Исследование характеристики сигналов с амплитудно-фазовой манипуляцией
Реферат
Мкртумян М.А. ИССЛЕДОВАНИЕ ХАРАКТЕРИСТИК
СИГНАЛОВ С АМПЛИТУДНО-ФАЗОВОЙ МАНИПУЛЯЦИЕЙ. Дипломная работа: 52 с., 21 рис.,
17 источников.
ХАРАКТЕРИСТИКИ СИГНАЛОВ С АМПЛИТУДНО-ФАЗОВОЙ
МАНИПУЛЯЦИЕЙ, СИГНАЛЬНЫЕ СОЗВЕЗДИЯ С АФМ, СИГНАЛЬНЫЕ СОЗВЕЗДИЯ ПРИ QAM
Задачами исследования в данной дипломной работе
были анализ методов математического описания сигналов с АФМ, а также
исследование спектральных характеристик сигналов с АФМ. Необходимо было
проанализировать устройства формирования и обработки сигналов с АФМ и
рассчитать помехоустойчивость когерентного приема сигналов с АФМ. Разработка
программы расчета СПМ и вероятности ошибочного приема сигнала с АФМ.
Целью данной дипломной работы был анализ методов
математического описания сигналов с АФМ, формирования и обработки, а также
спектральных характеристик и характеристик приема сигналов с АФМ.
В результате выполнения дипломной работы на
основе доступных библиографических и электронных ресурсов проанализированы и
исследованы характеристики сигналов с амплитудно-фазовой манипуляцией.
Рассчитана помехоустойчивость когерентного приема сигналов с АФМ.
Содержание
Обозначения
и сокращения
Введение
.
Временные
характеристики сигналов с АФМ
.1
Основные понятия и определения систем передачи дискретных сообщений
.2
Математическое описание сигналов АФМ
.3
Сигнальные созвездия при АФМ
.4
Квадратурная АМ (КАМ)
.
Спектральные характеристики сигналов с АФМ
.1
Спектральная плотность мощности (СПМ) сигналов с АФМ
.
Формирование и обработка сигналов с АФМ
.1
Модулятор сигналов с АФМ
.2
Демодуляторы сигналов с АФМ
.3
Помехоустойчивость когерентного приема сигналов с АФМ
4.
Описание программы расчета СПМ сигналов с КАМ
Заключение
Список
использованных источников
Приложение
А. Расчет вероятности ошибки при когерентном приеме сигналов с КАМ
Обозначения
и сокращения
|
QAM
|
квадратурная
амплитудная манипуляция
|
|
|
амплитуда
|
|
MPSK
|
многократная
фазовая манипуляция
|
|
|
фаза
|
|
|
энергия
|
|
|
мощность
|
|
|
минимальное
эвклидово расстояние
|
|
|
средняя
мощность
|
|
|
средняя
энергия
|
|
|
средняя
амплитуда
|
|
АФМ
|
амплитудно-фазовая
манипуляция
|
|
ISI
|
межсимвольные
помехи
|
Введение
Амплитудная манипуляция - изменение сигнала, при
котором скачкообразно меняется амплитуда несущего колебания. Телеграфные сигналы
<#"669080.files/image009.jpg">
Рисунок 1.
Тракт передачи дискретных сообщений
Дискретные сообщения, подлежащие передачи от ИС
средствами документальной электросвязи (рис.1), - телеграммы, данные, другие
документы - являются буквенно-цифровыми. Они состоят из определенного, заранее
известного общего количества знаков, т.е. букв, цифр, знаков препинания,
арифметических символов. Набор знаков называют алфавитом (А), а их общее
количество - объемом алфавита. Объем алфавита выбирается исходя из того, какие
именно сообщения будут передаваться. Пусть объем алфавита (число символов
алфавита) К, а вероятность выдачи символа (1≤ i ≤K) p(аi), где
p(аi)- вероятность выдачи символа алфавита.
К числу основных информационных характеристик
сообщений относятся: количество информации в отдельных сообщениях, энтропия
<E:TSaN_BookGlossary.htm> и производительность источника сообщений
<E:TSaN_BookGlossary.htm>.
Количество информации в сообщении (символе)
измеряется в битах. Бит - единичный элемент кодовой комбинации с основанием
кода, равным двум.
Чем меньше вероятность появления того или иного
сообщения, тем большее количество информации мы извлекаем при его получении.
Если в памяти источника имеется два независимых сообщения (а1 и а2) и первое из
них выдается с вероятностью P(а1) =1, то сообщение аi не несет информации, ибо
оно заранее известно получателю.
Было предложено определять количество
информации, которое приходится на одно сообщение ai, выражением. Среднее
количество информации Н (А), которое приходится на одно сообщение, поступающее
от источника без памяти, получим, применив операцию усреднения по всему объему
алфавита
;
Бит/с (1)
Выражение (2) известно как формула Шеннона для
энтропии источника дискретных сообщений. Энтропия
<E:TSaN_BookGlossary.htm> - мера неопределенности в поведении источника
дискретных сообщений. Энтропия равна нулю, если с вероятностью единица
источником выдается всегда одно и то же сообщение (в этом случае
неопределенность в поведении источника сообщений отсутствует). Энтропия максимальна,
если символы источника появляются независимо и с одинаковой вероятностью.
Отсюда 1 бит - это количество информации, которое переносит один символ
источника дискретных сообщений в том случае, когда алфавит источника состоит из
двух равновероятных символов.
Если в предыдущем примере взять р (а1) ≠ р
(а2), то Н (А) < 1 бит/сообщ.
Среднее количество информации, выдаваемое
источником в единицу времени, называют производительностью источника:
,
[бит/с],
(2)
где Т - среднее время, отводимое на передачу
одного символа (сообщения).
Для каналов передачи дискретных сообщений вводят
аналогичную характеристику - скорость передачи информации
<E:TSaN_BookGlossary.htm> по каналу R. Она определяется количеством бит,
передаваемых в секунду. R=B*k/n, бит.\сек., где В-скорость модуляции,
k-количество информационных элементов в кодовой комбинации, общее количество
единичных элементов в кодовой комбинации.
Сообщение, поступающее от источника,
преобразуется в сигнал, который является его переносчиком в системах
электросвязи. Система электросвязи обеспечивает доставку сигнала из одной точки
пространства в другую с заданными качественными показателями. Схема передачи
сообщений, в состав которой входят преобразователи сообщение - сигнал -
сообщение, приведена на рис. <E:TSaN_Book09%22%20l%20>2.
Рисунок 2.
Принцип передачи сообщений
Виды сигналов. Различают четыре вида сигналов:
непрерывный непрерывного времени, непрерывный дискретного времени, дискретный
непрерывного времени и дискретный дискретного времени. [5]
Непрерывные сигналы непрерывного времени
называют сокращенно непрерывными (аналоговыми) сигналами. Они могут изменяться
в произвольные моменты, принимая любые значения из непрерывного множества
возможных значений (рис. 3). К таким сигналам относится и известная всем
синусоида.

Непрерывные сигналы дискретного времени могут
принимать произвольные значения, но изменяться только в определенные, наперед
заданные (дискретные) моменты t1, t2, t3,... (рис.
<E:TSaN_Book09%22%20l%20>4).
Рисунок 4.
Непрерывные сигналы дискретного времени
Дискретные сигналы непрерывного времени
отличаются тем, что они могут изменяться в произвольные моменты, но их величины
принимают только разрешенные (дискретные) значения (рис. 5).

Рисунок 5. Дискретный сигнал
непрерывного времени
Дискретные сигналы дискретного времени (рис. 6)
в дискретные моменты времени могут принимать только разрешенные (дискретные)
значения.
Рисунок 6.
Дискретный сигнал
Сигналы, формируемые на выходе преобразователя
дискретного сообщения в сигнал, как правило, являются по информационному
параметру дискретными, то есть описываются функцией дискретного времени и
конечным множеством возможных значений.
В технике передачи данных такие сигналы называют
цифровыми сигналами данных (ЦСД). Рассмотрим далее основные определения, относящиеся
к ЦСД.
Параметр сигнала данных, изменение которого
отображает изменение сообщения, называется представляющим (информационным)
параметром сигнала данных <E:TSaN_BookGlossary.htm>.
Рисунок 7 - Цифровой сигнал данных
На рисунке <E:TSaN_Book09%22%20l%20>7
изображен ЦСД, представляющим параметром которого является амплитуда, а
множество возможных значений представляющего параметра равно двум (U=U1 и U=0).
Часть цифрового сигнала данных, отличающаяся от
остальных частей значением одного из своих представляющих параметров,
называется элементом ЦСД. <E:TSaN_BookGlossary.htm>
Фиксируемое значение состояния представляющего
параметра сигнала называется значащей позицией. Момент, в который происходит
смена значащей позиции сигнала, называется значащим моментом (ЗМ). Интервал
времени между двумя соседними значащими моментами сигнала называется значащим
интервалом времени.
Минимальный интервал времени, которому равны
значащие интервалы времени сигнала, называется единичным интервалом (интервалы
а-б, б-в и другие на рис. 7 <E:TSaN_Book09%22%20l%20>).
Элемент сигнала, имеющий длительность, равную
единичному интервалу <E:TSaN_BookGlossary.htm> времени, называется
единичным элементом (е. э.) или единичный элемент (τ0)
это наименьшее расстояние между двумя значащими моментами (ЗМ) в пределах
которого параметры сигнала не меняются.
Термин единичный элемент
<E:TSaN_BookGlossary.htm> является одним из основных в технике передачи
данных. В телеграфии ему соответствует термин элементарная посылка (ГОСТ
22515-77).
Различают изохронные и анизохронные сигналы
данных. Для изохронного сигнала любой значащий интервал времени равен
единичному интервалу или их целому числу. Анизохронными называются сигналы,
элементы которых могут иметь любую длительность, но не менее чем tмин. Другой
особенностью анизохронных сигналов является то, что анизохронные сигналы могут
отстоять друг от друга на произвольном расстоянии [2].
Структурная схема СПДС. Понятие о дискретном
канале (ДК), канале передачи данных, тракте передачи данных:
Рисунок 8.
Структурная схема системы передачи дискретных сообщений
Символы от источника дискретных сообщений
поступают в виде кодовых комбинаций, которые состоят из единичных элементов.
Сообщение, поступающее от источника сообщений, в ряде случаев содержит
избыточность. Это обусловлено тем, что символы, входящие в сообщение, могут
быть статистически связаны. Это позволяет часть сообщения не передавать,
восстанавливая его на приеме по известной статистической связи. Эффективность
использования дискретного канала увеличивается. Задачу устранения избыточности
на передаче СПДС выполняет кодер источника. Существует множество процедур
сжатия, отличающихся эффективностью и сложностью реализации - например,
протокол V42bis, используемый в модемах.
С целью повышения верности передачи используется
избыточное кодирование, позволяющее на приеме обнаруживать или даже исправлять
ошибки. Процесс кодирования осуществляется в кодере канала. На приеме декодер
канала осуществляет обратное преобразование, восстанавливая исходную
комбинацию. Кодер и декодер называют устройством защиты от ошибок (УЗО).
С целью согласования кодера и декодера канала с
непрерывным каналом связи (среда передачи непрерывных сигналов) на приеме и
передаче используются устройства преобразования сигналов (УПС). В частном
случае это модулятор и демодулятор.
Совместно с каналом связи УПС образуют
дискретный канал - канал, предназначенный для передачи только дискретных
сигналов.
Различают синхронные и асинхронные дискретные
каналы.
В синхронных каналах ввод каждого единичного
элемента производится в строго определенные моменты времени и предназначены для
передачи изохронных сигналов (любой значащий интервал времени равен единичному
интервалу).
В асинхронных каналах можно передавать как
изохронные, так и анизохронные сигналы (элементы могут иметь любую
длительность). Эти каналы кодонезависимые.
Дискретный канал в совокупности с кодером и
декодером канала (УЗО) называется расширенным дискретным каналом или каналом
передачи данных.
Дискретный канал характеризуется скоростью
модуляции (скоростью телеграфирования), скоростью передачи информации, и
пропускной способностью, достоверностью и надежностью.
Скорость модуляции (телеграфирования) (В) -
число единичных элементов, которое можно передать в секунду по каналу В=1/τ0
Бод. , где τ0 - единичный
элемент кодовой комбинации.
Бод - единица измерения числа переданных
двоичных информационных и служебных символов в единицу времени. Так, если по
некоторому асинхронному каналу в среднем передаётся один асинхронный символ в
секунду в формате 8N1 (8 информационных двоичных символов, один стартовый, один
стоповый, символ контроля паритета отсутствует, - всего 10 двоичных символов),
то можно утверждать, что скорость передачи информации в этом канале равна в
среднем 8 бит/с или 10 Бод.
В технике передачи данных вместо термина
скорость телеграфирования используют термин скорость модуляции. Скорость
модуляции (В) и скорость передачи информации связаны соотношением R≥B. I,
где I - количество бит информации, которое “несет на себе” один единичный
элемент.
Другой характеристикой дискретного канала
является скоростью передачи информации (R)
бит\с.,
где В-скорость модуляции, k-количество информационных элементов в кодовой
комбинации, n- общее количество элементов в кодовой комбинации.
Бит/с - единица скорости передачи информации по
каналу , представленной в виде последовательности двоичных символов. Обычно под
этим подразумевается, что все передаваемые биты имеют одинаковую длительность и
период повторения. Максимально возможное значение скорости передачи по каналу
при заданных условиях называется пропускной способностью канала (C), измеряемой
в битах в секунду (бит/с).
;
бит/сек , (3)
где Рош- вероятность возникновения ошибки.
Важной характеристикой дискретного канала
является достоверность передачи единичных элементов и определяет степень
соответствия принятых знаков по отношению к переданным и представляет собой
отношений
и всегда стремится
к 1. Вероятность ошибки это величина обратная достоверности, определяется через
коэффициент ошибок по элементам, то есть отношением числа ошибочно принятых
элементов (nош) к общему числу переданных (nпер) за интервал анализа.
При определении эффективной скорости передачи
информации учитывается, что не все комбинации, поступающие на вход канала ПД,
выдаются получателю. Часть комбинаций может быть забракована. Кроме того,
учитывается, что не все элементы, передаваемые в канал, несут информацию.
Надежность - это способность аппаратуры
выполнять свои функции в течении определенного промежутка времени. Надежность
оценивается следующими показателями:
время наработки на отказ (Тн), т.е. интервал
времени между двумя соседними отказами;
время восстановления (Тв),т.е.это время
необходимое для устранения неисправности;
коэффициент готовности.
В системах ПДС дискретные сигналы могут
передаваться последовательно или параллельно. При последовательной передаче
единичные элементы следуют в канале поочередно. При параллельной передаче
единичные элементы объединяются в группы, состоящие из нескольких единичных
элементов. Элементы, составляющие группу, передаются одновременно (обычно в
разной полосе частот) по отдельным каналам. При заданной скорости передачи
последовательные системы (одночастотные) отличаются рядом преимуществ по
сравнению с параллельными (многочастотными): лучшее использование мощности
передатчика, некритичность к нелинейности канала, простота в реализации и т.п.
Различают синхронную и асинхронную передачу
дискретных сигналов. При синхронной передаче дискретного сигнала - его ЗМ
находятся в требуемом постоянном фазовом соотношении со значащими моментами
любого другого передаваемого сигнала. При асинхронной передаче дискретного
сигнала его ЗМ могут находиться в любых фазовых соотношениях со значащими
моментами любого другого сигнала.
В соответствии со структурной схемой (рис.
<E:TSaN_Book09%22%20l%20>8) на приемной стороне сначала в УПС
определяется вид элемента (“0” или “1”), затем из элементов формируются кодовые
комбинации, декодирование которых позволяет определить вид заданного символа.
Такой метод приема в теории передачи дискретных сообщений получил название
поэлементного. Рассматривая в общем виде задачу определения вида переданного
элемента, ее можно свести к задаче сравнения принятого сигнала с эталоном. Если
речь идет о двоичных сигналах, то эталонов достаточно иметь два (или даже
один).
Кодовая комбинация представляет собой составной
сигнал, состоящий из элементарных двоичных сигналов. Этот составной сигнал
можно обрабатывать в целом, сравнивая принятый составной сигнал со всеми
эталонами. Однако в данном случае число эталонов будет чрезвычайно велико -
равно числу возможных кодовых комбинаций. Поэтому, хотя прием в целом и
обеспечивает большую верность, однако, вследствие сложности реализации он нашел
ограниченное применение.
Для обеспечения правильного приема переданных
символов в технике передачи дискретных сообщений приходится решать различные
задачи синхронизации.
Синхронизация есть процесс установления и
поддержания определенных временных соотношений между двумя или несколькими
процессами. В технике связи, в частности, часто приходится решать задачу
установления и поддержания определенных фазовых соотношений между сигналами,
вырабатываемыми на передаче и приеме.
Так на приеме для правильного воспроизведения
элементов кодовых комбинаций необходимо уметь правильно отделить один элемент
от другого. Для этого могут использоваться различные методы поэлементной
синхронизации. В соответствии с синхронизация переданного и принятого
дискретных сигналов, при которой устанавливаются и поддерживаются требуемые
временные соотношения между значащими моментами переданных и принятых элементов
этих сигналов, называется поэлементной.
Для правильного приема символов недостаточно
обеспечить правильный прием единичных элементов.
Как видно в вариантах а, б, в, мы имеем разные
кодовые комбинации и, если предположить, что в варианте а принятые кодовые
комбинации совпадают с переданными, то в варианте б все они будут приняты с
ошибкой. Задача правильного отделения одной кодовой комбинации от другой
решается методами групповой синхронизации, которая позволяет устанавливать и
поддерживать требуемые фазовые соотношения между ЗМ начал переданных и принятых
групп единичных элементов. Заметим, что здесь под группами понимаются
последовательности элементов, составляющих кодовую комбинацию.
Простейшим методом, позволяющим на приеме
отделить одну кодовую комбинацию от другой, является введение в состав этой
комбинации специальных элементов в начале комбинации и в ее конце. Элемент,
стоящий в начале кодовой комбинации, называется стартовым, а в конце -
стоповым. Передаваемая таким образом последовательность называется
стартстопной. Стартстопный метод передачи относится к асинхронным, так как
передачу любой кодовой комбинации можно начать в любой момент времени. [6]
Временные характеристики сигналов с АФМ
Математическое описание сигналов АФМ
В схемах МАМ сигналы имеют одинаковую фазу, но
различные амплитуды. В схемах же MPSK сигналы имеют одинаковую амплитуду, но
различные фазы. Естественно, следующим шагом развития является рассмотрение
возможности использования модуляции и амплитуды и фазы в схеме (QAM) [13]. То
есть:

( 4)
где
-
амплитуда, и
фаза i-го сигнала
в m-ичном наборе сигнала. Формирование импульса обычно используется, чтобы
улучшить спектр и с целью контроля за интерсимвольной интерференцией (ISI) в
QAM. При формировании импульса QAM сигнал будет иметь вид:
(
5)
где p(t) является непрерывным импульсом заданной
формы, определенным на интервале [О, T]. Выражение (5) может быть записано
следующим образом:
(6)
где
(7)
синфазная компонента сигнала;
(8)
квадратурная компонента сигнала;
(9)
Как и в случае MPSK, сигнал QAM может быть
выражен как линейная комбинация двух ортонормированных функций Выражение (6)
может быть написано следующим образом [14]:
(
10)
где
(11)
(12)
(13)
(14)
где
-
энергия импульса p(t) на интервале [0, Т], определяемая выражением
=
p2 (t) dt;
- нормирующий
множитель, нормализующий по энергии основные функции
(t)
и
(t).
Форма основного импульса обычно подбирается
таким образом, чтобы обеспечить уменьшение влияния межсимвольной интерференции.
Фактически, формирование импульса обычно достигается посредством использования
фильтрующих схем. В частотной области процедура формирования может быть
представлено в виде
. Во временной
области это выражение принимает эквивалентный вид
где
-
импульсные функции фильтра передатчика, канала, и фильтра приемника
соответственно. При этом
являются
частотными передаточными функциями. Наиболее распространенным выбором формы
функции P(f) так называемая функция приподнятого косинуса, для которой
импульсная реакция p(t) имеет нулевые значения при осуществлении выборки за
исключением случая, когда T = 0. Таким образом, p(t) позволяет исключить
влияние межсимвольной интерференции. Однако отклик приподнятого косинуса
представляет собой физически нереализуемую (неказуальную) функцию, которая
может быть реализована только приближенно.
Достаточно просто проверить, что основные
функции
(t)
и
(t)
фактически являются ортонормальными при условии f
>>1/t.
В этом случае, когда f
>>1/t , p(t)
имеет очень медленно изменяющуюся огибающую. Вследствие нормировки сигналов
можно записать
=

при условии, что
.
Аналогичные соотношения выполняются и для
второго сигнала. В силу того, что эти сигналы являются фактически
ортогональными, можно записать
=

при
условии, что
.
Таким образом, для большинства практических
случаев, функции
и
ортонормальны.
В большинстве практических случаев, когда не используются специальные методы
борьбы с межсимвольной интерференцией, форма импульса полагается прямоугольной,
когда p (t) = 1 в интервале [0, T], и выполняется равенство
=
T [16]. В этом случае условие ортогональности сигналов выполняется точно.
Энергия сигнала определяется выражением и
составляет:
(15)
и средняя энергия сигнала:
,
(16)
а его средняя мощность:
(17)
и средняя амплитуда:
(18)
Как и в случае MPSK, геометрическое
представление в фазовой плоскости, которое обычно называется сигнальным
созвездием, имеет достаточно простой вид. Это наиболее удобное представление
QAM сигнала.
Горизонтальная ось созвездия представляет собой
сигнал
,
а вертикальная ось -
. При этом QAM
сигнал представляется в виде точки (или конца вектора), с координатами
.
Эквивалентным образом эти два оси могут быть просто выбраны в качестве
и
.
Тогда координаты сигнала будут составлять
.
Эти две оси иногда просто обозначаются как синфазная I-ось и квадратурная
Q-ось, и иногда даже подробно не обозначаются. На рисунке 1 представлены примеры
трех достаточно распространенных типов созвездий QAM [11].
Первый тип созвездия (а) Второй тип созвездия
(б)
Третий тип созвездия (в)
Рисунок 9 - Примеры трех видов QAM созвездий
Созвездие QAM имеет следующие свойства. В
случае, когда осями координат являются сигналы
и
,
каждый сигнал может быть представлен в виде вектора:
.
Амплитуда вектора составляет:
(19)
и связана с амплитудой сигнала соотношением
(20)
Средняя энергия составляет
(21)
Фаза определяется как угол между
соответствующими векторами:
(22)
Расстояние между сигналами определяется
выражением
.
(23)
при
1.3
Сигнальные созвездия при АФМ
Впервые схема QAM была предложена К. Р. Кэном в
1960 году. Он просто расширял фазовую модуляцию до мультиамплитудной фазовой
модуляции. Таким образом, образовалась больше чем одна амплитуда, связанная с
допустимой фазой. В созвездии постоянное число сигнальных точек (или концов
вектора) равномерно распределено на каждом из N кругов, где N - число уровней
амплитуды (рисунок 9). Такой тип созвездия называется созвездием типа I. В
созвездии типа I точки на внутреннем кольце являются самыми близкими, и поэтому
соответствующие сигналы являются и самыми уязвимыми для ошибок. Чтобы
преодолеть эту проблему, несколько месяцев спустя Хэнкоком и Лаки было
предложено созвездие типа II, представленное на рисунке 9 (а).
В созвездии типа II точки сигнала все еще
находятся на кругах, но количество точек на внутреннем круге меньше чем
количество точек на внешнем круге, делая расстояние между двумя смежными точками
на внешнем круге приблизительно равными. Созвездие типа III представляет собой
квадрат. Это созвездие QAM, показанно на рисунке 9 (в). Созвездие типа III было
предложено Кампопиано и Глэйзером в 1962. Их анализ показал, что система типа
III ненамного лучше, чем система типа II, но ее реализация будет значительно
более простой, чем по типу I и II. Это и является причиной того, что созвездие
типа III получило наибольшее распространение в технических приложениях.
Существуют также два других созвездия, изображенные на рисунке 10, которые
рассматриваются в литературе. Круглые созвездия обозначены как
,
где
-
количество точек сигнала на внутренних кругах, n2 - количество точек сигнала на
следующем круге и так далее. На рисунке 12 (б) изображены созвездия типа III и
II [12].
При выборе типа созвездия основное внимание
должно быть уделено следующим моментам:
) Минимальное Евклидово расстояние
между
векторами (сигнальными точками). Оно должно быть как можно больше в рамках
других ограничений, так как оно определяет величину вероятности ошибки при
приеме одного символа [7].
) Разности фаз между векторами. Они должны быть
как можно больше в рамках других ограничений, так как это определяет
устойчивость колебания фазы и, следовательно, устойчивость схемы фазовой
синхронизации на приемной стороне.
) Средняя мощность вектора. Она должна быть как
можно меньше в рамках других ограничений.
) Отношение пиковой мощности сигнала к средней
мощности каждого вектора (пик-фактор), который характеризует степень
нелинейного искажения сигналов, вызванного ограничением амплитуды в усилителе
мощности. Эта величина должна быть как можно ближе к единице, насколько
возможно в соответствии с другими ограничениями.
) Сложность реализации.
) Другие свойства, такие как устойчивость к
воздействию замираний сигналов на пути распространения от передатчика к
приемнику.
Результаты исследований показали, что квадратное
созвездие (тип III) является наиболее подходящим выбором в каналах с
постоянными параметрами и аддитивным белым гауссовским шумом (AWGN). Такое
созвездие может быть легко сформировано как два сигнала MAM модулированные
двумя квадратичными несущими. Оно может быть легко демодулировано, для
получения двух квадратурных составляющих. Каждая квадратурная составляющая
может демодулироваться индивидуально, с последующим сравнением с набором
пороговых значений. Некоторые другие созвездия позволяют достичь меньшего
значения вероятности ошибочного приема символа, но при этом имеют более сложную
техническую реализацию. Поэтому в дальнейшем в основном рассматривается именно это
созвездие. Созвездие типа I не оптимально с точки зрения достижения наибольшей
велисчины
при ограничении
средней мощности векторов. Однако оно позволяет использовать методы
дифференциального кодирования и декодирования, которые широко используются в
системах передачи. Это делает его пригодным для каналов с замираниями [8].
Рисунок 10.
Различные созвездия QAM
1.4
Квадратурная АМ (QAM)
В случае m-ичных сигналов QAM, выражения (3) и
(7) могут быть представлены в следующей форме:
,
(24)
где
-
энергия сигнала с самой низкой амплитудой, и
-
пара независимых целых чисел, которые определяют местоположение точки сигнала в
созвездии. Минимальные значения
равны (±1,±1).
Пара
является
элементом матриц, размера
:
(-L+1,L-1)
(-L+3,L-1)
…
(L-1,L-1)
=
(-L+1,L-3)
(-L+3,
-L-3) …
(L-1,L-3)
(25)
(-L+1, -L+1)
(-L+3, -L+1) (L-1,L+1),
где


Например, для 16-QAM на рисунке 3, где L = 4,
матрица будет иметь следующий вид:
(-3,3) (-1,3) (1,3) (3,3)
(-3,1) (-1,1) (1,1) (3,1)
=
(-3,-1)
(-1,-1)
(1,-1)
(3,-1)
(26)
В случае, когда
,
но не может быть представлено как
,
L не является целым числом и непосредственное использование матрицы (25) для
определения сигнала QAM не представляется возможным. Однако, в этом случае
возможно использование измененной матрицы, для того чтобы определить QAM.
Например, 32-QAM может быть определена как матрица 6 x 6 без этих четырех
элементов на этих четырех углах.
Созвездия удобно записать в виде
.
Для QAM с созвездием квадратного типа сигнальные векторы составляют:
Рисунок 11.
Квадратные созвездия QAM
Амплитуда вектора:
Сигнал QAM в (24) может также быть записан как
где амплитуда составляет
,
а фаза
,
то есть угол между соответствующими векторами,
.
Расстояние между любой парой векторов
определяется по формуле
.
Средняя энергия составляет
,
а средняя мощность равна
,
где для строго квадратной (L x L) QAM,
(27)
Таким образом
,
(28)
где
-
мощность самого маленького сигнала
2.
Спектральные характеристики сигналов с АФМ
2.1
Спектральная плотность мощности
В наиболее общем случае, сигнал QAM можно
определить соотношением [9]
.
Рассматривая всю ось времени, сигнал QAM можно
записать в виде
(29)
Комплексная огибающая сигнала QAM составляет:
,где (30)
где квадратурные составляющие определяются
формулами
,
.
Их можно рассматривать как случайные величины,
имеющие равные вероятности для каждого значения. В случае симметричного
созвездия их математические ожидания равны нулю. Дисперсии зависят от формы
созвездия и определяются выражениями
,
.
В соответствии с формулой (21), средняя мощность
сигнала равна:
.
Согласно [9] в рассматриваемом случае выражение
для спектральной плотности мощности (СПМ) сигнала можно представить в следующем
виде:
,
где
и
представляют
собой СПМ синфазной и квадратурной составляющей соответственно. Данная формула
имеет наиболее общий вид и может быть использована для анализа СПМ сигнала с
квадратурной модуляцией различных типов. Для схем QAM, когда
эта
формула дает:
(31)
Данное соотношение показывает, что форма СПМ QAM
полностью определяется формой низкочастотного импульса, и величина СПМ
полностью определяется величиной средней мощности (или средней амплитуды)
сигнала QAM. Стоит также отметить, что форма СПМ QAM не зависит от конкретного
вида созвездия. Другими словами, независимо от того, будет ли созвездие
квадратным, круглым или другим, форма СПМ будет неизменной до тех пор, пока не
изменится сигнал
, а амплитуда СПМ
будет также оставаться неизменной до тех пор, пока средняя мощность сигнала не
будет изменяться.[10]
В предположении, что сигнал
является
прямоугольным импульсом с единичной амплитудой, когда
,
его амплитудный спектр составляет
.
Поэтому
,
(32)
где
и
.
Это СПМ имеет такую же форму, как и СПМ MPSK. Отличие состоит только в величине
амплитуды. В случае MPSK, амплитуда СПМ зависит от амплитуды сигнала, потому
что есть только одна амплитуда сигнала. В случае QAM, величина СПМ зависит от
средней амплитуды сигнала. Таким образом, графики СПМ в случае MPSK, также
применимы к сигналам QAM до тех пор, пока используется средняя амплитуда QAM.
Например, для М-ичных квадратурных QAM, из (32) и (28) имеем:
(33)
3.
Формирование и обработка сигналов с АФМ
3.1
Модулятор сигналов с АФМ
Модулятор QAM почти идентичен MPSK так как оба
они имеют квадратурные схемы. Мы можем записать сигнал QAM следующим образом:
(34)
где
,
Схема модулятора непосредственно вытекает из
формулы (34), что показано на рисунке 14. Если формирование импульсов
необязательно, блок
может
отсутствовать. Последовательность бита данных разбивается на n записей n битов.
В результате получается M = 2n различных наборов данных. Каждый N-набор входных
битов воздействует на генератор уровней сигнала. Генератор вырабатывает сигналы
синфазного и квадратурного каналов, независимо формируя знаки и уровни сигналов
в горизонтальных и вертикальных координатах
соответственно.
Отображение из N-наборов QAM точки, как правило, кодируются кодом Грея для
того, чтобы минимизировать битовые ошибки. Для QAM с квадратным созвездием
кодирование кодом Грея приемлемо. Рисунок 15 иллюстрирует пример применения
кода Грея для квадратного 16-QAM созвездия. Для некоторых созвездий, такие как
круговые QAM с четырьмя точками по внутреннему кольцу и восемь на внешнем, это
невозможно.
Рисунок 12 - QAM модулятор
3.2
Демодуляторы сигналов с АФМ
Как и в случае обработки сигналов MPSK,
когерентная демодуляция QAM сигналов может быть реализована одним из
когерентных демодуляторов для М-ичных сигналов. Так как сигнал QAM имеет только
две базисные функции, простейший приемник может быть построен на базе двух
корреляторов. [11]
Принимаемый сигнал определяется вывражением:
,
где
-
полезный сигнал на входе приемника;
-
аддитивный белый гауссовский шум.
Для обнаружения сигнала QAM достаточной
статистикой является расстояние
(35)
есть независимые гауссовские случайные величины
со средними значениями
и
,
соответственно. Их дисперсия составляет
.
Пара
определяет
точку на плоскости созвездия QAM, представляющая полученный сигнал с шумом.
Демодулятор сравнивает расстояния от
до
всех пар
и
выбирает ближайшее.[12]
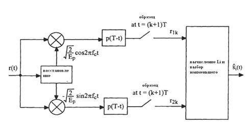
На рисунке 14 представлен демодулятор,
реализующий вышеприведенное правило, где индекс k обозначает, что обработка
сигнала осуществляется на k-том символьном периоде. Отметим, что амплитуда
опорных сигналов может быть любым значением, например
как
показано на рисунке, при условии, что координата
также
не будет изменена соответствующим образом. Интеграторы могут быть заменены
согласованными фильтрами, (Рисунок 15).
Рисунок 14 - Когерентный демодулятор для QAM
Рисунок 15.
Когерентный QAM модулятор, использующий согласованную фильтрацию.
Рисунок 16.
Когерентный демодулятор для QAM с квадратным созвездием и использованием
пороговых детекторов
Сигналы синфазного и квадратурного каналов
(I-канала и Q-канала) обрабатываются отдельно, а величины
поступают
на два мульти-пороговых детектора для получения уровней
и
,
и дальнейшего определения вида переданного сигнала
.
Это процесс также отображен на рисунке 8 [13].
3.3
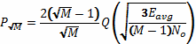
Помехоустойчивость когерентного приема сигналов с АФМ
Для квадратурного созвездия QAM с 
, где k четно,
QAM-созвездия эквивалентны двум MAM сигналам с квадратурными несущими, каждый
из которых имеет 
сигнальных точек.
Как было показано в предыдущем разделе, каждый сигнал MAM может быть
демодулирован отдельно. Решение о принятом символе QAM сигнала будет правильным
тогда, когда два MAM символа обнаружены правильно. Таким образом, вероятность
правильного обнаружения QAM символа равна.[14]

,
где

; (36)

- средняя величина
отношения сигнал-шум (SNR) на символ.
Вероятность ошибки на символ в квадратурной QAM
определяется выражением:

(37)
В случае, когда величина SNR достаточно велика,
можно приближенно считать,что

. (38)
Заметим, что формула (34) является точной для
квадратурной QAM с 
где k четное.
Когда k нечетно, нет эквивалентных 
-ичных AM систем.
Тем не менее, и в этом случае можно найти величину верхней границы для
вероятности ошибки. [15]



(39)
для любого 
, где 
среднее SNR на
бит. [16]
Чтобы получить вероятность ошибки символа,
заметим, что квадратурная QAM может быть представлена кодом Грея, когда
соседние символы отличаются только одним битом. При этом ошибка приема символа
приближенно вызвана ошибкой только одного бита, что как правило выполняется при
достаточно больших значениях SNR. В этом случае можно записать

(40)
На рисунке 13 представлены зависимости величины 
от отношения
сигнал-шум для сигналов с M=4 , 8 , 16 , 32 , 64 , 128, и 256, причем кривые
для M = 8,32, и 128 рассчитаны по формуле для верхней границы.[17]
Рисунок 17. Величины 
от отношения
сигнал-шум
4.
Описание
программы расчета СПМ сигналов с КАМ
сигнал дискретное сообщение
Программа составлена в среде MATLAB 7.10.0
(R2010a). Текст программы с подробными комментариями представлен в приложении.
Входными данными программы являются:
массив из четырех величин объема алфавита M
(кратности) сигнала с КАМ при
;
диапазон изменения нормированной частоты
и
число точек графика.
Программа расчета СПМ включает в себя следующие
фрагменты.
. Расчет односторонней СПМ
по
формуле
.
. Вывод графиков зависимостей СПМ
от
нормированной частоты
в линейном и
логарифмическом масштабе при различных величинах объема алфавита M.
Описание программы расчета вероятности ошибки
при когерентном приеме сигналов с КАМ
Программа составлена в среде MATLAB 7.10.0
(R2010a). Текст программы с подробными комментариями представлен в приложении.
Входными данными программы являются:
массив из четырех величин объема алфавита
(кратности)
сигнала с КАМ при n = 2, 4, 6, 8;
диапазон изменения отношения сигнал/шум
в
децибелах и число точек графика.
Программа расчета СПМ включает в себя следующие
фрагменты.
. Расчет вероятности ошибочного приема M-ичного
символа по формуле
,
где
;
- отношение
энергии
двоичного
символа к спектральной плотности мощности
аддитивного
белого гауссовского шума.
. Расчет вероятности ошибочного приема двоичного
символа по формуле
.
. Вывод графиков зависимостей вероятности ошибки
от
отношения сигнал/шум
.
Рисунок с результатами расчетов вставите по
тексту или здесь. Не забудьте указать номер рисунка
Заключение
Основные результаты дипломной работы состоят в
следующем:
Были исследованы временные характеристики
сигналов с АФМ, в частности изучено математическое описание сигналов с АФМ.
Были изучены все основные типы сигнальных созвездий при АФМ. Существуют 3 типа
созвездий и что самым эффективным является третий тип, так как ее выполнение
будет значительно более простым, чем по типу 1 и 2. Было также представлено
математическое описание сигналов АФМ. Была рассмотрена квадратурная АМ.
Были представлены и изучены спектральные
характеристики сигналов АФМ, рассмотрена спектральная плотность мощности при
АФМ.
Были изучены формирование и обработка сигналов с
АФМ. Модулятор и демодулятор сигналов с АФМ.
Разработана программа расчета СПМ вероятности
ошибки при когерентном приеме сигналов с АФМ в среде Matlab 2010
Рассчитаны помехоустойчивости когерентного
приема сигналов с АФМ.
Список
использованных источников:
1.
Акулиничев
Ю.П. Теория электрической связи: учебное пособие / Ю.П. Акулиничев. - СПб.:
Издательство «Лань», 2010. - 240 с.
2.
Биккенин
Р.Р. Теория электрической связи: Учеб. пособие для студ. высших учебных
заведений / Р.Р. Биккенин, М.Н. Чесноков. - М.: Издательский центр «Академия»,
2010. - 336 с.
4.
Беспроводные
технологии от последней мили до последнего дюйма / под. ред. М.С. Немировского,
О.А. Шорина. М.: Эко-Трендз, 2009. - 400 с.
5.
Бокуцци,
Дж. Обработка сигналов для беспроводной связи / Дж. Бокуцци. - М.: Техносфера,
2012. - 627 с.
6.
Волков,
Л.С. Системы цифровой радиосвязи: базовые методы и характеристики: Учеб. пособие
/ Л.С. Волков, М.С. Немировский, Ю.С. Шинаков. - М.: Эко-Трендз, 2005. - 392 с.
7.
Воробьев,
Л.В. Системы и сети передачи информации: Учеб. пособие для студ. высш. учеб.
заведений / Л.В. Воробьев, А.В. Давыдов, Л.П. Щербина. - М.: Издательский центр
«Академия», 2009. - 336 с.
8.
Деев,
В.В. Методы модуляции и кодирования в современных системах связи / В.В. Деев. -
СПб.: Наука, 2007. - 267 с.
9.
Журавлев,
В.И. Цифровая фазовая модуляция / В.И. Журавлев, А.Н. Руднев. - М.:
Радиотехника, 2012. - 208 с.
10.
Клюев,
Л.Л. Теория электрической связи; учебник / Л.Л. Клюев. - Минск:
Техноперспектива, 2008. - 423 с.
11.
Мартюшев,
Ю.Ю. Практика функционального цифрового моделирования в радиотехнике: Учебное
пособие для вузов / Ю.Ю. Мартюшев. - М.: Горячая линия - Телеком, 2012. - 188
с.
12.
Марченко,
А.Л. Основы преобразования информационных сигналов: Учебное пособие для вузов /
А.Л. Марченко, Е.А. Марченко. - М.: Горячая линия - Телеком, 2010. - 288 с.
13.
Прахов,
В.И. Спектры сигналов с цифровым кодированием / В.И. Прахов. - М.: Издательство
«Спутник+», 2011. - 452 с.
14.
Приходько,
А.И. Детерминированные сигналы: Учебное пособие для вузов / А.И. Приходько. -
М.: Горячая линия - Телеком, 2013. - 326 с.
15.
Шелухин,
О.И. Моделирование информационных систем: Учебное пособие для вузов. 2-е изд.,
перераб. и доп. / О.И. Шелухин. - М.: Горячая линия - Телеком, 2011. - 536 с.
16.
Ушаков,
П.А. Цепи и сигналы электросвязи: : Учебник для студ. учреждений сред. проф.
образования / П.А. Ушаков. - М.: Издательский центр «Академия», 2010. - 352 с.
17.
Ha, Tri T. Theory and design of digital
communication systems / Tri T. Ha. - N. Y.: Cambridge University Press, 2011. -
634 p.
Приложение
А
Текст программы расчета вероятности ошибки при
когерентном приеме сигналов с КАМ
%Расчет вероятности ошибки когерентного приема
сигналов с КАМ
%Нормировка по амплитудеall; close all;
%Размер шрифта=12;
%Толщина линий=1;
%Размеры графика=4; Bm=3; Wh=10; Ht=12.5;
%Параметры сигналов=[4;16;32;64];=log2(M);
%Параметры графика=51;=0;snrma=25;=(snrma-snrmi)/(ns-1);
%Расчет СПМk =
1:ns_db(k)=snrmi+(k-1)*ds;=10^(0.1*snr_db(k));
%КАМ-4:=(sqrt(M(1))-1)/sqrt(M(1))*erfc(sqrt(1.5*K(1)*snr/(M(1)-1)));
PS=2*PM-PM^2;(k)=PS/K(1);
%КАМ-16:=(sqrt(M(2))-1)/sqrt(M(2))*erfc(sqrt(1.5*K(2)*snr/(M(2)-1)));=2*PM-PM^2;(k)=PS/K(2);
%КАМ-32:=(sqrt(M(3))-1)/sqrt(M(3))*erfc(sqrt(1.5*K(3)*snr/(M(3)-1)));=2*PM-PM^2;(k)=PS/K(3);
%КАМ-64:=(sqrt(M(4))-1)/sqrt(M(4))*erfc(sqrt(1.5*K(4)*snr/(M(4)-1)));=2*PM-PM^2;(k)=PS/K(4);
end
%Построение графиков (логарифмическая шкала)
figure;=1.e-06;
ymax=1;on;(snr_db,y1,'k-');(snr_db,y2,'k--');(snr_db,y3,'k:');(snr_db,y4,'k-.');off;on;([ymin
ymax])
%Параметры графиков(gcf,'Color' , [1,1,1])
set(gcf,'Units','centimeters')(gcf,'Position',[Lt
Bm Wh Ht])
%Position = [left bottom width
height]
%Параметры
осей(gca,'YScale','log')(gca,'Units','centimeters')(gca,'FontName','Times
New Roman','FontSize',FS)(findobj('Type','line'),'Color',[0 0
0],'LineWidth',LW)(findobj('Type','text'),'FontName','Times New
Roman','FontSize',FS)
legend('КАМ-4','КАМ-16','КАМ-32','КАМ-64')('Вероятность
ошибки, {\itP_{b}}')('Отношение сигнал/шум, {\itP_{b}} /{\itN}_{0}, дБ')