Разработка технологического процесса и схемы комплексной механизации перегрузки груза с одного вида транспорта на другой
Разработка
технологического процесса и схемы комплексной механизации перегрузки груза с
одного вида транспорта на другой
Введение
груз транспорт механизация
Полное обеспечение потребителей народного
хозяйства страны в перевозках с высокой эффективностью и качеством требует
широкого внедрения комплексной механизации и автоматизации
погрузочно-разгрузочных работ. В этих целях предусмотрено последовательное
осуществление перехода от создания и внедрения отдельных машин и
технологических процессов к разработке и производству высокоэффективных систем,
машин, оборудования, приборов и технологических процессов, обеспечивающих
комплексную механизацию и автоматизацию на всем пути перемещения грузов от
отгрузки до реализации у потребителя. Значительно увеличивается объем перевозок
грузов в контейнерах, прежде всего в крупнотоннажных, а также в пакетированном
виде.
Наряду с осуществлением
дальнейшей технической реконструкцией грузового хозяйства транспорта
значительная часть прироста грузооборота должна осваиваться за счет вскрытия и
использования резервов, рациональной организации перевозочного процесса, путем
дальнейшего совершенствования комплексной механизации и автоматизации
погрузочно-разгрузочных работ и складских операций, широкого внедрения научной
организации труда.
Принятые средства комплексной
механизации и автоматизации погрузочно-разгрузочных работ, а также мини
механизированных цехов или устройств должны, при наименьших капитальных
затратах обеспечивать высокую производительность труда, более низкую
себестоимость, работ полную сохранность груза и подвижного состава и наименьшие
сроки простоя подвижного состава под грузовыми операциями.
Выбор рациональных схем механизации
погрузочно-разгрузочных работ и способов транспортирования грузов на том или
ином транспортном или промышленном объекте следует производить с учётом
интересов как внешнего транспорта, так и транспорта предприятия, складских
территорий и помещений.
Рациональная схема механизации должна
обеспечить:
· комплексную механизацию работ на всех этапах
переработки груза;
· снижение себестоимости переработки
груза;
· повышение производительности труда и
сокращение количества занятой рабочей силы на основе современной организации
труда и использования средств автоматизации;
· сокращение ручного труда на
переработке груза;
· облегчение условий труда
обслуживающего персонала;
· безопасность при проведении работ.
Выбор оптимального решения
может быть сделан в результате всестороннего сравнения различных вариантов по
показателям, учитывающим, насколько полно каждый из вариантов решает задачи,
поставленные перед разработчиком. При этом главным фактором являются показатели
технико-экономической эффективности: себестоимость перегрузки,
производительность, рентабельность, сроки окупаемости и другие.
Целью курсового проекта является разработать
проект транспортно-грузовой системы с механизацией и автоматизацией
погрузочно-разгрузочных работ с морского транспорта на автомобильный для
контейнерных грузов. Выполнить технико-экономические расчеты, связанные с
обоснованием принимаемых решений и графическую проработку.
1.
Исходные данные
Разработать проект комплексной механизации и
автоматизации погрузочно-разгрузочных работ в морском порту при следующих
исходных данных:
Данные по поступлению груза:
.Вид транспорта - речное судно;
.Коэффициент суточной неравномерности - 1,7;
.Период приема груза - 262 дня;
.Вид груза - контейнер 20-ти футовый;
.Объём перевозок - 680000 тонн;
.Минимальная грузоподъёмность - 1000 т.
Данные по хранению груза:
.Время хранения - 12 суток;
.Условия хранения груза- открытое.
Данные по отправке груза:
.Вид транспорта - автомобиль самосвал, 5 т.;
.Коэффициент суточной неравномерности - 1,4;
.Период отправки груза - 262 дня;
Перегрузочные работы:
Вариант 1:
.Способ разгрузки: портальный кран;
.Способ погрузки: автопогрузчик с
телескопической стрелой.
Вариант 2:
.Способ разгрузки: мостовой перегружатель
(речной) ;
.Способ погрузки: козловой кран.
2.
Технология переработки грузов и анализ грузопотоков
2.1 Технологическая схема переработки грузов
На основании полученных исходных данных и
анализа технологии работ перегрузочного пункта или предприятия необходимо
составить принципиальную схему переработки груза с указанием возможных
направлений грузопотоков. Начало и конец грузопотока должны соответствовать
зонам склада и работе перегрузочного устройства, где перемещаемый груз может
находиться некоторое время без движения.
Технологическая схема переработки грузов с
одного вида транспорта на другой через склад представленная на рис.1.
2.2Технические и экономические характеристики
перегрузочных машин
|
Характеристики
|
Обозначение
|
Мостовой
Кран КОНЕ
|
Козловой
кран КК-20
|
Портальный
кран
«Сокол»
|
Автопогрузчик
с телескопической стрелой
|
|
1.Грузоподъёмность,т
|
G
|
30,5
|
20
|
32
|
27
|
|
2.Высота
подъёма крюка, м
|
Hn
|
|
-
|
25
|
8.5
|
|
3.Вылет
- максимум - минимум
|
Rmax
Rmin
|
34,3
6,0
|
-
-
|
32
8
|
8.35
3.6
|
|
4.Скорость,
м/с - подъёма(опускание) - передвижение тележки - передвижение перегрузочной
машины - изменение вылета - поворота крана
|
40
120 45
|
0,16
0,66 - - -
|
63
м/мин 32 м/мин 0.75 63 м/мин 1.6 об/мин
|
0.2
- 6 0.5 -
|
|
8.Амортизационные
отчисления - ежегодные отчисления, % - отчисления на текущий ремонт, %
|
Ао Во
|
|
8.4 2
|
11.4 1.0
|
2 2
|
.3 Анализ технологической схемы переработки
груза
Анализ первого и второго варианта
переработки груза
На первом этапе необходимо определить
интенсивность грузопотоков. За величину интенсивности входящего грузопотока Qвх
принимается расчётный суточный Qрассут,
т.е. количество груза, поступавшего и отправляемого в пункта приёмки за сутки.
При этом учитывается неравномерность подхода или ухода транспортных средств,
т/сут:
где 
- заданный годовой грузооборот, т;

- число рабочих дней в году работы
транспортного предприятия;

- коэффициент суточной
неравномерности по прибытию или отправлению транспортных средств и груза.
Грузопоток по прибытию:
Грузопоток по отправлению:
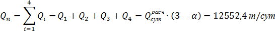
Если количество выгружаемого из
судна угля составит 100% от входящего грузопотока,
Общее количество груза,
перерабатываемое при данном перегрузочном процессе, составит:
Коэффициент переработки груза учитывает
дополнительные перевалки груза на складе и при подаче его на транспортные
средства. Необходимо стремиться к Kпер
-
min.Чем меньше
величина Kпер,
тем рациональнее организована технология переработки груза на складе.
Расчётный суточный грузооборот:
где: q
- средняя масса груза в одном контейнере, т.
Общее количество контейнерных операций, которое
на складе потребуется осуществлять в течение суток, контейнерных операций/сут:
где a - коэффициент,
учитывающий процент перегрузки контейнера. Принимаем a
= 0.1-0.2.
Поскольку на складе осуществляется также и
сортировка контейнеров, то
где b- коэффициент,
учитывающий процент дополнительных операций по сортировке и перестановке
контейнеров.
При выборе в последующем расчёте перегрузочных
устройств особенно важным является правильное установление параметров, в
частности, потребной часовой производительности.
2.4 Определение потребной часовой
производительности перегрузочных устройств
Вариант 1

где:
nпод - число
подач в течение суток;
Тнорм - время на погрузку
или разгрузку одной подачи;
t - время на
вспомогательные операции.
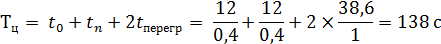
1.Мостовой перегружатель:
.Автопогрузчик с телескопической
стрелой:
Вариант 2
1. Портальный кран:
.Козловой кран:
3.
Расчетно-графическая часть
.1 Компоновка складов универсальных контейнеров,
определение вместимости склада
Размеры склада открытого хранения груза по
поперечному сечению определяются следующим образом.
Ширина склада,
м,
где
- пролет козлового крана, м

- расстояние от оси опоры до
торцевой стенки контейнера, м.
Параметры крупнотоннажного
контейнера:
Ширина = 2,5 метра;
Длина = 6 метра;
Высота = 2,5 метра;
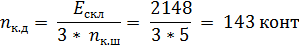
Вместимость склада:

12 = 2148
где tхр - срок хранения груза на
складе, сут;
Qсут.ср-
среднесуточный грузооборот, т/сут. На складах, где имеются грузопотоки по
прибытию и отправлению, среднесуточный грузооборот представляет собой сумму
грузооборотов по прибытию и отправлению грузов.
Для хранения контейнеров в течение
12 суток, понадобиться склад вместимостью на 2148 контейнеров.
Количество контейнеров, размещённых по длине
склада:
Длина склада:
Площадь склада:
3.2 Расчёт фактической производительности и
определение параметров перегрузочного оборудования
Расчёт фактической производительности для машин
циклического действия выполняется в зависимости от цикла работ и конкретных
условий работы по грузопотокам.
Фактическая часовая производительность
перегрузочной машины циклического действия, т/ч, определяется по формуле:
где t
- время предусмотренных перерывов в работе в течение часа, с;
m - средняя масса
единовременно перемещаемого груза, т;
Тц- продолжительность одного цикла,
с.
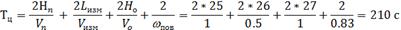
Вариант 1
1.Портальный кран:
2 .Автопогрузчик с телескопической
стрелой:

,
где 
- среднее время выдвижения стрелы;

- время передвижения.
Вариант 2
Мостовой кран
Козловой кран
3.3 Расчёт потребного количества перегрузочного
оборудования
Расчёт потребного количества перегрузочных машин
для различных этапов грузопереработки на пункте взаимодействия производится в
зависимости от потребной производительности перегрузочных машин и оборудования:
Вариант 1
1.Портальный кран:

0;
2.Автопогрузчик с телескопической
стрелой:

;
Вариант 2
1.Мостовой кран:

21;
2.Козловой кран:

.
4.
Экономическая часть
.1 Определение величины капитальных вложений
Вариант 1
В состав затрат перегрузочного процесса входит
размер капиталовложений, необходимых для строительства, машин, установок, или
отчислений на их эксплуатацию.
Смета капитальных затрат на строительство или
эксплуатацию проектируемой установки
Таблица 5
|
Наименов
оборудов или сооружения
|
Хаар-ки
оборудов или сооруж
|
Единицы
измер
|
Кол-во
единиц
|
Стоим
одной единицы, руб
|
Сумма,
руб
|
Коэффициент
амортиз отчислений, %
|
|
Портальный
кран
|
Кондор
|
шт.
|
30
|
67
500 000
|
11,4
|
|
Автопогрузчик
|
КК-32
|
шт.
|
19
|
3
100 000
|
58
900 000
|
25,6
|
|
Итого
|
126400000
|
|
Учитывая стоимость перевозки и монтажа
оборудования, добавляя к прейскурантной цене 15-20%, сумма капитальных вложений
будет равна:
Смета капитальных затрат на строительство или
эксплуатацию проектируемой установки при мостового перегружателя и
автопогрузчика с телескопической стрелой
Таблица 6
|
Наименование
оборудования или сооружения
|
Характеристики
оборудования или сооружения
|
Единицы
измерения
|
Количество
единиц
|
Стоимость
одной единицы, руб
|
Сумма,
руб
|
Коэффициент
амортизационных отчислений, %
|
|
Мостовой
перегружатель
|
Коне
|
шт.
|
21
|
1
300 000
|
27
300 000
|
8,4
|
|
Козловой
кран
|
Valmet
|
шт.
|
25
|
1
828 000
|
45
700 000
|
12,4
|
|
Итого
|
73
000 000
|
|
Учитывая стоимость перевозки и монтажа
оборудования, добавляя к прейскурантной цене 15-20%, сумма капитальных вложений
будет равна:
Вследствие физического или
морального износа механическое оборудование с течением времени приходит в
негодность.
Для капитального ремонта или
приобретения нового оборудования производятся ежегодные отчисления, называемые
амортизационными.
Подсчет расходов на амортизацию и
ремонт оборудования представлены в табл.7,8.
Таблица 7Ведомость подсчёта расходов на
амортизацию и текущий ремонт оборудования и сооружений при использовании
портального и козлового кранов
|
Объект
|
Стоимость
объектов, руб
|
Фактическое
число часов работы
|
Процент
отчислений
|
Суммарный
расчет с учетом поправочного коэффициента
|
Сумма,
руб
|
|
|
|
При
Трасч=3000ч
|
|
|
|
|
|
на
амортизацию
|
на
текущий ремонт
|
|
|
|
Портальный
кран
|
27
300 000
|
5160
|
11,4
|
1,0
|
21,3
|
5814900
|
|
Автопогрузчик
|
58
900 000
|
5160
|
25,6
|
2,0
|
27,5
|
16197500
|
|
Итого
|
22012400
|
Таблица 8 Ведомость подсчёта расходов на
амортизацию и текущий ремонт оборудования и сооружений при использовании
мостового перегружателя и автопогрузчика с телескопической стрелой
Стоимость
объектов, руб
|
Фактическое
число часов работы
|
Процент
отчислений
|
Суммарный
расчет с учетом поправочного коэффициента
|
Сумма,
руб
|
|
|
|
При
Трасч=3000ч
|
|
|
|
|
|
на
амортизацию
|
на
текущий ремонт
|
|
|
|
Мостовой
перегружатель
|
27
200 000
|
5160
|
8,4
|
2,0
|
17,9
|
4
868 800
|
|
Козловой
кран
|
45
700 000
|
5160
|
25,6
|
1,0
|
22,7
|
10373900
|
|
Итого
|
15242700
|
4.2 Определение расходов на содержание
рабочих
Расходы на содержание рабочей силы складываются
из расходов по заработной плате персонала, непосредственно обслуживающего
механизма (повременная оплате труда), а также расходов по заработной плате
рабочих, находящихся на сдельной оплате труда.
В соответствии с принятым оборудованием
определяются расстановка рабочей силы, категории рабочих и число их в 1 смену.
Сводная ведомость составлена с условием
категорий, количества и оплаты персонала (табл.9,10).
Таблица 9. Ведомость подсчёта заработной платы
персонала, находящегося на повременной оплате труда при использовании
портального и козлового кранов
|
Профессия,
должность
|
Фактический
штатный состав,чел.
|
Расчётный
списочный состав, чел.
|
Зарплата,
руб.
|
|
По
сменам
|
Всего
в сутки
|
При
2 выходных днях кс = 1
|
При
непрерывной рабочей неделе
|
На
одного рабочего в месяц
|
На
списочный состав в месяц
|
На
списочный состав в год
|
|
1
|
2
|
|
|
|
|
|
|
|
Крановщик
портального крана
|
30
|
30
|
60
|
|
2.84
|
30
000
|
1800000
|
21600000
|
|
Оператор
автопогрузчика с телескопической стрелой
|
19
|
19
|
48
|
|
2.84
|
30
000
|
1440000
|
17280000
|
|
Стропальщик
|
60
|
60
|
120
|
|
2.84
|
15
000
|
1800000
|
21600000
|
|
Итого
|
60480000
|
Оператор автопогрузчика с телескопической стрелой
Таблица 10
Ведомость подсчёта заработной платы персонала,
находящегося на повременной оплате труда при использовании мостового
перегружателя и автопогрузчика
Фактический
штатный состав,чел.
|
Расчётный
списочный состав,чел.
|
Зарплата,руб.
|
|
По
сменам
|
Всего
в сутки
|
При
2 выходных днях кс = 1
|
При
непрерывной рабочей неделе
|
На
одного рабочего в месяц
|
На
списочный состав в месяц
|
На
списочный состав в год
|
|
1
|
2
|
|
|
|
|
|
|
|
Оператор
мостового перегружателя
|
21
|
21
|
42
|
|
2.84
|
30
000
|
1260000
|
15120000
|
|
Крановщик
козлового крана
|
15
|
15
|
30
|
|
2.84
|
30
000
|
900000
|
10800000
|
|
Стропальщик
|
16
|
16
|
32
|
|
2.84
|
15
000
|
480000
|
5760000
|
|
Итого
|
31680000
|
4.3 Определение расходов на электроэнергию,
топливо и смазку
Расходы на электроэнергию, топливо и смазку,
потребляемые подъемно - транспортным и другим механическим оборудованием
установок, подсчитываются в зависимости от числа часов работы данного агрегата,
нормы расхода топлива или электроэнергии и стоимости 1т горючего или 1 кВт∙ч
электроэнергии.
Для машин непрерывного действия с
электроприводом расчет ведется по фактическому времени их работы в
установленной мощности двигателя:
(20)
где N
- мощность двигателя, кВт;
Тф-
фактическое число часов работы механизма в год;
p
- стоимость 1 кВт/ч электроэнергии, руб.
Расчет затрат на электроэнергию для одного
механического оборудования:
Для машин с двигателями внутреннего
сгорания расчет производится в зависимости от удельного расхода топлива 1 л.с.∙ч,
руб:
(21)
где: Тф-
фактическое число часов работы механизма в год;
N - мощность двигателя, кВт;
q - удельный расход топлива,
кг/л.с.;
p - стоимость 1 кг топлива или
1 кВтЧч электроэнергии, руб.
Расчет затрат для машин с двигателями
внутреннего сгорания:
Расход энергии на освещение рабочей
площадки:
(22)
где: F - освещаемая площадь,
м2;
B - норма расхода мощности,
Вт/м2, зависящая от назначения освещаемой площади и составляющая для
складов металлов и штучных грузов = 4 - 10 Вт/м2;
Тосв- число
часов освещения в течение года, зависящее от географических
условий и числа смен, двухсменной -
2600 ч;
Росв- стоимость
1 кВт∙ч осветительной энергии, руб.
Расчет расхода энергии на освещение
рабочей площадки:
Расход на смазку механического
оборудования, установок:
Суммарные годовые расходы на
электроэнергию, топливо и смазку составляют:
(23)
Расчет суммарных годовых расходов на
электроэнергию, топливо и смазку при использовании портального и автопогрузчика
телескопической стрелой кранов:
Расчет суммарных годовых расходов на
электроэнергию, топливо и смазку при использовании мостового перегружателя и
козлового крана:
4.4
Определение себестоимости переработки груза
(24)
где Эгод- суммарные
годовые эксплуатационные расходы, руб.;
Qгод- годовой
грузооборот.
Расчет себестоимости переработки груза при
использовании портального и козлового кранов:
Расчет себестоимости переработки груза при
использовании мостового перегружателя и автопогрузчика с телескопической
стрелой:
Сравнение двух вариантов механизации
перегрузочных работ (табл. 11).
Таблица 11. Сравнение вариантов перегрузочных
работ
|
№
|
Наименование
|
Единицы
измерения
|
Вариант
1
|
Вариант
2
|
|
1
|
Грузооборот
|
т/год
|
680000
|
680000
|
|
2
|
Единовременный
запас, хранения или емкость, склад
|
шт.
|
2148
|
2148
|
|
3
|
Капитальные
вложения (затраты)
|
руб.
|
151680000
|
687600000
|
|
4
|
Годовые
эксплуатационные расходы, в том числе - Отчисления на
амортизацию и ремонт - Расходы на электроэнергию - Расходы
на горюче - смазочные материалы - Расходы по
зарплате - Численность рабочего персонала - Себестоимость
переработки груза
|
руб.
руб. руб. руб. руб. чел. руб./т
|
182868864
22012400 221364 155100 60480000 228 237,3
|
47639724
15242700 561924 155100 31680000 104 199,2
|
|
5
|
Производительность
труда
|
т/чел.т
|
|
|
Выводы
В данном курсовом проекте была разработана
система комплексной механизации и автоматизации погрузочно-разгрузочных работ
для перегрузки контейнеров.
При сравнении двух вариантов механизации по
годовым эксплуатационным расходам более экономичным оказался вариант № 1
(использование портального крана и автопогрузчика с телескопической стрелой).
Список литературы
1. Шведов В.Е., Шведов В.В.
Механизация и автоматизация погрузочно-разгрузочных и складских работ на
транспорте. Методические указания по курсовому и дипломному проектированию.
Санкт-Петербург,2006.
2. Шведов В.Е., Шведов В.В.
Механизация и автоматизация погрузочно-разгрузочных и складских работ на
транспорте: Учебное пособие. Санкт-Петербург, 2006.
. Шведов В.Е., Иванова Н.В.
Грузоведение: Учебное пособие/СПб ГУГА. С.-Петербург, 2007.
. Конспект лекций «Механизация и
автоматизация погрузочно-разгрузочных работ на транспорте».