Исследование сигналов
Министерство образования и науки
Российской Федерации
ФГБОУ ВПО «Московский государственный
машиностроительный университет»
Чебоксарский политехнический институт
(филиал)
Кафедра Информационных технологий и
программирования
КУРСОВОЙ ПРОЕКТ
по дисциплине: Цифровая обработка
сигналов
на тему: Исследование сигналов
Вариант 6
Выполнил: студент _4_ курса
специальности 23010, заочного отделения
Кольцов Максим Леонидович
учебный шифр 611396
Проверила: профессор: Галанина Н.А.
Чебоксары 2014
Аннотация
Курсовая работа на тему: «Исследование сигналов».
Целью курсовой работы является исследование сигналов разных типов.
Для изучения математических аспектов обработки сигналов используются
пакеты расширения (чаще всего под именем Signal Processing) систем компьютерной
математики MATLAB, Mathcad, Mathematica, Maple и др.
1. Теоретические сведения
.1 Сигналы и их характеристики
Сигналом называется некоторое волновое явление. Сигнал, несущий в себе
некоторую информацию и только её, называется полезным сигналом. Сигнал, не
несущий в себе никакой полезной информации, называется шумом или помехой.
Обычно сигнал, поступающий на обработку, представляет собой суперпозицию, то
есть сумму, полезного сигнала и шума, такой сигнал называется зашумленным
сигналом.
Физическая природа сигнала может быть весьма различной. Очень часто это
электрическое напряжение, несколько реже - ток, возможны и др. физические
величины.
С математической точки зрения сигнал представляет зависимость одной
величины от другой. Чаще всего это зависимость от времени.
Классификация
сигналов
Различают детерминированные (его значение в любой момент времени можно
определить точно) и случайные сигналы (случайная величина с некоторой
вероятностью)
Следующий
важный класс сигналов - сигналы с интегрируемым квадратом
или сигналы с ограниченной энергией.
Еще
один признак классификации сигналов, существенно влияющий на методы их анализа,
- периодичность. Для периодического сигнала
при любом
t, (n - произвольное число, T - период).
Любой периодический сигнал имеет бесконечную энергию.
Следующий
класс - сигналы конечной длительности (финитные сигналы). Они отличны от нуля,
но только на ограниченном промежутке времени.
Перейдем
к более узким, так называемым тестовым сигналам, применяющимся для анализа
сигналов и систем:
) гармонические
колебания
, А - амплитуда, ω - частота, φ
- начальная фаза. Применяется для анализа
характеристик цепей.
Есть еще 2 важные в радиотехнике функции, тоже относящиеся к тестовым:
2) дельта-функция,
или функция Дирака
- бесконечный узкий импульс с бесконечной амплитудой,
расположенной при «нулевом» значении аргумента функции.
Sимпульса =1,
. Сигнал
невозможно
реализовать физически.
важен для теоретического анализа сигналов и систем.
На графиках изображается жирной стрелкой, высота которой пропорциональна
множителю, стоящему перед дельта-функцией. Одно из важных свойств
- фильтрующее свойство: если
присутствует под интегралом в качестве множителя, то
результат интегрирования будет равен значению остального подынтегрального
выражения в той точке, где сосредочен дельта-импульс.
)
функция единичного скачка
, или функция Хевисайда, или функция включения. Она
равна нулю
для отрицательных значений аргумента и равна
для положительных. При нуле функцию считают либо неопределенной,
либо равной ½.
Эту функцию удобно использовать при
создании математических выражений для сигналов конечной длительности. (С
помощью
можно любую кусочно-заданную зависимость записать в
виде единого математического выражения).
1.2
Линейная дискретная обработка
«Дискретная
система» и «дискретный фильтр» - это одно и то же, однако понятие «фильтр»,
сознательно или подсознательно, довольно тесно связывается с системами, которые
одни частоты пропускают, а другие задерживают. Такой подход может создать
ложное представление о назначении и возможностях дискретных линейных систем,
которые способны выполнять и иные задачи, нежели выделение из сигнала
определенной полосы частот.
Дискретный
фильтр - это произвольная система обработки дискретного сигнала, обладающая
свойствами линейности и стационарности.
Любой
фильтр обладает определенной частотной характеристикой. Чтобы она была
нетривиальной, то есть коэффициент передачи фильтра на разных частотах был бы
различным, выходной сигнал фильтра y(k) должен
зависеть от нескольких отсчетов входного сигнала x(k).
Таким образом, дискретный фильтр обладает памятью.
Чтобы
обеспечить линейность и стационарность, производимые фильтром математические
операции должны ограничиваться сложением и умножением на константы.
Помимо
выходных отсчетов мы можем использовать для вычислений и ранее рассчитанные
значения выходного сигнала.
В
общем случае дискретный фильтр суммирует (с весовыми коэффициентами) некоторое
количество входных отсчетов (включая последний) и некоторое количество
предыдущих выходных отсчетов:
Данная
формула называется алгоритмом дискретной фильтрации. Если по-иному
сгруппировать слагаемые, чтобы с одной стороны от знака равенства были только
входные отсчеты, а с другой - только выходные, подучим форму записи, называемую
разностным уравнением:
Текущий
отчет отклика
определяется текущим и предшествующим значениями входной
последовательности
. Выходная последовательность фильтра должна
обязательно зависеть хотя бы от одного отсчета входной последовательности.
Кроме того, текущий отчет отклика
может
зависеть и от своих же отсчетов, задержанных на определенное число временных
отсчетов, т.е. предшествующих отсчетов отклика. В зависимости от наличия или
отсутствия этой зависимости фильтры делятся на:
рекурсивные
( БИХ- фильтры);
нерекурсивные
(КИХ- фильтры).
Для
рекурсивных фильтров соотношение между входной последовательностью
и откликом фильтра
записывается
следующим образом:
В
нерекурсивных фильтрах связь между входной последовательностью и откликом имеет
вид:
Разностное
уравнение для рекурсивных фильтров, показывающее связь между входной
последовательностью
и откликом фильтра
,
записывается следующим образом:
То есть передаточная характеристика равна:
, где
Корни числителя называются нулями фильтра, корни знаменателя - полюсами.
2. Задание
1. Построить графики сигналов согласно варианту. Для периодических
сигналов отобразить два периода.
2. Найти энергию и среднюю мощность сигналов. Для периодических
сигналов выполнить усреднение по периоду.
. Построить графики мгновенной мощности сигналов.
. Найти корреляционные функции сигналов и построить их графики.
. Найти взаимную корреляционную функцию сигналов и построить ее
график. Сделать выводы о взаимной коррелированности сигналов.
сигнал мощность
дискретный
Таблица 1
|
№
|
1 сигнал
|
2 сигнал
|
|
|
|
|
Единичный импульс , τ = 2cПоследовательность
прямоугольных импульсов с амплитудой А=2, длительностью t=0.3с и периодом повторения Т=1с
|
|
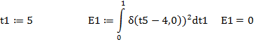
Энергия и средняя мощность сигналов
Рассчитаем энергию и среднюю мощность для первого сигнала:
Рассчитаем энергию и среднюю мощность для второго сигнала:
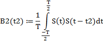
Корелляция двух сигналов
Рисунок 1. График корелляции двух сигналов.
Нахождение взаимной корелляции двух сигналов
Рисунок 1.1 График взаимной корелляции двух сигналов.
Заключение
В данной курсовой работе мы исследовали два разных сигнала. Нашли
энергетические и корреляционные характеристики сигналов. В решение задач
использовались математические пакеты как Matlab и Excel.
Сделали вывод о взаимной корреляции двух сигналов.
Список литературы
1. Сергиенко А.Б. Цифровая обработка сигналов (2002)
. Марчук В.И. Методы цифровой обработки сигналов для решения
прикладных задач (2012)
. Солонина А.И. Основы цифровой обработки сигналов (2-е
издание, 2005)
Приложение А (графики сигналов)
График для первого сигнала:
Рисунок 1.2 График первого сигнала.
График для второго сигнала:
Рисунок 1.3 График второго сигнала
Приложение В (графики мгновенной мощности)
Построим график для первого сигнала:
p1(t1):= 
Рисунок
1.4. график мгновенной мощности первого сигнала.
Построим
график для второго сигнала:
Рисунок 1.5. График мгновенной мощности второго сигнала