Решение дифференциальных уравнений второго порядка с помощью функции Грина
СОДЕРЖАНИЕ
ВВЕДЕНИЕ
ГЛАВА
1. ДИФФЕРЕНЦИАЛЬНЫЕ УРАВНЕНИЯ
.1
Обыкновенные дифференциальные уравнения
.2
Классификация уравнений второго порядка
ГЛАВА
2. РЕШЕНИЕ ДИФФЕРЕНЦИАЛЬНЫХ УРАВНЕНИЙ ВТОРОГО ПОРЯДКА С ПОМОЩЬЮ ФУНКЦИИ ГРИНА
.1
Метод функций Грина
.2
Примеры решения неоднородных дифференциальных уравнений с помощью функции Грина
.3
Решение дифференциальных уравнений второго порядка с помощью функции Грина
СПИСОК
ЛИТЕРАТУРЫ
ВВЕДЕНИЕ
Исследование поведения различных систем (технические, экономические, экологические
и др.) часто приводит к анализу и решению уравнений, включающих как параметры
системы, так и скорости их изменения, аналитическим выражением которых являются
производные. Такие уравнения, содержащие производные, называются
дифференциальными. Рассмотрим следующий пример из области рекламного дела.
При организации продажи нового товара торговым предприятиям зачастую
приходится прибегать к услугам рекламы. Для того, чтобы последняя была успешной
и современной, необходимо знать закон распространения информации о новом товаре
среди ее потенциальных покупателей.
Обыкновенным дифференциальным уравнением называется равенство, содержащее
независимую переменную x, неизвестную функцию y и её производные
:
(1.1)
Порядок старшей производной уравнения (1.1) называется порядком
уравнения.. Решением уравнения (1.1) называется функция
, обращающая уравнение в тождество.
Процесс нахождения решения называется интегрированием дифференциального
уравнения. График решения на плоскости (x,y) называется интегральной кривой.
Например, функция
удовлетворяет уравнению
и поэтому является его решением,
однако это решение не единственно, т.к. семейство функций
, где c - произвольная константа,
также решение уравнения. Говорят, что функция (семейство функций)
является общим решением. Общее
решение может быть найдено в явном, параметрическом или неявном виде, в любом
случае оно должно зависеть от n констант
Если общее решение получено в
неявном виде, то его часто называют общим интегралом уравнения.
Всякое решение, получающееся из общего при некоторых конкретных значениях
констант, называется частным решением. Так, в рассмотренном примере решение
является частным, оно получается из
общего при
Задачу нахождения частного решения в общей постановке можно
сформулировать следующим образом:
найти частное решение уравнения (1.1), удовлетворяющее условиям:
(1.2)
Геометрически это означает, что интегральная кривая частного решения
должна проходить через точку (x0,y0) и иметь заданные производные в этой точке,
равные указанным значениям. Условия (1.2) называются начальными данными.
В общем случае не всякое решение получается из общего при конкретных
(числовых) значениях констант. Решение, которое не содержится в общем решении
ни при каких числовых значениях констант, называется особым решением. При
решении дифференциальных уравнений следует иметь в виду, что существуют типы
уравнений, для которых известны шаблонные методы решения.
Целью курсовой работы является рассмотрение метода решения дифференциального
уравнения второго порядка с помощью функции Грина.
Курсовая работа состоит из введения, двух глав, заключения и списка
использованной литературы.
ГЛАВА 1.
ДИФФЕРЕНЦИАЛЬНЫЕ УРАВНЕНИЯ
Дифференциальное
уравнение - уравнение
<#"602277.files/image011.gif">не
является дифференциальным уравнением. Стоит также отметить, что дифференциальное
уравнение может вообще не содержать неизвестную функцию, некоторые её
производные и свободные переменные, но обязано содержать хотя бы одну из
производных.
Порядок,
или степень дифференциального уравнения - наибольший порядок производных
<#"602277.files/image012.gif">или
,
где
- неизвестная функция
<#"602277.files/image015.gif">, штрих означает дифференцирование по
. Число
называется
порядком дифференциального уравнения.
1.1
Обыкновенные дифференциальные уравнения
Обыкновенные
дифференциальные уравнения (ОДУ) - это дифференциальное уравнение
<#"602277.files/image017.gif">, где
-
неизвестная функция
<#"602277.files/image019.gif">, штрих означает дифференцирование по
. Число
называется
порядком дифференциального уравнения.
Решением
дифференциального уравнения называется n раз дифференцируемая функция
<#"602277.files/image018.gif">, удовлетворяющая уравнению во всех точках своей
области определения
<#"602277.files/image020.gif">. Зная действующие силы (правая часть), можно решить
это уравнение и, учитывая начальные условия (координаты и скорость в начальный
момент времени), найти траекторию движения точки.
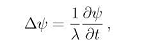
Дифференциальное
уравнение y' = y, вместе с начальным условием y(0) = 1, задаёт экспоненту
<#"602277.files/image021.gif">,
где
C - произвольная константа.
Дифференциальные
уравнения первого порядка
Дифференциальное
уравнение
называется уравнением с разделяющимися
(отделяющимися) переменными, если его правая часть представима в виде f(x,y) =
f1(x)f2(y). Тогда, в случае
, общим
решением уравнения является
.
Примеры
физических задач, приводящих к уравнениям с разделяющимися переменными
Пусть
T - температура тела, T0 - температура окружающей среды (T > T0). Пусть Q -
количество теплоты <#"602277.files/image025.gif">.
С
другой стороны скорость отдачи тепла можно выразить в виде
,
где
k - некий коэффициент пропорциональности. Исключая из этих двух уравнений dQ
получаем уравнение с разделяющимися переменными:
.
Общим
решением
<#"602277.files/image028.gif">.
1.2
Классификация уравнений второго порядка
Линейные
уравнения второго порядка в частных производных подразделяются на
параболические
<#"602277.files/image029.gif">
где
A, B, C - коэффициенты, зависящие от переменных x и y, а многоточие означает
члены, зависящие от x, y, u и частных производных первого порядка:
и
. Это
уравнение похоже на уравнение конического сечения:
Так
же, как конические сечения разделяются на эллипсы
<#"602277.files/image033.gif"> -
Гиперболическое уравнение
<#"602277.files/image034.gif">-
Эллиптическое уравнение <#"602277.files/image035.gif">-
Параболическое уравнение (здесь предполагается, что в данной точке коэффициенты
A, B, C не обращаются в нуль одновременно).
В
случае, когда все коэффициенты A, B, C - постоянные, уравнение имеет один и тот
же тип во всех точках плоскости переменных x и y. В случае, если коэффициенты
A, B, C непрерывно зависят от x и y, множество точек, в которых данное
уравнение относится к гиперболическому (эллиптическому), типу образует на
плоскости открытую область, называемую гиперболической (эллиптической), а
множество точек, в которых уравнение относится к параболическому типу,
замкнуто. Уравнение называется смешанным
<#"602277.files/image036.gif">
с
начальными условиями
<#"602277.files/image037.gif">
где
n - целое. Производная от функции u по переменной y равномерно
<#"602277.files/image039.gif">
Решение
стремится к бесконечности, если nx не кратно π для любого ненулевого значения y. задача Коши для
уравнения Лапласа называется плохо поставленной или некорректной
<#"602277.files/image040.gif">
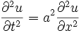
где
u(t,x) - температура, и α - положительная константа, описывающая скорость
распространения тепла. Задача Коши ставится следующим образом:
,
где
f(x) - произвольная функция.
Уравнение
колебания струны
<#"602277.files/image042.gif">
Здесь
u(t,x) - смещение струны из положения равновесия, или избыточное давление
воздуха в трубе, или магнитуда электромагнитного поля в трубе, а c - скорость
распространения волны. Для того, чтобы сформулировать задачу Коши в начальный
момент времени, следует задать смещение и скорость струны в начальный момент
времени:
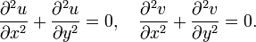
Двумерное
уравнение Лапласа
<#"602277.files/image045.gif">
Его
решения называются гармоническими функциями
<#"602277.files/image046.gif">
Складывая и вычитая уравнения друг из друга, получаем:
Также можно показать, что любая гармоническая функция является вещественной
частью некоторой аналитической функции.
Граничные задачи
Граничные задачи ставятся следующим образом: найти функцию u, которая
удовлетворяет уравнению Лапласа во всех внутренних точках области S, а на
границе области
- некоторому условию. В зависимости от вида условия
различают следующие краевые задачи:
- задача
Дирихле
<#"602277.files/image050.gif"> - задача
Неймана
<#"602277.files/image051.gif">
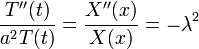
В
начальный момент времени зададим начальные условия:
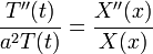
Представим
решение в виде:
После
подстановки в исходное уравнение колебаний, разделим на произведение X(x)T(t)
получаем:
Правая
часть этого уравнения зависит от t, левая - от x, следовательно это уравнение
может выполняться лишь тогда, когда обе его части равны постоянной величине,
которую обозначим через − λ2:
Отсюда
находим уравнение для X(x):
Нетривиальные
решение этого уравнения при однородных краевых условиях возможны только при
и имеют вид:
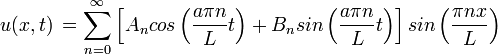
Рассмотрим уравнение для отыскания T(t):

Следовательно, каждая функция вида
является решением волнового уравнения.
Чтобы удовлетворить решение начальным условиям, составим ряд:
Подстановка в начальные условия даёт:
Последние
формулы представляют собой разложение функций f(x) и g(x) в ряд Фурье
<#"602277.files/image065.gif">
Уравнение
колебаний струны
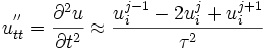
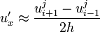
Данный
способ решения называется методом конечных дифференциалов. Он достаточно просто
реализуем при помощи программирования.
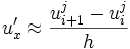
Этот
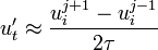
метод основан на определении производной функции y = y(x):
Если
имеется функция u = u(x,t), то частичная производная будет следующая:
Так
как Δx
мы используем достаточно маленький, знаки
пределов можно отбросить. Тогда получим следующие выражения:
Для
удобства в дальнейшем примем следующие обозначения:
Δx = h, Δt = τ
Тогда предыдущие выражения можно записать так:
,
Эти выражения называют правыми дифференциалами. Их можно записать и
по-другому:
,
- это левые дифференциалы.
Просуммировав оба выражения получим следующее:
из которых следует:
Аналогично можно получить и дифференциалы второго порядка:
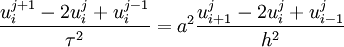
Уравнение колебаний струны записывается в такой форме:
.
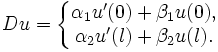
Дополнительные условия задаются в виде:
| x = 0 = f1(t), u | x = l = f2(t), u | t = 0 = g1(x), ut | t = 0 =
g2(x),
где f1(t) и f2(t) - позиции концов (креплений) струны во времени,
а g1(x) и g2(x) - начальное состояние и скорость струны из которой мы
можем получить состояние струны в следующий момент времени по формуле
Сетка значений функции
.
В вычислениях используют дискретизацию струны (разделяют её на одинаковые
интервалы, длина которых h (см.рис).
Значения функции остальным x и t можно вычислить из уравнения колебаний
струны:
Таким образом, мы получили схему, по которой можно получить значения
функции для любых x и t, используя значения функции при предыдущих x и t.
Схематично это можно представить так:
Этот метод даёт приближённый ответ, степень точности Θ(τ2
+ h2). Для достаточно
точных результатов необходимо использовать интервалы
< 0.1 и
.
ГЛАВА 2.
РЕШЕНИЕ ДИФФЕРЕНЦИАЛЬНЫХ УРАВНЕНИЙ ВТОРОГО ПОРЯДКА С ПОМОЩЬЮ ФУНКЦИИ ГРИНА
.1 Метод
функций Грина
Основным математическим аппаратом современной физики являются
дифференциальные уравнения в частных производных. Среди методов решения таких
уравнений центральное место занимает метод функций Грина.
Дифференциальные уравнения в частных производных приходится решать,
например, при рассмотрении следующих явлений.
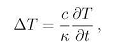
. Теплопроводность. Уравнение теплопроводности имеет вид
где к - коэффициент теплопроводности, а с - удельная теплоемкость.
. Квантовая Механика. Движение частицы в квантовой механике описывается
волновой функцией ф, которая удовлетворяет уравнению Шредингера
. Диффузия. Уравнение диффузии имеет вид
где Л - коэффициент диффузии.
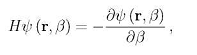
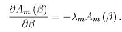
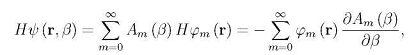
Эти уравнения можно представить в форме
где Н - некоторый эрмитов оператор, а

В случае уравнения Шредингера и (3 = Xt в случае уравнения диффузии. Разумеется,
в каждом из этих случаев функция ф должна удовлетворять некоторым граничным
условиям. Собственные функции оператора Н образуют полную ортонормированную
систему и удовлетворяют уравнению
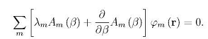
Предположим, что решение уравнения (1) можно представить в форме
Подставляя (3) в (1), получаем
то есть
Это уравнение удовлетворяется только, если множители при всех ют равны
нулю, т.е. если
Отсюда
и, следовательно,
Считая ряд равномерно сходящимся, находим
Am (Р) = I (r, (3) ^4 (r) d3r,
d3r = dx dy dz,
и, следовательно,
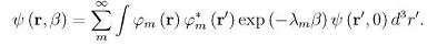
Итак, если задано начальное состояние, то
Эту формулу можно переписать следующим образом
где
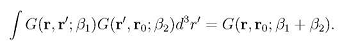
Выражение (10) называется функцией Грина для уравнения (1). Для различных
уравнений получаются различные функции Грина.
Функции Грина имеют следующие свойства.
. Если
Таким образом, G(r, r0; (3) представляет собой решение уравнения (1) при
начальном условии типа (11).
. Имеет место соотношение
2.2 Примеры
решения неоднородных дифференциальных уравнений с помощью функции Грина
дифференциальный уравнение линейный грин
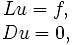
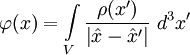
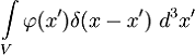
Функция
Грина - используется для решения неоднородных дифференциальных уравнений
<#"602277.files/image111.gif">,
где
δ - дельта-функция Дирака
<#"602277.files/image112.gif"> - функция Грина линейного оператора
, тогда решение
неоднородного
уравнения
даётся интегралом:
в
одномерном случае, или
в
многомерном, где
- элемент объема.
Ключевым
здесь можно считать разложение
по базису
из дельта-функций Дирака.
Иногда,
когда неоднородное уравнение содержит в правой части постоянный коэффициент, то
есть имеет вид
, функция Грина
также
определяется с учетом этого коэффициента, то есть, по определению тогда она
есть решение уравнения
.
В
этом случае решение исходного неоднородного уравнения
с произвольной функцией
в правой
части записывается как
.
Ясно,
что описанное в этом разделе отличие в определении функции Грина от данного в
статье выше, касается не сути дела, а всего лишь предпочитаемой формы записи
Функция
Грина оператора Штурма - Лиувилля (одномерный случай)
Пусть
- -оператор Штурма Лиувилля
<#"602277.files/image125.gif">
и
пусть
- оператор краевых условий
Пусть
- непрерывная функция
<#"602277.files/image129.gif">. Предположим также, что задача
регулярна, то есть существует только тривиальное
решение однородной задачи.
Теорема
Грина
Тогда
существует единственное решение
,
удовлетворяющее системе
которое задаётся выражением
,
где
- функция Грина, которая удовлетворяет следующим
требованиям:
непрерывна по
и
.
Для
,
.
Для
,
.
Скачок производной:
.
Симметрична:
.
Нахождение функции Грина
Если
множество собственных векторов
<#"602277.files/image143.gif">дифференциального оператора
(то есть набор функций
, таких,
что для каждой найдется число
, что
) полно, то можно построить функцию Грина с помощью
собственных векторов
и собственных значений
.
Под
полнотой системы функций
подразумевается выполнение соотношения:
.
Можно
показать, что
.
Действительно,
подействовав оператором
на эту сумму, мы получим дельта-функцию (в силу
соотношения полноты).
(Чертой
сверху обозначено комплексное сопряжение
<#"602277.files/image143.gif"> - вещественные функции, его можно не делать).
Функция
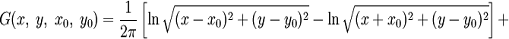
Грина для лапласиана
Функция
Грина для лапласиана может быть легко получена из теоремы Грина
<#"602277.files/image150.gif">.
.
Подставляя
результат в теорему Гаусса, мы получаем теорему Грина:
.
Предполагая,
что наш линейный дифференциальный оператор L Лапласиан
<#"602277.files/image157.gif">, и то, что у нас имеется для него функция Грина G.
Определение функции Грина в этом случае запишется в виде:
.
Положим
ψ
= G в теореме Грина. Тогда получим:
.
Используя
выражение, мы можем решить уравнение Лапласа (
) и
уравнение Пуасона ((
) с граничными условиями Неймана или Дирихле. Другими
словами, мы можем найти решение
всюду
внутри заданной области, если (1) значение
задано на
границе этой области (граничные условия Дирихле), или (2) нормальная производная
задана на границе этой области (граничные условия фон
Неймана).
Пусть
нас интересует решение
внутри области. В этом случае интеграл
упрощается до
в силу
основного свойства дельта-функции
<#"602277.files/image165.gif">.
Эта
формула выражает известное свойство гармонических функций
<#"602277.files/image163.gif">понимается как электростатический потенциал
<#"602277.files/image166.gif">как нормальная составляющая электрического поля.
При
решении краевой задачи Дирихле функция Грина выбирается в виде
. Эта функция обращается в нуль, когда x или
находится на границе раздела; и наоборот, решая
краевую задачу Ньюмана, следует выбирать функцию Грина так, чтобы на
поверхности обращалась в нуль её нормальная производная. Таким образом в
интеграле по поверхности остаётся только одно из двух слагаемых.
При
отсутствии граничных условий функция Грина для лапласиана имеет вид:
.
Считая
граничную поверхность бесконечно большой и подставляя в это выражение функцию
Грина, мы придем к аналогичному выражению для электрического потенциала через
электрическую плотность заряда.
.
Пример
Дана
задача
;
.
Найти
функцию Грина.
Первый
шаг: Функция Грина
в данном случае по определению должна быть решением
уравнения
,
где
двумя штрихами обозначена вторая производная по x.
Для
, где δ-функция
равна нулю, это уравнение сводится к однородному (пункт 2 упомянутой теоремы):
, то есть для всех точек, кроме s, функция Грина будет
решением такого однородного уравнения.
Общее
решение такого уравнения
,
где
и
-
константы (не зависят от
).
Таким
образом,
должно иметь именно такой вид всюду, кроме точки
, причем слева и справа от нее коэффициенты
и
могут (и
будут) иметь разное значение.
Наложим
на функцию Грина граничные условия, совпадающие с граничными условиями исходной
задачи (пункт 3 упомянутой во вводном замечании теоремы). Функция Грина с
наложенными так граничными условиями удобна тем, что конструируемые
суммированием или интегрированием таких функций Грина решения автоматически
будут удовлетворять этим граничным условиям.
Из
левого граничного условия:
-
налагаемого на функцию Грина мы видим, что для
коэффициент
общего решения должен быть нулем, то есть для
.
Точно
так же из правого граничного условия:
-
получаем равенство нулю коэффициента
, то есть
для
.
В
итоге, учитывая, что коэффициенты a и b вообще говоря могут зависеть от s,
можем записать:
Второй
шаг:
Нужно
определить
и
.
Проинтегрировав
дважды левую и правую часть уравнения с дельта-функцией в правой части, мы
увидим, что функция Грина должна быть непрерывна (пункт 1 упомянутой теоремы),
а отсюда условие сшивки решения x < s и x > s:
.
Проинтегрировав
же левую и правую часть того же уравнения получим условие на скачок первой
производной (пункт 4 теоремы), и используя его, получим:
.
Используя
правило Крамера <#"602277.files/image189.gif">.
Эти
выражения удовлетворяют условию пункта 5 теоремы.
Тогда
функция Грина задачи:
Другие
примеры
Пусть
дано множество
и оператор L равен d / dx. Тогда функция Хевисайда
<#"602277.files/image192.gif">и
L - оператор Лапласа. Также предположим, что при x = 0 наложены краевые условия
Дирихле, при y = 0 - краевые условия Неймана. Тогда функция Грина примет вид
2.3
Решение дифференциальных уравнений второго порядка с помощью функции Грина
СПИСОК
ЛИТЕРАТУРЫ
1. А.Ф. Филиппов
<http://ru.wikipedia.org/wiki/%D0%A4%D0%B8%D0%BB%D0%B8%D0%BF%D0%BF%D0%BE%D0%B2,_%D0%90%D0%BB%D0%B5%D0%BA%D1%81%D0%B5%D0%B9_%D0%A4%D1%91%D0%B4%D0%BE%D1%80%D0%BE%D0%B2%D0%B8%D1%87>
Сборник задач по дифференциальным уравнениям
<http://www.ozon.ru/context/detail/id/3584421/>. - ЛКИ, 2008. - 240 с. -
ISBN 9785382004556
<http://ru.wikipedia.org/wiki/%D0%A1%D0%BB%D1%83%D0%B6%D0%B5%D0%B1%D0%BD%D0%B0%D1%8F:BookSources/9785382004556>
. А.Д. Полянин, В.Ф.
Зайцев, А.И. Журов. Методы решения нелинейных уравнений математической физики и
механики. М.: Физматлит, 2005.
. А.Д. Полянин, В. Ф.
Зайцев. Справочник по нелинейным уравнениям математической физики: Точные
решения. М.: Физматлит, 2002.
. А.Д. Полянин.
Справочник по линейным уравнениям математической физики. М.: Физматлит, 2001.
. В.И. Арнольд.
Обыкновенные дифференциальные уравнения. М.: Наука, 1966.
. В.Ф. Зайцев, А.Д.
Полянин. Справочник по дифференциальным уравнениям с частными производными первого
порядка. М.: Физматлит, 2003.
. В.Ф. Зайцев, А.Д.
Полянин. Справочник по обыкновенным дифференциальным уравнениям. М.: Физматлит,
2001.
. Л.Э. Эльсгольц.
Дифференциальные уравнения и вариационное исчисление. М.: Наука, 1969.
. Н.М. Матвеев «Методы
интегрирования обыкновенных дифференциальных уравнений», «Лань», 2003
. Х.Р. Латипов
<http://ru.wikipedia.org/wiki/%D0%9B%D0%B0%D1%82%D0%B8%D0%BF%D0%BE%D0%B2>.
Качественные исследование характеристик одного класса дифференциальных
уравнений в целом. Т.: ФАН, 1993
. Э. Камке. Справочник
по дифференциальным уравнениям в частных производных первого порядка. М.:
Наука, 1966.
. Э. Камке. Справочник
по обыкновенным дифференциальным уравнениям. М.: Наука, 1976.