Цепь с распределенными параметрами
Цель работы: экспериментальное исследование
распределения напряжения и тока вдоль однородной линии при различных режимах
работы.
Рисунок 1 - Схема электрической цепи
Частота
15 кГц.
Длина линии l=10 км. R =
48 Ом.
Входное напряжение
=5 В.
В режиме короткого замыкания(КЗ)UR
=3,7 В. .
Погонные параметры линии:
0,25
,
0,09
.
Волновое сопротивлениеf=
=
Ом.
Коэффициент фазы
=
рад/км.
Длина волны
=
=14,055км.
Четвертьволновая линия:
км;
=
_рад/км; 
=
5274 Гц.
Таблица 1 - Экспериментальные данные
|
,
км012345678910
|
|
|
|
|
|
|
|
|
|
|
|
|
,
В4,23,82,40,20,42,844,33,92,50,3
|
|
|
|
|
|
|
|
|
|
|
|
|
,
В01,333,63,52,71,10,11,93,13,8
|
|
|
|
|
|
|
|
|
|
|
|
|
,
В22,12,22,1222,32,42,42,42,3
|
|
|
|
|
|
|
|
|
|
|
|
|
,
В54,94,74,443,42,72,110,10
|
|
|
|
|
|
|
|
|
|
|
|
Проведём расчет зависимости
действующих значений напряжения в линии от координаты
для каждого
режима по данным таблицы 1.
1. Режим
холостого хода.
2. Режим
короткого замыкания.
;
;
Ток
определяется по схеме замещения
линии (рис.2):
Рисунок 2 - Схема замещения линии
;
3. Натуральный режим (режим согласованной
нагрузки)
3. Режим
холостого хода четвертьволновой линии
Таблица 2 - Результаты эксперимента
и расчета
|
,
км012345678910
|
|
|
|
|
|
|
|
|
|
|
|
|
Расчет
,
В07,31313,18916,47416,52113,3227,5050,2137,1213,05516,424
|
|
|
|
|
|
|
|
|
|
|
|
|
Расчет
,
В4,23,792,630,960,912,593,764,23,812,671,01
|
|
|
|
|
|
|
|
|
|
|
|
|
Эксперимент
,
В4,23,82,40,20,42,844,33,92,50,3
|
|
|
|
|
|
|
|
|
|
|
|
|
Расчет
,
В22222222222
|
|
|
|
|
|
|
|
|
|
|
|
|
Эксперимент ,
В22,12,22,1222,32,42,42,42,3
|
|
|
|
|
|
|
|
|
|
|
|
|
Расчет
,
В54,512,632,131,083,084,4854,543,180,06
|
|
|
|
|
|
|
|
|
|
|
|
|
Эксперимент ,
В54,94,74,443,42,72,110,10
|
|
|
|
|
|
|
|
|
|
|
|
Рисунок 3 - Графики расчетных функций напряжения
Ответы на контрольные вопросы.
) При какой длине линии необходимо учитывать ее
распределенные параметры R, L, C, G?
При длине линии, соизмеримой с длиной волны, λ
) Дать определения R0, L0, C0, G0.
Погонные параметры цепи:
R0 - активное сопротивление,
;-
Индуктивность,
;
С0 - емкость,
; - активная
проводимость утечки,
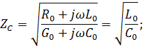
) Как определяются ZС и γ?
- волновое сопротивление;
=
- коэффициент распространения
волны,
где α -
коэффициент затухания волны в линии; β - коэффициент фазы;
- угловая
частота.
) Как определяются ZС и γ для линии
без потерь?
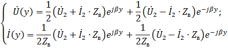
) Записать уравнения для напряжения
и тока
в
зависимости от расстояния
от конца
линии без потерь.
6) Записать соотношения для
определения
при:
холостом ходе;
коротком замыкании;
согласованной нагрузке.
- при холостом ходе:
;
- при коротком замыкании:
;
напряжение
ток функция
- при согласованной нагрузке
(натуральный режим):
;
.