Расчет электрической цепи постоянного тока и напряжения

  • Вид работы:
    Курсовая работа (т)
  • Предмет:
    Физика
  • Язык:
    Русский
    ,
    Формат файла:
    MS Word
    261,42 Кб
  • Опубликовано:
    2013-02-07
Вы можете узнать стоимость помощи в написании студенческой работы.
Помощь в написании работы, которую точно примут!

Расчет электрической цепи постоянного тока и напряжения

Содержание

Введение

1. Формулировка задачи

2. Общие сведения об электрических цепях и их элементах

. Законы Кирхгофа

.1 Первый закон Кирхгофа

.2 Второй закон Кирхгофа

.3 Решение по первому и второму законам Кирхгофа

. Метод контурных токов

.1 Расчет методом контурных токов

. Метод узловых потенциалов

.1 Расчет методом узловых потенциалов

. Определение токов в ветвях методом контурных токов и составление баланса мощностей

. Определение показаний вольтметра

. Построение в масштабе потенциальной диаграммы для внешнего контура

Заключение

Список используемых источников

Введение


Значение самостоятельной работы студентов всё более возрастает, что предполагает развитие творческих способностей студентов, переход от комплексного к индивидуальному обучению с учетом потребностей и возможностей обучающихся. Самостоятельное изучение тем из курса "Электротехника, электроника и схемотехника" позволяет развить своё мышление, проявить свои творческие способности при выполнении тех или иных задач и пополнить свои знания в данной предметной области.

Цель курсовой работы - получение и закрепление навыков в решении задач на нахождение тока и напряжения в электрической цепи, определения показаний приборов, расчет баланса мощностей электрической цепи, правильная работа со справочным материалом.

В процессе выполнения курсовой работы необходимо проанализировать схему электрической цепи постоянного тока. В полном объёме изучить её работу и определить показания приборов, а также рассмотреть различные методы определения токов, напряжений и узловых потенциалов. Проверить на практике законы Ома, законы Кирхгофа, баланс мощностей.

контурный ток напряжение электрический

1. Формулировка задачи


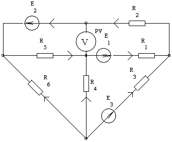
Согласно своему варианту было получено задание, представляющее собой схему электрической цепи, показанную на рисунке 1.

Необходимо выполнить:

) составить систему уравнений, необходимую для определения токов

по первому и второму законам Кирхгофа;

) найти токи в ветвях, пользуясь методами:

а) контурных токов;

б) узловых потенциалов;

) рассчитать любым способом токи в ветвях с исходными параметрами:

E1=21 В; E2=4 В; E3=10 В; R1=5 Ом; R2=7 Ом; R3=2 Ом; R4=8 Ом; R5=1 Ом; R6=1 Ом и составить баланс мощностей;

) определить показание вольтметра;

) построить в масштабе потенциальную диаграмму для внешнего контура.

Рисунок 1- Схема электрическая принципиальная расчетной цепи

2. Общие сведения об электрических цепях и их элементах


Как известно, направленное движение носителей электрических зарядов называется электрическим током. Для получения направленного непрерывного движения носителей электрических зарядов необходимо создать электрическую цепь, состоящую из источников и приемников электрической энергии, соединенных между собой проводниками.

Таким образом, электрическая цепь представляет собой совокупность устройств, обеспечивающих генерирование, передачу и использование электрической энергии.

Отдельные устройства, составляющие электрическую цепь, называют элементами электрической цепи. Элементы электрической цепи, генерирующие электрическую энергию, называют источниками электрической энергии (или источниками энергии, источниками питания, просто источниками), а элементы, потребляющие электроэнергию, - приемниками электрической энергии (или приемниками, потребителями). С помощью источников различные виды энергии преобразуются в электрическую энергию. Например, в машинных генераторах в электрическую энергию преобразуют механическую энергию, в гальванических элементах и аккумуляторах - химическую энергию, в термогенераторах - тепловую энергию, в фотоэлементах - энергию излучения и т. д. Приемники, наоборот, преобразуют электрическую энергию в другие виды энергии, а именно; электродвигатели - в механическую, электронагревательные устройства - в тепловую, лампы - в световую, аккумуляторы - в химическую и т. д.

Наряду с источниками, приемниками и соединительными проводами в реальных электрических цепях содержится ряд вспомогательных элементов: коммутационная аппаратура, служащая для включения и отключения отдельных участков цепи, электроизмерительные приборы, защитные устройства, а также преобразующие устройства в виде трансформаторов, выпрямителей и инверторов, которые позволяют рационально передавать электроэнергию на дальние расстояния и распределять ее между потребителями. Свойства каждого элемента электрической цепи характеризуются параметрами. Свойство элемента поглощать энергию из электрической цепи и преобразовывать ее в другие виды энергии (тепловую, световую) характеризует параметр сопротивлевние R. Свойство элемента, состоящее в возникновении собственного магнитного поля при прохождении через элемент электрического тока, характеризует параметр индуктивность L. Свойство элемента накапливать заряды характеризует параметр емкость С. Реальные элементы цепи в общем случае обладают всеми тремя параметрами: R, L, С. В некоторых случаях каким-либо параметром элемента можно пренебречь. Так, катушку индуктивности на схеме замещения можно представить в виде элемента, обладающего индуктивностью L (пренебрегая емкостью С и сопротивлением R). Элементы цепи, характеризуемые только одним параметром, называют идеальными [1].

Следует помнить, что распределенные параметры на схемах изображают в виде сосредоточенных сопротивлений, индуктивностей, емкостей. Электрические цепи могут быть неразветвленными или разветвленными, с одним или несколькими источниками питания, линейными или нелинейными, постоянного или переменного тока.

Важнейшей задачей анализа и расчета электрических цепей является определение (нахождение) токов, напряжений и мощностей отдельных ее участков. Часто возникает задача, когда для получения требуемого распределения токов, напряжений и мощностей нужно определить параметры цепи или ее отдельных элементов.

В электрических цепях постоянного тока получение, передача и преобразование электрической энергии в приемниках происходит при неизменных во времени токах и напряжениях, вследствие чего магнитные и электрические поля электроприемников также постоянны во времени. Следовательно, в цепях постоянного тока не возникают ЭДС самоиндукции и токи смещения в диэлектриках, окружающих проводники.

Так как причиной возникновения напряжения и тока в электрической цепи является ЭДС источника питания, то от характера изменения ЭДС зависит и закономерность изменения тока и напряжения в электрической цепи. Например, в цепях постоянного тока ЭДС источников неизменна, поэтому напряжения и токи в таких цепях также неизменны. Основной единицей ЭДС, напряжения и потенциала в Международной системе единиц (СИ) является вольт (В). Вольт есть напряжение между концами проводника, в котором при перемещении положительного заряда в 1 кулон (Кл) совершается работа в 1 джоуль (Дж).

За положительное направление ЭДС принимают направление действия сторонних сил на положительный заряд, то есть направление от зажима с меньшим потенциалом к зажиму с большим потенциалом. За положительное направление напряжения принимают направление в сторону понижения потенциала в электрической цепи, то есть направление от точки с большим потенциалом к точке с меньшим потенциалом.

Реальный элемент электрической цепи, основной характеристикой которого является параметр сопротивление R, называется резистором.

Резистор - это специальное устройство, вводимое в электрическую цепь для регулирования тока и напряжения [2].

Основной единицей сопротивления в СИ является ом (Ом), однако часто используют и производные единицы: килом - 1 кОм = 103 Ом, мегаом - 1 МОм = 106 Ом.

За единицу количества электричества в 1 Кл принимают заряд, пересекающий за 1 с сечение проводника с постоянным током в 1 А.

При анализе и расчете электрических цепей источники питания заменяют эквивалентными идеальными источниками, которые, в свою очередь, подразделяют на идеальные источники ЭДС и идеальные источники тока.

Идеальный источник ЭДС представляет собой активный элемент с двумя выводами, напряжение на котором не зависит от сопротивления внешней цепи, то есть не зависит от тока, проходящего через источник. Изображение идеального источника ЭДС приведено на рисунке 1а. Предполагается, что внутри такого источника пассивные элементы (r, L, C) отсутствуют, и поэтому протекание тока через него не вызывает в нем падение напряжения. Внутреннее сопротивление идеального источника ЭДС равно нулю.

Электрическая схема замещения источника ЭДС изображена на рисунке 1.

Рисунок 1 - Схема электрическая замещения источника ЭДС

В отличие от пассивных элементов, где ток протекает от большего потенциала к меньшему, в источнике ЭДС этот процесс обратный вследствие действия внутренних сил источника. Работа, затрачиваемая на перемещение заряда от вывода "-" к выводу "+" и отнесенная к величине этого заряда, называется электродвижущей силой источника, и обозначатся в общем случае как e, а постоянная ЭДС, как Е. Соответственно, напряжение на выводах источника ЭДС равно u = e, то есть, положительное направление напряжения противоположно положительному направлению ЭДС.

Идеальных источников ЭДС в природе нет. Нет такого источника, короткое замыкание (соединение выводов проводником с сопротивлением, равным нулю) которого приводит к бесконечно большим токам. В любом источнике существует внутреннее сопротивление, падение напряжения на котором при коротком замыкании уравновешивает ЭДС источника, поэтому ток короткого замыкания имеет конечную величину.

Источник ЭДС конечной мощности изображается идеальным источником ЭДС и последовательно включенным пассивным элементом, параметры которого подбираются такими, чтобы отобразить реальные процессы на выводах источника.

3. Законы Кирхгофа

 

.1 Первый закон Кирхгофа


Определения:

Ветвью электрической цепи называется участок, состоящий из последовательно включенных источников ЭДС и приемником с одним и тем же током.

Узлом называется место или точка соединения трех и более ветвей.

Контур - замкнутый путь, проходящий по нескольким ветвям, при этом каждый узел в рассматриваемом контуре встречается не более одного раза.

Первый закон Кирхгофа применяется к узлам и формулируется следующим образом: алгебраическая сумма токов, сходящихся в узле электрической цепи, равна нулю:


Иными словами, сколько тока втекает в узел, столько из него и вытекает. Данный закон следует из закона сохранения заряда. Если цепь содержит у узлов, то она описывается у - 1 уравнениями токов. Этот закон может применяться и для других физических явлений (к примеру, водяные трубы), где есть закон сохранения величины и поток этой величины [3].

Устанавливать знаки для входящих и исходящих токов можно произвольно, но обычно придерживаются правила знаков.

Правило знаков: токи, входящие в узел, берутся со знаком "+", а выходящие из узла - со знаком "-".

3.2 Второй закон Кирхгофа


Второй закон Кирхгофа применяется к контурам и формулируется следующим образом: алгебраическая сумма падений напряжений по любому замкнутому контуру цепи равна алгебраической сумме ЭДС, действующих вдоль этого же контура. Если в контуре нет ЭДС, то суммарное падение напряжений равно нулю.

Для постоянных напряжений:


Для переменных напряжений:


Иными словами, при обходе цепи по контуру, потенциал, изменяясь, возвращается к исходному значению. Если цепь содержит m ветвей, из которых содержат источники тока ветви в количестве mi, то она описывается m-mi- (у - 1) уравнениями напряжений. Частным случаем второго правила для цепи, состоящей из одного контура, является закон Ома для этой цепи.

Рисунок 2 - Схема электрическая принципиальная расчетной цепи

В итоге на схеме, рисунок 2, остаётся четыре узла, так как узел есть точка цепи, в которой сходятся не менее трех ветвей. Если в месте пересечения двух линий на электрической схеме поставлена точка, то в этом месте есть электрическое соединение двух линий, в противном случае его нет. Узел, в котором сходятся две ветви, одна из которых является продолжением другой, называют устранимым или вырожденным узлом.

Рассчитываю количество уравнений по первому и второму закону Кирхгофа.

у = 5 - число узлов;

в = 6 - число ветвей;

вит = 0 - число ветвей с источником тока.

Количество уравнений по первому закону Кирхгофа n1 = у −1 = 4 Количество уравнений по второму закону Кирхгофа n2 = в − вит −(у − 1) = 4

Согласно первому заданию составляю системы уравнений по первому и второму законам Кирхгофа. По 1-му закону Кирхгофа для (у-1) узлов схемы, с учетом токов от источников тока, где y - число узлов схемы. Уравнение для последнего узла не составляют, т.к. оно совпало бы с уравнением, полученным при суммировании уже составленных уравнений для предыдущих узлов (т.е. линейно-независимых уравнений - (y-1)). При составлении уравнений следуют правилу: если ток выходит из узла, то его записывают со знаком "-", если входит - то со знаком "+".

Уравнения по первому закону Кирхгофа:

1)       I1 + I2- I3 = 0 (по 1 точке)

)         -I1 - I4 + I5 = 0 (по 2 точке)

)         I3 - I4 - I6 = 0 (по 3 точке)

) -I2 - I5 - I6 = 0 (по 4 точке)

Для составления уравнений по второму закону Кирхгофа, используется нарисованная схема, показанная на рисунке 3.

Рисунок 3 - Схема электрическая принципиальная расчетной цепи

Уравнения по второму закону Кирхгофа:

I.        I1R1 + I2R2 + I3R3 = E3 + E2+ E1

II.      -I1R1 - I4R4 + I5R5 = E1.  I3R3 + I4R4 + I6R6 = E3

IV.     -I2R2 - I5R5 - I6R6 = E2

4. Метод контурных токов

Метод основан на введении промежуточной неизвестной величины - контурного тока и использовании 2 закона Кирхгофа.

Контурный ток - собственный ток каждого независимого контура.

Реальный ток в ветвях определяется как алгебраическая сумма соответствующих контурных токов. Число неизвестных в этом методе равно числу уравнений, которые необходимо было бы составить для схемы по второму закону Кирхгофа, то есть числу независимых контуров [(m - mi) - (у - 1)].

Для каждого независимого контура (ячейки) составляют расчетное контурное уравнение согласно правилу: левая часть равна сумме произведений контурного тока на собственное сопротивление этого контура, взятое со знаком плюс, и контурных токов прилегающих контуров на сопротивления смежных ветвей, взятых со знаком минус: правая часть равна алгебраической сумме ЭДС этого контура - контурной ЭДС.

Пусть электрическая цепь содержит n контуров (независимых). Согласно II закону Кирхгофа получаем следующую систему из n линейных уравнений:


При этом следует считать , если условные положительные направления контурных токов в одной ветви контуров K и m совпадают, и , если они противоположны.


где D1 D2 Dn - дополнение

D - определитель системы.


Расчёт установившегося режима в цепи переменного тока комплексным методом выполняется в следующей последовательности:

Составляется электрическая схема, на которой все источники и пассивные элементы представляются комплексными величинами соответственно напряжений, токов, сопротивлений (проводимостей). Выбирается условно положительное направление для комплексных значений напряжений, ЭДС и токов. Согласно уравнениям электрических цепей (Ома, Кирхгофа) в комплексной форме составляются алгебраические уравнения для рассчитываемой цепи. Уравнения цепи разрешаются относительно искомых переменных (токов, напряжений) в их комплексной форме.

4.1 Расчет методом контурных токов


Согласно второму заданию находятся токи в ветвях, методом контурных токов, используется схема, показанная на рисунке 4.

Рисунок 4 - Схема электрическая принципиальная расчетной цепи

Выбирается положительное направление обхода контуров по часовой стрелке.

I11*(R2+R1+R5) - I22R5 - I33R1 = E1+ E2

I22*(R4+R5+R6) - I11R5 - I33R4= 0

I33*(R1+R3+R4) - I11R1 - I22R4 = E1-E3

В скобках записываются сопротивления, входящие в контур, они всегда складываются.

 

5. Метод узловых потенциалов


Метод узловых потенциалов - метод расчета электрических цепей путем записи системы линейных алгебраических уравнений, в которой неизвестными являются потенциалы в узлах цепи. В результате применения метода определяются потенциалы во всех узлах цепи, а также, если будут известны потенциалы узлов схемы, то ток в любой ветви можно найти по закону Ома для участка цепи, содержащего ЭДС так как любая точка схемы может быть заземлена без изменения токораспределения в ней. В этом случае число неизвестных составляет (y-1) (то есть равно числу независимых уравнений по первому закону Кирхгофа).

Рисунок 5 - Схема электрическая принципиальная расчетной цепи

Данный метод позволяет уменьшить количество уравнений системы до числа Ki=Ny-1, где Ny - число узлов электрической схемы. Прежде, чем перейти к изложению самого метода, напомним, что в случае, когда между двумя узлами имеются несколько параллельных ветвей с источниками ЭДС (или без них), их можно привести к одной эквивалентной схеме.

 

.1 Расчет методом узловых потенциалов


Расставляют произвольное положительное направление искомых токов в ветвях и обозначают их на схеме, рисунок 6.

Рисунок 6 - Схема электрическая принципиальная расчетной цепи

Рассчитывают количество уравнений по первому и второму закону Кирхгофа.

Количество уравнений по первому закону Кирхгофа:

= у −1 = 4

Количество уравнений по второму закону Кирхгофа:

= в −вит −(у −1) = (6 - 0) - (5 - 1) = 4

Принимают потенциал одного из узлов равным 0.

Составляют уравнение для каждого из оставшихся (y-1) узлов согласно правилам:

)         левая часть уравнения равна сумме произведений потенциала рассматриваемого узла на сумму проводимостей всех ветвей, сходящихся в этом узле, взятое со знаком плюс, и потенциалов остальных узлов на сумму проводимостей ветвей, соединяющих эти узлы с рассматриваемым узлом, взятые со знаком минус;

)         правая часть уравнения равна алгебраической сумме произведений ЭДС ветвей, сходящихся в рассматриваемом узле на проводимости этих ветвей (так называемый узловой ток рассматриваемого узла). При этом произведения берутся со знаком плюс, если ЭДС направлены к рассматриваемому узлу.

Примечание

При наличии ветвей с источником тока необходимо учесть следующее:

)         проводимость ветви с источником тока равна нулю;

)         в правую часть уравнения добавляется алгебраическая сумма токов от источников тока в ветвях, сходящихся в рассматриваемом узле. При этом ток источника тока берется со знаком плюс, если он направлен к рассматриваемому узлу.

Уравнения:

j0·G00+j1·G01+j2·G02+j3·G03=I00·G10+j1·G11+j2·G12+j3·G13=I11·G20+j1·G21+j2·G22+j3·G23=I22·G30+j1·G31+j2·G32+j3·G33=I33

G00=1/R1+1/R2+1/R3=0,842857=-1/R1=-0,2=-1/R3=-0,5=-1/R2=-0,142857=1/R1+1/R4+1/R5=1,325=-1/R4=-0,125=-1/R5=-1=1/R3+1/R4+1/R6=1,625=-1/R6=-1=1/R2+1/R5+1/R6=2,14286=E1/R1-E2/R2+E3/R3=8,62857

I11=-E1/R1=-4,2=-E3/R3=-5=E2/R2=0,571429

0,84286j0-0,2j1-0,5j2-0,14286j3=8,6286

,2j0+1,325j1-0,125j2-j3=-4,2

,14286j0-j1-j2+2,1429j3=0,57143=8,7273=-4,1818=-6,25=0=0=(j0-j1-E1)/R1=-1,61818=(j0-j3+E2)/R2=1,81818=(j2-j0+E3)/R3=-2,48864=(j2-j1)/R4=-0,258523=(j1-j3)/R5=-4,18182

I6=(j2-j3)/R6=-6,25

Для схем, содержащих несколько ветвей только с идеальными источниками ЭДС (без пассивных элементов), имеющих общий узел, этот общий узел принимают за опорный узел (заземляют). Тогда потенциалы узлов, соединенных этими идеальными источниками ЭДС без пассивных элементов с опорным узлом, равны ЭДС этих идеальных источников (-E, если идеальный источник ЭДС направлен от опорного узла и +E в противном случае).

Определяем величину и направление токов в ветвях по закону Ома для участка цепи, содержащего ЭДС.

Закон Ома для участка цепи:

Сила тока в участке цепи прямо пропорциональна напряжению и обратно пропорциональна электрическому сопротивлению данного участка цепи: I=U/R.- величина тока, протекающего через участок цепи;- величина приложенного напряжения к участку цепи;- величина сопротивления рассматриваемого участка цепи.

Далее рассматривается каждая ветвь электрической схемы в отдельности.

Рисунок 7 - Схема электрической ветви для расчета тока I6

1)       Составляю уравнение по ветке, показанной на рисунке 8:


Так как φ0 равно нулю, следовательно, его можно сократить.

)         Составляю уравнение по ветке, показанной на рисунке 8.

Рисунок 8 - Схема электрической ветви для расчета тока I3

Уравнение для I3:


Так как E3 направлено по направлению тока в цепи, то записывается в формуле со знаком плюс.

)         Составляю уравнение по ветке, показанной на рисунке 9.

Рисунок 9- Схема электрической ветви для расчета тока I2

Уравнение для I2:


Так как E2 направлено по направлению тока в цепи, то записывается в формуле со знаком плюс.

)         Составляю уравнение по ветке, показанной на рисунке 10.

Рисунок 10 - Схема электрической ветви для расчета тока I4

Уравнение для I4:


Так как I4 направлено в том же направлении, как и U21,то напряжение записывается в формуле со знаком плюс.

)         Составляю уравнение по ветке, показанной на рисунке 11.

Рисунок 11 - Схема электрической ветви для расчета тока I1

Уравнение для I1:


Так как E1 направлено по направлению тока в цепи, то записывается в формуле со знаком плюс.

)         Составляю уравнение по ветке, показанной на рисунке 12.

Рисунок 12 - Схема электрической ветви для расчета тока I5

Уравнение для I5:


Так как φ0 равно нулю, то φ0 сокращается.

 

6. Определение токов в ветвях методом контурных токов и составление баланса мощностей


Согласно своему варианту даны следующие исходные параметры:

E1=21 В; E2=4 В; E3=10 В; R1=5 Ом; R2=7 Ом; R3=2 Ом; R4=8 Ом; R5=1 Ом; R6=1 Ом.

Используется схема, показанная на рисунке 13.

Рисунок 13 - Схема электрическая принципиальная расчетной цепи

Выбирается положительное направление обхода контуров по часовой стрелке.

Решение:

11*(R4+R3+R2) - I33R4 - I22R2 = E3+E222*(R1+R5+R2) - I33R5 - I11R2 = E1-E2

I33*(R4+R5+R6) - I11R4 - I22R5 = 011* (12+2+4) - I3312 - I224 = 6+1222*(4,2+6+4) - I336 - I114 = 48-12

I33*(12+6+2) - I1112 - I226= 0

18 I11-4 I22-12 I33=18

I11+14,2 I22-6 I33=36

I11-6 I22+20 I33=0

I1=(j0-j1-E1)/R1=-1,61818=(j0-j3+E2)/R2=1,81818=(j2-j0+E3)/R3=-2,48864=(j2-j1)/R4=-0,258523=(j1-j3)/R5=-4,18182=(j2-j3)/R6=-6,25

Составляем баланс мощностей:

I21·R1+I22·R2+I23·R3+I24·R4+I25·R5+I26·R6=13,0926+23,1405+12,3866+0,534672+17,4876+39,0625=105,7041·I1+E2·I2+E3·I3=33,9818+7,27273+-24,8864=16,3682ист= Pпот

Все расчеты в электрических цепях проверяют балансом мощностей. Баланс основан на законе сохранения и превращения энергии: сколько энергии выработали источники, столько же ее нагрузки должны потребить. Баланс мощностей показал, что расчёты произведены верно.

 

7. Определение показаний вольтметра


Электрическая схема принципиальной расчетной цепи   на рисунке 14.

Рисунок 14 - Схема электрическая принципиальная расчетной цепи

U24 = φ2 - φ4

φ2 - рассчитал в методе узловых потенциалов.

φ4 = φ0 - φ1

Принимаем потенциал нулевой точки равной нулю.

8. Построение в масштабе потенциальной диаграммы для внешнего контура


Узел 0 принимаем за опорный, его потенциал считаем равным нулю. Найдем потенциалы других точек схемы, показанной на рисунке 15 по отношению к опорному узлу.

Рисунок 15 - Схема электрическая принципиальная расчетной цепи

φ1 = φ0-I6R6

φ3 = φ2 - I3R3

φ4 = φ0+ E1

 

Заключение


В процессе выполненных заданий я проанализировал схему электрической цепи постоянного тока, в полном объёме изучил её работу, определил показания приборов, изучил различные методы определения токов и напряжений, узловых потенциалов, проверил на практике законы Ома, законы Кирхгофа, баланс мощностей, метод узловых потенциалов, контурных токов.

Таким образом, были получены и закреплены навыки в решении задач на нахождение тока и напряжения в электрической цепи, определения показаний приборов, правильная работа со справочным материалом.

 

Список используемых источников


)        Касаткин А.С. Основы электротехники. М.: Высшая школа, 1985г. - 304 с.

)        Соколов В.Б. Электротехника и основы электротехники. М.: Высшая школа, 1985г.-128с.

)        Репьев Ю.Г. Электротехника и электроника. Методические указания и контрольные задания. К.: КубГТУ, 1999г.-56с.

)        Борисов Ю.М., Зорин Ю.Н., Липатов Д.Н. Электротехника. М.: Энергоавтомиздат, 1985г.-480с.

Похожие работы на - Расчет электрической цепи постоянного тока и напряжения

 

Не нашли материал для своей работы?
Поможем написать уникальную работу
Без плагиата!
Без нейросетей!