Трифазні кола. Основні поняття і визначення

  • Вид работы:
    Курсовая работа (т)
  • Предмет:
    Физика
  • Язык:
    Украинский
    ,
    Формат файла:
    MS Word
    436,48 Кб
  • Опубликовано:
    2014-08-23
Вы можете узнать стоимость помощи в написании студенческой работы.
Помощь в написании работы, которую точно примут!

Трифазні кола. Основні поняття і визначення

Міністерство освіти і науки України

ТЕХНІЧНИЙ КОЛЕДЖ

ЛУЦЬКОГО НАЦІОНАЛЬНОГО ТЕХНІЧНОГО УНІВЕРСИТЕТУ










КУРСОВА РОБОТА

з навчальної дисципліни «Електричні апарати та машини електропобутової техніки»

на тему “Трифазні кола. Основні поняття і визначення”


Виконав: студент групи 31-ОРЕ

Гладунець В.Ю.

Перевірив:

к.ф. - м. н., Луньов С.В.


Луцьк - 2013

Зміст

Вступ

Розділ 1. Загальні відомості про трифазні системи

Розділ 2. З’єднання трьохфазних кіл електричного струму

.1 З’єднання зіркою при симетричному навантаженні

.2 З’єднання трикутником при симетричному навантаженні

.3 Переключення навантаження із зірки на трикутник

.4 Переваги трифазного струму

Розділ 3. Трифазні випрямлячі

Висновки

Література

ВСТУП

Актуальність дослідження. Сьогодні для створення систем електропостачання широко використовуються трифазні системи. Майже вся електрична енергія ,що її виробляє людство, створюється шляхом перетворення механічної енергії в електричну за допомогою трифазних генераторів на теплових та гідроелектростанціях і передається до споживачів за допомогою трифазних електричних мереж. Лише незначна частина електроенергії виробляється хімічними джерелами (головним чином акумуляторами), вітровими електростанціями та генераторами постійного струму (переважно у транспортних системах).

При створенні систем електропостачання перевага змінного струму над постійним полягала в наявності технічної можливості передачі електричної енергії за допомогою трансформаторів на велику відстань з малими втратами.

А серед можливих систем змінного струму трифазні системи перемогли двофазні та однофазні, перш за все з комерційних причин: вартість проводів лінії передачі трифазної системи виявилася значно нижчою. Крім того, трифазні двигуни та генератори за своїми техніко-економічними характеристиками є більш досконалими, ніж двофазні ич однофазні. Тому зараз найбільш масовим двигуном у промисловості є трифазні асинхронні двигуни, які потребують саме трифазного живлення.

Трифазну систему вперше розробив та впровадив наприкінці XIX ст. М.О. Доліво-Добровольський. Але все таки вважаємо за доцільне розкрити теоритичні аспекти та практичне застосування трифазних струмів.

Мета дослідження - розкрити основні характеристики трифазних струмів.

Мета дослідження передбачає розв’язання таких завдань:

–       Висвітлити основні ознаки та властивості трифазного струму;

–       Розглянути основні з’єднання у колах трифазного струму;

–       Розглянути види трифазних випрямлячів;

Обєктом дослідження є загальна електротехніка.

Предмет дослідження - трифазні струми.

Теоритичною та методологічною основою дослідження є праці вчених М. О. Доліво-Добровольського, Д. Стефановича, А. Русанова та ін.

Наукова новизна роботи забезпечена тим, що вона є новою спробою теоритичного дослідження трифазних струмів.

Практичне значення роботи полягає в тому, що матеріали, узагальнення та висновки ,які містяться в дослідженні можуть бути використані при підготовці лекційних курсів, спецкурсів і семінарів з електротехніки, а також у написанні дипломних, магістерських та курсових робіт.

Структура роботи відповідає меті та розв’язанню основних завдань дослідження. Відповідно до цього робота складається зі вступу, трьох розділів, висновків, списку використаних джерел.

РОЗДІЛ 1. ЗАГАЛЬНІ ВІДОМОСТІ ПРО ТРИФАЗНІ СИСТЕМИ

Багатофазна система електричних кіл являє собою сукупність електричних кіл, в яких діють синусоїдні е. р. с. однакової частоти, зсунуті відносно одна одної за фазою і створювані одним джерелом енергії. Відповідно до цього означення система з трьох кіл називається трифазною.

У трифазному генераторі, в якому є три самостійні обмотки, зсунуті відносно одна одної в просторі на 120°, утворюється трифазна симетрична система е. р. с. Схематично це показано на рис. 1.1 стосовно генератора з однією парою полюсів на статорі й обмотками на роторі. Проте слід зазначити, що в реальних генераторах обмотка змінного струму нерухома (розташована на статорі), а магнітні полюси обертаються (розташовані на роторі). Така конструкція генератора краща, а принцип його роботи не змінюється. Якщо кількість витків в обмотках однакова, то при обертанні ротора в усіх обмотках наводяться е. р. с. однакового значення. Початкові фази цих е. р. с. зсунуті відносно одна одної на 120° відповідно до просторового розташування обмоток.

Рис. 1.1. Схема трифазного генератора

Трифазна симетрична система е. р. с. - це сукупність трьох е. р. с., які мають однакову частоту й амплітуду, зсунутих за фазою відносно одна одної на кути 120°.

Ознакою несиметрії трифазної системи е. р. с. є нерівність амплітуд або нерівність кутів зсуву фаз між кожною парою е. р. с.

На рис. 1.1 обмотки. показано в початковому положенні (t - 0). При обертанні ротора проти годинникової стрілки рівняння е. р. с. можна записати в такому вигляді:


Цим рівнянням відповідають графіки е. р. с. і векторна діаграма, зображені на рис. 1.2.

Рис 1.2. Графік (а) та векторна діаграма (б) симетричної системи е.р.с.

Комплекси діючих значень цих е. р. с.


Якщо прийняти за вихідний вектор е. р. с. Е а, то е. р. с. ев відстає від еа, а е. р. с. ec - від ев. Отже, максимальних значень е. р. с. в фазах досягають в такому порядку: спочатку в фазі А, потім в В і далі в С.

Вектори е. р. с. обертаються проти годинникової стрілки, і повз нерухому вісь +/ вони проходитимуть у такому порядку: Такий порядок чергування називається прямою послідовністю фаз. При зворотному обертанні ротора матимемо зворотну послідовність фаз. Далі при розгляді трифазних систем взято пряму послідовність фаз, яку вважають нормальною.

Незв'язана трифазна система електричних кіл

На схемах заміщення обмотки трифазного генератора позначають, а при цьому напрям е. р. с. від кінця до початку обмотки умовно вважають додатним.

Якщо кожну обмотку трифазного генератора з'єднати із своїм приймачем, утворяться три незалежних кола, кожне із своїм струмом. Одне таке коло з його елементами (обмотка генератора, приймач, з'єднувальні проводи) в практиці називається фазою.

У незв'язаній трифазній системі генератор з приймачем енергії з'єднується шістьма проводами. Велика кількість з'єднувальних проводів - основний недолік незв'язаюіх систем, які через це не застосовуються. Зменшення кількості з'єднувальних проводів досягають у зв'язаних системах, де обмотки генератора, як і окремі фази приймача, електричне зв'язані між собою й утворюють трифазні кола.

Видатний російський учений М.О. Доліво-Добровольський (1862 - 1919) для цієї мети запропонував дві схеми з'єднання: зіркою і трикутником, які застосовуються і тепер.

Трифазне коло називається симетричним, якщо комплекси опорів усіх його фаз однакові. Якщо в такому колі діє симетрична система е. р. с., то струми в фазах однакові за значенням й зсунуті за фазою на кут 120°, тобто утворюється симетрична трифазна система струмів.

Слід зазначити, що приймачі електричної енергії (електродвигуни, електролампи тощо) з генераторами, встановленими на електростанціях, звичайно безпосередньо не зв'язані. На шляху електроенергії від генератора до приймачів установлено трансформатори, за допомогою яких в електричній мережі не раз змінюється напруга.

Розділ 2. ВИДИ З’ЄДНАНЬ ТРЬОХФАЗНИХ КІЛ ЕЛЕКТРИЧНОГО СТРУМУ

.1 З’єднання зіркою при симетричному навантаженні

На рис. 2.1. показано зв'язану систему при з'єднанні фаз джерела енергії і приймача зіркою. Таку систему легко дістати з незв'язаної системи.

Рис 2.1. Зав’язані трифазні системи електричних кіл при з’єднанні зіркою

Кінці обмоток джерела X, Y, Z з'єднують у загальну точку N, яка називається нульовою точкою, або нейтраллю. Проводи, які з'єднують початки А, В і С обмоток джерела з приймачем (лінійні проводи), зберігають; три проводи, приєднані до кінців обмоток, замінюють одним. Завдяки цьому в приймачі також утворюється нульова точка N' (нейтраль). Нульові точки джерела енергії і приймача можуть бути зв'язані проводом, який називається нульовим, або нейтральним (рис. 2.1, а). При цьому матимемо зв'язану чотирипровідну трифазну систему електричних кіл.

Далі буде показано, що в симетричних трифазних колах можна відмовитись від нульового проводу, оскільки струм у ньому дорівнює нулю. В цьому випадку зв'язок між джерелом і приймачем, з'єднаними зіркою, можна здійснювати за трипровідною схемою (рис. 2.1, б).

В трифазних колах розрізняють фазні та лінійні струми.

Фазні напруги

Фазні напруги джерела - це напруги між печатками й кінцями фаз, вони відрізняються від е. р. с. на спад напруги в обмотках. Якщо опором обмоток можна знехтувати, то фазні напруги джерела дорівнюють відповідним е. р. с. У симетричній системі вони зображуються, так само як і е. р. с., трьома однаковими за значенням векторами, зсунутими за фазою на 120° (рис. 2.2, а).

Рис. 2.2. Векторні діаграми напруг при з’єднанні обмоток джерела зіркою

У чотирипровідному і симетричному трипровідному колах фазні напруги в приймачі менші, ніж у джерелі, на спад напруги у з'єднувальних проводах. Якщо опором проводів можна знехтувати, то фазні напруги в приймачі вважають такими ж, як у джерелі.

Лінійні напруги

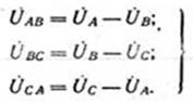
Різниця потенціалів між кожною парою лінійних проводів називається лінійною напругою (11 ав, vbc, oca).

Якщо прийняти потенціал нульової точки N джерела енергії таким, що дорівнює нулю, то потенціали його лінійних затискачів:

Лінійні напруги:


Перейшовши до діючих значень, запишемо вирази в комплексній формі:


Потенціали лінійних затискачів (або лінійних проводів) у кожну мить відрізняються один від одного через наявність зсуву фаз між фазними напругами. Отже, лінійні напруги не дорівнюють нулю, їх можна визначити аналітичне за графічно за допомогою векторної діаграми рис. 2.2.

З векторної діаграми видно, що при симетричній системі фазних напруг система лінійних напруг також симетрична: uab, obc,uca однакові за значенням і зсунуті відносно одна одної на 120°. Разом з тим при прямій послідовності фаз зірка векторів лінійних напруг випереджає на 30° зірку векторів фазних напруг.

Векторну діаграму зручно виконати топографічною, тоді кожній точці кола відповідає певна точка на діаграмі (рис. 2.2, б). Вектор, проведений між двома точками топографічної діаграми, виражає за значенням і фазою напругу між однойменними точками кола.

Діюче значення лінійних напруг легко визначити за векторною діаграмою з трикутника, утвореного векторами двох фазних і однієї лінійної напруг, наприклад ANB:


Позначивши всі фазні напруги а лінійні напруги Un, дістанемо загальне співвідношення між лінійними та фазними напругами в симетричній системі:


Фазні та лінійні струми У зв'язаній системі (див. рис. 2.1, а), так само як і в незв'язаній, кожна фаза є замкненим колом. Згідно з додатним напрямом е. р. с., в обмотках джерела додатний напрям струмів у лінійних проводах - від джерела до приймача, а в нульовому проводі - від приймача до джерела.

При з'єднанні зіркою в точках переходу із джерела в лінію й з лінії в приймач немає розгалужень, тому фазні та лінійні струми однакові між собою в кожній фазі:


2.2 З’єднання трикутником при симетричному навантаженні

При з'єднанні трикутником з трьох обмоток джерела утворюється замкнений на себе контур (рис. 2.3, а). Точно так само замкнений контур можна утворити з трьох фаз приймача.

Загальні точки двох фаз джерела й двох фаз приймача з'єднано лінійними проводами. Так утворюється зв'язана трифазна трипровідна система, в якій кожну обмотку джерела з'єднано з відповідною фазою приймача парою лінійних проводів. Кожний з них забезпечує такий зв'язок у двох суміжних фазах.

Фазні та лінійні напруги

З'єднання кількох обмоток джерела в замкнений контур можливе лише тоді, коли сума всіх е. р. с. цього контура дорівнює нулю.

Ця вимога виконується при такому порядку з'єднання, коли кінець попередньої обмотки з'єднується з початком наступної. Наприклад, кінець X фази А з'єднано з початком фази В у загальній точці ХВ, кінець У фази В - з початком фази С в загальній точці YC й кінець Z фази С - з початком фази А в загальній точці ZA.

Симетрична система е. р. с., які діють у контурі, має суму, що дорівнює нулю (рис. 2.3, б): ЕА + Ев + ec = 0.

В цьому випадку при холостому ходу джерела струму в його обмотках немає.

При несиметрії системи е. р. с. їх сума не дорівнює нулю; тому вже при холостому ходу в обмотках джерела утворюється струм, який може бути великим навіть при малій несиметрії, оскільки опір обмоток незначний.

Рис. 2.3. Зв’язана трифазна система при з’єднанні трикутником (а) та її векторна діаграма(б)

При неправильному вмиканні обмоток, коли дві сусідні фази з'єднано печатками або кінцями (рис. 2.4.), сума е. р. с. в контурі дорівнює подвоєному значенню е. р. с. фази.

Із схеми з'єднання трикутником видно, що фазні та лінійні напруги збігаються, оскільки кінець однієї фази з'єднано з початком іншої:


Векторну діаграму напруг можна побудувати у вигляді зірки або замкненого трикутника векторів (рис. 2.5.). В останньому випадку діаграма є топографічною.

Рис. 2.4. Неправильне з’єднання трикутником обмоток джерела

Рис. 2.5. Векторні діаграми напруг при з’єднанні обмоток джерела трикутником

Фазні та лінійні струми

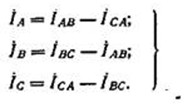
Кожна фаза приймача при з'єднанні трикутником перебуває під лінійною напругою. Цим зумовлено наявність у приймачі фазних струмів і.\-,. ібс, іса, додатний напрям яких на схемі рис. 2.3. вибрано відповідно до додатного напряму е. р. с. у фазах джерела.

Точки А', В', С' приймача, так само як і точки А, В, С джерела, є електричними вузлами; тому фазні струми відрізняються від лінійних їа, ів, іс- Для вузлових точок А, В, С можна записати рівняння в комплексній формі за першим правилом Кірхгофа:


При симетричному навантаженні струми у всіх фазах однакові. Зірка векторів лінійних струмів зсунута відносно зірки фазних струмів на 30° проти обертання векторів, якщо послідовність фаз - пряма (рис. 2.6, а).

Діюче значення лінійних струмів визначають за векторною діаграмою з рівнобедреного трикутника, утвореного векторами двох фазних і одного лінійного струмів, наприклад із трикутника ANC (рис. 2.6, б):

Рис. 2.6. Векторні діаграми струмів при з’єднанні приймачів трикутником

2.3 Переключення навантаження із зірки на трикутник

Одержимо основні співвідношення між струмами, а також між потужностями, при переключенні схеми з'єднання фаз навантаження зіркою на схему трикутника.

При з'єднанні фаз навантаження зіркою лінійний (фазний) струм дорівнює:


Знаходимо потужності при з'єднанні фаз навантаження зіркою:

PY = UлIл cos φ =  cos φ =  cos φ ;

QY = sin φ ;

SY = .

При з'єднанні фаз навантаження трикутником лінійний струм більше фазного в  раз:

.

Знаходимо потужності при з'єднанні фаз навантаження трикутником:
Δ = UлIл cos φ =  cos φ = 3 cos φ ;

QΔ = 3sin φ ;

SΔ = 3.

Співвідношення між струмами дорівнює:

.

Знайдемо співвідношення між потужностями:

.

Аналогічно:

 ;  .

Таким чином, при переключенні фаз навантаження зі схеми з'єднання зіркою на схему трикутника лінійні струми і потужності, які споживає навантаження, збільшуються в три рази.


Трифазний струм має ряд переваг в порівнянні з постійним струмом і однофазним змінним струмом і тому широко використовуються в промисловості і народному господарстві. Всі промислові електростанції виробляють електричну енергії змінного трифазного струму. Переважна кількість електродвигунів споживають трифазний змінний струм.

Більшість побутових приладів розраховані на роботу із однією фазою. Водночас потужні трифазні електродвигуни конструктивно простіші за однофазні, оскільки не потребують системи зсуву фаз.

Трифазна система (трифазний струм) має наступні переваги перд однофазною:

–       Одержання обертового магнітного поля за нерухомих обмоток;

–       Економічна передача енергії на відстані;

–       Можливість використання однієї фази як однофазного струму;

–       Забезпечує високу якість при випрямленні за різноманітних напруг і потужностей.

Таким чином, застосування трифазного струму замість однофазного дозволяє скоротити число проводів і витрати кольорового металу для їх виготовлення. Крім того, трифазний струм дає можливість отримати обертове магнітне поле в двигунах, на основі якого створені прості за конструкцією асинхронні електродвигуни.

Трифазний струм широко використовується в системах промислового і побутового електропостачання. Свого розвитку трифазний струм набув завдяки тому, що дозволяє легко створювати обертове магнітне поле, необхідне для електродвигунів змінного струму. Зараз трифазний струм є основним стандартом підключення побутових споживачів та непотужних промислових споживачів.

Розділ 3. Трифазні випрямлячі

трифазний струм навантаження випрямляч

Схеми випрямлячів трифазного струму застосовують в основному для живлення споживачів середньої і великої потужності. Первинна обмотка трансформатора таких випрямлячів складається з трьох фаз, які з'єднані або зіркою, або трикутником. Вторинні обмотки трансформатора (їх може бути декілька) також є трифазними.

За допомогою спеціальних схем з'єднання вторинних обмоток і усього випрямляча можна одержати випрямлену напругу, у якої число пульсацій за період  кратно трьом. При збільшенні числа пульсацій коефіцієнт пульсацій  зменшується, тому габаритні розміри і маса згладжувальних електричних фільтрів також зменшується, або взагалі відпадає потреба в них.

Випрямлячі трифазного струму рівномірно навантажують мережу трифазного струму і характеризуються високим коефіцієнтом використання трансформатора.

Трифазний випрямляч з нульовим виводом.

Складовою частиною складних схем випрямлячів трифазного струму є проста трифазна схема з нульовим виводом, яка запропонована Міткевичем. У схемі первинна і вторинна обмотки трансформатора з'єднані зіркою. Еквівалентну схему такого випрямляча зображено на рис.3.1.

Рис.3.1. Трифазний випрямляч з нульовим виводом: еквівалентна схема

 

Трифазний мостовий випрямляч (схема Ларіонова).

Активне навантаження

У трифазному мостовому випрямлячі, еквівалентна схема якого наведена на рис.3.2, а послідовно з'єднані два трифазних випрямляючих блоки - анодний, з вентилями VS4, VS6, VS2 і катодний з вентилями VS1, VSЗ, VS5. Кожен з цих блоків повторює роботу трифазної схеми з нульовим виводом.

Некерований режим роботи . У схемі одночасно пропускають струм два вентилі: один з найбільш високим потенціалом анода відносно нульової точки вторинної обмотки трансформатора з катодної групи вентилів, а іншій - з найбільш низьким потенціалом катода з анодної групи вентилів. Так, наприклад, згідно часовим діаграмам струмів і напруг, наведеним на рис.1.34, б, на інтервалі , тривалістю , струм пропускають вентилі VS1 і VS6, на інтервалі  вентилі VS1 і VS2, на інтервалі  вентилі VSЗ і VS2 і т.д. Випрямлена напруга на інтервалі  визначається різницею фазних ЕРС  і , на інтервалі  - різницею ЕРС і  і т.д.

Таким чином, випрямлена напруга  має шестикратні пульсації за період, тобто . Максимальне значення випрямленої напруги дорівнює амплітуді лінійної напруги, тобто  , хоч тривалість роботи кожного вентиля така ж сама, як і у трифазній схемі з нульовим виводом, тобто .

У мостовому випрямлячі немає вимушеного підмагнічування осердя трансформатора, оскільки струм у вторинній обмотці такої ж самої форми протікає двічі за період у протилежних напрямках. В результаті форма струму первинної обмотки  повторює форму струму вторинної обмотки  , оскільки .

Для покращення форми кривої струму первинної обмотки доцільно фази з'єднувати трикутником. При цьому лінійний струм  (рис.3.2, б), який дорівнює різниці фазних струмів , має безперервний характер, внаслідок чого відносний вміст вищих гармонік зменшується.

Керований режим. , характеризується двома діапазонами зміни кута керування:

) режим безперервного струму у колі навантаження,

2)  режим переривчастого струму у колі навантаження.

При переході до режиму переривчастого струму, тобто при , не можна використовувати короткі імпульси керування тиристорами, оскільки при включенні кожного наступного тиристора інший тиристор, який повинен працювати з ним у парі, буде уже виключений. Тільки у цьому разі можна забезпечити переривчастий характер струму у кожному вентилі на інтервалі .

Трифазний мостовий випрямляч, у порівнянні з розглянутими раніше, має такі переваги:

- відсутні потоки вимушеного підмагнічування осердя трансформатора;

- менша у порівнянні із схемою Міткевича величина  на вентилі при тому ж самому значенні ;

- хороший коефіцієнт використання трансформатора ;

- малий коефіцієнт пульсацій випрямленої напруги.

Рис.3.2. Трифазний мостовий випрямляч: а) схема; б) часові діаграми для некерованого режиму ; в) часові діаграми для керованого режиму

Зовнішня характеристика трифазного мостового випрямляча

Для керованих випрямлячів найчастіше будують сімейство зовнішніх характеристик , оскільки графік характеристики залежить від кута керування .

Визначимо ці характеристики за таких умов  . Треба враховувати, що графік зовнішньої характеристики залежить від тривалості протікання струму через кожен з вентилів . Величина  у свою чергу залежить від кількості вентилів, які одночасно пропускають струм.

Перший режим. Якщо струм у навантаженні близький до номінального, у схемі випрямляча одночасно пропускають струм два або три вентилі. При цьому кут комутації  і . При збільшенні струму зростає кут комутації вентилів . При цьому інтервал одночасної роботи трьох вентилів збільшується, а інтервал одночасної роботи двох вентилів скорочується. Потім наступає другий режим одночасної роботи трьох вентилів, для якого .

Подальше збільшення струму навантаження призводить до виникнення третього режиму, коли одночасно пропускають струм або три вентилі, або чотири. При цьому . Із збільшенням струму навантаження інтервал одночасної роботи чотирьох вентилів розширюється і при короткому замиканні навантаження у випрямлячі у будь-який момент часу одночасно пропускають струм чотири вентилі ().

Розглянемо усі три режими окремо. Для кожного з цих режимів розрахуємо зовнішню характеристику , а потім побудуємо загальну зовнішню характеристику випрямляча.

 На рис.3.3, а, б наведено еквівалентну схему і часові діаграми для цього режиму. На інтервалі одночасної роботи двох вентилів, наприклад VS1 і VS2, миттєве значення випрямленої напруги дорівнює , а струми у вентилях незмінні і дорівнюють .

Для визначення закону зміни струмів у вентилях і випрямленої напруги на інтервалі одночасної роботи трьох вентилів, наприклад VS1, VS2, VS3, треба розглянути еквівалентну схему для цього інтервалу (рис.3.3, в). На протязі цього інтервалу відбувається комутація струму з вентиля VS1 на вентиль VS3, а тривалість цього режиму дорівнює .

Рис.3.3. Режими роботи трифазного мостового випрямляча:

а) схема випрямляча; б) часові діаграми роботи при ; в), г) еквівалентні схеми випрямляча для комутаційного інтервалу

Миттєві значення ЕРС, відповідно до часової діаграми, яка наведена на рис.3.3, б:


. Такий режим має місце тоді, коли у випрямлячі в будь-який момент часу, струм пропускають одночасно три вентилі. При цьому безперервно, одна за одною відбуваються комутації струму у вентилях (рис.3.4, а).

При збільшенні струму навантаження, якщо зберігається умова , інтервал комутації залишається незмінним і дорівнює . При цьому момент , що відповідає початку комутації для вентилів VS1 і VS3, буде зміщуватися вправо, а кут керування  буде автоматично збільшуватися, поки не досягне значення .

Це можна пояснити таким чином. Із збільшенням струму навантаження  інтервал комутації повинен збільшитися. При цьому зростає різниця ЕРС у контурі комутації, наприклад, для вентилів VS1 і VS3 різниця ЕРС . Наслідком цього є прискорення комутації і схема прийде до нового стану рівноваги, але уже з більшим кутом . Внаслідок цього, при зростанні навантаження, поки не створяться умови для одночасної роботи чотирьох вентилів, момент  автоматично зміщується вправо. При цьому, система керування фактично не впливає на процеси у випрямлячі.

Якщо одночасно працюють вентилі VS1, VS2, VS3, умови для включення вентиля VS4 створюються у точці А (рис.3.4, а). До точки А вентиль VS4 не може вступити в роботу, оскільки у нього на аноді потенціал менший, ніж на катоді.

Потенціал аноду VS4 визначається негативним потенціалом навантаження, який дорівнює потенціалу катода відкритого вентиля VS2, тобто ЕРС .

Рис.3.4. Режими роботи трифазного мостового випрямляча:

а) часові діаграми роботи при куті комутації ; б) еквівалентна схема випрямляча при куті комутації ; в) часові діаграми роботи при куті комутації ; г) сімейство зовнішніх характеристик випрямляча

Інтервал  закінчується, коли струм вентиля VS1 спадає до нуля (точка  на рис.3.4, в). Починаючи з цього моменту на протязі часу, що відповідає куту , одночасно пропускають струм три вентилі VS2, VS3 і VS4, поки не будуть створені умови для початку роботи вентиля VS5 (точка на рис.3.4, в). Починаючи з моменту в схемі знову на протязі інтервалу одночасно будуть пропускати струм чотири вентилі VS2, VS3, VS4, VS5.

Таким чином, для третього режиму можна виділити два характерних інтервали:

 інтервал одночасної роботи чотирьох вентилів;

 інтервал одночасної роботи трьох вентилів.

На протязі інтервалу  має місце так зване "подвійне перекриття" , коли проміжки комутації анодної і катодної груп вентилів починають співпадати у часі.

Висновки

На підставі матеріалу, розглянутого в даній курсовій роботі можна зробити висновок, що трифазною системою електричних кіл називають систему, що складається з трьох кіл, в яких діють змінні, ЕРС однієї і тієї ж частоти, зсунуті по фазі одне, щодо одного на 1/3 періоду (φ=2р/3). Кожне окреме коло такої системи коротко називають її фазою, а систему трьох зсунутих по фазі змінних струмів в таких колах називають трифазним струмом.

Підтримання постійного зсуву по фазі між коливаннями напруги на виході трьох незалежних генераторів є досить складним технічним завданням. На практиці для отримання трьох струмів, зрушених по фазі, використовуються трифазні генератори, який складаєтьсяз нерухомого статора та рухомого ротора, виготовлених з феромагнітних матеріалів. В пазах статора укладено три однакових обмотки, зсунених між собою у просторі на 120°. При обертанні ротора з кутовою швидкістю фазні обмотки генератора перетинаються змінним магнітним потоком і, згідно з законом електромагнітної індукції, в них виникають ЕРС однакової амплітуди, зсунені між собою в часі на 120°, тобто на третину періоду.

Фази (фазні обмотки) трифазних джерел живлення та фази приймачів електричної енергії з’єднують зіркою або трикутником.

Існують схеми трифазних кіл із нульовим проводом і без нульового провода. Нульовий провід дозволяє отримувати водночас вищу напругу, використовуючи переваги трифазної схеми електропостачання, зберігаючи можливість однофазного підключення з меншою напругою.

Більшість побутових приладів розраховані на роботу із однією фазою. Водночас потужні трифазні електродвигуни конструктивно простіші за однофазні, оскільи не потребують системи зсуву фаз.

Трифазна система (трифазний струм) має наступні переваги перед однофазною:

економічна передача енергії на відстані;

забезпечує високу якість при випрямленні за різноманітних напруг і потужностей;

можливість використання однієї фази як однофазного струму;

Таким чином, застосування трифазного струму замість однофазного дозволяє скоротити число проводів і витрати кольорового металу для їх виготовлення. Трифазний струм широко використовується в системах промислового і побутового електропостачання. Свого розвитку трифазний струм набув завдяки тому, що дозволяє легко створювати обертове магнітне поле, необхідне для електродвигунів змінного струму.

Література

1. Электрические аппараты Л.А.Родштейн. - К., 1981

. Электрические аппараты А.А. Чунихин - М., 1988

. Электрические машины: Учебник для техникумов, Токарев Б.Ф. - М.: Энергоатомиздат, 1989

. Электротехника: Учебник для вузов. Иванов И.И., Равдоник В.С. - М.: Высшая школа, 1984.

5. http://helpnik.college.ks.ua/multimedia/TOE/3_9.htm

. http://moodle.udec.ntu-kpi.kiev.ua/moodle/file.php/517/Tema12.html

Похожие работы на - Трифазні кола. Основні поняття і визначення

 

Не нашли материал для своей работы?
Поможем написать уникальную работу
Без плагиата!
Без нейросетей!