Дифференциальные уравнения в частных производных
Международный
университет природы, общества и человека “Дубна”
Филиал
“Угреша”
Кафедра
"Новые материалы и технологии"
Дисциплина
"Уравнения математической физики"
Курсовая
работа
«Дифференциальные
уравнения в частных производных»
Проверил: В.В. Кожевников
Дзержинский
2011
Оглавление
Введение
.
Классификация
.
Существование и единственность решения
. Основные
уравнения математической физики
.1 Волновое
уравнение
.2 Уравнение
теплопроводности
.3 Уравнения
Пуассона и Лапласа
.4 Начальные
и граничные условия
. Примеры
задач для УМФ
.1 Одномерное
уравнение теплопроводности
.2 Уравнение
колебаний струны
.3 Двумерное
уравнение Лапласа
. Решение
уравнений математической физики
.1
Аналитическое решение
.2 Численное
решение
Заключение
Литература
Введение
Дифференциальные уравнения в частных производных (общеупотребительно
сокращение ДУЧП, также известны как уравнения математической физики, УМФ) -
дифференциальные уравнения, содержащие неизвестные функции нескольких
переменных и их частные производные.
Классические
уравнения математической физики являются линейными. Особенность линейных
уравнений состоит в том, что если u и v - два решения,
то функция 
при
любых постоянных α и 
снова
является решением. Это обстоятельство позволяет построить общее решение
линейного дифференциального уравнения из фиксированного набора его элементарных
решений и упрощает теорию этих уравнений.
Современная
общая теория дифференциальных уравнений занимается главным образом линейными
уравнениями и специальными классами нелинейных уравнений. Основным способом
решения нелинейных дифференциальных уравнений в частных производных выступает
численное интегрирование.
1.
Классификация
Размерность
ДУ равна количеству независимых переменных и для УЧП должна быть не меньше 2
(при 1 получается обыкновенное дифференциальное уравнение).
Есть
линейные и нелинейные уравнения. Линейное уравнение представимо в виде линейной
комбинации производных от неизвестных функций и самой искомой функции.
Коэффициенты при этом могут быть либо постоянными, либо известными функциями.
Линейные уравнения хорошо исследованы, за решение отдельных видов нелинейных
уравнений назначены миллионные премии (задачи тысячелетия). Уравнения, линейные
относительно старших производных, называются квазилинейными.
Уравнение
является неоднородным, если в нём есть слагаемое, не зависящее от неизвестных
функций, при его отсутствии уравнение называется однородным.
Порядок
дифференциального уравнения определяется максимальным порядком производной.
Имеют значение порядки по всем переменным.
Линейные
уравнения второго порядка в частных производных подразделяются на
параболические, эллиптические и гиперболические.
Линейное
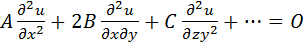
уравнение второго порядка, зависящее от двух независимых переменных имеет вид:

, (1.1)
где
A, B, C - коэффициенты, зависящие от переменных x и y, а многоточие означает
члены, зависящие от x, y, u и частных производных первого порядка: 
и 
. Это
уравнение похоже на уравнение конического сечения:

. (1.2)
Так
же, как конические сечения разделяются на эллипсы, параболы и гиперболы, в зависимости
от знака дискриминанта D = 
−
AC, классифицируются уравнения второго порядка в заданной точке:

- гиперболическое
уравнение, (1.3)

-
эллиптическое уравнение, (1.4)

-
параболическое уравнение (1.5)
(здесь
предполагается, что в данной точке коэффициенты A, B, C не обращаются в нуль
одновременно).
В
случае, когда все коэффициенты A, B, C - постоянные, уравнение имеет один и тот
же тип во всех точках плоскости переменных x и y. В случае, если коэффициенты
A, B, C непрерывно зависят от x и y, множество точек, в которых данное
уравнение относится к гиперболическому (эллиптическому), типу образует на плоскости
открытую область, называемую гиперболической (эллиптической), а множество
точек, в которых уравнение относится к параболическому типу, замкнуто.
Уравнение называется смешанным (смешанного типа), если в некоторых точках
плоскости оно гиперболическое, а в некоторых - эллиптическое. В этом случае
параболические точки, как правило, образуют линию, называемую линией смены типа
или линией вырождения.
2.
Существование и единственность решения
Хотя
ответ на вопрос о существовании и единственности решения обыкновенного
дифференциального уравнения имеет вполне исчерпывающий ответ (теорема Пикара -
Линделёфа), для уравнения в частных производных однозначного ответа на этот
вопрос нет. Существует общая теорема (теорема Коши-Ковалевской), которая
утверждает, что задача Коши для любого уравнения в частных производных,
аналитического относительно неизвестных функций и их производных имеет
единственное аналитическое решение. Тем не менее, существуют примеры линейных
уравнений в частных производных, коэффициенты которых имеют производные всех
порядков и не имеющих решения (Леви (1957)). Даже если решение существует и
единственно, оно может иметь нежелательные свойства, например, быть
неустойчивым.
Рассмотрим
последовательность задач Коши (зависящую от n) для уравнения Лапласа:

(2.1)
с
начальными условиями:

; (2.2)

, (2.3)
где
n - целое. Производная от функции u по переменной y равномерно стремится к 0 по
x при возрастании n , однако решением уравнения является

. (2.4)
Решение
стремится к бесконечности, если nx не кратно π для любого ненулевого значения y. Задача Коши для
уравнения Лапласа называется плохо поставленной или некорректной, так как нет
непрерывной зависимости решения от начальных данных.
3.
Основные уравнения математической физики
.1
Волновое уравнение
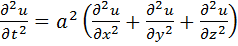
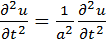
Однородное
волновое уравнение - дифференциальное уравнение с частными производными,
описывающее пространственный процесс распространения возмущений в некоторой
среде:

, (3.1)
где

-
пространственные переменные, t - время, 
-
искомая функция, характеризующая возмущение в точке 
в момент
t, 
-
скорость распространения возмущения (волновая скорость).
Это
простейшее уравнение гиперболического типа. Существуют также соответствующие
неоднородные уравнения (в правой части которых добавлены известные функции) -
телеграфное уравнение и др. Уравнения и системы этого типа появляются при
анализе различных колебаний и волновых процессов. Свойства уравнений и систем
гиперболического типа во многом аналогичны свойствам приведённых (простейших)
уравнений.
Волновое
уравнение является одним из основных уравнений математической физики и широко
используется в приложениях. Если 
зависит
только от двух (одной) пространственных переменных, то волновое уравнение
упрощается и называется двумерным (одномерным).
Малые
свободные колебания струны описываются одномерным волновым уравнением:

. (3.2)
В
двумерном случае 
описывает
малые колебания мембраны (пластины).
.2
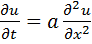
Уравнение теплопроводности
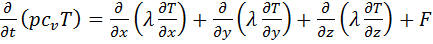
Уравнение
теплопроводности - дифференциальное уравнение с частными производными
параболического типа, описывающее процесс распространения теплоты в сплошной
среде (покоящихся газах, жидкостях и твёрдых телах), это одно из основных
уравнений математической теории. Уравнение теплопроводности выражает тепловой
баланс для малого элемента объёма среды с учётом поступления теплоты от
источников и тепловых потерь через поверхность элементарного объема
впоследствии теплопроводности. Для изотропной неоднородной среды уравнение
имеет вид:

, (3.3)
где
p - плотность среды, 
-
теплоёмкость среды при постоянном объёме, t - время, 
-
координаты, 
-
искомая температура, 
-
коэффициент теплопроводности, 
-
заданная плотность тепловых источников. Величины 
-
зависят от координат и температуры.
В
случае изотропной однородной среды уравнение теплопроводности принимает вид:

, (3.4)
где

-
оператор Лапласа, 
-
коэффициент теплопроводности, 
. В
стационарном состоянии, когда температура не меняется со временем, оно
переходит в уравнение Пуассона 
или, при
отсутствии источников теплоты в уравнение Лапласа 
.
Основными
задачами для уравнения теплопроводности являются задача Коши и смешанная
краевая задача.
.3
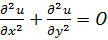
Уравнения Пуассона и Лапласа
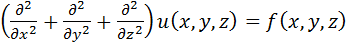
Уравнение
Пуассона - эллиптическое дифференциальное уравнение в частных производных,
которое, среди прочего, описывает:
· электростатическое поле,
· стационарное поле температуры,
· поле давления,
· поле потенциала скорости в гидродинамике.
Это уравнение имеет вид:

, (3.5)
где

-
оператор Лапласа или лапласиан, 
-
действительная или комплексная функция на некотором многообразии.
В
трёхмерной декартовой системе координат уравнение в частности принимает форму:

(3.6)
или

, (3.7)
где

-
оператор Гамильтона ("набла").
Если
f стремится к нулю, то уравнение Пуассона превращается
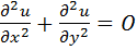
в уравнение Лапласа (уравнение Лапласа - частный случай уравнения Пуассона):

. (3.8)
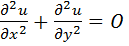
В
трёхмерном пространстве уравнение Лапласа записывается так:

(3.9)
и
является частным случаем уравнения Гельмгольца.
В
двумерном пространстве уравнение Лапласа:

. (3.10)
3.4
Начальные и граничные условия
Начальные
и граничные условия (НУ и ГУ) - дополнение к основному дифференциальному уравнению,
задающее его поведение в начальный момент времени и на границе рассматриваемой
области соответственно.
Обычно
дифференциальное уравнение имеет не одно решение, а целое их семейство.
Начальные и граничные условия позволяют выбрать из него одно, соответствующее
реальному физическому процессу или явлению. В теории обыкновенных
дифференциальных уравнений доказана теорема существования и единственности
решения задачи с начальным условием (задачи Коши). Для уравнений в частных
производных получены некоторые теоремы существования и единственности решений
для определенных классов начальных и краевых задач.
При
решении нестационарных уравнений математической физики имеем задачи с НУ. Для
нахождения искомой функции для них необходимо знать величины, характеризующие
её в некоторый начальный момент, а так же все функции возмущений (внешние силы,
источники) для всех последовательных моментов времени.
В
то же время для уравнений математической физики, описывающих стационарные
явления, таких как уравнения Лапласа и Пуассона, ставятся лишь краевые задачи,
так как возмущающие (внешние) силы в этом случае, во времени не изменяются, а
для анализа стационарной системы нужно знать поведение искомой функции на
границе области решения. Заметим, что если эта область ограничена, то
соответствующая краевая задача называется внутренней, в противном случае -
внешней.
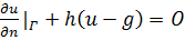
Существуют
три важнейших рода ГУ:
.
ГУ-I: 
(3.11)
-
заданы значения искомой функции u на границе Г ;
.
ГУ-II: 
(3.12)
-
задан поток u через границу Г , n - вектор
внешней нормали границы, если f(t) = 
, то это
означает непроницаемость на границе;
.
ГУ-III: 
(3.13)
на
границе (поверхности) тела происходит взаимодействие (например, теплообмен) с
наружной (окружающей) средой, имеющей значения показателя 
, где
(для задачи теплопроводности) 
, λ и α - коэффициенты теплопроводности и теплообмена (в законе теплообмена
Ньютона 
).
Существуют
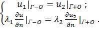
ещё ГУ сопряжения, так называемые ГУ четвёртого рода:
ГУ-IV: 
(3.14)
Эти
равенства означают неразрывность функции u на границе
(первое условие) и равенство потоков через границу Г двух сред, то есть при
переходе через границу нет потерь (второе условие).
Граничные
задачи ставятся следующим образом: найти функцию u, которая
удовлетворяет уравнению Лапласа во всех внутренних точках области S, а на
границе области - некоторому граничному условию.
В
зависимости от рода ГУ различают следующие краевые задачи:
в
случае ГУ-I :

- задача
Дирихле - (3.15)
первая
краевая задача;
в
случае ГУ-II :

- задача
Неймана - (3.16)
вторая
краевая задача;
в
случае ГУ-III :

- третья
краевая задача. (3.17)
4.
Примеры задач для УМФ
.1
Одномерное уравнение теплопроводности
Уравнение,
описывающее распространение тепла в однородном стержне имеет вид:

, (4.1)
где
u(t,x) - температура, и a - коэффициент температуропроводности - положительная
константа, описывающая скорость распространения тепла. Задача Коши ставится
следующим образом:
НУ:

, (4.2)
где
f(x) - произвольная функция(начальное условие).
.2
Уравнение колебаний струны
Дифференциальное
уравнение, описывающее свободные колебания струны, имеет вид:

. (4.3)
Здесь
u(t,x) - смещение струны от положения равновесия, или избыточное давление
воздуха в трубе, или магнитуда электромагнитного поля в трубе, а c - скорость
распространения волны. Для того, чтобы сформулировать задачу Коши, здесь
следует задать смещение и скорость струны в начальный момент времени:
НУ:

В
случае конечной струны длинной L для уравнения (4.3) ещё надо задать два ГУ на её
концах:

; (4.6)

. (4.7)
Это
пример смешанной краевой задачи.
.3
Двумерное уравнение Лапласа
Уравнение
Лапласа для неизвестной функции имеет вид:

. (4.8)
При
постановке краевой задачи для уравнения (4.8) его необходимо дополнить
граничными условиями.
ГУ-I: 
(4.9)
где
f - заданная функция во всех точках P(x,y,z)
поверхности Г.
Граничное
условие для второй краевой задачи (задача Неймана):
ГУ-II:

(4.10)
где

-
заданная функция на поверхности Г, n - внешняя нормаль к Г.
Граничное
условие для третьей краевой задачи:
ГУ-III:

, (4.11)
где
h и g - функции заданные на Г.
дифференциальный
теплопроводность математический физика
5. Решение уравнений математической физики
Существует два вида методов решения УМФ:
· аналитические, когда результат выводится различными
математическими преобразованиями;
· численные, когда результат соответствует действительному с
заданной точностью, но который требует много рутинных вычислений и, поэтому,
выполним только при помощи вычислительной техники (ЭВМ).
Рассмотрим примеры решения уравнения колебаний струны (3.2) каждым из
этих методов.
.1 Аналитическое решение
Рассмотрим задачу о колебаниях струны длины L. Будем считать, что на
концах струны функция u(x,t) обращается в нуль (струна закреплена на концах):

. (5.1)
В
начальный момент времени зададим начальные условия:

; (5.2)

. (5.3)
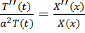
Представим
решение в виде:

. (5.4)
После
подстановки в исходное уравнение колебаний, разделим на произведение X(x)T(t)
получаем:

. (5.5)
Правая
часть этого уравнения зависит от t, левая - от x, следовательно это уравнение
может выполняться лишь тогда, когда обе его части равны постоянной величине,
которую обозначим через − 
:

. (5.6)
Отсюда
находим уравнение для X(x):

. (5.7)
Нетривиальные
решения этого уравнения при однородных краевых условиях возможны только при и
имеют вид:

. (5.8)
Рассмотрим
уравнение для отыскания T(t):

. (5.9)
Его
решение:

. (5.10)
Следовательно,
каждая функция вида

(5.11)
является
решением волнового уравнения.
Чтобы
удовлетворить решение начальным условиям, составим ряд:

. (5.12)
Подстановка
в начальные условия даёт:

. (5.13)
Последние
формулы представляют собой разложение функций f(x) и g(x) в ряд Фурье на
отрезке [0,L]. Коэффициенты разложений вычисляются по формулам:

. (5.14)
.2
Численное решение
Данный
способ решения называется методом конечных разностей. Он достаточно просто
реализуем при помощи ЭВМ.
Этот
метод основан на определении производной функции y = y(x):

. (5.15)
Если
имеется функция u = u(x,t), то частичная производная будет следующая:

. (5.16)
Так
как Δx достаточно мало, знаки пределов можно отбросить.
Тогда получим следующие выражения для первых производных:

, (5.17)

. (5.18)
Для
удобства в дальнейшем примем следующие обозначения:

, (5.19)

, (5.20)

, (5.21)
Δx = h , (5.22)
Δt = 
. (5.23)
Тогда
предыдущие выражения можно записать так:

, (5.24)

. (5.25)
Эти
выражения называют правыми разностями. Их можно записать и по-другому:

, (5.26)
и
левые разности:

. (5.27)
Просуммировав
оба выражения получим следующее:

, (5.28)

, (5.29)
из
которых следует аппроксимация первых производных в виде:

, (5.30)
Аналогично
можно получить и аппроксимации производных второго порядка:

, (5.32)

. (5.33)
Пусть
для уравнения колебаний струны:

, (5.34)
дополнительные
условия заданы в виде: граничные условия
(ГУ):
u
= 
(t),
(5.35)
u
= 
(t),
(5.36)
начальные
условия
(НУ):

=
(x),
(5.37)

= 
(x),
(5.38)
где

и 
-
положение концов (креплений) струны во времени, а 
и 
-
начальное состояние и скорость струны, откуда мы можем получить состояние
струны в следующий момент времени по формуле:

. (5.39)
В
вычислениях используют дискретизацию струны : длину L разделяют на
одинаковые интервалы (шаги), длина которых h (рисунок 5.1).
Рисунок
5.1. Дискретизация расчётной области
Значения
функции остальных x и t можно вычислить из уравнения колебаний струны:

, (5.40)

, (5.41)

. (5.42)
В
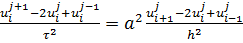
результате получаем конечно - разностный аналог уравнения (4.3)

, (5.43)
откуда
для расчёта получаем явную разностную схему:

. (5.44)
Таким
образом, мы получили схему, по которой можно получить значения функции для
любых x и t, используя значения функции при предыдущих x и t. Схематично её
шаблон представлен на рисунке 5.2:
Рисунок
5.2. Шаблон явной разностной схемы расчёта
Этот
метод даёт приближённое решение (в узлах сетки), порядок точности 
. Для
повышения точности и устойчивости счёта необходимо использовать интервалы
(шаги):
h
< 0,1
и 
. (5.45)
Заключение
В
работе рассмотрены основные понятия, классификация дифференциальных уравнений в
частных производных. Изложена информация об основных уравнениях математической
физики (УМФ), таких как: волновое уравнение, уравнение теплопроводности,
уравнения Пуассона и Лапласа. Даны примеры задач для УМФ. Приведён пример
аналитического и численного методов решения волнового уравнения.
Литература
Тихонов А. Н.
Самарский А. А. Уравнения математической физики. 5-е изд. M.: Наука, 1977.
Кожевников
В.В. Уравнения и методы математической физики (лекции). Университет
"Дубна", 2011.
www.adetiplus.ru
www.wikipedia.org