Эксплуатация автоматических систем управления современных авиационных газотурбинных двигателей
УСЛОВНЫЕ СОКРАЩЕНИЯ
АС - автоматическая система
АД - авиационный двигатель
ВЗ - воздухозаборник
ВНА - входной направляющий аппарат
ВС - воздушное судно
ВД - высокого давления
ГДУ - газодинамическая устойчивость
ГТД - газотурбинный двигатель
ДИ - дозирующая игла
КВД - компрессор высокого давления
КНД - компрессор низкого давления
НА - направляющий аппарат
НД - низкого давления
РУД - рычаг управления двигателем
САУ - система автоматического управления
СУ - силовая установка
ТВД - турбовинтовой двигатель; турбина высокого давления
ТНД - турбина низкого давления
ТРДД - турбореактивный двигатель двухконтурный
ТРДДФ - турбореактивный двигатель двухконтурный с форсажной камерой
ТО - техническое обслуживание
ЦП - центральный процессор
ACU - actuator control unit - блок управления приводами
AFDX -
формат шины данных
ARINC
429 - формат данных цифровой шины
DEC/DECU - digital electronic control unit - блок цифрового управления двигателем
EEC - electronic engine control - блок системы электронного управления двигателем;
электронный регулятор
EMU - engine monitoring unit - блок управления двигателем
EOSU -
electronic overspeed protection unit - модуль защиты двигателя от заброса оборотов
ETRAS
- electromechanical thrust reverser actuation system - электромеханическая система привода устройства
реверсирования тяги
FADEC
- full authority digital electronic control - система электронного управления двигателем с полной
ответственностью
FCU - fuel control unit - регулятор подачи топлива
FMS - fuel metering section - измерительная часть - fuel metering unit - топливодозирующее устройство
N1 -
частота вращения ротора низкого давления
N2 -
частота вращения ротора высокого давления
ODMS -
oil-debris magnetic sensor - датчик обнаружения металлических частиц в масле
SAV - starter air valve - клапан воздушного стартера
VMU - vibration measurement unit - устройство измерения вибрации
ОГЛАВЛЕНИЕ
ВВЕДЕНИЕ
. Общие сведения о системах автоматического управления
авиационными газотурбинными двигателями
.1 Назначение систем автоматического управления
.2 Проблемы, возникающие при эксплуатации систем
автоматического управления двигателями типа FADEC
. Газодинамические схемы газотурбинных двигателей
.1 Газодинамическая характеристика
газотурбинных двигателей
.2 Управление двигателем
. Системы управления подачей топлива
.1 Главный регулятор расхода топлива
.2 Упрощенная схема управления топливом
.3 Гидропневматические системы управления топливом, ТВД PT6
.4 Система управления топливом Бендикс DP-L2
.5 Электронная система программирования подачи топлива
.6 Управление мощностью и программирование подачи топлива (CFM56-7B)
.7 Система управления топливом ВСУ
.8 Настройка системы управления топливом
. Система автоматического управления
.1 Основная часть
.2 Описание и работа
.3 Система управления топливом
.4 Система индикации расхода топлива
.5 Внешние магистрали
Выводы и рекомендации
Список использованной литературы
ВВЕДЕНИЕ
Газотурбинные двигатели (ГТД) за шестьдесят лет своего развития стали
основным типом двигателей для воздушных судов современной гражданской авиации.
Газотурбинные двигатели - классический пример сложнейшего устройства, детали
которого работают длительное время в условиях высоких температур и механических
нагрузок. Высокоэффективная и надежная эксплуатация авиационных газотурбинных силовых
установок современных воздушных судов невозможна без применения специальных
систем автоматического управления (САУ). Крайне важно отслеживать рабочие
параметры двигателя, управлять ими для обеспечения высокой надежности работы и
длительного срока его эксплуатации. Следовательно, огромную роль играет выбор
автоматической системы управления двигателем.
В настоящее время в мире широко используются воздушные суда, на которых
устанавливаются двигатели V
поколения, оборудованные новейшими системами автоматического управления типа FADEC (Full Authority Digital Electronic Control). На авиационных газотурбинных двигателях первых
поколений устанавливались гидромеханические САУ.
Гидромеханические системы прошли долгий путь развития и
совершенствования, начиная от простейших, основанных на управлении подачей
топлива в камеру сгорания (КС) при помощи открытия/закрытия отсечного клапана
(вентиля), до современных гидроэлектронных, в которых все основные функции
регулирования производятся с помощью гидромеханических счётно-решающих
устройств, и только для выполнения некоторых функций (ограничение температуры
газа, частоты вращения ротора турбокомпрессора и др.) используются электронные
регуляторы. Однако сейчас этого не достаточно. Для того, чтобы соответствовать
высоким требованиям безопасности и экономичности полетов, необходимо создавать
полностью электронные системы, в которых все функции регулирования выполняются
средствами электронной техники, а исполнительные органы могут быть
гидромеханическими или пневматическими. Такие САУ способны не просто
контролировать большое число параметров двигателя, но и отслеживать их
тенденции, управлять ими, тем самым, согласно установленным программам,
задавать двигателю соответствующие режимы работы, взаимодействовать с системами
самолета для достижения максимальной эффективности. Именно к таким системам
относится САУ FADEC.
Серьезное изучение устройства и работы систем автоматического управления
авиационных ГТД является необходимым условием правильности оценки технического
состояния (диагностики) АС управления и их отдельных элементов, а также
безопасной эксплуатации САУ авиационных газотурбинных силовых установок в
целом.
1. ОБЩИЕ
СВЕДЕНИЯ О СИСТЕМАХ АВТОМАТИЧЕСКОГО УПРАВЛЕНИЯ АВИАЦИОННЫМИ ГТД
.1 Назначение систем автоматического управления
газотурбинный двигатель
топливо управление
САУ предназначена для (рис. 1):
управления запуском двигателя и его выключения;
управления режимом работы двигателя;
обеспечения устойчивой работы компрессора и камеры сгорания (КС)
двигателя на установившихся и переходных режимах;
предотвращения превышения параметров двигателя выше предельно допустимых;
обеспечения информационного обмена с системами самолета;
интегрированного управления двигателем в составе силовой установки
самолета по командам из самолетной системы управления;
обеспечения контроля исправности элементов САУ;
оперативного контроля и диагностирования состояния двигателя (при
объединенной САУ и системы контроля);
подготовки и выдачи в систему регистрации информации о состоянии
двигателя.
Обеспечение управлением запуска двигателя и его выключением. На запуске
САУ выполняет следующие функции:
управляет подачей топлива в КС, направляющим аппаратом (НА), перепусками
воздуха;
управляет пусковым устройством и агрегатами зажигания;
защищает двигатель при помпаже, срывах в компрессоре и от перегрева
турбины;
защищает пусковое устройство от превышения предельной частоты вращения.
Рис. 1. Назначение системы автоматического управления двигателем [1]
САУ обеспечивает выключение двигателя с любого режима работы по команде
пилота или автоматически при достижении предельных параметров, кратковременное
прекращение подачи топлива в основную КС при потере газодинамической
устойчивости компрессора (ГДУ).
Управление режимом работы двигателя. Управление производится по командам
пилота в соответствии с заданными программами управления. Управляющим
воздействием является расход топлива в КС. При управлении поддерживается
заданный параметр регулирования с учетом параметров воздуха на входе в
двигатель и внутридвигательных параметров. В многосвязных системах управления
также может управляться геометрия проточной части для реализации оптимального и
адаптивного управления с целью обеспечения максимальной эффективности комплекса
«СУ - летательный аппарат».
Обеспечение устойчивой работы компрессора, КС двигателя на установившихся
и переходных режимах. Для устойчивой работы компрессора и КС осуществляется
автоматическое программное управление подачей топлива в камеру сгорания на
переходных режимах, управление клапанами перепуска воздуха из компрессора или
за компрессором, управление углом установки поворотных лопаток ВНА и НА
компрессора. Управление обеспечивает протекание линии рабочих режимов с
достаточным запасом газодинамической устойчивости компрессора (вентилятора,
подпорных ступеней, КНД и КВД). Для предотвращения превышения параметров при
потере ГДУ компрессора применяется противопомпажная и противосрывная системы.
Предотвращение превышения параметров двигателя выше предельно допустимых.
Под предельно допустимыми понимаются максимально возможные параметры двигателя,
ограниченные по условиям выполнения дроссельных и высотно-скоростных
характеристик. Длительная работа на режимах с предельно допустимыми параметрами
не должна приводить к разрушению деталей двигателя. В зависимости от
конструкции двигателя автоматически ограничиваются:
предельно допустимая частота вращения роторов двигателя;
предельно допустимое давление воздуха за компрессором;
максимальная температура газа за турбиной;
максимальная температура материала рабочих лопаток турбины;
минимальный и максимальный расход топлива в КС;
предельно допустимая частота вращения турбины пускового устройства.
В случае раскрутки турбины при обрыве ее вала производится автоматическое
выключение двигателя с максимально возможным быстродействием клапана отсечки
топлива в КС. Может быть применен электронный датчик, фиксирующий превышение
пороговой частоты вращения, или механическое устройство, которое фиксирует
взаимное окружное смещение валов компрессора и турбины и определяет момент
обрыва вала для выключения подачи топлива. При этом управляющие устройства
могут быть электронными, электромеханическими или механическими.
В конструкции САУ должны быть предусмотрены надсистемные средства защиты
двигателя от разрушений при достижении предельных параметров в случае выхода из
строя основных каналов управления САУ. Может быть предусмотрен отдельный
агрегат, который при достижении предельного для надсистемного ограничения
значения какого-либо из параметров с максимальным быстродействием выдает
команду на отсечку топлива в КС [6].
Информационный обмен с системами самолета. Информационный обмен
осуществляется по последовательным и параллельным каналам информационного
обмена.
Выдача информации в контрольно-проверочную и регулировочную аппаратуру.
Для определения исправного состояния электронной части САУ, поиска
неисправностей, эксплуатационной регулировки электронных агрегатов в комплекте
принадлежностей двигателя имеется специальный пульт контроля, проверки и
регулировки. Пульт применяется при наземных работах, в некоторых системах
устанавливается на борту самолета. Между САУ и пультом осуществляется
информационный обмен по кодовым линиям связи через специально подсоединяемый
кабель.
Интегрированное управление двигателем в составе СУ самолета по командам
из самолетной системы управления. С целью получения максимальной эффективности
работы двигателя и самолета в целом интегрируют управление двигателем и другими
системами СУ. Системы управления интегрируют на базе бортовых цифровых
вычислительных систем, объединенных в систему управления бортовым комплексом.
Интегрированное управление осуществляется корректировкой программ управления
двигателем от системы управления СУ, выдачей параметров двигателя для управления
воздухозаборником (ВЗ). По сигналу от САУ ВЗ выдаются команды на установление
элементов механизации двигателя в положение повышения запасов ГДУ компрессора.
Для предотвращения срывов в управляемом ВЗ при изменении режима полета режим
двигателя соответственно корректируется или фиксируется.
Контроль исправности элементов САУ. В электронной части САУ двигателя
автоматически контролируется исправность элементов САУ. При отказе элементов
САУ информация о неисправностях выдается в систему контроля СУ самолета.
Выполняется реконфигурация программ управления и структуры электронной части
САУ для сохранения ее работоспособности.
Оперативный контроль и диагностирование состояния двигателя. САУ,
интегрированная с системой контроля выполняет дополнительно следующие функции:
прием сигналов от датчиков и сигнализаторов двигателя и самолета, их
фильтрацию, обработку и выдачу в бортовые системы индикации, регистрации и
другие системы самолета, преобразование аналоговых и дискретных параметров;
допусковый контроль измеренных параметров;
контроль параметра тяги двигателя на взлетном режиме;
контроль работы механизации компрессора;
контроль положения элементов реверсивного устройства на прямой и обратной
тяге;
расчет и хранение информации о наработке двигателя;
контроль часового расхода и уровня масла при заправке;
контроль времени запуска двигателя и выбега роторов КНД и КВД при
останове;
контроль систем отбора воздуха и системы охлаждения турбины;
виброконтроль узлов двигателя;
анализ тенденций изменения основных параметров двигателя на
установившихся режимах.
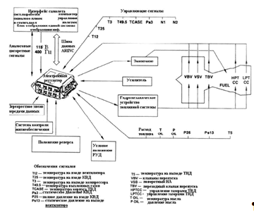
На рис. 2 схематично представлен состав агрегатов системы автоматического
управления ТРДД.
При достигнутом в настоящее время уровне параметров рабочего процесса
авиационных ГТД дальнейшее улучшение характеристик силовых установок связано с
поиском новых путей управления, с интеграцией САУ АД в единую систему
управления самолетом и двигателем и их совместным управлением в зависимости от
режима и этапа полета. Такой подход становится возможным при переходе к
электронным цифровым системам управления двигателем типа FADEC (Full Authority Digital Electronic Control), т.е. к системам, в которых электроника осуществляет
управление двигателем на всех этапах и режимах полета (системам с полной
ответственностью) [6].
Преимущества цифровой системы управления с полной ответственностью перед
гидромеханической системой управления очевидны:
система FADEC имеет два независимых канала
управления, что значительно повышает ее надежность и исключает необходимость
многократного резервирования, снижает ее вес;
Рис. 2. Состав агрегатов системы автоматического управления, контроля и
топливопитания ТРДД
система FADEC осуществляет автоматический запуск,
работу на установившихся режимах, ограничение температуры газа и скорости
вращения, запуск после погасания камеры сгорания, антипомпажную защиту за счет
кратковременного снижения подачи топлива, она функционирует на основе данных
разного типа, поступающих от датчиков;
система FADEC обладает большей гибкостью, т.к.
количество и сущность выполняемых ею функций можно увеличивать и изменять с
помощью введения новых или корректировки существующих программ управления;
система FADEC значительно снижает рабочие нагрузки
для экипажа и обеспечивает применение широко распространенной техники
электропроводного (fly-by-wire) управления самолетом;
в функции системы FADEC
входит мониторинг состояния двигателя, диагноз отказов и информация о
техобслуживании всей силовой установки. Вибрация, рабочие характеристики,
температура, поведение топливных и масляных систем - одни из многих
эксплуатационных аспектов, мониторинг которых обеспечивает безопасность,
эффективный контроль ресурса и снижение расходов на обслуживание;
система FADEC обеспечивает регистрацию наработки
двигателя и повреждаемости его основных узлов, наземный и походный самоконтроль
с сохранением результатов в энергонезависимой памяти;
для системы FADEC отсутствует
необходимость регулировок и проверок двигателя после замены какого-либо из его
узлов.
Система FADEC также:
управляет тягой на двух режимах: ручном и автоматическом;
контролирует расход топлива;
обеспечивает оптимальные режимы работы, управляя течением воздуха по
тракту двигателя и регулируя зазор за рабочими лопатками ТВД;
контролирует температуру масла интегрированного привод-генератора;
обеспечивает выполнение ограничений по работе системы реверса тяги на
земле.
На рис. 3 наглядно продемонстрирован широкий спектр функций, выполняемых
САУ FADEC.
В России САУ этого типа разрабатываются для модификаций двигателей
АЛ-31Ф, ПС-90А и ряда других изделий.
Рис. 3. Назначение цифровой системы управление двигателем с полной
ответственностью [1]
.2 Проблемы, возникающие при эксплуатации систем автоматического
управления двигателями типа FADEC
Следует отметить, что в связи с более динамичным развитием электроники и
информационных технологий за рубежом ряд фирм, занимающихся изготовлением САУ
АД, рассматривал переход к системам типа FADEC в середине 80-х годов. Некоторые аспекты этого вопроса
и проблематики, связанной с ним, были изложены в отчетах NASA и ряде периодических изданий. Тем не
менее, в них приведены только общие положения, указаны основные преимущества
электронно-цифровых САУ. Проблемы, возникающие при переходе к электронным
системам, пути их решения и вопросы, связанные с обеспечением требуемых
показателей САУ, опубликованы не были [6].
На сегодняшний день одной из наиболее острых задач для САУ, построенных
на базе электронных цифровых систем, является задача обеспечения необходимого
уровня надежности. Это, прежде всего, обусловлено недостаточным опытом
разработки и эксплуатации подобных систем.
Известны факты отказов САУ FADEC
авиационных ГТД иностранного производства по сходным причинам. Например, в САУ FADEC, установленных на ТРДД Роллс-Ройс
АЕ3007А и АЕ3007С, были зафиксированы отказы транзисторов, что могло стать
причиной отказов в полете этих двигателей, применяемых на двухдвигательных
самолетах.
Для двигателя ТРДД AS900
возникла необходимость внедрения программы, обеспечивающей автоматическое
ограничение параметров для повышения надежности системы FADEC, а также предотвращение, обнаружение
и восстановление нормальной работы после помпажей и заглоханий. ТРДД AS900 также был снабжен защитой от
заброса частоты вращения, сдвоенными соединениями для передачи данных к
датчикам критических параметров с помощью шины и дискретных сигналов по
стандарту ARINK 429 [7].
Специалисты, занимающиеся разработкой и внедрением в эксплуатацию САУ FADEC, обнаруживали немало логических
ошибок, на исправление которых требовались значительные суммы денег. Тем не
менее, они определили, что в перспективе за счет совершенствования системы FADEC станет возможным прогнозирование
ресурса всех компонентов двигателя. Это позволит осуществлять контроль за
парком самолетов дистанционно из центрального пункта в любом районе земного
шара.
Внедрению этих инноваций будет способствовать переход от управления
исполнительными механизмами при помощи центральных микропроцессоров к созданию
интеллектуальных механизмов, снабженных собственными управляющими процессорами.
Преимуществом такой «распределенной системы» будет снижение массы за счет
отказа от линий передачи сигналов и сопутствующего оборудования. Независимо от
этого будет продолжаться совершенствование отдельных систем.
Перспективными внедрениями для отдельно взятых ГТД иностранного
производства являются [8]:
усовершенствование системы управления двигателем, обеспечивающее
автоматические запуск и режим малого газа с управлением отбором воздуха и
противообледенительной системой, синхронизация работы систем двигателя для
получения низкого уровня шума и автоматического сохранения характеристик, а
также управление реверсивным устройством;
изменение принципа работы САУ FADEC с целью осуществления управления двигателем не по сигналам датчиков
давления и температуры, а непосредственно по частоте вращения ротора ВД в связи
с тем, что этот параметр измерить легче, чем сигнал от двойной системы датчиков
температуры-давления, который в действующих двигателях должен быть преобразован.
Новая система позволит получить большую скорость реагирования и меньший разброс
петли регулирования;
установка многократно более мощного процессора с использованием
стандартных промышленных чипов и обеспечение диагностики и прогнозирования состояния
(работоспособности) двигателя и его характеристик, разработка САУ FADEC типа PSC. PSC -
это система, работающая в реальном масштабе времени, которая может
использоваться для оптимизации характеристик двигателя, зависящих от
многочисленных ограничений, например, чтобы минимизировать удельный расход
топлива при постоянной тяге;
включение в состав САУ FADEC
интегрированной системы контроля технического состояния двигателя. Двигатель
регулируется по приведенной частоте вращения вентилятора с учетом высоты
полета, наружной температуры, величины тяги и числа М;
объединение системы контроля технического состояния двигателя, EMU (Engine Monitoring Unit), с FADEC,
что позволит в реальном времени сопоставлять большее количество данных и
обеспечит большую безопасность при работе двигателя «вблизи физических
пределов». На основе применения упрощенной термодинамической модели, в которой
такие факторы, как изменение температуры и напряжения, учитываются совместно в
виде суммарного показателя накопления усталости, блок EMU позволяет также контролировать частоту использования
во времени. Имеется также контроль ситуаций типа «визжащего» звука, скрипов,
повышенных вибраций, прерванного запуска, срыва пламени, помпажа двигателя.
Новым для системы FADEC является
использование магнитного датчика обнаружения металлических частиц ODMS (Oil-debris Magnetic
Sensor), который не только позволяет
определять размеры и количество железосодержащих частиц, но и с помощью
центрифуги удалять их на 70…80 %. В случае обнаружения роста количества частиц,
блок EMU позволяет проверить наличие вибрации
и выявить опасные процессы, например, надвигающееся разрушение подшипника (для
ТРДДФ ЕJ200);
создание фирмой Дженерал Электрик двухканальной цифровой САУ FADEC третьего поколения, время срабатывания
которой значительно меньше, а объем памяти больше, чем у предыдущих САУ FADEC двухконтурных двигателей
производства этой фирмы. Благодаря этому САУ располагает дополнительными
резервными возможностями для повышения надежности и тяги двигателя. В САУ FADEC также будет заложена перспективная
способность фильтровать вибрационные сигналы, чтобы устанавливать и
диагностировать симптомы приближающейся поломки узла/детали на основании
спектрального анализа известных видов отказов и неисправностей, например, разрушение
беговой дорожки подшипника. Благодаря такой идентификации будет получено
предупреждение о необходимости проведения ТО по окончании полета. САУ FADEC будет содержать дополнительную
электронную плату, названную «персональная плата» (Personality Board). Ее отличительными чертами являются шина данных,
соответствующая новому стандарту Эрбас (AFDX), и новые функции (контроль повышения частоты
вращения, контроль тяги и др.). Кроме этого, новая плата расширит связь с
устройством измерения вибраций, VMU (Vibration Measurment Unit), и электромеханической системой привода устройства
реверсирования тяги, ETRAS
(Electromechanical Thrust Reverser Actuation System).
2. ГАЗОДИНАМИЧЕСКИЕ СХЕМЫ ГАЗОТУРБИННЫХ ДВИГАТЕЛЕЙ
Сложным требованиям, предъявляемым к условиям функционирования
сверхзвуковых многорежимных самолетов, в наибольшей степени удовлетворяют
турбореактивные (ТРД) и двухконтурные турбореактивные двигатели (ТРДД). Общим у
этих двигателей является характер формирования свободной энергии, различие -в
характере ее использования.
У одноконтурного двигателя (рис. 4) свободная энергия, которой
располагает рабочее тело за турбиной, непосредственно преобразуется в
кинетическую энергию вытекающей струи. У двухконтурного двигателя в
кинетическую энергию вытекающей струи преобразуется лишь часть свободной
энергии. Оставшаяся часть свободной энергии идет на повышение кинетической
энергии дополнительной массы воздуха. Передача энергии дополнительной массе
воздуха осуществляется турбиной и вентилятором.
Использование
части свободной энергии для ускорения дополнительной массы воздуха при
определенных значениях параметров рабочего процесса, а следовательно, и при
определенном часовом расходе топлива 
позволяет
повысить тягу двигателя и снизить удельный расход топлива 
.
Пусть
расход воздуха ТРД будет 
а
скорость истечения газа 
. У
двухконтурного двигателя во внутреннем контуре расход воздуха тот же, что и у
одноконтурного двигателя 
, а
скорость истечения газа 
; в
наружном контуре соответственно 
и 
(см.
рис. 4).
Будем
полагать, что расход воздуха 
и
скорость истечения газа одноконтурного двигателя 
, которая
характеризует уровень свободной энергии, при каждом значении скорости полета
имеют определенные значения.
Условия
баланса мощности потоков в ТРД и ТРДД при отсутствии потерь в элементах
газовоздушного тракта, обеспечивающие повышение кинетической энергии
дополнительной массы воздуха, можно представить выражениями
Рис. 4. Двухконтурный и одноконтурный двигатели с единым турбокомпрессорным
контуром [3]

(1)

(2)
В
пояснение к последнему выражению заметим, что часть свободной энергии, передаваемая
во внешний контур, повышает энергию потока от уровня 
которым
обладает набегающий поток, до уровня 
.
Приравнивая
правые части выражений (1) и (2), С учетом обозначений получим

, 
, 
. (3)
Тяга
двухконтурного двигателя определяется выражением

(4)
Если выражение (3) разрешить относительно 
и результат подставить в выражение (4), то получим

. (5)
Максимальная тяга двигателя при данных значениях 
и т достигается при 
, что следует из решения уравнения 
.
Выражение (5) при 
приобретает вид

(6)
Наиболее
простым выражение для тяги двигателя становится при 
Это выражение показывает, что повышение
степени двухконтурности приводит к монотонному возрастанию тяги двигателя. И, в
частности, можно видеть, что переход от одноконтурного двигателя (т = 0) к
двухконтурному двигателю с т = 3 сопровождается увеличением тяги в два раза. А
поскольку расход топлива в газогенераторе остается при этом неизменным, то
удельный расход топлива уменьшается также в два раза. Но удельная тяга
двухконтурного двигателя ниже, чем у одноконтурного. При V = 0 удельная тяга
определяется выражением
которое свидетельствует, что при
увеличении т удельная тяга уменьшается.
Одним из признаков различия схем
двухконтурных двигателей является характер взаимодействия потоков внутреннего и
наружного контуров.
Двухконтурный двигатель, у которого поток
газа внутреннего контура смешивается с потоком воздуха за вентилятором -
потоком наружного контура, - называется двухконтурным двигателем со смешением
потоков.
Двухконтурный двигатель, у которого
указанные потоки вытекают из двигателя раздельно, называется двухконтурным
двигателем с раздельными контурами.
.1 Газодинамическая характеристика
газотурбинных двигателей
Выходные параметры двигателя - тяга Р,
удельная тяга Руд и удельный расход топлива Суд - всецело
определяются параметрами его рабочего процесса, которые у каждого типа
двигателя находятся в определенной зависимости от условий полета и параметра,
определяющего режим работы двигателя.
Параметрами рабочего процесса являются: температура воздуха на
входе в двигатель Tв*, степень повышения полного давления воздуха в компрессоре
, степень двухконтурности т, температура газа перед турбиной 
, скорость потока в характерных сечениях газовоздушного тракта,
коэффициенты полезного действия отдельных его элементов и т.д.
Условия полета характеризуются температурой и давлением невозмущенного
потока Тн и Рн, а также скоростью V (или приведенной скоростью λн, или числом М) полета.
Параметры Тн и V (М или λн) , характеризующие условия полета,
определяют и параметр рабочего процесса двигателя Тв*.
Потребная тяга двигателя, установленного на самолете, определяется
характеристиками планера, условиями и характером полета. Так, в горизонтальном
установившемся полете тяга двигателя должна в точности равняться
аэродинамическому сопротивлению самолета Р = Q; при разгоне как в горизонтальной плоскости, так и с набором
высоты, тяга должна превышать сопротивление
и чем выше потребные величины ускорения 
и угла набора высоты 
, тем выше потребная величина тяги. Потребная тяга возрастает
также при увеличении перегрузки (или угла крена) при совершении виража.
Предельные значения тяги обеспечиваются
максимальным режимом работы двигателя. Тяга и удельный расход топлива на этом
режиме зависят от высоты и скорости полета и обычно соответствуют предельным по
условиям прочности значениям таких параметров рабочего процесса как температура
газа перед турбиной, частота вращения ротора двигателя и температура газа в
форсажной камере.
Режимы работы двигателя, на которых тяга
ниже максимальной, называются дроссельными режимами. Дросселирование двигателя
- снижение тяги осуществляется уменьшением теплоподвода.
Газодинамические особенности
газотурбинного двигателя определяются значениями расчетных параметров,
характеристиками элементов и программой управления двигателем.
Под расчетными параметрами двигателя будем понимать основные
параметры рабочего процесса на максимальных режимах при определенной для
данного двигателя температуре воздуха на входе в двигатель 
= 
.
Основные элементы газовоздушного тракта различных схем двигателей
- это компрессор, камера сгорания, турбина и выходное сопло.
Характеристики компрессора (каскадов компрессора) (рис. 5)
определяются
Рис. 5. Характеристики компрессора: а-а - граница
устойчивости; в-в - линия запирания на выходе из компрессора; с-с - линия
рабочих режимов [3]
зависимостью степени повышения полного
давления воздуха в компрессоре от относительной плотности тока на входе в
компрессор и приведенной частоты вращения ротора компрессора, а также
зависимостью коэффициента
полезного действия от степени повышения полного давления воздуха иприведенной
частоты ротора компрессора:

. (7)
Приведенный
расход воздуха 
связан с
относительной плотностью тока q(λв) выражением

(8)
где

-
площадь проточной части входного сечения компрессора, она редставляет собой
величину расхода воздуха при стандартных атмосферных условиях на земле 
= 288 К,

= 101325
Н/м2. По величине 
.пр расход
воздуха при известных значениях полного давления 
и
температуры торможения Т* вычисляется по формуле

(9)
Последовательность
рабочих точек, определяемых условиями совместной работы элементов двигателя на
различных установившихся режимах работы, образует линию рабочих режимов 
. Важной
эксплуатационной характеристикой двигателя является запас устойчивости
компрессора в точках линии рабочих режимов, который определяется выражением

(10)
Индексу
"гр" соответствуют параметры границы устойчивой работы компрессора
при том же значении nпр, что и
в точке линии рабочих режимов.
Камеру
сгорания будем характеризовать коэффициентом полноты сгорания топлива 
и коэффициентом полного
давления 
.
Полное
давление газа в камере сгорания падает из-за наличия гидравлических потерь,
характеризуемых коэффициентом полного давления 
г, и потерь, вызванных подводом теплоты. Последние
характеризуются коэффициентом 
. Общие потери полного давления определяются
произведением

. (11)
Как
гидравлические потери, так и потери, вызванные подводом теплоты, увеличиваются
при повышении скорости потока на входе в камеру сгорания. Потери полного
давления потока, вызванные подводом теплоты, увеличиваются также по мере
увеличения степени-подогрева газа, определяемого отношением значений
температуры потока на выходе из камеры сгорания и на входе в нее

/
.
Увеличение
степени подогрева и скорости потока на входе в камеру сгорания сопровождается
повышением скорости газа в конце камеры сгорания, и в случае приближения
скорости газа к скорости звука происходит газодинамическое
"запирание" канала. При газодинамическом "запирании" канала
дальнейшее повышение температуры газа без уменьшения скорости на входе в камеру
сгорания становится невозможным.
Характеристики
турбины определяются зависимостями относительной плотности тока в критическом
сечении соплового аппарата первой ступени q(λс а)
и коэффициента полезного действия турбины 
от степени понижения
полного давления газа в турбине, приведенной частоты вращения ротора турбины и
площади критического сечения соплового аппарата первой ступени:
Реактивные
сопло характеризуется диапазоном изменения площадей критического 
и
выходного 
сечений
и коэффициентом скорости 
.
На
выходные параметры двигателя существенное влияние оказывает также
характеристика воздухозаборника, который является элементом силовой установки
самолета. Характеристика воздухозаборника представлена коэффициентом полного
давления
где 
- полное давление невозмущенного потока воздуха; 
- полное давление потока воздуха у входа в компрессор.
Каждый тип двигателя имеет, таким образом, определенные размеры
характерных сечений и характеристики его элементов. Кроме того, двигатель имеет
определенное число управляющих факторов и ограничения по значениям параметров
его рабочего процесса. Если число управляющих факторов выше единицы, то
некоторым условиям полета и режиму работы в принципе может соответствовать
ограниченная область значении параметров рабочего процесса. Из всей этой
области возможных значении параметров рабочего процесса целесообразным будет
лишь одно сочетание параметров: на максимальном режиме - то сочетание, которое
обеспечивает максимальную тягу, а на дроссельном режиме - которое обеспечивает
минимальный расход топлива при определяющем данный режим значении тяги. При
этом необходимо иметь в виду, что число независимо управляемых параметров
рабочего процесса - параметров, на основе количественных показателей которых
производится управление рабочим процессом двигателя (или кратко - управление
двигателем), равно числу управляющих факторов двигателя. И определенным
значениям этих параметров соответствуют определенные значения остальных параметров.
Зависимость управляемых параметров от условий полета и режима
работы двигателя определяется программой управления двигателем и обеспечивается
системой автоматического управления (САУ).
Условия полета, оказывающие влияние на работу двигателя, наиболее
полно характеризуются параметром 
, который является и параметром рабочего процесса двигателя.
Поэтому под программой управления двигателем понимается зависимость управляемых
параметров рабочего процесса или состояния управляемых элементов двигателя от
температуры торможения воздуха на входе в двигатель и одного из параметров,
определяющих режим работы - температуры газа перед турбиной 
, частоты вращения ротора одного из каскадов 
или тяги двигателя Р.
.2
Управление двигателем
Двигатель с неизменяемой геометрией имеет
лишь один управляющий фактор - величину теплоподвода.
Рис. 6. Линия рабочих режимов на
характеристике компрессора [3]
В качестве управляемого параметра, непосредственно определяемого
величиной теплоподвода, могут служить параметры либо 
либо 
. Но, посколько параметр 
является независимым, то в качестве управляемого параметра могут
быть связанные с 
, и 
параметры 

и приведенная частота вращения

(12)
Причем в различных областях значений 
в качестве управляемого параметра могут использоваться различные
параметры.
Различие возможных программ управления двигателем с неизменяемой
геометрией обусловлено различием в допустимых значениях параметров 
,
и 
на максимальных режимах.
Если при изменении температуры воздуха на входе в двигатель 
потребовать, чтобы температура газа перед турбиной на
максимальных режимах не изменялась, то будем иметь программу управления 
. Относительная температура при этом будет изменяться в
соответствии с выражением 
.
На рис. 6 показано, что каждому значению
вдоль линии рабочих режимов соответствуют определенные значения
параметров 
и 
. (На рис. 6) показано также, что при 
< 1, а это может быть в случае 
< 
; величина приведенной частоты вращения превосходит единицу. При
увеличении 
свыше единицы КПД компрессора существенно снижается, поэтому
работа в этой области значений 
обычно не допускается, для чего вводится ограничение 
≤ 1. В таком случае при
< 
независимо управляемым параметром является 
. На максимальных режимах программа управления определяется
условием 
= 1.
Для обеспечения работы при 
= 1 необходимо, чтобы величина относительной температуры была 
=1, что в соответствии с выражением
равнозначно условию 
. Следовательно, при уменьшении 
ниже 
величина 
должна уменьшаться. На основании выражения (12) будет уменьшаться
также и частота вращения 
. Параметры 
при этом будут соответствовать расчетным значениям.
В области 
при условии 
= const величина параметра 
при увеличении 
может изменяться по-разному - она может и возрастать, и
уменьшаться, и оставаться неизменной, что зависит от расчетной степени
повышения полного давления воздуха в компрессоре и характера
управления компрессором. Когда программа 
= const приводит к увеличению 
по мере возрастания 
, а по условиям прочности повышение частоты вращения недопустимо,
используется программа 
Температура газа перед турбиной при возрастании 
будет в этих случаях, естественно, уменьшаться.
В качестве управляющего сигнала в системе автоматического
управления двигателя при обеспечении программ 
и 
служат ветчины этих параметров. При обеспечении программы 
= const в качестве управляющего сигнала может
служить - величина 
или меньшая величина 
,которая при 
= const и 
= const в соответствии с выражением
однозначно определяет величину 
Использование величины 
в качестве управляющего сигнала может быть обусловлено
ограничением рабочей температуры чувствительных элементов термопары.
Для обеспечения программы управления 
= const можно также воспользоваться программным
управлением по параметру 
, величина которого будет функцией от 
(рис. 7) .
Рассмотренные программы управления в целом являются
комбинированными. При 
двигатель работает на подобных режимах, в которых все параметры,
определяемые относительными величинами, неизменны. Это - величины приведенной
скорости потока во всех сечениях проточной части ГТД, приведенная температура,
степень повышения полного давления воздуха в компрессоре. Величина
, которой соответствуют расчетные значения 
и 
и которая разделяет два условия программы управления, во многих
случаях соответствует стандартным атмосферным условиям у земли 
= 288 К. Но в зависимости от назначения двигателя величина 
может быть и меньше, и больше 
.
Для двигателей высотных дозвуковых летательных аппаратов может оказаться целесообразным
назначить 
< 288 К. Так, для того чтобы
обеспечить работу двигателя в условиях М = 0,8; Н ≥
11 км при 
=
, необходимо 
= 244 К. Тогда при 
= 288 К относительная
температура будет 
= 1,18 и двигатель на максимальном режиме будет
работать при 
< 1. Расход воздуха на взлете у такого двигателя ниже
(кривая 1, рис. 7) , чем у двигателя с 
(кривая 0).
У двигателя, предназначенного для высотного скоростного самолета,
может оказаться целесообразным назначить 
(кривая 2). Расход воздуха и степень повышения полного давления
воздуха в компрессоре у такого двигателя при 
> 288 К выше, чем у двигателя с 
= 288 К Но температура газа перед
Рис. 7. Зависимость основных параметров рабочего процесса
двигателя: à - с неизменяемой геометрией от температуры воздуха на входе
в компрессор, б - с неизменяемой геометрией от расчетной температуры воздуха
[3]
турбиной достигает максимального значения в этом случае при более
высоких значениях 
и соответственно при более высоких числах М полета. Так, у
двигателя с 
= 288 К максимально допустимая температура газа перед турбиной у
земли может быть при М ≥ 0, а на высотах Н ≥ 11 км - при М ≥
1,286. Если двигатель работает на подобных режимах, например до 
= 328 К, то максимальная температура газа перед турбиной у земли
будет при М ≥ 0,8, а на высотах Н ≥ 11 км - при М ≥ 1,6; на
взлетном режиме температура газа будет 
= 288/328 
Для того чтобы работать при 
до 
= 328 К, частоту вращения по сравнению с взлетной необходимо
увеличить в 
= 1,07 раз.
Выбор 
> 288 К может быть обусловлен также необходимостью поддержания
потребной величины взлетной тяги при повышенных значениях температуры воздуха.
Таким образом, повышение расхода воздуха при 
> 
путем увеличения 
обеспечивается за счет повышения частоты вращения ротора
двигателя и снижения удельной тяги на взлетном режиме вследствие снижения 
.
Как видно, величина 
оказывает существенное влияние на параметры рабочего процесса
двигателя и его выходных параметров и наряду с
, 
является, таким образом, расчетным параметром двигателя.
3. СИСТЕМЫ УПРАВЛЕНИЯ ПОДАЧЕЙ ТОПЛИВА
.1 Главный регулятор расхода топлива и электронные регуляторы
.1.1 Главный регулятор расхода топлива
Главный регулятор расхода топлива - это агрегат с приводом от двигателя,
управляемый механически, гидравлически, электрически или пневматически в
различных комбинациях. Целью системы управления топливом является поддержания
необходимого соотношения воздух-топливо в топливо - воздушной систем по весу в
зоне горения приблизительно равного 15:1. Это соотношение представляет
отношение веса первичного воздуха поступающего в камеру сгорания к весу
топлива. Иногда используется соотношение топливо-воздух равное 0,067:1. Все
топлива требуют определенного количества воздуха для полного сгорания, т.е.
богатая или бедная смесь будет сгорать, но не полностью. Идеальной пропорцией
для воздуха и реактивного топлива является 15:1, и она называется
стехиометрической (химически правильной) смесью. Очень часто можно встретить
соотношение воздуха и топлива 60:1. Когда это происходит, автор представляет
отношение воздуха к топливу, руководствуясь общим расходом воздуха, а не
первичным потоком воздуха поступающего в камеру сгорания. Если первичный поток
составляет 25% от общего расхода воздуха, тогда отношение 15:1 составляет 25%
от отношения 60:1. В авиационных ГТД происходит переход от богатой смеси к
бедной с отношениями 10:1 на разгоне и 22:1 при замедлении. Если двигатель
потребляет в зоне горения 25% от общего расхода воздуха, соотношения будут
следующие: 48:1 на разгоне и 80:1 при замедлении.
Когда пилот перемещает рычаг управления подачей топлива (РУД) вперед,
расход топлива увеличивается. Увеличение расхода топлива влечет за собой
увеличение расхода газа в камере сгорания, которое, в свою очередь, повышает
уровень мощности двигателя. В ТРД и турбовентиляторных (ТРДД) двигателях это
вызывает прирост тяги. В ТВД и турбовальных двигателях это повлечет увеличение
выходной мощности ведущего вала. Скорость вращения винта будет либо возрастать,
либо оставаться неизменной при увеличивающемся шаге винта (угле установки его
лопастей). На рис. 8. представлена диаграмма соотношения компонентов
топливо-воздушной систем для типичного авиационного ГТД. На диаграмме указаны
соотношение воздух-топливо и частота вращения ротора высокого давления, как ее
воспринимает устройство управления расходом топлива с помощью центробежных
грузов, регулятора частоты вращения ротора высокого давления.
Рис. 8. Рабочая диаграмма топлива - воздуха [4]
На режиме малого газа 20 частей воздуха в смеси находится на линии
статического (устойчивого) состояния, а 15 частей входят в диапазон от 90 до
100% частоты вращения ротора ВД.
По мере выработки ресурса двигателем соотношение воздух-топливо 15:1
будет меняться по мере снижения (ухудшения) эффективности процесса сжатия
воздуха. Но для двигателя важно, чтобы оставалась требуемая степень повышения
давления, и не возникало срывов потока. Когда степень повышения давления
начинает снижаться вследствие выработки двигателем ресурса, загрязнения или
повреждения, чтобы восстановить требуемое нормальное значение, увеличивают
режим работы, расход топлива и частоту вращения вала компрессора. В результате
в камере сгорания получается более богатая смесь. Позже обслуживающий персонал
может провести требуемые очистку, ремонт, замену компрессора или турбины, если
температура приближается к предельной, (все двигатели имеют свои температурные
пределы).
У двигателей с однокаскадным компрессором привод главного регулятора
расхода топлива осуществляется от ротора компрессора через коробку приводов. У
двух- и трехкаскадных двигателей привод главного регулятора расхода топлива
организован от компрессора высокого давления.
.1.2 Электронные регуляторы
Для автоматического управления соотношением воздух-топливо в систему
управления двигателем посылается множество сигналов. Количество этих сигналов
зависит от типа двигателя и наличия в его конструкции электронных систем
управления. Двигатели последних поколений имеют электронные регуляторы,
воспринимающие намного большее число параметров двигателя и самолета, чем
гидромеханические устройства двигателей предыдущих поколений.
Ниже приведен список наиболее распространенных сигналов, посылаемых
гидромеханической системе управления двигателем:
. Частота вращения ротора двигателя (Nc) - передаётся системе управления
двигателем напрямую от коробки приводов через центробежный топливный регулятор;
используется для дозировки топлива, как на установившихся режимах работы
двигателя, так и во время разгона/замедления (время разгона большинства
авиационных ГТД от малого газа до максимального режима составляет 5…10 с);
. Давление на входе в двигатель (рt2) - сигнал полного давления, передаваемый на сильфоны
управления топливом от датчика, установленного на входе в двигатель. Этот параметр
используется для передачи информации о скорости и высоте полета воздушного
судна при изменении условий окружающей среды на входе в двигатель;
. Давление на выходе из компрессора (рs4) - статическое давление, передаваемое сильфону
гидромеханической системы; используется для учета массового расхода воздуха на
выходе из компрессора;
. Давление в камере сгорания (рb) - сигнал статического давления для системы
управления расходом топлива, используется прямая пропорциональная зависимость
между давлением в камере сгорания и весовым расходом воздуха в данной точке
двигателя. Если давление в камере сгорания возрастает на 10%, массовый расход
воздуха увеличивается на 10%, и сильфоны в камере сгорания будут задавать
программу увеличения расхода топлива на 10% для поддержания правильного
соотношения "âîçäóõ
- òîïëèâî".
Áûñòðîå
ðåàãèðîâàíèå
íà ýòîò
ñèãíàë ïîçâîëÿåò
èçáåæàòü
ñðûâîâ
ïîòîêà,
ïëàìåíè è
çàáðîñà
òåìïåðàòóðû;
. Температура на входе (tt2)
- сигнал полной температуры на входе в двигатель для системы управления
расходом топлива. Температурный датчик соединен с системой управления расходом
топлива с помощью трубки, которые расширяются и сжимаются в зависимости от
температуры воздуха на входе в двигатель. Этот сигнал обеспечивает систему
управления двигателем информацией о значении плотности воздуха, на основе
которой может быть установлена программа дозировки топлива.
.2 Упрощенная схема управления расходом топлива (гидромеханическое
устройство)
На рис. 9 изображена упрощенная схема системы управления авиационным ГТД.
Она дозирует топливо по следующему принципу:
Измерительная часть: перемещение рычага отсечки топлива
(10) перед циклом запуска открывает клапан отсечки и позволяет топливу
поступать в двигатель (рис. 9.). Рычаг отсечки необходим, поскольку ограничитель
минимального расхода (11) не позволяет главному распределительному клапану
когда-либо полностью закрыться. Это конструктивное решение необходимо на случай
поломки пружины настройки регулятора или неправильной регулировки стопора
малого газа. Полное заднее положение РУДа соответствует позиции МГ рядом со
стопором МГ. Это предотвращает РУД от выполнения функций отсечного рычага. Как
показано на рисунке, отсечной рычаг также обеспечивает правильное повышение
рабочего давления в системе управления топливом во время цикла запуска. Это
необходимо для того, чтобы топливо грубой дозировки не попало в двигатель
раньше расчетного времени.
Топливо из системы подачи под давлением главного топливного насоса (8)
направляется в дроссельный кран (дозирующую иглу) (4). В то время как топливо
проходит через отверстие, создаваемое конусом клапана, давление начинает
падать. Топливо на пути от дроссельного крана до форсунок считается
дозированным. Топливо в этом случае дозируется по весу, а не по объему т.к.
теплотворная способность (массовая теплотворность) единицы массы топлива
является величиной постоянным, несмотря на температуру топлива, в то время как
теплотворная способность на единицу объема - нет. Топливо теперь поступает в
камеру сгорания, имея корректную дозировку.
Принцип дозирования топлива по весу математически обосновывается
следующим образом:
Рис. 9. Схема гидромеханического регулятора топлива [4]

. (13)
где:

- вес
израсходованного топлива, кГ/с;

-
коэффициент расхода топлива;

-
площадь пропускного сечения главного распределительного клапана;

-
перепад давления на проходном отверстии.
При
условии, когда необходима работа только одного двигателя и одного проходного
отверстия распределительного клапана будет достаточно, не будет изменений в
формуле, потому что падение давления остается величиной постоянной. Но
двигатели ВС, должны изменять режимы работы.
При
постоянно изменяющемся расхода топлива перепад давления
на дозирующей игле сохраняется неизменным, несмотря на размера
проходного сечения. Направляя дозированное топливо на пружину диафрагмы
гидравлически управляемого дроссельного крана, перепад давлений всегда
возвращается к значению величины натяжки пружины. Так как величина затяжки
пружины является постоянной, перепад давлений на проходном сечении также будет
постоянным.
Чтобы
полнее осознать эту концепцию, предположим, что топливный насос всегда
поставляет топливо в систему с избытком и редукционный клапан непрерывно
возвращает избыток топлива на вход насоса.
ПРИМЕР:
Давление недозированного топливо составляет 350 кГ/см2; давление
дозированного топлива составляет 295 кГ/см2; величина затяжки
пружины - 56 кГ/см2. В этом случае давление по обеим сторонам
диафрагмы редукционного клапана составляет 350 кГ/см2. Дроссельный
кран будет находиться в равновесном состоянии, и перепускать избыточное топливо
на входе насоса.
Если
пилот перемещает РУД вперед, проходное отверстие дроссельного крана будет
увеличиваться, как и поток дозированного топлива. Представим, что давление
дозированного топлива увеличилось до 300 кГ/см2. Это вызвало общее
повышение давление до 360 кГ/см2; с обеих сторон диафрагмы клапана,
принуждая клапан закрываться. Уменьшившееся количество перепускаемого топлива
повлечет рост давление недозированного топлива пока для новой площади
пропускного сечения 56 кГ/см2; не будут переустановлены. Это
произойдет, потому что возросшая частота вращения повлечет увеличение расхода
топлива через насос. Как упоминалось ранее, перепад давлений ΔP будет всегда соответствовать затяжке пружины редукционного
клапана с наступлением равновесия в системе.
Вычислительная
часть. Во время работы двигателя перемещение РУДа (1) вызывает смещение вниз
скользящей крышки пружины вдоль тяги сервоклапана и обжатие пружины настройки.
При этом база пружины заставляет центробежные грузы сходиться, как при условии
низкой скорости вращения ротора турбокомпрессора. Функцией сервоклапана
является предотвращение резкого перемещения дозирующая игла, когда жидкость
внутри него смещается снизу вверх. Допустим, что множительный рычажный механизм
(3) остается неподвижным в это время, тогда ползун сместится вниз по наклонной
плоскости и влево. Двигаясь влево, ползун давит на распределительный клапан
против силы затяжки его пружины, увеличивая расход топлива двигателя. С увеличением
расхода топлива частота вращения ротора двигателя возрастает, увеличивая
частоту вращения привода регулятора (5). Новое усилие от вращения центробежных
грузов придет в равновесие с силой пружины настройки, когда центробежные грузы
примут вертикальное положение. Теперь грузы находятся в позиции готовности к
изменению скорости.
Центробежные
грузики всегда возвращаются в вертикальное положение, чтобы быть готовыми к
следующим изменениям загрузки:
а)
Условия превышения скорости:
нагрузка
на двигатель уменьшается, и он набирает скорость;
центробежные
грузы расходятся, перекрывая подачу некоторого количества топлива;
двигатель
возвращается к расчетной частоте вращения. Когда центробежные грузы принимают
вертикальное положение, сила их действия на пружину уравновешивается величиной
затяжки пружины.
б)
Условия недобора скорости:
нагрузка
на двигатель увеличивается, и обороты начинают падать;
центробежные
грузы сходятся, увеличивая расход топлива;
двигатель
возвращается к расчетной частоте вращения. Когда центробежные грузы принимают
вертикальное положение, сила их действия на пружину уравновешивается величиной
затяжки пружины.
в)
Перемещение РУДа (вперед):
пружина
настройки сжата и центробежные грузы сходятся в условиях ложного недобора
скорости;
расход
топлива увеличивается, и грузики начинают расходиться, принимая равновесное
положение с новой силой затяжки пружины.
Примечание:
центробежные грузы не примут первоначальное положение пока РУД не настроен,
потому что пружина настройки теперь имеет большую силу затяжки. Это называется
статической ошибкой регулятора и определяется небольшой потерей оборотов из-за
механизмов системы регулирования.
На
многих двигателях статическое давление в камере сгорания является полезным
показателем массового расхода воздуха. Если известен массовый расход воздуха,
отношение воздух - топливо может контролироваться более точно. С увеличением
давления в камере сгорания (рb), сильфон, воспринимающий
его, расширяется вправо. Избыточное перемещение ограничивается ограничителем
давления в камере сгорания (6). Если принять, что тяга сервоклапана остается
неподвижной, множительный рычажный механизм сместит ползун влево, открывая
распределительный клапан для большего расхода топлива в соответствии с
увеличившимся массовым расходом воздуха. Это может произойти во время
пикирования, которое вызовет увеличение скорости, скоростного напора и
массового расхода воздуха.
Увеличение
давления на входе вызовет расширение сильфона (7), воспринимающего это
давление, множительный рычажный механизм сместится влево и распределительный
клапан откроется больше.
Когда
двигатель остановлен, пружина настройки расширяется в двух направлениях,
заставляя скользящую крышку подняться к стопору малого газа и отталкивая
главный распределительный клапан от ограничителя минимального расхода топлива.
Когда двигатель запущен в следующий раз и приближается к оборотам малого газа,
центробежные грузы регулятора поддерживают скользящую крышку на стопоре малого
газа и также перемещают распределительный клапан к ограничителю минимального
расхода.
3.3 Гидропневматические системы управления топливом, ТВД PT6 (топливная система Бендикс)
Базовая топливная система состоит из насоса с приводом от двигателя,
гидромеханического регулятора подачи топлива, блока управления запуском,
двойного топливного коллектора с 14 односторонними (с одним отверстием)
топливными форсунками. Два дренажных клапана, находящиеся в корпусе
газогенератора обеспечивают дренаж остаточного топлива после останова двигателя
(рис. 10).
.3.1 Топливный насос
Топливный насос 1 - это шестеренный насос объемной подачи с приводом от
коробки приводов. Топливо из подкачивающего насоса поступает в топливный насос
через входной фильтр 2 на 74 микрона (200 отверстий) и далее в рабочую камеру.
Оттуда топливо с высоким давлением направляется в гидромеханический регулятор
подачи топлива через выходной фильтр насоса 3 на 10 мк. Если фильтр засорится,
возросший перепад давлений преодолеет силу затяжки пружины, поднимет
предохранительный клапан с седла и позволит нефильтрованному топливу проходить
дальше. предохранительный клапан 4 и центральный канал насоса пропускают
нефильтрованное топливо с высоким давлением от шестерней насоса к регулятору
подачи топлива, когда заблокирован выходной фильтр. Внутренний канал 5, берущий
начало в блоке управления топливом, возвращает перепускное топливо из блока
управления топливом на вход насоса, минуя входной фильтр.
.3.2 Система управления расходом топлива
Система управления топливом состоит из трех отдельных частей с
независимыми функциями: гидромеханического регулятора подачи топлива (6),
который определяет программу подачи топлива в двигатель на установившийся
режиме и при разгоне; блока управления расходом при запуске, действующего как
распределитель потока, который направляет дозированное топливо с выхода
гидромеханического регулятора к главному топливному коллектору или к первичному
и вторичному коллекторам в зависимости от необходимости. Управление воздушным
винтом на прямой и обратной тяге осуществляется блоком регулятора, который
состоит из секции нормального регулятора воздушного винта (на рис. 10.) и
ограничителя максимального частот вращения турбина высокого давления.
ограничителя максимального частот вращения турбина высокого давления
обеспечивает защиту турбины от заброса оборотов во время нормальной работы. Во
время реверсирования тяги регулятор воздушного винта не функционирует и
управление скоростью турбины выполняет регулятор турбины высокого давления.
.3.3 Гидромеханический регулятор подачи топлива
Гидромеханический регулятор подачи топлива установлен на насосе с
приводом от двигателя и вращается со скоростью, пропорциональной скорости
вращения ротора низкого давления. Гидромеханический регулятор подачи топлива
определяет программу подачи топлива в двигатель для создания требуемой мощности
и для управления частотой вращения ротора низкого давления. Мощность двигателя
напрямую зависит от частоты вращения ротора низкого давления. Гидромеханический
регулятор управляет этой частотой и, тем самым, мощностью двигателя. Управление
частотой вращения ротора низкого давления осуществляется путем регулирования
количества топлива, подаваемого в камеру сгорания.
Измерительная часть. В гидромеханический регулятор топливо поступает под
давлением р1, создаваемым насосом. Расход топлива задается главным
дроссельным краном (9) и дозирующую иглу (10). Недозированное топливо под
давлением р1 от насоса подается на вход распределительного клапана.
Давление топлива сразу же после распределительного клапана называется давлением
дозированного топлива (р2). Дроссельный кран поддерживает постоянный
перепад давлений (р1 - р2) на распределительном клапане.
Площадь пропускного сечения, дозирующая игла будет изменяться, чтобы
удовлетворить особые требования двигателя. Избыток топлива относительно этих
требований с выхода топливного насоса будет сливаться через отверстия внутри
гидромеханического регулятора и насоса на вход входного фильтра (5). Дозирующая
игла состоит из золотника, работающего в полой гильзе. Клапан приводится в
действие с помощью диафрагмы и пружины. При работе сила пружины
уравновешивается перепадом давлений (р1-р2) на диафрагме.
Перепускной клапан будет всегда в позиции, обеспечивающей поддержание перепада
давлений (р1-р2) и для перепуска избыточного топлива.
Предохранительный клапан установлен параллельно перепускному клапану для
предотвращения повышения избыточного давления р1 в гидромеханическом
регуляторе. Клапан подпружинен на закрытие и остается закрытым, пока давление р1
топлива на входе не превысит силу затяжки пружины и не откроет клапан. Клапан
закроется как только входное давление уменьшится.
Дроссельный кран 9 состоит из профилированной иглы, работающей в гильзе.
Дроссельный кран регулирует расход топлива с помощью изменения площади
проходного сечения. Расход топлива является только функцией положения
Дозирующая игла, потому что Дроссельный кран поддерживает постоянный перепад
давления на проходном сечении независимо от разницы давлений топлива на входе и
на выходе.
Компенсацию изменения удельного веса из-за изменений температуры топлива
осуществляют биметаллические тарелка под пружиной дроссельный кран.
Пневматическая вычислительная часть. РУД соединен с программным кулачком
скорости, который ослабляет внутреннюю тягу с увеличением мощности. Рычаг
регулятора вращается вокруг оси и один его конец располагается напротив
отверстия, образуя клапан регулятора 13. Рычаг обогащения 14 вращается на одной
оси с рычагом регулятора и имеет два удлинения, которые охватывают часть рычага
регулятора таким образом, что после некоторого движения зазор между ними
закрывается, и оба рычага перемещаются вместе. Рычаг обогащения приводит в
движение палец с канавкой, который работает против клапана обогащения. Другая
меньшая пружина соединяет рычаг обогащения с рычагом регулятора.
Программный кулачок скорости направляет силу натяжения пружины настройки
15 через промежуточный рычаг, который в свою очередь, передает усилие на
закрытие клапана регулятора. Пружина обогащения 16, которая находится между
рычагами обогащения и регулятора создает усилие для открытия клапана
обогащения.
Во время вращения ведущего вала вращается узел, на котором смонтированы
центробежные грузы регулятора. Маленькие рычаги на внутренней стороне грузов
соприкасаются с золотником регулятора. С увеличением частоты вращения ротора
низкого давления центробежная сила вынуждает грузики оказывать большую нагрузку
на золотник. Это заставляет золотник передвигаться по валу наружу, воздействуя
на рычаг обогащения. Сила со стороны центробежных грузов преодолевает затяжку
пружины, клапан регулятора открывается, а клапан обогащения закрывается.
Клапан обогащения начинает закрываться при любом увеличении частоты
вращения ротора низкого давления, достаточном для преодоления центробежными
грузами силы затяжки меньшей пружины. Если частота вращения ротора низкого давления
продолжает увеличиваться, рычаг обогащения будет продолжать движение, пока не
соприкоснется с рычагом регулятора, в этот момент клапан обогащения будет
полностью закрыт. Клапан регулятора будет открыт, если частота вращения ротора
низкого давления возрастет настолько, чтобы сила тяжести преодолела силу
затяжки большей пружины. В этом случае клапан регулятора будет открыт, а клапан
обогащения будет закрыт. Клапан обогащения закрывается с увеличением частоты
вращения для сохранения рабочего давления воздуха постоянным.
Сильфон. Узел сильфона, рис. 11 состоит из вакуумного сильфона (18) и
сильфона регулятора (19), соединенных общей тягой. Вакуумный сильфон
обеспечивает измерение полное давление, Сильфон регулятора заключен в корпус
узла сильфона и выполняет ту же функцию, что и диафрагма. Перемещение сильфона
передается на распределительный клапан 9 перекрестным валом и соответствующими
рычагами 20.
Трубка закреплена в литом корпусе с противоположного конца с помощью
регулировочной втулки. Поэтому любое вращательное движение перекрестного вала
вызовет увеличение или уменьшение силы в торсионе, (трубовидная деталь с
высоким сопротивлением кручению). Торсион формирует
уплотнение между воздушной и топливной секциями системы. Торсион расположена вдоль узла сильфона для передачи усилия
на закрытие распределительного клапана. Сильфон действует против этой силы,
чтобы открыть распределительный клапан. Давление рy подается снаружи на сильфон регулятора. Давление рx подается изнутри в сильфон
регулятора и снаружи вакуумного сильфона.
Для наглядности функционального назначения сильфона регулятора он
обозначен на рис. 11 как диафрагма. Давление рy подается с одной стороны диафрагмы, а рx с противоположной. Давление рx также подается на вакуумный сильфон,
присоединенный к диафрагме. Нагрузка от давления рx, действующая противоположно вакуумному сильфону,
гасится приложением равного давления в ту же зону диафрагмы но с
противоположным направлением.
Все нагрузки от давлений, действующие на часть сильфона могут быть сведены
к силам, действующим только на диафрагму. Этими силами являются:
давление Py,
действующее на всю поверхность верхней части;
внутреннее давление вакуумного сильфона, действующее на участок нижней
поверхности (внутри площади гашения давления);
давление рx,
действующее на оставшуюся часть поверхности.
Любое изменение давления рy вызовет большее воздействие на диафрагму, чем такое же
изменение давления рx
из-за разницы в площадях воздействия.
Давления рx
и рy изменяются с изменением условий
работы двигателей. Когда оба давления увеличиваются одновременно, например, при
разгоне, движение сильфонов вниз вызовет перемещение распределительного клапана
влево, в направлении открытия. Когда рy разгружает клапан регулятора, при достижении желаемой
частоты
вращения ротора низкого давления (для регулировки после разгона), сильфон
будет двигаться вверх для уменьшения площади проходного сечения
распределительного клапана.
Когда оба давления одновременно понижаются, сильфон смещается вверх,
уменьшая проходное сечение распределительного клапана, потому что вакуумный
сильфон в этом случае действует как пружина. Это происходит во время
замедления, когда давление ру разгружает клапан регулятора, а
давление рх - клапан обогащения, вынуждая распределительный клапан
смещаться к ограничителю минимального расхода.
Рис. 10. Гидропневматическая система управления топливом ТВД РТ6
Рис. 11. Функциональная диафрагма блока сильфона [4]
Регулятор турбины высокого давления (N2). Блок регулятора частоты вращения ротора высокого давления N2 является частью регулятора частоты вращения
воздушного винта. Он воспринимает давление ру по внутренней
пневматической линии 21, идущей от корпуса блока управления топливом к
регулятору. В случае заброса оборотов турбины высокого давления под действием
центробежных грузов откроется отверстие для перепуска воздуха (22) в блоке
регулятора (N2) для стравливания давления ру через
регулятор. Когда это происходит, давление ру действует через сильфон
системы управления топливом на распределительный клапан так, что он начинает
закрываться, уменьшая расход топлива. Уменьшение расхода топлива снижает
частоту вращения роторов низкого и высокого давления. Скорость, при которой
открывается перепускное отверстие, зависит от параметров настройки рычага
управления регулятора винта (22) и возвратного рычага высокого давления 24.
Частота вращения турбины высокого давления и частота вращения воздушного винта
ограничиваются регулятором N2.
Блок управления запуском. Блок управления запуском (7)(рис. 12) состоит
из корпуса, содержащего полый плунжер (25), работающий внутри полго корпуса.
Вращательное движение качалки командного штока 26 преобразуется в линейное
перемещение плунжера с помощью механизма реечной передачи. Наладочные пазы
обеспечивают рабочие позиции в 45° и 72°. Одна
из этих позиций, в зависимости от установки, используется для настройки системы
с рычагом в кабине.
Клапан минимального давления (27) находящийся на входе блока управления
запуском, поддерживает минимальное давление в блоке для обеспечения расчетной
дозировки топлива. К сдвоенным коллекторам, имеющим внутреннюю связь через
перепускной клапан (28), подходят два соединения. Этот клапан обеспечивает
первоначальное заполнение главного коллектора №1 для запуска и, если давление в
блоке будет увеличиваться, перепускной клапан откроется, пропуская топливо во
вторичный коллектор №2.
Когда рычаг находится в позиции выключения и разгрузки (0º)
(рис. 13, а), подача
топлива в оба коллектора блокируется. В это время дренажные отверстия (через
отверстие в плунжере) выстраиваются в ряд с «разгрузочным» отверстием и
выпускают оставшееся в коллекторах топливо наружу. Это предотвращает закипание
топлива и закоксовывание системы при поглощении тепла. Топливо, поступающее в
блок управления запуском во время останова двигателя, направляется через
перепускное отверстие на вход топливного насоса.
Когда рычаг находится в рабочей позиции (рис. 13, б), выходное отверстие
коллектора №1 открыто, а перепускное отверстие заблокировано. Во время разгона
двигателя расход топлива и давление в коллекторе будут увеличиваться, пока не
откроется перепускной клапан и не станет наполняться коллектор №2. Когда
коллектор №2 наполнен, общий расход топлива возрос на количество топлива,
перепущенное в систему №2, и двигатель продолжает разгон до малого газа. Когда
рычаг перемещен дальше рабочей позиции (45° или 72°) на максимальный упор (90º),
блок управления запуском
более не влияет на дозировку топлива в двигателе.
Работа системы управления расходом топлива для типичной установки. Работа
системы управления топливом разделяется на:
1. Запуск двигателя. Цикл запуска двигателя
инициируется перемещением РУДа в положение «малый газ» и рычага управления
запуском в положение выключения. Зажигание и стартер включены и, при достижении
требуемой частоты вращения ротора НД, рычаг управления запуском перемещается в
рабочее положение. Успешное зажигание в нормальных условиях достигается,
приблизительно, в течение 10 сек. После успешного зажигания двигатель
разгоняется до режима малого газа.
Во время последовательности запуска распределительный клапан системы
управления топливом находится в позиции малого расхода. Во время разгона
увеличивается давление на выходе из компрессора (Р3). Рх
и Ру во время разгона возрастают одновременно (Рх = Ру).
Увеличение давления воспринимается сильфоном 18, он вынуждает распределительный
клапан открываться больше. При достижении ротором НД частоты вращения малого
газа усилие от центробежных грузов начинает превосходить силу затяжки пружины
регулятора и открывать клапан регулятора 13. Это создает перепад давлений (Рy - Рх), что заставляет
распределительный клапан закрываться пока не будет достигнут требуемый для
работы на малом газе расход топлива.
Любые отклонения частоты вращения ротора двигателя от выбранной (частота
малого газа) будут восприниматься центробежными грузами регулятора, в
результате усилие, действующее со стороны грузов будет либо увеличиваться, либо
уменьшаться. Изменения в силе со стороны центробежных грузов вызовут
перемещение клапана регулятора, что впоследствии выразится в изменении расхода
топлива для восстановления точной частоты вращения.
Рис. 12. Блок управления запуска [4]
. Разгон. При перемещении РУДа 12 дальше положения малого газа,
увеличивается сила затяжки пружины регулятора. Эта сила преодолевает силу
сопротивления со стороны центробежных грузов и перемещает рычаг, закрывая
клапан регулятора и открывая клапан обогащения. Давления Рх и Ру
сразу возрастают и вызывают перемещение распределительного клапана в
направлении открытия. Разгон далее является функцией возрастания (Рх=
Ру).
С увеличением расхода топлива ротор низкого давления будет разгоняться.
При достижении им точки расчетной частоты вращения (приблизительно от 70 до
75%) усилие от центробежных грузов преодолевает сопротивление пружины клапана
обогащения, и клапан начинает закрываться. Когда клапан обогащения начинает
закрываться, давления Рх и Ру увеличиваются, вызывая
увеличение скорости перемещения сильфона регулятора и распределительного
клапана, обеспечивая увеличение частоты вращения в соответствии с программой
подачи топлива при разгоне.
При увеличении частот вращения роторов НД и ВД, регулятор винта
увеличивает шаг винта для управления работой ротора ВД на выбранной частоте и
чтобы принять возросшую мощность как дополнительную тягу. Разгон завершается
когда усилие от центробежных грузов снова преодолевает затяжку пружины
регулятора и открывает клапан регулятора.
. Регулировка. После завершения цикла разгона любое отклонение частоты
вращения ротора двигателя от выбранной будет восприниматься центробежными
грузами и выражаться в увеличении или уменьшении усилия воздействия со стороны
грузов. Это изменение будет вынуждать клапан регулятора открываться или
закрываться и далее будет выражаться в корректировке расхода топлива,
необходимого для восстановления точной частоты вращения. Во время процесса
регулировки клапан будет поддерживаться в регулировочной или «плавающей»
позиции.
. Высотная компенсация. В данной системе управления топливом высотная
компенсация является автоматической, т.к. вакуумный сильфон 18 обеспечивает
базовое значение абсолютного давления. Давление на выходе из компрессора Р3
является мерой частоты вращения двигателя и плотности воздуха. Рх
пропорционально давлению на выходе из компрессора, оно будет уменьшаться с
уменьшением плотности воздуха. Давление воспринимается вакуумным сильфоном,
который работает на уменьшение расхода топлива.
Ограничение мощности турбины. Блок регулятора ротора ВД, являющегося
частью регулятора воздушного винта, воспринимает давление Ру по
линии от блока управления топливом. Если происходит заброс оборотов
турбины ВД, открывается перепускное отверстие блока регулятора для стравливания
давления Ру через регулятор винта. Понижение давления Ру
вызовет смещение распределительного клапана блока управления топливом в сторону
закрытия, уменьшая расход топлива и частоту вращения газогенератора.
. Останов двигателя. Двигатель останавливается при перемещении рычага
блока управления запуском в позицию выключения. Это действие перемещает
плунжер, управляемый вручную, в позицию выключения и разгрузки, полностью
останавливает расход топлива и сброс остатков топлива из сдвоенного коллектора.
.4 Система управления расходом топлива типа «Бендикс DP-L2» (гидропневматическое устройство)
Данный гидропневматический регулятор подачи топлива установлен на
турбовентиляторном двигателе JT15D (рис. 13).
Топливо подается в регулятор от насоса под давлением (Р1) на
вход дозирующего клапана. Дозирующий клапан, объединенный с перепускным
клапаном, необходим для задания расхода топлива. Топливо ниже по потоку сразу
после распределительного клапана имеет давление Р2. Перепускной
клапан поддерживает постоянный перепад давлений (Р1-Р2).
Элементы/функции:
входное топливо - поступает из топливного бака;
фильтр - имеет грубую сетку, саморазгружающийся;
шестеренный насос - подает топливо с давлением Р1;
- фильтр - имеет сетку с малым шагом, (фильтр тонкой очисткой);
предохранительный клапан - предотвращает повышение давления Р1 избыточного
топлива на выходе из насоса и помогает регулятору перепада давлений во время
быстрого замедления;
регулятор перепада давлений - гидравлический механизм, который
перепускает лишнее топливо (Р0) и удерживает постоянный перепад
давлений (Р1- Р2) вокруг распределительного клапана.
биметаллические диски температуры топлива - автоматически компенсируют
изменения удельного веса изменением температуры топлива; могут быть
отрегулированы вручную для других значений удельного веса топлива или
применения других видов топлива;
Дозирующий клапан - дозирует топливо с давлением Р2 в
топливные форсунки; позиционируется с помощью торсиона, соединяющей сильфон с
дозирующую иглу;
Ограничитель минимального расхода - предотвращает полное закрытие
распределительного клапана во время замедления;
Ограничитель максимального расхода - устанавливает максимальную частоту
вращения ротора по предельному значению двигателя;
- блок сдвоенного сильфона - сильфон регулятора воспринимает давления Рх
и Ру, позиционирует механическую передачи, изменяет программу подачи
топлива и частоту вращения двигателя. Сильфон замедления расширяется до своего
упора, когда давление Ру уменьшается, для уменьшения частоты
вращения двигателя;
температурный датчик - биметаллические диски воспринимают температуру на
входе в двигатель Т2 для управления давлением сильфона Рх;
клапан обогащения - принимает давление компрессора Рс и
контролирует давления блока сдвоенного сильфона Рх и Ру;
закрывается с увеличением частоты вращения для поддержания приблизительно
одинакового рабочего давления;
регулятор ротора ВД - центробежные грузы отжимаются под действием
центробежной силы при повышении частоты вращения ротора; это изменяет давление
Ру;
- РУД - создает нагрузку для позиционирования регулятора.
Функция управления:
- Топливный насос подает недозированное топливо с давлением Р1
в регулятор подачи.
Давление Р падает вокруг проходного отверстия распределительного клапана
таким же образом, как было описано ранее в упрощенной схеме гидромеханического
регулятора подачи топлива (рис. 9). Давление Р1 превращается в Р2,
которое подается в двигатель и влияет на работу редукционного клапана, который
здесь называется регулятором перепада давлений.
Топливо, перепускаемое обратно на вход насоса, маркируется как Р0.
Жиклер поддерживает давление Р0 большим, чем давление топлива на
входе в насос.
Рис. 13. Гидропневматический топливный регулятор Бендикс DP-L, установленный на турбовентиляторном двигателе Pratt & Whitney of Canada JT-15 [4]
В пневматическую секцию подается давление с выхода компрессора Рс.
После изменения оно превращается в давления Рх и Ру,
которые позиционируют главный распределительный клапан.
Топливо, перепускаемое обратно на вход насоса, маркируется как Р0.
Жиклер поддерживает давление Р0 большим, чем давление топлива на
входе в насос.
В пневматическую секцию подается давление с выхода компрессора Рс.
После изменения оно превращается в давления Рх и Ру,
которые позиционируют главный распределительный клапан.
Когда РУД перемещен вперед:
а) центробежные грузы сходятся, и сила затяжки пружины настройки
оказывается больше сопротивления грузов;
б) клапан регулятора прекращает перепуск Ру;
в) клапан обогащения начинает закрываться, уменьшая Рс (при
закрытом клапане перепуска Ру, не требуется такое большое давление);
г) Рх и Ру уравновешиваются на поверхностях
регулятора;
д) Ру давление становится преобладающим (рис. 11), вакуумный
сильфон и тяга сильфона регулятора смещены вниз; диафрагма допускает такое
перемещение;
е) Механическая передачи поворачивается против часовой стрелки и главный
распределительный клапан открывается;
ё) с увеличением частоты вращения двигателя центробежные грузы
расходятся, и клапан регулятора открывается для перепуска Ру;
ж) Клапан обогащения вновь открывается и давление Рх
возрастает до величины давления Ру;
з) Понижение давления Ру способствует движению в обратном
направлении сильфона регулятора и тяги;
и) торсион поворачивается по часовой стрелке для уменьшения расхода
топлива и стабилизации частоты вращения ротора двигателя.
Когда РУД затормаживается на стопоре малого газа:
а) центробежные грузы отжимаются, из-за высокой частоты вращения усилие
от грузов больше затяжки пружины настройки;
б) Клапан регулятора, открываясь, стравливает давление Ру,
предохранительный клапан так же обжат для стравливания дополнительного давления
Ру;
в) Клапан обогащения открывается, пропуская воздух с возросшим давлением
Рх;
г) Давление Рх способствует расширению регулятора и сильфона
замедления до упора, тяга регулятора также поднимается вверх, и главный
распределительный клапан начинает закрываться;
д) давление Рх понижается с уменьшением частоты вращения
ротора двигателя, но вакуумный сильфон удерживает тягу регулятора в верхнем
положении;
е) Когда частота вращения снизится, центробежные грузы сойдутся, закрывая
перепуск воздуха с давлением Ру и предохранительный клапан;
ё) Клапан обогащения также начинает закрываться, давление Ру возрастает
по отношению к Рх;
ж) сильфон замедления смещается вниз, распределительный клапан немного
приоткрывается, частота вращения ротора стабилизируется.
Когда повышается температура наружного воздуха при любом фиксированном
положении РУДа:
а) Датчик Т12 расширяется для уменьшения перепуска воздуха с
давлением Рх и его стабилизации при низком давлении Рс ,
при этом сохраняется положение вакуумного сильфона и поддерживается заданная
программа разгона; т.о. время разгона от режима малого газа до взлетного
остается одинаковым как при повышенной температуре наружного воздуха, так и при
пониженной.
.5 Электронная система программирования подачи топлива
Системы дозировки топлива с электронными функциями в прошлом не
применялись так широко, как гидромеханические и гидропневматические. В
последние годы на большинстве новых двигателей, разработанных для коммерческой
и бизнес авиации, устанавливаются электронные регуляторы. Электронный регулятор
представляет собой гидромеханическое устройство с дополнительным включением
электронных датчиков. Электронные схемы запитаны от шины самолета или от
собственного специализированного генератора переменного тока, они анализируют
рабочие параметры двигателя, такие как температура выхлопных газов, давление по
тракту, частоту вращения ротора двигателя. В соответствии с этими параметрами
электронная часть системы точно рассчитывает необходимый расход топлива.
.5.1 Пример системы (Rolls Royce RB-211)
RB-211
- это трехкаскадный ТРДД больших размеров. Он имеет управляющий электронный
регулятор, входящий в гидромеханическую систему программирования подачи
топлива. Усилитель блока электронного регулятора защищает двигатель от заброса
температуры при работе двигателя на взлетном режиме. В любых других условиях
работы топливный регулятор работает только на гидромеханическую систему.
Из анализа рис. 14 видно, что усилитель регулятора получает сигналы на
входе из ТНД и двух частот вращения компрессоров НД и ВД.
Регулятор работает по гидромеханической программе подачи топлива пока
мощность двигателя не приблизится к максимальной, тогда усилитель электронного
регулятора начинает функционировать как ограничитель подачи топлива.
Рис. 14. Топливная система с электронным регулятором, управляющим
программой подачи топлива[4]
Регулятор перепада давлений в данной системе выполняет функции
редукционного клапана в упрощенной схеме гидромеханического регулятора подачи
топлива на рис. 10, Когда мощность двигателя приближается к максимальной и
заданные температура газа в турбине и частота вращения вала компрессора
достигнуты, регулятор перепада давлений уменьшает расход топлива в топливные
форсунки, топливо на вход насоса. Регулятор подачи топлива в данной системе
действует как гидромеханическое устройство, получая сигналы о частоте вращения
ротора КВД, давления по тракту (Р1, Р2, Р3) и
позиции РУДа.
Как следует из рис. 14, топливный регулятор получает от двигателя
следующие сигналы для создания программы подачи топлива:
угла установки РУДа;
р1 - полного давления на входе в компрессор (вентилятор);
р3 - полного давления на выходе из компрессора второго каскада
(промежуточного компрессора);
р4 - полного давления на выходе из КВД;
N3 - частоты вращения ротора КВД;
N1 - частоты вращения ротора КНД
(вентилятора);
N2 - частоты вращения ротора
промежуточного компрессора;
температуры газа в турбине (на выходе из ТНД);
команды блокировки функций усилителя регулятора;
обогащения - увеличитель подачи топлива используется для запуска
двигателя при наружной температуре ниже 0°.
3.5.2 Пример системы (Garrett TFE-731And ATF-3) TFE-731 и ATF-3
- это турбовентиляторные двигатели нового поколения для бизнес авиации. На них
установлены блоки системы электронного управления, полностью контролирующие
программу подачи топлива.
Согласно схеме на рис. 15 электронный компьютер получает следующие
входные сигналы:
N1 - частота вращения вентилятора;
N2 - частота вращения ротора
промежуточного компрессора:
N3 - частота вращения ротора
компрессора высокого давления;
Тt2 - полная температура на входе в двигателя;
Тt8 - температура на входе ТВД;
рt2 - полное давление на входе;
входная мощность - 28 В постоянного тока;
генератор переменного тока на постоянных магнитах;
угол установки РУДа;
положение ВНА;
Рs6 - статическое давление на выходе ТВД.
Рис. 15. Электронный регулятор топливной системы с полным контролем
программы подачи топлива[4]
Электронная часть топливного регулятора анализирует входные данные и
посылает команды на установку ВНА и программирует подачу топлива
гидромеханической частью топливного регулятора.
Производители заявляют, что эта система полностью и более точно
контролирует программу подачи топлива, чем сравнимая гидромеханическая система.
Она также предохраняет двигатель на всем протяжении от запуска до взлетного
режима от заброса температуры и оборотов, срыва потока при резком разгоне при
помощи постоянного мониторинга температуры на входе ТВД и других важных параметров
двигателя.
.5.3 Пример системы (G.E./Snecma CFM56-7B)
Двигатель CFM56-7B (рис. 16) работает с помощью
системы, известной как FADEC
(Full Authority Digital Engine Control). Она осуществляет полный контроль над системами
двигателя в ответ на входные команды от систем самолета. FADEC также снабжает информацией
самолетные системы для индикации в кабине экипажа, мониторинга состояния
двигателя, отчетности о ТО и поиска неисправностей.
Система FADEC выполняет следующие функции:
осуществляет программирование подачи топлива и защиту от превышения
предельных параметров роторами НД и ВД;
контролирует параметры двигателя во время цикла запуска и предотвращает
превышение предельной температуры газа в турбине;
управляет тягой в соответствии с двумя режимами: ручным и автоматическим;
обеспечивает оптимальную работу двигателя, управляя потоком компрессора и
зазорами турбины;
управляет двумя блокировочными электромагнитами РУДа.
Элементы системы FADEC.
Система FADEC состоит из:
электронного регулятора, включающего два идентичных компьютера, названных
каналы А и В. Электронный регулятор осуществляет управляющие расчеты и
отслеживает состояние двигателя;
гидромеханического блока, который преобразует электрические сигналы от
электронного регулятора в давление на приводы клапанов и исполнительных
механизмов двигателя;
периферийных компонентов таких, как клапана, силовые приводы и датчики
для управления и мониторинга.
Интерфейс самолет/электронный регулятор (рис. 16). Системы самолета
снабжают электронный регулятор информацией о тяге двигателя, управляющих
командах, о состоянии и условиях полета ВС, как описано ниже:
Информация о положении РУДа поступает в электронный регулятор в виде
электрического сигнала угла рассогласования. К РУДам в кабине экипажа
механически присоединен двойной преобразователь.
Полетная информация, целевые команды для двигателя и данные передаются
каждому двигателю от электронного блока отображения самолета по шине ARINC-429.
Выборочные дискретные сигналы самолета и информационные сигналы через
проводку подаются в электронный регулятор.
Сигналы о положении реверса двигателя по проводам передаются в
электронный регулятор.
Электронный регулятор использует дискретную информацию об отборе воздуха и полетной конфигурации (земля/полет и положение
закрылков) от самолета для компенсации режима
работы и в качестве базы для программирования подачи топлива при разгоне.
FADEC
интерфейсы.Система FADEC - это
система со встроенным тестовым оборудованием. Это означает, что она способна
обнаружить собственную внутреннюю или внешнюю неисправность. Для выполнения
всех своих функций система FADEC
соединена с самолетными компьютерами через электронный регулятор.
Электронный регулятор получает команды от блока отображения самолета
общей системы отображения информации, который является интерфейсом между
электронным регулятором и самолетными системами. Оба блока системы отображения
обеспечивают передачу следующих данных от системы выработки сигналов о полном и
статическом давлении в полете и компьютера управления полетом:
Параметры воздуха (высота, полная температура воздуха, полное давление и
М) для расчета тяги;
Угловое положение РУД.
Рис. 16. Схема топливной системы двигателя G.E./Snecma CFM56-7 [4]
Конструкция FADEC. Система FADEC является полностью резервированной,
построенной на двухканальном электронном регуляторе. Клапаны и исполнительные
механизмы снабжены сдвоенными датчиками для обеспечения обратной связи с
регулятором. Все контролируемые входные сигналы являются двухсторонними, но некоторые
параметры, используемые для мониторинга и индикации, являются односторонними.
Для повышения надежности системы все входные сигналы для одного канала
передаются и на другой через перекрестное звено передачи данных. Это
обеспечивает работоспособность обоих каналов даже если важные входные сигналы
для одного из каналов повреждены.
Оба канала А и В идентичны и постоянно функционируют, но независимо друг
от друга. Оба канала всегда получают входные сигналы и обрабатывают их, но
только один канал называемый активным управление, и формирует управляющие
сигналы. Другой канал является дублирующим.
При подаче напряжения на электронный регулятор во время работы происходит
выбор активного и дублирующего канала. Система встроенного тестового
оборудования определяет и изолирует отказы или комбинации отказов для
поддержания исправности каналов и для передачи данных об обслуживании
самолетным системам. Выбор активного и дублирующего каналов основывается на
исправности каналов, каждый канал устанавливает собственный статус исправности.
Самый исправный выбирается в качестве активного.
Когда оба канала имеют одинаковый статус исправности, выбор активного и
дублирующего канала чередуется при каждом запуске двигателя при превышении
частоты вращения ротора низкого давления более 10,990 об/мин. Если канал
поврежден, и активный канал не способен выполнять функции управления
двигателем, система переходит в отказоустойчивый режим, защищающий двигатель.
Работа регулятора с обратной связью. Для полного управления различными
системами двигателя электронный регулятор использует управление с обратной
связью. Регулятор рассчитывает положение для элементов системы, называемое
команда. Затем регулятор выполняет операцию сравнения команды с действительным
положением элемента, называемую обратная связь, и рассчитывает разницу,
называемую запрос.
Электронный регулятор через электрогидравлический сервоклапан
гидромеханического устройства посылает сигналы элементам (клапанам, силовым
приводам), вызывающие их перемещение. При перемещении клапана или силового
привода системы электронный регулятор по обратной связи получает сигнал о
положении элемента. Процесс повторятся, пока не прекратится изменение положения
элементов.
Входные параметры. Все датчики являются сдвоенными кроме Т49.5 (температура выхлопных газов), Т5
(температура на выходе турбины НД), Рs15
(статическое давление на выходе вентилятора), Р25 (полная температура на входе КВД) и WF (расход топлива). Датчики Т5,
Рs15 и Р25 являются
дополнительными и не устанавливаются на каждом двигателе.
Для выполнения расчета каждый канал электронного регулятора получает
величины собственных параметров и величины параметров другого канала через
перекрестное звено передачи данных. Обе группы величин проверяются на
достоверность тестовой программой в каждом канале. Правильная величина
выбирается для использования, в зависимости от оценки на достоверность при
каждом считывании, либо используется усредненное значение обоих величин.
В случае отказа сдвоенного датчика выбирается значение величины,
рассчитанное из других доступных параметров. Это применимо к следующим
параметрам:
×àٌٍîٍà âًàùهيèے
ًîٍîًà
يèçêîمî نàâëهيèے
(N1);
×àٌٍîٍà âًàùهيèے
ًîٍîًà
âûٌîêîمî نàâëهيèے
(N2);
رٍàٍè÷هٌêîه
نàâëهيèه
يà âûُîنه
êîىïًهٌٌîًà (Ps3);
زهىïهًàًٍَà
يà âُîنه
â êîىïًهٌٌîً âûٌîêîمî نàâëهيèے
(T25);
دîëîوهيèه
ٍîïëèâيîمî نîçèًَùهمî êëàïàيà (FMV);
دîëîوهيèه
َïًàâëےهىîمî êëàïàيà ïهًهïٌَêà âîçنَُà (VBV);
دîëîوهيèه
ïîâîًîٍيîمî يàïًàâëےùهمî àïïàًàٍà
(VSV).
ؤëے
âٌهُ
نًَمèُ ïàًàىهًٍîâ, â ٌëَ÷àه,
هٌëè َ ëهêًٍîييîمî ًهمَëےٍîًà يهٍ
âîçىîويîٌٍè âûلًàٍü نهéٌٍâèٍهëüيûé ïàًàىهًٍ,
لَنهٍ âûلًàي
àâàًèéيûé ïàًàىهًٍ.
ذàٌïîëîوهيèه
ëهêًٍîييîمî ًهمَëےٍîًà (ًèٌ.
17). فëهêًٍîييûé ًهمَëےٍîً نâَُêàيàëüيûé êîىïüٍهً,
ïîىهùهييûé â àëىèيèهâûé لëîê, êîٍîًûé
çàêًهïëهي
يà ïًàâîé
ٌٍîًîيه
êîوَُà âهيٍèëےٍîًà â ïîëîوهيèè 2 ÷àٌà.
×هٍûًه
ٌٍَàيîâî÷يûُ لîëٍà ٌ
نهىïôهًàىè îلهٌïه÷èâàٍ
çàùèٍَ îٍ
َنàًîâ
è âèلًàِèè.
ؤëے
لهçîّèلî÷يîé ًàلîٍû ëهêًٍîييîمî ًهمَëےٍîًà
ًٍهلَهٌٍے îُëàونهيèه
نëے
ٌîًُàيهيèے
âيًٍَهييهé ٍهىïهًàًٍَû â
نîïٌٍَèىûُ ïًهنهëàُ. خêًَوàùèé
âîçنَُ îٍلèًàهٌٍے
ٌ ïîىîùü âîçنَُîçàلîًيèêà, ًàٌïîëîوهييîمî