, то есть точность выше, чем при расчете теоретико-вероятностным методом.

5.      Зубчатые соединения

Зубчатые передачи получили широкое распространение в конструкциях современных машин и механизмов передачи вращательных движений или моментов сил с одного вала на другой с заданным отношением угловых скоростей, а также для преобразования вращательного движения в поступательное и наоборот. Зубчатые передачи по сравнению с другими механическими передачами обладают существенными достоинствами: малыми габаритами; высоким КПД; большой надежностью в работе; постоянством передаточного отношения из-за отсутствия проскальзывания; возможностью применения в широком диапазоне моментов, скоростей и передаточных отношений.

В зависимости от расположения и формы зубьев зубчатые колеса подразделяют на прямозубые, косозубые, шевронные и с криволинейными зубьями. Наибольшее распространение получили эвольвентные цилиндрические зубчатые передачи.

Зубчатые передачи между параллельными валами осуществляются цилиндрическими колесами с прямыми, косыми и шевронными зубьями. Передача между валами с пересекающимися осями производятся обычно коническими колесами с прямыми и круговыми зубьями, реже тангенциальными. Зубчатые передачи для преобразования вращательного движения в поступательное и наоборот осуществляются цилиндрическим колесом и рейкой. Для валов с перекрещивающимися осями применяют зубчато-винтовые передачи.

5.1 Расчет показателей зубчатых соединений

Дано: вид зубчатых колес: цилиндрические, прямозубые, некоррегированные. Параметры: m = 8,  = 40,  = 80. Назначение - редуктор нормального ряда.

Для расчета зубчатых и червячных соединений воспользуемся формулами (табл. 5.3 - 5.5).

.        Согласно назначению зубчатой передачи определим, что контакт зубьев и боковой зазор являются группой показателей точности, которая имеет наибольшее значение для данной передачи.

.        Определим степень точности для выбранной группы показателей по табл. 5.12 или 5.13 [2]. Из этих же таблиц выпишем окружную скорость.

Степень точности для группы контакта зубьев равна 8, окружная скорость составляет 6 .

Принцип комбинирования норм точности. Комбинирование норм позволяет устанавливать повышенную точность только тех параметров колес, которые важны для удовлетворения эксплуатационных требований, остальные параметры можно выполнять по более грубым допускам. При комбинировании нужно учитывать, что нормы плавности работы колес и передачи могут быть не более чем на 2 степени точнее или на одну степень грубее норм кинематической точности; нормы контакта зубьев можно назначать точнее норм плавности колес и передач, а так же и на одну степень грубее норм плавности.

.        В данной задаче для групп плавности и кинематических показателей назначим одинаковые степени точности на одну ниже, чем для группы контакта зубьев, т.е. степень точности 9.

.        Исходя из величины окружной скорости, определим вид сопряжения, учитывая, что наименьший боковой зазор назначается для тихоходных передач, а наибольший - для быстроходных.

В данной задаче передача малоскоростная, т.к. скорость 6 , поэтому выбираем вид сопряжения D.

.        Назначим допуск на боковой зазор и укажем класс отклонения межосевого расстояния, пользуясь табл. 5.2.

Допуск на боковой зазор - d, класс отклонения межосевого расстояния - III.

.        Запишем обозначение точности зубчатой цилиндрической передачи: 9 - 8 - 7 D ГОСТ 1643 - 81, где - степень точности кинематической группы показателей; вторая 8 - степень точности группы плавности; 7 - степень точности группы контакта зубьев; D - вид сопряжения; D - допуск на боковой зазор.

.        Для одной группы показателей точности, которая имеет наибольшее значение для данной передачи, определяем нормируемые показатели. В приведенной выше задаче наибольшее значение имеет контакт зубьев. Показатели выписываем из табл. 5.4 - 5.6 в справочнике [2].

Затем подсчитываем делительные диаметры ведущего и ведомого колеса  и , ширину каждого зубчатого колеса  и , межосевое расстояние передачи . Ширину зубчатого венца положим равной 1/3 делительного диаметра, представленного в табл. 5.2 - 5.4.

Табл. 6.1. Расчет геометрических параметров прямозубых колес внешнего зацепления

Параметры и обозначения

Формулы

Расчеты

Передаточное число, n

n = /; где  - число зубьев шестерни;  - число зубьев колеса

n = 80/40 = 2

Модуль m, мм

Округляем до стандартного значения по ГОСТ 9563 - 60

1 - ряд; m = 8

Диаметр делительной окружности d, мм

 = *;  = *

 = 8*40 = 320  = 8*80 = 640

Диаметр вершин зубьев , мм

 =  + 2;  =  + 2

 = 320 + 2*8 = 336  = 640 + 2*8 = 656

Диаметр впадин зубьев , мм

 =  - 2,5;  =  - 2,5

 = 320 - 2,5*8 = 300  = 640 - 2,58 = 620

Высота зуба h, мм

h =  +

h = 8 + 10*8 = 88

Высота головки зуба , мм

 =

 = 8

Высота ножки зуба , мм

 = 1,25

 = 1,25*8 = 10

Межосевое расстояние , мм

 = ( + )/2 = ( + )/2

 = (320 + 640)/2 = 960/2 = 480

Ширина зубчатого венца b, мм

b = (6…8)m, но не более 1/3 делительного диаметра

См. п. 1


Определяем суммарное пятно контакта по высоте и длине зуба, допуски на параллельность f, перекос осей  и напряжение зуба  по табл. 5.10 в справочнике [2] (ГОСТ 1643-81).

Суммарное пятно контакта для 8 степени точности по высоте зубьев составляет 40%, по длине зубьев - не менее 50%.

Для определения следующих показателей подсчитаем делительные диаметры  и :

 = m = 8*40 = 320 мм;

 = m = 8*80 = 640 мм.

Ширина венца зубчатого колеса составляет:

 = 1/3;

 = 1/3;

 = 107 мм;

 = 213 мм,

 =  =  =  = 480 мм.

Для 8-й степени точности  = 32 мкм;  = 40 мкм;  = 16 мкм;  = 20 мкм;  = 32 мкм;  = 40 мкм.

Выпишем значения  и  по ГОСТ 1643 - 81 и ГОСТ 91178 - 81 либо из табл. 5.17 в [2]. Для этого подсчитываем межосевое расстояние.

Виду сопряжения D, классу межосевого расстояния III, его величине, раной 480 мм, отклонению межосевого расстояния  = ±50 мкм, соответствует гарантированный боковой зазор = 97 мкм.

Нормы плавности работы ([3], табл. 5.9): кинематическая погрешность , допуск на погрешность профиля , предельные отклонения шага .

На чертеже зубчатого колеса указать:

. Шероховатость боковых поверхностей зубьев и нерабочих поверхностей ([1], табл. 6 прил. 5):

профиль зубьев прямозубых передач - Ra=3,2;

по диаметрам впадин - Ra=3,2;

по диаметрам выступов - Ra=3,2.

. Диаметр ступицы:

dст=(1,6-1,8)Dотв; Dотв≈1/5da;ст1=1,8*67,2=120,96 мм;отв1≈1/5*336=67,2 мм;ст2=1,8∙131,2=236,16 мм;отв2≈1/5∙656=31,2 мм.

. Длина ступицы:ст=(1,5-1,7)Dотвст1=1,7∙67,2=114,24 мм;ст2=1,7∙131,2=223,04 мм.

. Торцевое биение венца зубчатого колеса ([1], табл.7 прил.5): степень точности 9, если ширина зубчатого колеса 106,7, то допуск Fm1=32 мм.

Торцевое биение венца зубчатого колеса ([1], табл.7 прил.5): степень точности 9, если ширина зубчатого колеса 213,3, то допуск Fm1=100 мм.

Допуски на радиальное биение, т.к степень точности 9, делительный диаметр=106,7 мм,то допуск=71 мм.

Допуски на радиальное биение, т.к степень точности 9, делительный диаметр=213,3 мм, то допуск=80мм.

. Диаметр отверстия с посадкой, которая выбирается в зависимости от условий работы зубчатых колес ([1], табл.9 прил.5):отв1 с посадкой - ∅106,7 ;отв2 с посадкой - ∅213,3 .

. Ширина паза шпонки с соответствующим полем допуска. Ширина паза определяется в зависимости от диаметра отверстия Dотв ([1], табл.10 прил. 5). Поле допуска для ширины паза втулки выбирать ([1], табл.11 прил.5), считая что соединение нормальное:

Паз вала: N9; паз втулки: Is9;отв1=106,7, номинальные размеры шпонки ; фаска s=0,16; длина l=36; глубина t1=2,5, t2=6,4; радиус закругления r или фаска s1∙45°=0,6.отв2=213,3, номинальные размеры шпонки , фаска s=0,25; длина l=70; глубина t1=3,5, t2=11,4; радиус закругления r или фаска s1∙45°=1,0.

Заключение

Современное машиностроение основано на взаимозаменяемости деталей, узлов и механизмов, обладает высокой производительностью, точностью и высоким качеством изготовления.

В данной курсовой работе проведены все необходимые расчеты, которые требуются по заданию. Учтены конструктивные особенности механизма и условия его работы. Мы изучили методику расчета допустимых значений максимального и минимального натяга в посадке и рассчитали стандартную посадку с натягом, посадку колец подшипника с валом и корпусом, назначили на сопрягаемые детали отклонения формы посадочных поверхностей и шероховатости, а также назначили поля допусков для деталей, входящих в шпоночное соединение.

Библиографический список

1.      Палей, М. А. Допуски и посадки : справочник. В 2 ч. Ч. 1 / М. А. Палей, А. Б. Романов, В. А. Брагинский. - 8-е изд., перераб. И доп. - СПб. : Политехника, 2001.

.        Палей, М. А. Допуски и посадки : справочник. В 2 ч. Ч. 2 / М. А. Палей, А. Б. Романов, В. А. Брагинский. - 8-е изд., переработ. И доп. - СПб. : Политехника, 2001.

.        Зайцев, С. А. Допуски, посадки и технические измерения в машиностроении : учебник для нач. проф. Образования / С. А. Зайцев, А. Д. Куранов, А. Н. Толстов. - М. : Издат. Центр «Академия», 2004. - 240с.

.        Соломахо, В. Л. Основы стандартизации, допуски, посадки и технические измерения / В. Л. Соломахо, Б. В. Цитович. - Минск : Дизайн ПРО, 2004. - 296 с. : ил.

.        Романов, А. Б. Допуски изделий и средства измерений : справочник для учащихся ПТУ, техникумов и молодых рабочих / А. Б. Романов. - СПб. : Политехника, 2003. - 291 с. : ил.

.        Ганевский, Г. М. Допуски и посадки и технические измерения в машиностроении : учеб. Пособие для сред. Проф. Образования / Г. М. Ганевский, И. И. Гольдин. - М. : ПрофОбрИздат, 2002. - 288 с. : ил.

.        Димов, Ю. В. Метрология, стандартизация и сертификация : учебник для вузов. 2-е изд. - СПб. : Питер, 2006. - 432 с. : ил. - (Серия «Учебник для вузов»).

.        Мягков, В. Д. Допуски и посадки : справочник. В 2 ч. Ч. 1 / В. Д. Мягков, М. А. Палей, А. Б. Романов. - 6-е изд., перераб. И доп. - Л. : Машиностроение : Лениингр. Отд-ние, 1982. - 543 с. : ил.

.        Мягков, В. Д. Допуски и посадки : справочник. В 2 ч. Ч. 2 / В. Д. Мягков, М. А. Палей, А. Б. Романов. - 6-е изд., перераб. И доп. - Л. : Машиностроение : Ленингр. Отд-ние, 1982. - 543 с. : ил.

Похожие работы на - Нормирование точности деталей, узлов и механизмов в машиностроении

 

Не нашли материал для своей работы?
Поможем написать уникальную работу
Без плагиата!
Без нейросетей!