Электроснабжение сельского населенного пункта
КУРСОВОЙ
ПРОЕКТ
на
тему: «Электроснабжение сельского населенного пункта»
Иркутск
2014
ВВЕДЕНИЕ
Еще в первые месяцы после Великой
Октябрьской социалистической революции В.И. Лениным была сформулирована задача
о необходимости обратить особое внимание на электрификацию промышленности и
транспорта и применение электричества к земледелию. Проблема электрификации
всех отраслей народного хозяйства, а, следовательно, и электроэнергетики
начиная с конца XIX века стояла, достаточно остро во всех странах в связи с
высокими технико-экономическими показателями электрической энергии, легкостью
ее преобразования в другие виды энергии и простотой передачи на расстояние. К
началу первой мировой войны (1914 г.) электроэнергетическая база ведущих мировых
стран развивалась весьма быстрыми темпами, но царская Россия, несмотря на
огромные запасы топлива, и гидроресурсов, и в этой ведущей отрасли народного
хозяйства заметно отставала от других капиталистических стран по установленной
мощности на электростанциях и по производству электрической энергии.
В настоящее время развитие сельского
электроснабжения в основном пойдет по линии развития существующих и
строительства новых сетей, улучшения качества электроэнергии, поставляемой
сельским потребителям, и особенно повышения надежности электроснабжения.
Одновременно, конечно, будет продолжаться процесс электрификации сельских
районов, удаленных от мощных энергосистем, путем строительства укрупненных
колхозных и межколхозных электростанций с использованием дизельного топлива, а
также гидроэнергии малых и средних водотоков существенно увеличиваются.
Следует подчеркнуть, что в настоящее
время степень загруженности существующих сельских электрических сетей и
потребительских подстанций для подавляющего большинства территории нашей страны
невелика, и важной задачей, разрешение которой способно повысить рентабельность
сельского электроснабжения - является широкое внедрение электроэнергии в
производственные процессы сельского хозяйства и в быт сельского, населения.
1. ТЕХНИЧЕСКОЕ ЗАДАНИЕ НА
ПРОЕКТИРОВАНИЕ
Таблица 1.1 - Электрические нагрузки
производственных, общественных и коммунальных потребителей населенного пункта
|
Номер по плану
|
Электрические нагрузки потребителей
|
|
Наименование потребителя на генеральном плане
|
Нагрузка потребителя
|
|
|
|
|
|
1
|
Одноквартирный дом
|
3,2
|
5,7
|
|
2
|
Двухквартирный дом
|
4,3
|
11,8
|
|
3
|
Овцеводческая ферма мясо-шерсного направления на15000 голов
|
10
|
15
|
|
4
|
Зернохранилище с передвижными механизмами ёмкостью 1000 - 2000
т.
|
25
|
8
|
|
5
|
Птичник клеточного содержания на 20000 кур
|
37
|
50
|
|
6
|
Теплица овощная с электрообогревом плёночная или остеклённая на
1кв.м
|
0,02
|
0,1
|
|
7
|
Овцеводческая ферма мясо-шерсного направления на 5000 голов
|
6
|
15
|
|
8
|
Кирпичный завод на 1-1,5млн.кирпича
|
25
|
8
|
|
9
|
Пункт приготовления травяной муки с агрегатом АМВ - 1,5
|
140
|
1
|
|
10
|
Картофеле и овощехранилище с электрокаллориферной отопительнно-
вентеляционной установкой ёмкостью 1000 т.
|
45
|
17
|
|
11
|
Гаражна 50 автомобилей с закрытой стоянкой на 14 автомобилей
|
15
|
5
|
|
Освещение посёлка определить по плану, приняв 
|
Стоимость электрической энергии -
0,6 руб./кВт*ч;
Расстояние от районной
трансформаторной подстанции до посёлка - 8,5 км
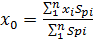
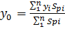
.2 РАСЧЕТ МЕСТОРАСПОЛОЖЕНИЯ
ТРАНСФОРМАТОРНЫХ ПОДСТАНЦИЙ
Расчет центров нагрузок и выбора
месторасположения трансформаторных подстанций осуществляем по выражению:

; 
Ниже приводятся данные,
полученные при расчете.
Для ТП -1
Таблица 1.2.1
|
ТП
|
Координата X
|
Координата Y
|
|
ТП - 1
|
5,3
|
5,37
|
|
ТП - 2
|
1,52
|
9,63
|
|
ТП - 3
|
2,6
|
3,2
|
|
ТП - 4
|
8,5
|
6,6
|
|
ТП - 5
|
18,4
|
6,1
|
.3 РАСЧЕТ ЭЛЕКТРИЧЕСКИХ НАГРУЗОК
Расчет нагрузок в сети 0,38 кВ
проводится суммированием нагрузок на вводе или участках сети с учетом
коэффициента одновременности отдельно для дневного или вечернего максимумов
нагрузки.

, кВА

, кВА
где
- дневная и вечерняя
нагрузки на вводе;
i - количество
однородных потребителей;

- коэффициент
одновременности.
При помощи коэффициента
одновременности можно суммировать нагрузки, отличающиеся по значению мощности
не более чем в четыре раза - для коммунально-бытовой и не более чем на 5 кВА -
для производственной нагрузок. Если это условие не выполняется, то суммирование
нагрузок осуществляется с помощью добавок мощности:
ТП - 1
Линия 1 «Пункт
приготовления травяной муки»

Линия 2 «Картофеле и
овощехранилище»
ТП - 2
Линия 1 «2
зернохранилища»
Линия 2 «2 Овцеводческая
ферма»
Линия 3 « Уличное
Освещение»
где 
- длина участка;

.
ТП - 3
Линия 1 «птичник
клеточного содержания»
Линия 2 «кирпичный
завод»
Линия 3 «теплица
весенняя плёночная»
ТП - 4
Линия 1 « 4
Двухквартирных дома»
Линия 2 « 10
Одноквартирных Домов»
Линия 3 « 8
Одноквартирных Домов»
Линия 4 « 4
Двухквартирных дома»
Линия 5 « Уличное
Освещение №1»
где 
- длина участка;

.
Линия 6 « Уличное
Освещение №2»
где 
- длина участка;

.
ТП - 5
Линия 1 « 6
Двухквартирных дома»
Линия 2 «6
Одноквартирных Домов + 2 двухквартирных»
Линия 3 «6
Одноквартирных Домов»
Линия 4 « 5
Двухквартирных дома + 2 одноквартирных+ гараж»
Линия 5 « Уличное
Освещение №1»
где 
- длина участка;

.
Линия 6 « Уличное
Освещение №2»
где 
- длина участка;

.
.4 ВЫБОР МАРКИ И СЕЧЕНИЯ
ПРОВОДОВ ВЛ 0,38, ОПРЕДЕЛЕНИЕ ПОТЕРЬ НАПРЯЖЕНИЯ И ПОТЕРЬ МОЩНОСТИ
. Выбор сечения провода
для отходящих линий производим по расчетному току:
где
- максимальная расчетная
мощность линии, кВА;

- напряжение сети, кВ.
Примечание: сечение
провода определяется по условию, что 
. Производим проверку
выбранных проводов по потерям напряжения на каждом участке линии по формулам:
где
- расчетный ток, А;

- длинна участка, км;

и 
- активное и индуктивное
сопротивление 1км провода, Ом/км.
Примечание: 
. Определение потерь
мощности в проводах определяется по формуле:
где
- расчетный ток, А;

- активное
сопротивление 1км провода, Ом/км;

- длинна участка, км
. Максимальная расчетная
мощность линии,
ТП - 1
Линия 1 «Пункт
приготовления травяной муки»
Выбираю:
СИП-1А(Все жилы, в том
числе несущий трос, имеют изоляционный покров из термопластичного
светостабилизированного полиэтилена.)
СИП(3*35+1*50);
.

. 
.
=
=0,44/0,75=0,58 кВА
.
кВА
Линия 2 «Картофеле и
овощехранилище»
СИП(3*16+1*25);
.

. 
.
=
=1,43/0,75= 1,9 кВА
.
кВА

= 
+46,9 =187,94 кВА
ТП - 2
Линия 1 «2
зернохранилища»
СИП(3*25+1*35);
.

. 
.
=
=
/0,75=0,95 кВА
.
кВА
Линия 2 «2 Овцеводческая
ферма »
СИП(3*16+1*25);
.

. 
.
=
=
/0,92= 0,038 кВА
.
кВ
Линия 3 « Уличное
освещение»
СИП(3*16+1*25);
.

. 
.
=
=
/0,6= 0,16 кВА
.
кВ

=76,8 кВА
ТП -3
Линия 1 «птичник
клеточного содержания»
СИП(3*16+1*25);
.

. 
.
=
=
/0,92= 0,27 кВА
.
кВА
Линия 2 «кирпичный
завод»
СИП(3*16+1*25);
.

. 
.
=
=
/0,92= 0,27 кВА
.
кВА
Линия 3 «теплица
весенняя плёночная»
СИП(3*25+1*35);
.

. 
.
=
=
/0,75= 0,69 кВА
.
кВА

= 
+50,27+25,2 =176,2 кВА
ТП - 4
Линия 1 « 4
Двухквартирных дома»
СИП(3*25+1*35);
.

. 
.
=
=
/0,98= 0,33 кВА
.
кВа
Линия 2 « 10
Одноквартирных Домов»
СИП(3*25+1*35);
.

. 
.
=
=
/0,98= 0,5 кВА
.
кВа
Линия 3 « 8
Одноквартирных Домов»
СИП(3*25+1*35);
.

. 
.
=
=
/0,98= 0,3 кВА
.
кВа
Линия 4 « 4 Двухквартирных
дома»
СИП(3*25+1*35);
.

. 
.
=
=
/0,98= 0,33 кВА
.
кВа
Линия 5 « Уличное
освещение»
СИП(3*25+1*35);
.

. 
.
=
=
/0,98= 0,19 кВА
.
кВа
Линия 6 « Уличное
освещение»
СИП(3*25+1*35);
.

. 
.
=
=2,2/0,98=2,3 кВА
.
кВа

=
34,8+36+47,53+47,5+47,5+47,7+47,53=261 кВА
ТП - 5
Линия 1 « 6
Двухквартирных дома»
СИП(3*25+1*35);
.

. 
.
=
=
/0,98=0,99 кВА
.
кВа
Линия 2 «6 Одноквартирных
Домов + 2 двухквартирных»
СИП(3*25+1*35);
.

. 
.
=
=
/0,98=1,77 кВА
.
кВа
Линия 3 «6
Одноквартирных Домов»
СИП(3*16+1*25);
.

. 
.
=
=
/0,98= 0,42 кВА
.
кВ
Линия 4 « 5
Двухквартирных дома + 2 одноквартирных+ гараж»
СИП(3*25+1*35);
.

. 
.
=
=
/0,98=4,2 кВА
.
кВА
Линия 5 « Уличное
Освещение №1»
СИП(3*25+1*35);
.

. 
.
=
=
/0,6= 4,5 кВА
.
кВа
Линия 6 « Уличное
Освещение №2»
СИП(3*25+1*35);
.

. 
.
=
=
/0,6= 1,66 кВА
.
кВа

=26,79+36,1+19,62+47,1+44,6+32,3=206,5
кВА
.5 ВЫБОР ТРАНСФОРМАТОРОВ
|
ТП
|
Трансформатор
|
Мощность, кВА
|
Каталожные данные
|
|
|
|
Uном
|
Uк.з, %
|
Мощность потерь, кВт
|
|
|
|
ВН
|
НН
|
|
Х.Х
|
К.З
|
|
1
|
2*ТМ-250/10
|
250
|
10
|
0,4
|
4,5
|
0,56
|
1,28
|
|
2
|
2*ТМ-100/10
|
100
|
10
|
0,4
|
4,5
|
0,365
|
1,97
|
|
3
|
2*ТМ-160/10
|
160
|
10
|
0,4
|
4,5
|
0,460
|
2,65
|
|
4
|
ТМ-250/10
|
250
|
10
|
0,4
|
4,5
|
0,56
|
1,28
|
|
5
|
ТМ-250/10
|
250
|
10
|
0,4
|
4,5
|
0,56
|
1,28
|
Определяем потери в трансформаторе:
Потери электроэнергии в
трансформаторе определяются по формуле:
где n - количество
трансформаторов на КТП,
- мощность потерь
короткого замыкания в трансформаторе, кВт;
- мощность потерь
холостого хода трансформатора, кВт;
- расчетное число часов
в году (8760), час;
- номинальная мощность
трансформатора, кВА;
ТП - 1
=
кВт.ч
ТП - 2
ТП - 3
ТП-4
ТП-5
электроснабжение
сельский трансформаторный
1.6 РАСЧЕТ ТОКОВ И ВЫБОР
СИП НА ВЫСОКОЕ НАПРЯЖЕНИЕ
Выбираем расчётный ток и
сечение линии 10 кВ:
От ТП -5 до ТП - 3

10,3 А/мм
СИП(3*25);
.

. 
.
=
=0,32/0,95= 0,302 кВ
От ТП -3 до ТП - 1

А/мм
СИП(3*25);
.

. 
.
=
=0,105/0,83= 0,126 кВ
От ТП -1 до ТП - 4

А/мм
СИП(3*25);
.

. 
.
=
=0,164/0,95= 0,17 кВ
От ТП - 4 до ТП - 2

А/мм
СИП(3*25);
.

. 
.
=
=2,8/0,95= 2,95 кВ
От ТП -2 до РП

А/мм
СИП(3*25);
.

. 
.
=
=0,505/0,83= 0,6 кВ
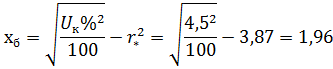
Расчет токов короткого
замыкания
Знание значений токов КЗ
необходимо для обеспечения быстрого отключения поврежденного элемента
электрической сети и уменьшения зоны повреждения. Это достигается путем
правильного выбора электрооборудования, способного не только отключать
электрическую сеть от повреждений, но и выдерживать самой кратковременное
воздействие токов КЗ.
К-1
Базисное напряжение и
мощность системы составляет:

Определяем базисный ток

кА
Для определения
суммарного базисного сопротивления до точки КЗ определяются базисные
сопротивления элементов системы электроснабжения по следующим выражениям.
Для трансформатора:
Для линии:
Реактивное сопротивление
системы на стороне 10,5 кВ, отнесенное к мощности трансформатора:
Суммарное сопротивление:
Начальный
сверхпереходный ток в месте КЗ в относительных единицах находится по выражению:


кА
Тогда сила тока КЗ в
относительных единицах примет вид:

2,2 кА
Сила ударного тока
короткого замыкания:
Мощность короткого
замыкания рассчитывается по формуле:
При коротких замыканиях
в удаленных от электростанций сетях принимается допущение о том, что напряжение
в питающей сети остается неизменным. Тогда периодическая составляющая тока КЗ
останется неизменной в течение всего процесса короткого замыкания и сила
установившегося тока КЗ будет равна начальному значению периодической
составляющей, т. е. силе сверхпереходного тока КЗ:
4. РАСЧЕТ ТОКОВ
КОРОТКОГО ЗАМЫКАНИЯ 0,38 кВ
Ток трехфазного
короткого замыкания:
Ток однофазного
короткого замыкания:
Ток рабочий:
Полное сопротивление
петли «фаза - нуль»:
-удельное внешнее
сопротивление петли =0,6 ом/к
Сопротивление линии:
Для каждой из линии
составляется схема замещения, короткое замыкание происходит на наиболее
удаленном участке сети
ТП - 1
Линия 1
Линия 2
ТП - 2
Линия 1
Линия 2
Линия 3(УНО)
ТП-3
Линия 1
Линия 2
Линия 3
ТП - 4
Линия 1:
Линия 2
Линия 3

Линия 4
Линия 5(УНО №2)
Линия 6(УНО №2)
ТП-5
Линия-1
Линия -2
Линия -3
Линия -4
Линия 5(УНО №1)
Линия 6(УНО №2)
Выбор выключателей
Выключатели - это
аппараты, предназначенные для отключения и включения цепей при любых режимах
работы электроустановок.
К выключателям высокого
напряжения предъявляются следующие требования: надежное отключение токов любой
величины; быстрота действия, то есть наименьшее время отключения; пригодность
для автоматического повторного включения; взрыво - и пожаробезопасность;
удобство транспортировки и обслуживания. Высоковольтные выключатели должны
длительно выдерживать номинальный ток и напряжение.
Условия выбора и
проверки выключателей состоят в следующем:
, (35)
, (36)
Периодическая составляющая токов КЗ
в момент расхождения дугогасящих контактов:
, (37)
На электродинамическую стойкость
выключатель проверяют по предельным сквозным токам КЗ:
, (38)
На термическую стойкость выключатель
проверяют по тепловому импульсу тока КЗ:
, (39)
где
-
предельный ток термической стойкости;
|
Расчетные данные
|
Паспортные данные
|
Проверка
|
|
Uуст =10 кВ
|
Uном =10 кВ
|
|
|
Iраб.макс =25,242 А
|
Iном =1000 А
|
|
|
Iпτ =4,43 кА
|
Iотк.ном=20 кА
|
|
|
iуд =11,3 кА
|
iмакс. =52 кА
|
|
Вк=654,16 кА

Выбираем выключатель ВМПЭ-10-20/1000
Выбор разъединителей РВ
Разъединители, отделители,
короткозамыкатели проверяют:
по классу напряжения;
по номинальному току;
по электродинамической стойкости;
|
Расчетные данные
|
Паспортные данные
|
Проверка
|
|
Uуст =10 кВ
|
Uном =10 кВ
|
|
|
Iраб.макс. =25,242
|
Iном =1000А
|
|
|
iуд =11,3 кА
|
iдин =40 кА
|
|
Выбираем разъединитель типа
РВ-10/100
Быбор предохранителей 10 кВ
|
Показатель
|
Каталожная величина
|
Расчетная величина
|
Условия выбора
|
|
Номинальное напряжение, кВ
|
10
|
10
|
10 ≥ 10
|
|
Номинальные ток, А
|
40
|
23,98
|
40 ≥ 23,98
|
Выбор ОПН
|
Показатель
|
Каталожная величина
|
Расчетная величина
|
Условия выбора
|
|
Номинальное напряжение (ВН), кВ
|
10
|
10
|
10 ≥ 10
|
Выбор трансформаторов тока
|
Расчетные данные
|
Паспортные данные
|
Проверка
|
|
Uном.уст = 10 кВ
|
Uном. =10 кВ
|
Uном. ≥Uном.уст
|
|
Iраб.mах =25,242 А
|
I1ном=50 А
|
I1ном ≥Iраб.mах
|
|
iуд=11,3кА
|
iдин=25 кА
|
iдин ≥iуд
|
Выбираем трансформаторы тока типа
ТЛК-10 Т3
Выбор трансформаторов напряжения
|
Расчетные данные
|
Паспортные данные
|
Проверка
|
|
Uном.уст = 10 кВ
|
Uном. = 10 кВ
|
Uном. ≥Uном.уст
|
|
Iраб.mах = 25,242 А
|
I1ном= 30 А
|
I1ном ≥Iраб.mах
|
|
iуд=11,3 кА
|
iдин= 250 кА
|
iдин ≥iуд
|
Выбирам ТПЛ-10
Выбор автоматических выключателей на
отходящие линии:
ТП - 1
Линия 1:
|
Показатель
|
Каталожная величина
|
Расчетная величина
|
Условия выбора
|
|
Номинальное напряжение, кВ
|
0.66
|
0.38
|
0.66 ≥ 0.38
|
|
Номинальные ток, А
|
160
|
106,48
|
160 ≥ 106,48
|
|
Динамическая устойчивость, кА
|
12
|
2,88
|
28 ≥ 2,88
|
Автомат ВА 51
Линия 2:
|
ПоказательКаталожная величинаРасчетная величинаУсловия выбора
|
|
|
|
|
Номинальное напряжение, кВ
|
0.66
|
0.38
|
0.66 ≥ 0.38
|
|
Номинальные ток, А
|
63
|
37,037
|
63 ≥ 37,037
|
|
Динамическая устойчивость, кА
|
12
|
0,512
|
2 ≥ 0,512
|
Автомат АЕ2040М
Линия 3:
|
ПоказательКаталожная величинаРасчетная величинаУсловия выбора
|
|
|
|
|
Номинальное напряжение, кВ
|
0.66
|
0.38
|
0.66 ≥ 0.38
|
|
Номинальные ток, А
|
16
|
16,73
|
63 ≥ 16,73
|
|
Динамическая устойчивость, кА
|
0,7
|
0,695
|
0,7 ≥ 0,695
|
Автомат АЕ2040М
Линия 4:
|
ПоказательКаталожная величинаРасчетная величинаУсловия выбора
|
|
|
|
|
Номинальное напряжение, кВ
|
0.66
|
0.38
|
0.66 ≥ 0.38
|
|
Номинальные ток, А
|
63
|
38
|
63 ≥ 16,73
|
|
Динамическая устойчивость, кА
|
12
|
0,695
|
2 ≥ 0,512
|
Автомат АЕ2040М
Линия 4:
|
ПоказательКаталожная величинаРасчетная величинаУсловия выбора
|
|
|
|
|
Номинальное напряжение, кВ
|
0.66
|
0.38
|
0.66 ≥ 0.38
|
|
Номинальные ток, А
|
63
|
38
|
63 ≥ 16,73
|
|
Динамическая устойчивость, кА
|
12
|
0,695
|
2 ≥ 0,512
|
Автомат АЕ2040М
Линия 5:
|
ПоказательКаталожная величинаРасчетная величинаУсловия выбора
|
|
|
|
|
Номинальное напряжение, кВ
|
0.66
|
0.38
|
0.66 ≥ 0.38
|
|
Номинальные ток, А
|
60,85
|
38
|
60,85 ≥ 38
|
|
Динамическая устойчивость, кА
|
12
|
2,382
|
2 ≥ 2,382
|
Автомат АЕ2040М
ТП - 2
Линия 1:
|
ПоказательКаталожная величинаРасчетная величинаУсловия выбора
|
|
|
|
|
Номинальное напряжение, кВ
|
0.66
|
0.38
|
0.66 ≥ 0.38
|
|
Номинальные ток, А
|
16
|
13
|
16 ≥ 16,73
|
|
Динамическая устойчивость, кА
|
12
|
2,9
|
2 ≥ 2,9
|
Автомат АЕ2020М
Линия 2:
|
ПоказательКаталожная величинаРасчетная величинаУсловия выбора
|
|
|
|
|
Номинальное напряжение, кВ
|
0.66
|
0.38
|
0.66 ≥ 0.38
|
|
Номинальные ток, А
|
63
|
31,23
|
63 ≥ 31,23
|
|
Динамическая устойчивость, кА
|
12
|
3,09
|
2 ≥ 3,09
|
Автомат АЕ2040М
Линия 3:
|
ПоказательКаталожная величинаРасчетная величинаУсловия выбора
|
|
|
|
|
Номинальное напряжение, кВ
|
0.66
|
0.38
|
0.66 ≥ 0.38
|
|
Номинальные ток, А
|
63
|
47,566
|
63 ≥ 47,566
|
|
Динамическая устойчивость, кА
|
12
|
1,4
|
2 ≥ 1,4
|
Автомат АЕ2040М
Линия 4:
|
ПоказательКаталожная величинаРасчетная величинаУсловия выбора
|
|
|
|
|
Номинальное напряжение, кВ
|
0.66
|
0.38
|
0.66 ≥ 0.38
|
|
Номинальные ток, А
|
100
|
83,66
|
100 ≥ 83,66
|
|
Динамическая устойчивость, кА
|
2
|
0,4
|
2 ≥ 0,4
|
Автомат АЕ2050М
Линия 5:
|
ПоказательКаталожная величинаРасчетная величинаУсловия выбора
|
|
|
|
|
Номинальное напряжение, кВ
|
0.66
|
0.38
|
0.66 ≥ 0.38
|
|
Номинальные ток, А
|
63
|
61,64
|
63 ≥ 61,64
|
|
Динамическая устойчивость, кА
|
12
|
2 ≥ 0,596
|
Автомат АЕ2040М
ТП -3
Линия 1:
|
ПоказательКаталожная величинаРасчетная величинаУсловия выбора
|
|
|
|
|
Номинальное напряжение, кВ
|
0.66
|
0.38
|
0.66 ≥ 0.38
|
|
Номинальные ток, А
|
63
|
27,07
|
63 ≥ 27,07
|
|
Динамическая устойчивость, кА
|
12
|
1,51
|
2 ≥ 1,51
|
Автомат АЕ2040М
Линия 2:
|
ПоказательКаталожная величинаРасчетная величинаУсловия выбора
|
|
|
|
|
Номинальное напряжение, кВ
|
0.66
|
0.38
|
0.66 ≥ 0.38
|
|
Номинальные ток, А
|
63
|
35,145
|
63 ≥ 35,145
|
|
Динамическая устойчивость, кА
|
12
|
0,39
|
2 ≥ 0,39
|
Автомат АЕ2040М
Линия 3:
|
ПоказательКаталожная величинаРасчетная величинаУсловия выбора
|
|
|
|
|
Номинальное напряжение, кВ
|
0.66
|
0.38
|
0.66 ≥ 0.38
|
|
Номинальные ток, А
|
63
|
54,76
|
63 ≥ 54,76
|
|
Динамическая устойчивость, кА
|
12
|
0,69
|
2 ≥ 0,69
|
Автомат АЕ2040М
Линия 4:
|
ПоказательКаталожная величинаРасчетная величинаУсловия выбора
|
|
|
|
|
Номинальное напряжение, кВ
|
0.66
|
0.38
|
0.66 ≥ 0.38
|
|
Номинальные ток, А
|
63
|
36,6
|
63 ≥ 36,67
|
|
Динамическая устойчивость, кА
|
12
|
0,584
|
2 ≥ 0,584
|
Автомат АЕ2040М
Линия 5:
|
ПоказательКаталожная величинаРасчетная величинаУсловия выбора
|
|
|
|
|
Номинальное напряжение, кВ
|
0.66
|
0.38
|
0.66 ≥ 0.38
|
|
Номинальные ток, А
|
63
|
47,566
|
63 ≥ 47,566
|
|
Динамическая устойчивость, кА
|
12
|
1,4
|
2 ≥ 1,4
|
СПИСОК ЛИТЕРАТУРЫ
1. Электроснабжение сельского хозяйства Будзко И.А., Зуль
Н.М. М.: Агропромиздат, 1990 г.
. Электроснабжение сельских населенных пунктов. Наумов
И.В., Василевич М.Р., Лукина Г.В. Иркутск: Типография ИрГСХА, 2000 г.
. ПУЭ 7
. Рычкова Л.П. Проектирование систем электрификации в
сельком хозяйстве: учебное пособие. - Иркутск.: ФГОУ ВПО ИрГСХА, 2010. - 150с.
. Электроснабжение сельского населенного пункта: Метод.
указания
. Э 45 /Сост. Н.П.Кочетков. - Ижевск: ИжГСХА, 2004. - 74
с.
. Ополева Г.Н. Схемы и подстанции электроснабжения:
Справочник: Учебное пособие. - М.: ФОРУМ: ИНФРА - М, 2006. - 408с.