|
Момент сопротивления
нагрузки Мн, Нм
|
Момент инерции нагрузки Jн,
кг·м2
|
Максимальная скорость
вращения нагрузки , рад/сМаксимальное ускорение нагрузки , рад/с2
|
|
|
0.5
|
50
|
4.8
|
0.2
|
Целью данной работы является разработка целиком законченного устройства,
которое способно полностью обеспечить решение поставленной задачи.
1. Расчет номинальной мощности двигателя
Номинальная мощность двигателя вычисляется по следующей формуле (см.
[3]):
Выберем
двигатель с запасом мощности не более 40%, т.е мощностью не более
.
Выбор двигателя
Выбор
двигателя производился на сайте [4]. Был выбран следующий двигатель:
Тип:
Асинхронный трехфазный двигатель 56В-2
Данный
двигатель представляет собой однофазный асинхронный двигатель с короткозамкнутым
ротором. Мощность двигателя 130 Вт. Основные технические характеристики
двигателя приведены в таблице А.1 (см. приложение А).
.
Расчет оптимального передаточного числа редуктора
Величины
ηр и Jр
точно не известны, поэтому примем ηр = 0.7, Jр
=0.3 Jдв
Оптимальное
передаточное число редуктора вычисляется по следующей формуле (см. [3]):
4.
Выбор редуктора
Выбор
редуктора производился на сайте [5]. Был выбран следующий редуктор:
Фирма:
ТЦ «Редуктор»
Тип:
2-160/320М
Данный
редуктор представляет собой цилиндро-червячный двухступенчатый редуктор с
передаточным числом
. Основные технические характеристики редуктора
приведены в таблице А.2 (см. приложение А).
5.
Расчет момента инерции системы, приведенного к валу двигателя
Момент
инерции системы, приведенный к валу двигателя, вычисляется по следующей формуле
(см. [1]):
.
Проверочные соотношения
.
Проверочное соотношение мощностей.
Требуемый
от двигателя момент вычисляется как сумма динамического и статического момента:
Проверочное
соотношение мощностей:
2. Проверочное соотношение моментов
: для
двигателей переменного тока.
3. Проверочное соотношение скоростей вращения:

Исходя
из расчетов, данный двигатель подходит по перегрузочной способности, требуемой скорости,
и его мощности достаточно для выполнения поставленной задачи.
.
Расчет передаточной функции двигателя
Передаточная
функция двигателя постоянного тока связывает между собой напряжение, подаваемое
на двигатель, и скорость вращения вала двигателя, и при условии линеаризации
рабочего участка механической характеристики двигателя с учетом влияния
редуктора и нагрузки имеет вид (см. [1,2]):
,
где
- коэффициент передачи, то есть коэффициент
пропорциональности между напряжением питания и установившимся значением
скорости вращения вала редуктора;
-
электромеханическая постоянная времени, определяющая скорость переходного
процесса.
определяется
как произведение коэффициентов передачи соединенных последовательно двигателя и
редуктора:
определяется
следующим образом:
Коэффициент
передачи редуктора определяется как число, обратное его передаточному числу:

Таким
образом, передаточная функция двигателя имеет вид:
8.
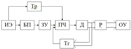
Описание функциональной схемы электропривода постоянного тока
Рисунок 8.1 - Функциональная схема электропривода постоянного тока: (ИЭ -
промышленная сеть переменного тока, БП - блок питания, ЗУ - задающее
устройство, ПЧ - преобразователь частоты, Тр - автотрансформатор, Д -
электродвигатель переменного тока, Р - редуктор, Тг - тахогенератор, ОУ -
объект управления)
От трехфазной промышленной сети переменного тока напряжение с амплитудой
380 В и частотой 50 Гц поступает на блок питания, который преобразует его в
постоянное напряжение 24 В, необходимое для питания контроллера. Контроллер
является задающим устройством, с помощью которого можно регулировать скорость
вращения двигателя. В зависимости от заданной скорости контроллер посылает
соответствующие сигналы на частотный преобразователь, который осуществляет
регулирование скорости вращения двигателя за счет изменения частоты питающего
напряжения. На частотный преобразователь также подается напряжение питания с
амплитудой 220 В и частотой 50 Гц, то есть номинальное для данного двигателя,
которое получено с помощью трехфазного повышающего автотрансформатора. Затем
напряжение с соответствующей частотой подается на двигатель переменного тока,
обеспечивая необходимую скорость вращения. Вал двигателя на выходе связан с
редуктором, который уменьшает скорость вращения вала до необходимой для
вращения нагрузки. Также электропривод содержит устройство обратной связи -
тахогенератор, который преобразует механическую энергию, то есть скорость
вращения вала двигателя, в электрический сигнал соответствующей величины.
Сигнал поступает на частотный преобразователь, и осуществляется сравнение
требуемой скорости двигателя и реальной. В соответствии с этим преобразователь
частоты соответствующим образом изменяет частоту.
Основные технические характеристики устройств приведены в приложении А.
Двигатель переменного тока представляет собой асинхронный двигатель.
Двигатель содержит две обмотки, одна из которых размещается на статоре, а
другая - на роторе. Обмотка статора является трехфазной, её фазы соединены по
схеме «звезда». Схема включения двигателя приведена на рисунке 8.2.
Рисунок 8.2 - Схема включения асинхронного двигателя (1 - обмотка
статора; 2 - ротор; 3 - обмотка ротора; U1 - напряжение питания; Е1
- ЭДС в обмотке статора; I1 - ток в обмотке статора; n2 -
частота вращения ротора; М - вращающий момент)
Ротор данного двигателя является короткозамкнутым, то есть фазы его
обмотки замкнуты накоротко. Двигатель содержит две пары полюсов.
Электромагнитный момент асинхронной машины создается в результате
взаимодействия тока в обмотке ротора с вращающимся магнитным полем, создаваемым
обмоткой статора. Зависимость скорости вращения ротора от момента называется
механической характеристикой. Её вид представлен на рисунке 8.3.
В данном электроприводе осуществляется управление скоростью с помощью
изменения частоты питания. При этом механические характеристики смещаются
параллельно относительно оси скоростей, то есть при уменьшении частоты
уменьшается скорость вращения при неизменном моменте.
Рисунок 8.3 - Частотное регулирование скорости асинхронного двигателя (f
- частота питающего напряжения)
Заключение
Итогом работы является разработка электропривода постоянного тока,
который способен обеспечить регулирование скорости вращения нагрузки с
требуемыми параметрами.
Таблица 2 - Параметры электропривода
|
Момент сопротивления
нагрузки Мн, Нм
|
Момент инерции нагрузки Jн,
кг·м2
|
Максимальная скорость
вращения нагрузки , рад/сМаксимальное ускорение нагрузки , рад/с2
|
|
|
0.5
|
50
|
4.8
|
0,2
|
Передаточная функция двигателя постоянного тока имеет вид:
Таким
образом, электропривод полностью отвечает поставленным требованиям.
двигатель редуктор электропривод ток
Список
литературы
1 Николаев П.В., Абатурова Г.Д. Методические указания
по выбору двигателя для систем автоматического управления. - Л.: Ротапринт,
ЛИТМО, 1987. - 56с.
Ковчин С.А., Сабинин Ю.А. Теория электропривода. -
СПб.: Энергоатомиздат. Санкт-Петербургское отделение, 2000. - 496с.: ил.
Правила оформления курсовых и квалификационных работ
/В.И. Бойков, С.В. Быстров, А.С. Кремлев, К.А. Сергеев.- СПб., СПБГУ ИТМО,
2007. - 36с., ил.
http://electronpo.ru/production
http://www.reduktorntc.ru/
Приложение А
Основные технические характеристики используемых устройств
А.1 Основные характеристики двигателя
привязка мощности и установочных размеров стандарту ГОСТ Р 51689-2000; -
степень защиты IP54, IP55 (электродвигатель АИР) по ГОСТ17494-87; - степень
защиты IP23 (электродвигатель АМН) по ГОСТ17494-87; - изоляция класса
нагревостойкости «F» по ГОСТ8865-93; - по способу монтажа, исполнения: IM 1001,
IM2001, IM3011 по ГОСТ2479-79; - климатическое исполнение У2, У3 по
ГОСТ15150-69. - режим работы S1 по ГОСТ183-74. - способ охлаждения 1С-0151 по
ГОСТ20459-87. - уровень шума в режиме холостого хода - 2 класса по
ГОСТ16372-93.
Технические характеристики электродвигателя АИР 56А-4
|
Наименование
|
АИР 56А-4
|
|
Полное название
|
двигатель электрический
асинхронный трехфазный
|
|
КПД (%)
|
57
|
|
Кол-во полюсов
|
4
|
|
Номинальное напряжение (В)
|
220
|
|
Потребляемый ток (А)
|
0,5
|
|
Полезная мощность (кВт)
|
0,12
|
|
Частота вращения (об./мин.)
|
1800
|
|
Момент инерции ротора (кг*м2)
|
0,0005
|
|
Масса (кг)
|
3,6
|
А.2 Основные характеристики редуктора
Редукторы цилиндро-червячные двухступенчатые
|
Наименование редуктора
|
Ч2-160/320М
|
|
Тип редуктора
|
Червячный двухступенчатый
|
|
Передаточное число
|
320
|
|
Частота вращения выходного
вала
|
А.3 Основные характеристики частотного преобразователя
Преобразователь частоты Delta VFD-L
|
Макс. мощность двигателя,
кВт
|
25/40
|
60/100
|
|
Выход
|
Номинальная выходная
мощность ПЧ, кВА
|
106/152
|
212/303
|
|
Ном. выходной ток ПЧ, А
|
0.28/0.4
|
0.56/0.8
|
|
Максимальное выходное
напряжение, В
|
Не более входного
|
|
Диапазон регулировки
выходной частоты, Гц
|
от 1.0 до 120 Гц
|
|
Вход
|
Номинальные параметры
питающей сети переменного тока
|
Одна фаза от 200 до 240 В
АС 50/60 Гц
|
|
Допустимое отклонение
напряжения/частоты питающей сети
|
Напряжение ±10%, частота
±5%
|
|
Ном. входной ток ПЧ, А
|
0.7
|
1.0
|
1.4
|
|
Характеристики управления
|
Способ формирования тока
двигателя
|
SVPWM
(Пространственно-векторная ШИМ, несущая частота 10 кГц)
|
|
Устанавливаемый момент
|
Переключаемый
(низкий/высокий)
|
|
Допустимая перегрузка
|
150% номинального тока в
течении 1 минуты
|
|
Диапазон установки времени
разгона/торможения
|
От 0 до 30.0 секунд
|
|
Подъём момента
|
От 0 до 8%
|
|
Варианты управления и
контроля
|
Задание частоты
|
Встроенный потенциометр;
RS-485
|
|
Сигналы управления
|
Панель
|
ПУСК/ СТОП, ВПЕРЕД / НАЗАД
|
|
|
Внешние
|
ПУСК/ СТОП, ВПЕРЕД / НАЗАД,
RS-485
|
|
Выходная индикация
|
Панель
|
Светодиодная индикация
ошибок и аварий
|
|
|
Внешняя
|
Выход с открытым
коллектором (индикация ошибкой)
|
|
Функции защиты
|
Пере-/недонапряжение;
сверхток; перегрузка; перегрев радиатора; внешняя ошибка; электронное реле
тепловой защиты двигателя
|
|
Дополнительные возможности
|
Встроенный фильтр
электромагнитных помех (в моделях с версией B)
|
|
Охлаждение
|
Естественная конвекция
|
|
Условия эксплуатации
|
Рабочая температура:
-10...+40°С; Температура хранения: -20...+60°С; Влажность - до 90% без
конденсата.
|
|
Место установки
|
Не выше 1000 м над уровнем
моря.
|
|
Допустимая вибрация
|
9,80665 м/сек2 (1g) менее
20 Гц, и 5,88 м/сек2 (0.6g) менее 20...50 Гц
|
|
|
|
|
|
|
|
А.4 Основные характеристики контролера
Контролер MELSEC
FX3UC-64MT
|
Характеристики
|
FX3UC-64MT/_
|
|
Макс. кол-во входов/выходов
|
64
|
|
Питание
|
24 В пост. т. (+20%, -15%)
|
|
Потребляемая мощность
|
11 Вт
|
480 мА
|
|
Встроенные входы
|
32
|
|
Входное сопротивление
|
X000-X005; 3,9 кОм;
X006-X007: 3,3 кОм; начиная с X010: 4,3 кОм
|
|
Входной ток
|
X000-X005: 6 мА / 24 В пост.;
X006-X007; 7 мА / 24 В пост.; начиная с X010: 5 мА / 24 В пост.
|
|
Минимальный ток для
логической 1
|
X000-X005: > 3,5 мА;
X006-X007: >4,5 мА; начиная с X010: >3,5 мА
|
|
Максимальный ток для
логического 0
|
макс. 1,5 мА
|
|
Изоляция
|
У всех базовых модулей
входы гальванически отделены от электропитания оптронами.
|
|
Время реагирования
|
Все базовые модули MELSEC
FX3UC: 10 мс (заводская настройка), в X000...X017 используются цифровые
регулируемые значения фильтров
|
|
Встроенные выходы
|
32
|
|
Тип выходов
|
транзисторные
|
|
Напряжение включенного
состояния (макс.)
|
5 - 30 В пост.
|
|
Макс. коммутируемая
мощность
|
омическая нагрузка
|
0,3 A (для Y000-Y003 / 0,1
A (для всех прочих выходов); макс. 1,6 A у 16 выходов одновременно
|
|
индуктивная нагрузка
|
7,2 Вт (для Y000-Y003) /
2,4 Вт (для всех прочих выходов); макс. 38,4 Вт у 16 выходов одновременно
|
|
Время реагирования
|
< 0,2 мс (для Y000-Y003)
/ 5мкс (для всех прочих выходов)
|
|
Условия эксплуатации
|
температура окружающего
воздуха 0...55 °C; относительная влажность 5-95%
|
|
Размеры в мм (Ш х В х Г)
|
60 x 90 x 74
|
А.5 Основные характеристики блока питания
Блок питания БП-50
Питание - напряжение переменного тока 100-240 В
Частота переменного тока 45-55 Гц
Выходное постоянное напряжение 22-29 В
Выходной ток не более 1,5 А
КПД 80%
Габаритные размеры 100х36х118
А.6 Основные характеристики автотрансформатора
Автотрансформатор TDGC-7K
Мощность: 7 кВа
Количество фаз: Однофазный
Вх. Напряжение: 220В
Диапазон выходного напряжения: 0-250В
Ток: 28А
Габаритные размеры: 410x320x240 мм.
Масса: 36 кг
А.7 Основные характеристики тахогенератора
Тахогенератор ТП-212
|
Основные технические данные
|
|
Номинальная частота
вращения, об/мин
|
200, 400, 600, 1000, 1500,
2000
|
|
Напряжение, В
|
200 (+/-30)
|
|
Крутизна выходного
напряжения, В/об/мин
|
0.20
|
|
Асимметрия выходного
напряжения, %
|
+/-0,1
|
|
Номинальное сопротивление
нагрузки, кОм
|
2,1 (+/-0,02)
|
|
Направление вращения
|
реверсивное
|
|
Возбуждение
|
постоянные магниты
|
|
Исполнение по способу
монтажа
|
IM1082 / IM-3087
|
|
Степень защиты
|
IP44
|
S1
|
|
Климатическое исполнение
|
УХЛ2
|
|
Класс нагревостойкости
изоляции
|
F
|
|
Масса, кг, не более
|
40 (43 с полумуфтой), (45
фланцевая)
|
|
Наружный диаметр станины,
мм
|
212
|
|
Длина тахогенератора, мм
|
465 (560 с полумуфтой)
|
|
Высота оси вращения вала h,
мм
|
112
|
|
Диаметр вала, мм
|
30
|