Проектирование волоконно-оптической линии связи

  • Вид работы:
    Курсовая работа (т)
  • Предмет:
    Информатика, ВТ, телекоммуникации
  • Язык:
    Русский
    ,
    Формат файла:
    MS Word
    1,14 Мб
  • Опубликовано:
    2015-03-29
Вы можете узнать стоимость помощи в написании студенческой работы.
Помощь в написании работы, которую точно примут!

Проектирование волоконно-оптической линии связи















"Проектирование волоконно-оптической линии связи"

Введение

Волоконно-оптическая линия связи (ВОЛС) - это вид системы передачи, при котором информация передается по оптическим диэлектрическим волноводам, известным под названием "оптическое волокно".

ВОЛС - это информационная сеть, связующими элементами между узлами которой являются волоконно-оптические линии связи. Технологии Волс помимо вопросов волоконной оптики охватывают также вопросы, касающиеся электронного передающего оборудования, его стандартизации, протоколов передачи, вопросы топологии сети и общие вопросы построения сетей.

Передача информации по ВОЛС имеет целый ряд достоинств перед передачей по медному кабелю. Стремительное внедрение в информационные сети Волс является следствием преимуществ, вытекающих из особенностей распространения сигнала в оптическом волокне.

Широкая полоса пропускания - обусловлена чрезвычайно высокой частотой несущей 1014Гц. Малое затухание светового сигнала в волокне. Выпускаемое в настоящее время отечественными и зарубежными производителями промышленное оптическое волокно имеет затухание 0,2-0,3 дБ на длине волны 1,55 мкм в расчете на один километр.

Низкий уровень шумов в волоконно-оптическом кабеле позволяет увеличить полосу пропускания, путем передачи различной модуляции сигналов с малой избыточностью кода.

Высокая помехозащищенность. Поскольку волокно изготовлено из диэлектрического материала, оно невосприимчиво к электромагнитным помехам со стороны окружающих медных кабельных систем и электрического оборудования, способного индуцировать электромагнитное излучение (линии электропередачи, электродвигательные установки и т.д.).

Малый вес и объем. Волоконно-оптические кабели (ВОК) имеют меньший вес и объем по сравнению с медными кабелями в расчете на одну и ту же пропускную способность.

Высокая защищенность от несанкционированного доступа. Поскольку ВОК практически не излучает в радиодиапазоне, то передаваемую по нему информацию трудно подслушать, не нарушая приема-передачи.

Гальваническая развязка элементов сети. Данное преимущество оптического волокна заключается в его изолирующем свойстве.

Взрыво- и пожаробезопасность. Из-за отсутствия искрообразования оптическое волокно повышает безопасность сети на химических, нефтеперерабатывающих предприятиях, при обслуживании технологических процессов повышенного риска.

Экономичность ВОК. Волокно изготовлено из кварца, основу которого составляет двуокись кремния, широко распространенного, а потому недорогого материала, в отличии от меди.

1.Длительный срок эксплуатации

Удаленное электропитание. В некоторых случаях требуется удаленное электропитание узла информационной сети. Оптическое волокно не способно выполнять функции силового кабеля. Однако, в этих случаях можно использовать смешанный кабель, когда наряду с оптическими волокнами кабель оснащается медным проводящим элементом. Такой кабель широко используется как в России, так и за рубежом.

Весьма перспективно применение оптических систем в кабельном телевидении, которое обеспечивает высокое качество изображения и существенно расширяет возможности информационного обслуживания абонентов.

В России и странах СНГ активно ведется строительство ВОЛС различного назначения: городских, зоновых, магистральных. В 86 городах (Москва, Нижний Новгород, С.-Петербург, Новосибирск, Тбилиси, Киев, Баку, Ташкент, Минск, Кишинев и др.) действуют оптические соединительные линии между АТС с цифровыми системами передачи ИКМ-120. Построен ряд зоновых линий внутриобластного назначения, например: Санкт-Петербург- Сосновый бор, Уфа-Стерлитамак, Тула-Щекино, Воронеж-Павловск, Рязань- Мосолово, Майкоп-Краснодар, Клин-Солнечногорск, Ростов-Азов, Курская область, Минск-Смолевичи, Рига-Юрмала и др. Построена одномодовая магистраль Санкт-Петербург-Минск протяженностью 1000 км на большое число каналов.

Обобщая: волоконно-оптическая связь является самым надежным и качественным видом связи, обладающая очень высокой пропускной способностью. В экономическом плане характеризуется быстрой окупаемостью, несмотря на дорогое измерительное и монтажное оборудование. Выбор данной технологии для обеспечения связи между крупными городами является наиболее выгодным, среди прочих.

Необходимость постройки данной линии передачи, прежде всего, обусловлена статусом данных в курсовой работе городов. Оба города являются крупными административными центрами, с хорошо развитой экономикой, объединяющими в себе множество видов промышленности. Потребителями услуг будут являться десятки заводов и предприятий, преимущественно тяжелых отраслей производства, а также крупнейшие провайдеры услуг связи (МТС, Вымпелком, Мегафон).

Задание

.        Рассчитать нагрузку, полагая, что кроме чисто телефонной нагрузки имеются: передача данных, интернет и обмен телевизионными программами, причем число каналов передачи данных nпд=1,2 nтф, число каналов интернета nинт=5 nтф, а 2 телевизионных канала занимают полосу, эквивалентную n = 3200 телефонным каналам.

.        Выбрать систему передачи.

.        Выбрать трассу передачи из нескольких вариантов и обосновать этот выбор.

.        Выбрать тип кабеля, учитывая нагрузку, систему передачи, условия трассы и тип грунта.

.        Подсчитать затухание и дисперсию при заданных длинах волн.

.        Определить длину регенерационного участка при первой заданной длине волны.

.        Определить механические усилия при прокладке кабелеукладчиком, учитывая вес, строительную длину кабеля и заданный коэффициент трения. Сравнить с нормой (допустимой величиной).

.        Для кабеля с металлическими покровами:

определить вероятное число повреждений кабеля от ударов молнии при заданных параметрах грозодеятельности в соответствии с «Руководством по защите оптических кабелей от ударов молнии» и выбрать защиту, если это необходимо;

Для кабеля без металла во внешних покровах:

Определить угол поворота плоскости поляризации φ света в волокне во время удара молнии при заданных величинах I, а и ρ.

Таблица. Исходные данные:

Трасса

Длины волн  мкм

Характеристики грунта

Параметры грозодеятельности



тип

Омм

q

T, часов

а, м

I, кА

11

Волгог. (1000) - Сар. 899)

1.32

1.51

1.62

0.2

II - III

600

0.2

3.6

50

3

15


где ρ - удельное сопротивление грунта;- коэффициент трения;- количество ударов молнии в 1 км2 площади за грозовой сезон (в год) для данной местности;расстояние точки удара молнии в землю от кабеля (по поверхности земли);суммарная продолжительность гроз в часах в данной местности.- ток молнии в амперах.

2.Расчет нагрузки

Число каналов, связывающих оконечные пункты, в основном зависит от численности населения в этих пунктах и от степени заинтересованности отдельных групп населения во взаимосвязи. Численность населения в любом областном центре может быть определена на основании данных последней переписи населения. По данным переписи 2010 года население города Волгоград составляет 1 017 985 человек, а города Саратов за 2010 год - 837 900 человек. При проектировании будем учитывать прирост населения. Количество населения в заданном пункте и тяготеющих к нему окрестностях с учетом среднего прироста населения равно:


где Н0 - население в период переписи;

Р - средний годовой прирост населения, 2-3 %;- время между годом планирования и годом переписи.

Приняв средний годовой прирост населения за 2 % и год перспективного планирования как 2014 год (на 5 лет вперед по сравнению с текущим временем), получаем:

численность населения Волгограда составляет Hв = 1 180 331 человек;

численность населения Саратова составляет Hо = 971 433 человек.

= 0.5 Ht

Соответственно, в Волгоградеmв = 590 112 абонента, в Саратовеmо = 485711 абонентов

Расчет числа телефонных каналов производится по приближенной формуле:


где mв и mо - количество абонентов в каждой зоне; y - удельная нагрузка, создаваемая одним

абонентом, у = 0.05 Эрл; α = 1.3, β = 5.6 и f1 = 0.05 - постоянные коэффициенты, соответствующие фиксированной доступности, заданным потерям и коэффициенту тяготения.

Получаем nтф = 871.409 ≈ 871 каналов.

Кроме телефонных каналов по кабельной линии организуют каналы и других видов связи. В нормальных условиях общее число каналов nоб равно:


где nпд - число каналов передачи данных; nинт - число каналов интернета;тв - число телевизионных каналов;≈ nтф - число каналов для телеграфной связи, проводного вещания, транзитных каналов и т.д.

Потребности в передаче данных в настоящее время растут быстрее потребности в телефонных каналах и nпд может быть принято 1,2 nтф. Рост потребности в интернет-связях очень велик и может быть принят nинт = 5nтф. Также при проектировании предусмотрим два двусторонних телевизионных канала, которыми обмениваются соседние области. Учитывая, что один ТВ-канал занимает 1600 телефонных каналов, получаем общее число каналов:

об = nтф + nпд + nинт + nтв + n ≈ 2 nтф + nпд + nинт + nтв = (2 + 1.2 + 5)nтф + 2*1600 = 8.2nтф + 3200.

Согласно рекомендациям фирмы Corning при резком обострении ситуации, например, во время стихийных бедствий и чрезвычайных обстоятельств, потребность в каналах связи резко возрастает, поэтому необходимо учесть резервирование и возрастание потребности, вследствие чего рассчитанную величину следует увеличить по крайней мере в 2 раза. Окончательно получим:

nоб = 16.4nтф + 3200об = 17 490

3.Выбор системы передачи

Систему передачи будем выбирать на основе рассчитанного требуемого числа каналов nоб. Для обеспечения передачи 17 490 каналов выберем 2 отечественные системы передачи для междугородней связи «Сопка-5» на 7680 каналов со скоростью 560 Мбит/с. Тогда из 23 040 каналов связи 5550 будут резервными.

Прокладка кабеля должна осуществляться вдоль автомобильных дорог, соединяющих заданные города (Волгоград и Саратов). Рассмотрим маршрут, определенный с помощью информационной системы АвтоТрансИнфо как самый быстрый и самый короткий:

Рис.

Рис.

Маршрут проходит через большое количество населенный пунктов по трассе 1P 228, а значит, является удобным для строительства и эксплуатации волоконно-оптической линии связи. Вторая трасса, как видно по эскизу существенно длиннее и прокладка кабеля будет стоить существенно дороже.

4.Выбор типа кабеля

Предполагается использование двух систем передачи «Сопка-5», количество волокон в кабеле должно быть равно 6. Число волокон в кабеле равно числу систем передачи. Для каждой системы передачи 2 волокна. 3*2=6, но поскольку число волокон в кабеле обычно равняется 4, 8, 16, то мы выбираем 8.

С помощью справочника «Волоконно-оптические системы передачи и кабели», учитывая тип грунта на трассе и используемую систему передачи «Сопка-5», выбираем для проектируемой линии связи кабель типа ОКЛБ-01-0,3/3,5-4. Ниже представлено краткое описание и характеристики этого кабеля:

Рис.

5.Кабель ОКЛБ

Предназначен для магистральных, зоновых и городских сетей связи. Прокладывается в кабельной канализации, трубах, блоках, в грунтах всех категорий, в т.ч. с высокой коррозийной агрессивностью, в том числе зараженных грызунами, кроме подверженных мерзлотным деформациям, а так же через болота, озера, не сплавные и не судоходные реки глубиной до 2-х метров. При наружной оболочке в негорючем исполнении прокладывается в коллекторах, на мостах и блоках. Для кабеля ОКЛБ-01-0,3/3,5-4 коэффициент затухания составляет не более 0,3 дБ/км, дисперсия - не более 3,5 пс/(нм км), наружный диаметр - 18,4 ±2,0 мм, расчетная масса 1 км - 404,0 кг.

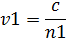
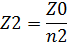
Расчет параметров кабеля и длины регенерационного участка

Проверку и расчет параметров кабеля при заданных длинах волн будем проводить по примеру, приведенному в Справочнике «Волоконно-оптические системы передачи и кабели».

Проводя расчеты примем:

)        Сердцевина 2*а = 10 мкм;

)        Оболочка 2*b = 125 мкм;

)        Показатели преломления n1 = 1.51, n2 = 1.5;

)        Длины волн1=1.32; 2=1.51; 3=1.62;

)        Длина линии l = 389 км;

)        Pnm = 2.405 - для одномодовой передачи;

)        Тангенс угла диэлектрических потерь в световоде tgδ = 2·10-11;

)        Коэффициент рассеяния Kp = 1.3·10-24;

)        Волновое сопротивление Z0 = 376.7 Ом.

. Относительное значение показателей преломления:


. Числовая апертура


. Нормированная частота (при заданных длинах волн λ1, λ2, λ3):


. Критическая частота:



5.Критическая длинна волны:


. Потери энергии на поглощение (при заданных длинах волн λ1, λ2, λ3):


.Потери на рассеяннее:


.Общие потери (при заданных длинах волн λ1, λ2, λ3):



9.Волноводная дисперсия:


.Материальная дисперсия:


.Результирующая дисперсия:



.Пропускная способность:


.Границы изменения фазовой скорости:


.Границы изменения волнового сопротивления:



6.Выбор метода прокладки и определение механических усилий

оптический связь волновод

При строительстве магистральной ВОЛС применяются следующие варианты прокладки кабеля:

.Прокладка ОК в грунт кабелеукладчиком

Этот способ является основным благодаря высокой производительности и эффективности. Он широко применяется на трассах с различными рельефами местности и разными грунтами. Для прокладки используются кабелеукладчики с активными и пассивными рабочими органами. С помощью ножевого кабелеукладчика в грунте прорезается узкая щель, и кабель укладывается на ее дно на заданную глубину залегания (0.9 … 1.2 м). При этом на кабель действуют механические нагрузки. Кабель на пути от барабана до выхода из кабеленаправляющей кассеты подвергается воздействию продольного растяжения, поперечного сжатия и изгиба, а в случаях применения вибрационных кабелеукладчиков - вибрационному воздействию. В зависимости от рельефа местности и характера грунтов, конструкции и технического состояния кабелеукладчиков, а также режимов работы механические нагрузки на кабель могут изменяться в широких пределах.

В России для прокладки различных кабелей связи вне населенных пунктов в грунтах соответствующих категорий применяются вибрационные кабелеукладчики КНВ-1 и КНВ-2 производства Опытного механического завода Межгорсвязьстроя. В 1995 г. здесь были разработаны и внедрены в производство кабелеукладчики КВГ-1 и КВГ-2, которые в отличие от КНВ, где вибратоp приводится в действие с помощью механического привода, имеют гидравлический привод. Кроме того, рабочий навесной орган КВГ-2 может смещаться от оси движения базового механизма, что крайне важно при работах в стесненных условиях.

Кабелеукладчики КВГ по своим техническим возможностям не уступают зарубежным аналогам и имеют вибратор трехвальный, двухкамерный, одна из камер которого содержит одноступенчатый понижающий редуктор и приводные шестерни дебалансов, а другая - дебалансы, обеспечивающие необходимое возмущающее усилие. Рабочий орган устанавливается непосредственно на корпус вибратора, поэтому колебательная масса минимальна, что повышает амплитуду вибрации и, соответственно, аффект разработки грунта. Дополнительный тяговой машиной является трактор Т-170МБГ, оборудованный тем же, что и кабелеукладчик, ходоуменьшителем, или специально оборудованный бульдозер.

Для предотвращения превышения допустимых нагрузок на ОК при его прокладке необходимо обеспечить:

принудительное вращение барабана в момент начала движения кабелеукладчика и синхронизированную его размотку;

ограничение боковых давлений на кабель за счет применения различного рода мероприятий и конструкций, снижающих трение;

допускаемый радиус изгиба ОК от барабана до укладки на дно щели на всем участке подачи кабеля через кассету;

исключение случаев засорения кассеты кабелеукладочного ножа и остановок вращения барабана при движении кабелеукладчика.

.Прокладка в защитной пластмассовой трубе с задувкой

Способ прокладки ОК с использованием защитного трубопровода весьма эффективен в тех случаях, когда на трассе имеются многочисленные преграды, расположенные близко друг от друга, затруднен доступ, а также в грунтах с твердыми включениями и в районах с повышенным влиянием внешних электромагнитных полей (районах повышенной грозодеятельности, сближения с ЛЭП, с электрифицированными железными дорогами и т. д.), где ОК с металлическими элементами могут повреждаться в результате действия наводимых на этих элементах токов и напряжений. Одним из способов защиты ОК является применение защитного трубопровода.

Защитная полиэтиленовая труба (ЗПТ) - современная альтернатива традиционной асбестоцементной трубе кабельной канализации. ЗПТ может быть использована как для увеличения емкости традиционной кабельной канализации с одновременным приданием ей новых характеристик (путем прокладки ее в каналы существующей кабельной канализации), так и для прокладки непосредственно в грунт, фактически выполняя функции междугородной кабельной канализации. ЗПТ представляет собой трубу 25-63 мм (строительная длина в среднем 2 км) из полиэтилена высокой плотности с имеющимся на внутренней поверхности антифрикционным покрытием, что обеспечивает снижение коэффициента трения примерно вдвое по сравнению с поверхностью из обычных композиций полиэтилена, нормируемый срок службы ЗПТ составляет не менее 50 лет. Прокладка ЗПТ осуществляется по обычной технологии прокладки кабелей связи (кабелеукладчиками, в траншею, затягиванием в каналы существующей кабельной канализации). Применение ЗПТ при сооружении волоконно-оптических линий передачи позволяет, однократно выполнив прокладку нескольких каналов ЗПТ, эффективно затем ее использовать, проводя последующую прокладку оптического кабеля в резервные каналы ЗПТ или же производя по мере необходимости замену оптического кабеля без необходимости проведения земляных работ. Прокладка оптического кабеля в ЗПТ, как правило, осуществляется методом пневмопрокладки с использованием специализированного оборудования, обеспечивающим возможность "задувки" в ЗПТ максимальных строительных длин оптического кабеля (величиной 4…6 км), без необходимости их разрезания и перемотки на участках пересечения с подземными сооружениями.

.Подвеска ОК на ЛЭП или контактной сети железной дороги

Требования к сооружениям и технологии подвески ОК на несущих тросах по столбам и стоечным опорам на крышах зданий, а также к самонесущим кабелям не отличаются от установленных требований для электрических кабелей связи. Для воздушной подвески используют ОК, предназначенные для прокладки в земле, которые прикрепляются к имеющимся воздушным линиям связи тросом, либо ОК с самонесущим тросом. При подвеске следует учитывать прочность ОК при растяжении, длину пролета, стрелу провеса, механическую нагрузку (статическую и динамическую), колебания температуры, конструкцию опоры, способ натяжения ОК, конструкцию крепления к несущему тросу (если трос не встроен в кабель), защиту от грызунов, заземление, величину натяжения ОК при прокладке, способ выравнивания стрелы провеса, изменение натяжения ОК.

Исходя из вышесказанного и учитывая выбранную трассу (трасса проходит вдоль автомагистрали), выбираем метод прокладки кабеля в защитной пластмассовой трубе с задувкой. Для задувки кабелей в ЗПТ используются воздушные компрессоры, устройства подачи кабеля в трубы и устройства перемотки кабелей. В таблице 1 указан перечень машин и механизмов для выполнения этих технологических операций.

Таблица. Машины и механизмы для задувки строительной длины оптического кабеля в три секции


Определим (приближенно, по графику для кабеля ОКЛБ-01) механические усилия при прокладке ЗПТ кабелеукладчиком типа КНВ в грунт, используя приведенную в справочнике графическую зависимость величины натяжения ОК на выходе из кассеты кабелеукладчика от скорости прокладки кабеля, диаметра кабельных барабанов, строительной длины и типа кабеля. Считая скорость равной 1 км/ч, диаметр (номер) кабельного барабана № 18, получаем Р ≈ 3.2 кН. Ниже в таблицах представлены технические характеристики ЗПТ ЗАО НПО «Стройполимер», откуда видим, что рассчитанные механические усилия не превышают допустимых норм:

Рис.

Упрощенный расчет грозозащиты магистральных оптических кабелей (ОКЛБ):

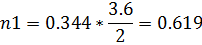
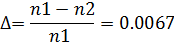
.Определим категорию молниестойкости по удельному сопротивлению грунта:= 600 Ом*м<1000 Ом*м следовательно, I-III категория молниестойкости.

.Исходя из данных, представленных на сайте #"803398.files/image061.gif">=3.6=0.344


.Сравним полученную величину n1 с нормой допустимого числа повреждений магистральных кабелей от ударов молнии n0 = 0.1:

>500 Ом*м в 1.2 раз

. Т.к. n1<n0 то необходимости в обеспечении дополнительной грозозащите нет.

Заключение

В курсовой работе были представлены основные этапы проектирования волоконно-оптической линии связи между городами Волгоград и Саратов: расчет нагрузки, выбор системы передачи, трассы передачи, типа кабеля, метода прокладки, расчет параметров кабеля, длины регенерационного участка, а также упрощенный расчет грозозащиты для выбранного кабеля. Курсовая работа позволяет получить представление о порядке выполнения подобных проектов.

В нашей стране еще в 1993 году было принято решение использовать только волоконно-оптические кабели на магистральных линиях связи, в 1996 - на внутризоновых. В настоящее время ВОЛС активно используются и на локальных компьютерных сетях, в сетях кабельного телевидения. Таким образом, навыки расчета ВОЛС являются необходимыми для качественного выполнения современных проектов в отрасли связи.

Используемая литература

.И.И. Гроднев, А.Г. Мурадян, Р.М. Шарафутдинов и др. «Волоконно-оптические системы передачи и кабели: Справочник» - М.: Радио и связь, 1993. - 264 с.: ил.

.В.А. Андреев, В.А. Бурдин, Б.В. Попов, А.И. Польников; Под ред. Б.В. Попова «Строительство и техническая эксплуатация волоконно-оптических линий связи» - М.: Радио и связь, 1995. - 200 с.: ил.

.И.И. Гроднев, Н.Д. Курбатов «Линии связи: Учебник для вузов». - 4-е изд., перераб. и доп. - М.: Связь, 1980. - 440 с.: ил.

.Население: http://ru.wikipedia.org/wiki/Волгоград_(город)://ru.wikipedia.org/wiki/Саратов

.Расчет расстояния: http://www.ati.su/Trace/default.aspx?EntityType=Trace&City1=40&City5=180&Cities=5_1521&FastWay=false

. Руководство по защите оптических кабелей от ударов молний http://www.simbexpert.ru/?snips/snip/44553/

Похожие работы на - Проектирование волоконно-оптической линии связи

 

Не нашли материал для своей работы?
Поможем написать уникальную работу
Без плагиата!
Без нейросетей!