Решение смешанной краевой задачи для гиперболического уравнения разностным методом
Введение
Дифференциальные уравнения в частных производных
имеют широкое приложение в математической физике, гидродинамике, акустике и
других областях знаний. Большинство таких уравнений в явном виде не решаются.
Поэтому широкое распространение получили методы приближенного их решения,
например метод сеток, частным случаем которого является разностный метод [2].
Это универсальный и эффективный метод. Он позволяет сводить приближенное
решение уравнений в частных производных к решению систем алгебраических уравнений
[3].
Цели курсовой работы:
). Обзор литературы по теме «Решение смешанной
краевой задачи для гиперболического уравнения разностным методом».
). Реализация разностного метода применительно к
смешанной краевой задачи для гиперболического уравнения в системе
программирования Borland C++ Version 3.1.
Курсовая работа состоит из введения, двух глав,
заключения, списка литературы и приложения. Первая глава посвящена обзору
основных понятия, касающихся разностных схем. Во второй главе рассматривается
смешанная краевая задача, для которой приведен алгоритм построения разностной
схемы, а также описание программы «smesh_giperb» и её тест на конкретном
примере. В приложении представлен код программы, позволяющий получить
приближенное решение смешанной краевой задачи с граничными условиями третьего
рода.
Глава 1. Разностные методы решения
дифференциальных уравнений
Характерной особенностью различных разностных
методов является то, что в качестве приближенного решения выбирается сеточная
функция. Выделим основные пункты построения и исследования разностных схем.
. Заменить область непрерывного изменения
аргумента на дискретную область изменения. Это дискретное множество точек
называется сеткой или решеткой, а отдельные точки этого множества - узлами
сетки. Чаще всего сетка выбирается прямоугольной и равномерной.
. Заменить в узлах этой сетки производные
искомой функции разностными отношениями, использовав формулы численного
дифференцирования.
. Проверить условие аппроксимации разностной
схемы.
. Доказать устойчивость построенной разностной
схемы. Это один из наиболее важных и сложных вопросов. Если схема обладает
аппроксимацией и устойчивостью, то о сходимости разностной схемы судят о
теореме доказанной ниже.
В результате получилась система алгебраических
уравнений для определения приближённого решения. Такая система часто называется
разностной схемой. Точно так же можно заменить и частные производные и свести
краевую задачу для дифференциального уравнения в частных производных к
алгебраической системе. Функция, определенная в узлах сетки называется сеточной
функцией.
Сетка. Аппроксимация частных производных
разностными отношениями.
Мы ввели уже понятие сетки, узлов сетки,
разностной схемы и сеточной функции.
Обозначим
- искомая функция,
,
- открытая область
с границей
,
- сетка на
,
где h - вещественный положительный параметр, характеризующий густоту точек на
сетке.
- сеточная функция,
совпадающая с точным решением дифференциальной краевой задачи
во
всех узлах сетки
, называемая точным
решением на сетке или точным сеточным решением.
Теперь рассмотрим примеры сеток.
Пример 1.
Равномерная сетка на отрезке. Разобьем единичный
отрезок [0, 1] на N равных частей. Расстояние между соседними узлами 
назовем шагом
сетки. Точки деления 
- узлы сетки.
Множество всех узлов

и составляет сетку
(рис. 1), в данном случае введенную на отрезке.
В это множество можно включить граничные точки 
. Обозначим 
На отрезке [0, 1] вместо функции непрерывного
аргумента y
будем
рассматривать функцию дискретного аргумента 
. Значения этой
функции вычисляются в узлах сетки 
,а сама функция
зависит от шага сетки h как от параметра.
Пример 2.
Неравномерная сетка на отрезке. Рассмотрим
отрезок 
. Вводя
произвольные точки 
, разобьем его на N
частей. Множество узлов 
образует
неравномерную сетку 
. Расстояние между
соседними узлами шаг сетки, равно 
и зависит уже от
номера 
узла, т. е.
является сеточной функцией. Шаги сетки удовлетворяют условию нормировки
Затем рассмотрим пример замены в узлах сетки
производные искомой функции разностными отношениями.
Для начала определим разностные отношения,
которые будут использоваться в дальнейших примерах.
, (1.1.1)
, (1.1.2)
(1.1.3)
Аналогично получаются приближённые разностные
аналоги для частной производной по переменной t:
, (1.1.4)
, (1.1.5)
(1.1.6)
Для приближенного вычисления частных производных
второго порядка также можно использовать формулы численного дифференцирования,
например,

(1.1.7)
Пример 3
Рассмотрим задачу Коши для дифференциального
уравнения первого порядка. Требуется найти функцию
,
определённую, непрерывную и имеющую частные производные первого порядка в
области
удовлетворяющую
дифференциальному уравнению
(1.1.8)
и начальному условию
,
.
(1.1.9)
Здесь Т - заданная постоянная, а
и
-
заданные функции. Если эти функции являются непрерывными, то задача будет иметь
единственное решение - функцию
. Это решение
задачи Коши мы будем называть точным.
Введём в области D сетку:
Рис. 1
Здесь h и
-
заданные шаги сетки, а квадратными скобками обозначена операция вычисления
целой части вещественного числа.
Будем искать приближённое решение этой задачи на
сетке D. Поскольку
является точным
решением нашей дифференциальной краевой задачи, в каждом узле сетки
будет
выполняться дифференциальное уравнение
и в каждом узле, лежащем на нижней границе
области D (
), будут
выполняться начальные условия
.
Заменим частные производные, входящие в
дифференциальное уравнение, разностными отношениям (1.1.4) и (1.1.1) и получим
в результате систему приближённых равенств, связывающих значения функции
в
узлах сетки:
(1.1.10)
,
(1.1.11)
Для вычисления приближённого решения мы получили
следующую систему линейных алгебраических уравнений:
(1.1.12)
,
,
(1.1.13)
Для решения системы (10.1.12) - (10.1.13)
выразим из (1.1.12)
и получим
рекуррентную формулу:
, (1.1.14)
.
Зная
,
по этой рекуррентной формуле при
последовательно
находим
,
,
…,
.
Таким образом, система (1.1.12) - (1.1.13), действительно, имеет единственное
решение. Но получить его практически невозможно, поскольку сетка содержит
бесчисленное множество узлов.
Операторная форма записи дифференциальных
краевых задач
Введём общее обозначение для любой
дифференциальной краевой задачи. Запишем её в виде операторного уравнения:
(1.2.1)
где
-
искомая функция,
,
-
открытая область с границей
, f - заданная
функция, L - заданный дифференциальный оператор, действующий на функцию
.
Будем считать, что задача (1.2.1) имеет единственное решение
,
которое мы в дальнейшем будем называть точным решением.
. (1.2.2)
Здесь
-
сеточное решение разностной краевой задачи, которое называется также
приближённым сеточным решением дифференциальной краевой задачи
.
Пример 4
Построение разностной схемы для смешанной
краевой задачи для уравнения параболического типа.
Требуется найти функцию
,
определённую, непрерывную и имеющую частные производные второго порядка в
области
,
удовлетворяющую дифференциальному уравнению
, (1.2.3)
начальному условию
,
(1.2.4)
и граничным условиям
,
,
(1.2.5)
,
,
(1.2.6)
.
Здесь Т - заданная постоянная, а
,
,
,
,
-
заданные функции. Дифференциальное уравнение (1.2.3) описывает процесс
распространения тепла в прямолинейном стержне. Поэтому его называют уравнением
теплопроводности. Будем считать, что выполнены все условия, при которых
сформулированная краевая задача имеет единственное решение - функцию
.
Введём в области D сетку (рис. 3):
Рис. 2
Значения целой постоянной М и шага
считаются
заданными. Будем искать приближённое решение этой задачи на сетке. Поскольку
является
точным решением нашей дифференциальной краевой задачи, в каждом узле сетки
будет
выполняться дифференциальное уравнение
,
в каждом узле, лежащем на нижней границе области
D (
),
будет выполняться начальное условие
,
в каждом узле, лежащем на левой границе области
D (
),
будет выполняться граничное условие
,
в каждом узле, лежащем на правой границе области
D (
),
будет выполняться начальное условие
.
Заменим частные производные, входящие в
дифференциальное уравнение, разностными отношениями (1.1.4) и (1.1.7) и получим
в результате систему приближённых равенств, связывающих значения функции
в
узлах сетки:
(1.2.7)
,
(1.2.8)
,
,
(1.2.9)
,
.
(1.2.10)
Поскольку равенства (1.2.7) являются
приближёнными, решив систему (1.2.7) - (1.2.10), мы получим, не точные значения
,
а приближённые. Обозначим их через
(
).
В результате для определения
получим разностную
схему:
(1.2.11)
,
(1.2.12)
,
,
(1.2.13)
,
.
(1.2.14)
Выразим
из
(1.2.11). В результате получается рекуррентная формула
(1.2.15)
применяя которую последовательно при
,
можно, зная
,
и
,
в явном виде определить
,
,
…,
.
По этой причине построенная разностная схема получила название явной разностной
схемы для уравнения теплопроводности. И другие разностные схемы, обладающие
этим свойством, получили название явных схем.
Если вместо формулы (1.1.4) для аппроксимации
частной производной использовать аналогичную формулу (1.1.5),то в результате
вместо системы уравнений (10.1.23) получится система:
(1.2.16)
Разностная схема (1.2.16), (1.2.12)-(1.2.14)
получила название неявной разностной схемы для уравнения теплопроводности, так
как для её решения не удалось получить явной рекуррентной формулы, типа
(1.2.15).
Погрешность замены частных производных
разностными отношениями стремится к нулю при h и
.
Поэтому можно ожидать, что и погрешность приближённого решения также будет
стремиться к нулю при h и
, и за счёт
уменьшения шагов сетки h и
можно получать
приближённые решения с любой заданной точностью.
Требуется записать её в виде операторного
уравнения (1.2.2) и выяснить, что представляют собой основные объекты (
,
,
и
)
операторной записи. Сетка
Густоту сетки регулируют два параметра: М (или
hрh) и
.
Один из них можно сделать основным, например, h, а второй параметр сделать
зависимым от него, введя функцию
,
такую, что
при
.
Тогда густота сетки будет определяться только параметром h.
Приближённое решение удобно представить в виде
вектора с
компонентами:
.
Точное сеточное решение представляется аналогичным вектором:
и
также
представим в виде векторов:
Количество компонент этих векторов равно
.
Введём целую постоянную
и
заметим, что величины
,
,
и
принадлежат
векторному пространству
. Рассмотренный
пример показал, что практически любую дифференциальную краевую задачу можно
представить в виде (1.2.1). При этом Lu и f будут представлять собой
вектор-функции.
Нормы. Погрешность приближённого решения.
Сходимость. Порядок сходимости
Обозначим через
нормированное
векторное пространство, которому принадлежат точное
и
приближённое
сеточные решения,
а через
-
нормированное векторное пространство, которому принадлежат величины
и
.
Нормы элементов v, введенные в этих пространствах, будем обозначать
и
соответственно.
Нормы в векторном пространстве можно вводить разные, и от их выбора будут
зависеть свойства разностной схемы, описываемые ниже. Везде далее норма в
пространстве
будет выбираться
по формулам
или
.Норму
в пространстве
мы будем указывать
особо для каждой рассматриваемой задачи.
Погрешностью приближённого сеточного решения
называется
величина
.
Для того чтобы можно было получить приближённое
решение с заданной точностью, необходимо, чтобы погрешность приближённого
решения стремилась к нулю при
. Это свойство
получило название сходимости. Дадим его развёрнутое определение.
Пусть существует положительное вещественное
число H, такое, что
существует
единственное решение разностной краевой задачи
.
Если
, (1.3.1)
то говорят, что решение разностной краевой
задачи сходится к решению дифференциальной краевой задачи при
.
Если существуют положительные постоянные C и p,
такие, что
выполняется
неравенство
,
(1.3.2)
то говорят, что приближённое решение сходится к
точному при
с p-м порядком
относительно h. Из условия (1.3.1), очевидно, следует равенство (1.3.2).
Разность
(1.3.3)
называется невязкой разностной схемы
на
точном решении дифференциальной краевой задачи. Напомним, что
и
принадлежат
к нормированному векторному пространству
.
Величины
и
,
очевидно, также будут принадлежать
.
Величиной невязки
называется
её норма в этом пространстве:
. (1.3.4)
Пусть существует положительное вещественное
число H, такое, что
существует
единственное решение разностной краевой задачи
.
Если
, (1.3.5)
то говорят, что разностная схема
аппроксимирует
задачу
на
её точном сеточном решении
. Если, сверх того,
найдутся вещественное положительное число
и
положительное число p, такие, что
будет
выполнено неравенство
то говорят, что разностная схема
аппроксимирует
задачу
на
её точном сеточном решении с порядком p относительно h (или с порядком
).
Устойчивость
Пусть существует положительное вещественное
число H, такое, что
существует
единственное решение разностной краевой задачи
.
Эта разностная схема называется устойчивой на паре пространств
,
если существуют положительные постоянные
и
,
такие, что
и
,
удовлетворяющего условию
, разностная
краевая задача
(1.4.1)
имеет единственное решение
,
причём
(1.4.2)
Устойчивость разностной схемы означает, что
малому возмущению правой части разностной схемы отвечает малое возмущение
решения разностной краевой задачи. Это внутреннее свойство разностных схем, не
имеющее никакого отношения к исходной дифференциальной краевой задаче. Поэтому
исследовать устойчивость несколько легче, чем исследовать сходимость. Если
оператор
является
линейным (

), то определение
устойчивости можно переформулировать.
Дадим определение устойчивости для линейных
разностных схем.
Разностная схема
с
линейным оператором
называется
устойчивой на паре пространств
, если существует
положительная постоянная
, такая, что
и
разностная
краевая задача
(1.4.3)
имеет единственное решение
,
причём
. (1.4.4)
Понятия аппроксимации и устойчивости связаны с
понятием сходимости и позволяют облегчить её исследование. Эта связь
устанавливается следующей теоремой.
Теорема 1
Если разностная краевая задача
аппроксимирует
дифференциальную краевую задачу
с порядком
и
является устойчивой на паре пространств
,
то приближённое решение
сходится к точному
сеточному решению
с порядком p
относительно h.
Доказательство:
Из того, что разностная краевая задача
аппроксимирует дифференциальную краевую задачу, следует, что
.По
определению этого предела для положительного числа
(из
определения устойчивости) найдётся положительное число H, такое, что
будет
выполнено неравенство
. Здесь учтено, что
h положительно, а норма неотрицательна. Зададим любое h из
и
положим
.
Тогда
и,
согласно(1.4.2), разностная краевая задача
будет иметь единственное решение
.
Заметим, что правая часть этого уравнения 
и, следовательно,
выполняется равенство
. Это означает, что
является
решением этой же разностной краевой задачи, а поскольку решение этой задачи
единственно,
. Тогда из(1.4.18)
получим:
.
производная аппроксимация краевой
задача
Из того, что разностная краевая задача
аппроксимирует
дифференциальную краевую задачу
с порядком
,
следует, что
. Отсюда
.
Что и требовалось доказать.
Доказанная теорема позволяет проводить
исследование сходимости приближённого решения к точному в 2 этапа. Вначале
находится порядок аппроксимации разностной схемы, а затем доказывается её
устойчивость. Как показывает пример 4, определение порядка аппроксимации
разностных схем особого труда не составляет. Более того, обычно решается более
сложная задача - это задача построения разностной схемы с заданным порядком
аппроксимации. Один из методов её решения мы и рассмотрим в следующем
параграфе.
Глава 2. Решение смешанной краевой
задачи для гиперболического уравнения разностным методом
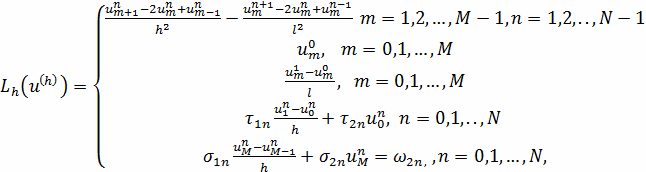
2.1 Общая постановка задачи
Рассмотрим общую постановку смешанной краевой
задачи для гиперболического уравнения.
В области D={0<y<Y,
α<x<β} найти дважды непрерывно
дифференцируемую функцию 
, которая в этой
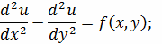
области удовлетворяла бы уравнению:
( 2.1.1)

-точное решение
уравнения.
А на границе Г области D при y=0 - начальным
условиям:
(2.1.2)
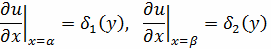
И при 
- одному из трех
граничных условий:
а) условия первого рода
; (2.1.3)
б) условия второго рода
(2.1.4)
в) условия третьего рода
(2.1.5)
Где 
- известные
функции.
Коэффициенты 
подчинены
естественным условиям
Условия (2.1.3) и (2.1.4) являются частным
случаем условий (2.1.5)
2.2 Смешанная краевая задача с
граничными условиями третьего рода
Уравнение
(2.2.1)
задано в области D={0<y≤Y<+∞,
α<x<β}
Начальные условия:
(2.2.2)
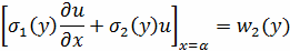
Граничные условия третьего рода:
(2.2.3)
Предположим смешанная краевая задача (2.2.1)-
(2.2.3) имеет единственное решение в области 
, где Г-контур
области D, и это решение вместе с производными до 4- го порядка включительно
непрерывно в области 
Выберем прямоугольную равномерную сетку, положив
Получаемую при этом сеточную область 
разобьем на два
множества: множество 
внутренних узлов,
и множество 
граничных узлов,
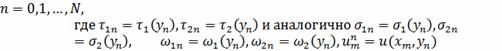
Граничные условия на прямых 
заменим по
формулам полиномиального численного дифференцирования:
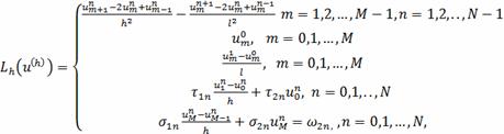
(2.4)
Разностные граничные условия аппроксимируют
граничные условия с погрешностью порядка 
На основании формул численного дифференцирования
получаем схему, аппроксимирующую граничную задачу с погрешностью 

(2.5)
Где 
Замечание. Если 
то разностная
схема аппроксимирует граничную задачу с погрешностью 
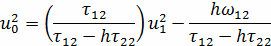
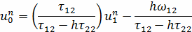
Алгоритм:
Найти приближенное решение на нулевом слое:
Найти приближенное решение на первом слое:
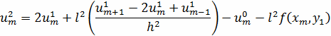
Найти приближенное решение на втором слое для
узлов с номерами 
Найти приближенное решение на втором слое при 
Найти приближенное решение на остальных слоях 
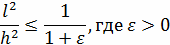
Достаточным условием для устойчивости по
начальным данным разностной схемы 
является
ограничение, налагающее на шаги h и l:
Данный алгоритм реализован в программе
smesh_giperb на языке программирования С++, листинг которой приведен в
приложении.
Описание программы:
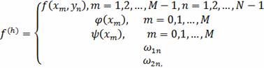
Исходные данные:M которые задают количество
узлов по оси OX alfa, betta, Y задают прямоугольную область (
Вся программа состоит из функций. Опишем для
чего предназначена каждая из них.f(double x,double y)-задает функцию
f(x,y).fi(double x), double psi(double x)- задаются функции fi(x)и psi(x) из
начальных условий.tau1(double y), double tau2(double y), double w1(double y),
double w2(double y), double sigma1(double y), double sigma2(double y)- задаются
функции tau1(y), tau2(y),sigma1(y),sigma2(y),w1(y),w2(y) из граничных
условий.zapis_sloya(int nomer)- функция,записывающая номер
слоя.zapis_v_file(float x)- функция, записывающая значение приближенной функции
u(x,y) в узлах на слое.()- основное тело программы, в которой реализовывается
разностная схема. Изначально вычисляется значение на нулевом слое, затем на
первом, далее на всех остальных. Для вычисления например 2го слоя используются
значения на нулевом и первом, которые хранятся в массивах u0 и u1
соответственно. Значения же третьего слоя записываются в массив u2. Для
вычисления на третьем слое используются значения на первом и втором, которые
хранятся в массивах u1 и u2 соответственно. Значения же третьего слоя
записываются в массив u0. Для вычисления на четвертом слое используются
значения на втором и третьем слоях, которые хранятся в массивах u2 и u0
соответственно. Значения же третьего слоя записываются в массив u1. И так далее
до последнего слоя. Выбор буферного массива реализуется оператором switch
(octatok), где аргумент octatok- остаток от деления номера слоя на 3.
Проверим правильность работы программы на
конкретном примере.
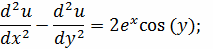
Рассмотрим cмешанную краевую задачу (2.2.1)-
(2.2.3).
Она имеет точное решение при указанных ниже
начальных, граничных условиях и функции f(x,y) в области D={0<y≤Y=1<+∞,
0=α<x<β=1}.
Начальные условия:
Граничные условия:
Данное уравнение
имеет точное решение 
, поэтому мы можем
найти погрешность приближенных значений искомой функции в узлах разбиения.
Возьмем определенный узел (0.6,0.8)
Выберем M=10, N=20, следовательно 
, h=0.1, l=h/2=0.05
получаем
|
Приближенное
решение
|
Точное
решение
|
Погрешность
|
|
1,304615736000000
|
1,269482393459680
|
0,035133342540324
|
Сгущаем сетку в 2 раза M=20, N=40,
,
, 
получаем
|
Приближенное
решение
|
Точное
решение
|
Погрешность
|
|
1,287504077000000
|
1,269482393459680
|
0,018021683540324
|
Сгущаем сетку в 4 раза M=40, N=80, 
,
, 
получаем
|
Приближенное
решение
|
Точное
решение
|
Погрешность
|
|
1,278385997000000
|
1,269482393459680
|
0,008903603540324
|
Сгущаем сетку в 8 раза M=80, N=160,
, 
, 
получаем
|
Приближенное
решение
|
Точное
решение
|
Погрешность
|
|
1,273945808000000
|
1,269482393459680
|
0,004463414540324
|
Сгущаем сетку в 16 раза M=160, N=320, 
, 
, 
получаем
|
Приближенное
решение
|
Точное
решение
|
Погрешность
|
|
1,271712422000000
|
1,269482393459680
|
0,002230028540324
Заключение
К основным результатам курсовой работы можно
отнести:
Обзор литературы по теме «Решение смешанной
краевой задачи для гиперболического уравнения разностным методом».
Программа «smesh_giperb», разработанная в
Borland C++ Version 3.1, код которой приведен в приложении.
Список используемой литературы
1. Трубников
С.В. Численные методы. Часть 3: Решение дифференциальных уравнений. Учебное
пособие для студентов вузов. - Брянск: БГУ, 2005.
2. Крылов
В.И. и др. Вычислительные методы, т.II. М.: Наука, 1977.
. Самарский
А.А. Теория разностных схем. М.: Наука, 1983.
. Крылов
В.И, Бобков В.В, Монастырный П.И. Численные методы, т II. M.: Наука, 1977.
. Стефан
Р.Д. C++ для "чайников", 4-е издание: Пер. с англ.: - М.:
Издательский дом '"Вильяме", 2003.
. Трубников
С.В. Задачник - практикум по численным методам. Часть 4. Описание библиотеки
программ. Учебное пособие для студентов вузов. - Брянск: БГУ, 2005.
. Подбельский
В.В. Язык Си++: Учебное пособие.-5-е издание - М.: Финансы и статистика, 2003.
Приложение
/* {Программа smesh_giperb предназначена для
решения смешанной краевой задачи для уравнения гиперболического типа разностным
методом.
Рассматривается смешанная краевая задача для
дифференциального уравнения гиперболического типа:_xx (x,y)-u_yy
(x,y)=f(x,y),0<y<Y<,alfa<x<betta (x,0) = fi(x),
alfa<x<betta,_y (x,0)=psi(x)(y) u_x (alfa,y)+tau2(y)u(alfa,y)=w1(y)(y)
u_x (betta,y)+sigma2(y)u(betta,y)=w2(y)
Ищется функция u(x,y)
В прямоугольной области
(alfa<=x<=betta,0<=y<=Y), вводится сетка с шагами h и l по оси x и
y соответственно.
Число отрезков разбиения по оси x - M, а по оси
y - N. h=(alfa-betta)/MM, l= sqrt(h*h/2) - шаги сетки.
Приближённые значения решения u(x,y) в узлеах
сетки с координатами x_j=h*j и y_i=i*l (j=0,1,...,M, i=0,1,...,N) ищутся
разностным методом методом и записываются в файл rezultat.txt послойно. То есть
значения ?u(x?_m,y_n) вычисляются последовательно:
На временном слое 0. При n=0 и для всех m от 0
до M,
На временном слое 1. При n=1 и для всех m от 0
до M,
................................
На временном слое N. При n=N и для всех m от 0
до M.
Записываются приближенные значения решения
u(x_m,y_n) в файл rezultat.txt в следующем порядке:
sloi(x_0,y_0) u(x_1,y_0) … u(x_M,y_0)
sloi(x_0,y_1) u(x_1,y_1) … u(x_M,y_1)
sloi(x_0,y_N) u(x_1,y_N) … u(x_M,y_N)
Для временного хранения приближенного решения
при вычислениях по рекуррентным формулам используются также три массива
u0[m],u1[m]и u2[m].
В начале вычисляется приближенное решение на
нулевом временном слое. При вычислении оно помещается в массив u0 записывается
в файл rezultat.txt.
Затем, зная решение на нулевом слое, по рекуррентной
формуле находится решение на следующем, первом слое. При вычислении оно
помещается в массив u1 и записывается в файл rezultat.txt.
Затем, зная решение на первом слое по
рекуррентной формуле находится решение на следующем, втором слое. При
вычислении это решение помещается в массив u2 и записывается в файл
rezultat.txt
................................................................
Этот процесс продолжается до тех пор, пока не
будет вычислено и записано в файл приближенное решение на последнем слое.
Массивы u0,u1 и u2 используются в качестве
буферов, в которые временно помещается приближенное решение на очередном
временном слое до записи его в файл. */
#include <iostream.h>
#include <math.h>
#include <stdio.h>
#include <stdlib.h>
#include <fstream.h>
#include <string.h>
#include <conio.h>buffer[128],
buffer_nomer[4];*copy;//указатель на переменную в которой хранится строка *
fp;* st;M,N,i,j,octatok;alfa, betta, l,Y,NN;h;
# define NDEC 10
//задается функция f(x,y)f(double x,double y)
{(2*exp(x)*cos(y));
}
// задаются функции fi(x)и psi(x) из начальных
условийfi(double x)
{(exp(x));
}psi(double x)
{x=0;x;
}
// задаются функции tau1(y),
tau2(y),sigma1(y),sigma2(y),w1(y),w2(y) из граничных условийtau1(double y)
{y=1;y;
}tau2(double y)
{y=0;y;
}w1(double y)
{(exp(alfa)*cos(y));
}
w2(double y)
{(exp(betta)*cos(y));
}sigma1(double y)
{y=0;y;
}sigma2(double y)
{ y=1;y;
}
//функция для записи в файл номера
слояzapis_sloya(int nomer)
{fp=fopen("d:\\rezultat.txt","a");(nomer,buffer_nomer,10);=new
char[strlen(buffer_nomer)+1];(st,buffer_nomer);(st,"sloi ");(fp,
"\n\r" );(fp, st );(fp, "\n\r" );(fp);st;
}
//функция для записи в файл значений на слое
?u(x?_m,y_n)zapis_v_file(float x)
{fp=fopen("d:\\rezultat.txt","a");(x,NDEC,buffer);=new
char[strlen(buffer)+1];//строка длиной 'длина строковой переменной
buffer+1',плюс 1 для нулевого символа(copy,buffer);(copy," ");(fp,
copy );(fp);copy;//освобождение памяти
}()
{<<"введите число узлов на оси
OX";cin>>M;<<"vvedite
alfa";cin>>alfa;cout<<endl;<<"vvedite
betta";cin>>betta;cout<<endl;<<"vvedite
Y";cin>>Y;=(betta-alfa)/M;cout<<h<<endl;//вычисление и
вывод шага h=h/2;cout<<l<<endl;// вычисление и вывод шага
l=fmod(Y,l);(octatok==0) NN=Y/l;NN=floor(Y/l); // вычисление
N=NN;cout<<N;*u0;*u1;*u2;=(float*) malloc(M*sizeof(float));=(float*)
malloc(M*sizeof(float));=(float*)
malloc(M*sizeof(float));=fopen("d:\\rezultat.txt","w");
{[j]=fi(j*h);_v_file(u0[j]);
}
//вычисление и запись в файл первого слоя_sloya(1);(j=0;j<=M;j++)
{[j]=psi(j*h)*l+u0[j];_v_file(u1[j]);
}
/*вычисление и запись в файл все с остальных
слоев i=2,..N
Схема трехслойная, для вычисления одного слоя
необходимы значения функции в узлах на предыдущих 2-х слоях.
Для вычисления, например 2го слоя используются
значения на нулевом и первом, которые хранятся в массивах u0 и u1
соответственно. Значения же третьего слоя записываются в массив u2.
Для вычисления на третьем слое используются
значения на первом и втором, которые хранятся в массивах u1 и u2
соответственно. Значения же третьего слоя записываются в массив u0.
Для вычисления на четвертом слое используются
значения на втором и третьем слоях, которые хранятся в массивах u2 и u0
соответственно. Значения же третьего слоя записываются в массив u1.
И так далее до последнего
слоя.*/(i=2;i<=N;i++)
{
octatok=fmod(i,3);(octatok)
{//вычисляются значения на слоях с i=3,6,9,...0:
_sloya(i);(j=1;j<M;j++)[j]=2*u2[j]+l*l*(u2[j+1]-2*u2[j]+u2[j-1])/(h*h)-u1[j]-l*l*f(j*h,i*l);[0]=tau1(i*l)*u0[1]/(tau1(i*l)-h*tau2(i*l))-h*w1(i*l)/(tau1(i*l)-h*tau2(i*l));[M]=sigma1(i*l)*u0[M-1]/(sigma1(i*l)+h*sigma2(i*l))+h*w2(i*l)/(sigma1(i*l)+h*sigma2(i*l));(j=0;j<=M;j++)_v_file(u0[j]);;
//вычисляются значения на слоях с i=4,7,11,...1:
zapis_sloya(i);(j=1;j<M;j++)[j]=2*u0[j]+l*l*(u0[j+1]-2*u0[j]+u0[j-1])/(h*h)-u2[j]-l*l*f(j*h,i*l);[0]=tau1(i*l)*u1[1]/(tau1(i*l)-h*tau2(i*l))-h*w1(i*l)/(tau1(i*l)-h*tau2(i*l));[M]=sigma1(i*l)*u1[M-1]/(sigma1(i*l)+h*sigma2(i*l))+h*w2(i*l)/(sigma1(i*l)+h*sigma2(i*l));(j=0;j<=M;j++)_v_file(u1[j]);;
//вычисляются значения на слоях с i=2,5,8,...2:
zapis_sloya(i);(j=1;j<M;j++)[j]=2*u1[j]+l*l*(u1[j+1]-2*u1[j]+u1[j-1])/(h*h)
-u0[j]-l*l*f(j*h,i*l);[0]=tau1(i*l)*u2[1]/(tau1(i*l)-h*tau2(i*l))-h*w1(i*l)/(tau1(i*l)-h*tau2(i*l));[M]=sigma1(i*l)*u2[M-1]/(sigma1(i*l)+h*sigma2(i*l))+h*w2(i*l)/(sigma1(i*l)+h*sigma2(i*l));(j=0;j<=M;j++)_v_file(u2[j]);;
}
}(u0);(u1);(u2);();0;
}
Похожие работы на - Решение смешанной краевой задачи для гиперболического уравнения разностным методом
|