|
Площа
|
Максимальні навантаження
|
Щільність навантаження
|
Радіуси картограми навантажень
|
Координати ЦЕН (активних)
|
|
F, м2
|
Pм, кВт
|
Qм, квар
|
Sм, кВА
|
кВт/м2
|
квар/м2
|
кВА/м2
|
акт.
|
реакт.
|
Х
|
У
|
|
Д-1
|
3840
|
877,2
|
531,2
|
1025,6
|
0,23
|
0,14
|
0,27
|
68,2
|
53,1
|
275
|
373
|
|
Д-2
|
2160
|
840,1
|
650,0
|
1062,2
|
0,39
|
0,30
|
0,49
|
66,8
|
58,7
|
600
|
436
|
|
Д-3
|
3200
|
503,3
|
400,0
|
642,9
|
0,16
|
0,13
|
0,20
|
51,7
|
46,1
|
600
|
255
|
|
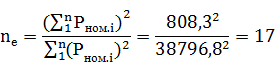
ЦЕХ
|
9200
|
2020,0
|
1801,0
|
2706,3
|
0,22
|
0,20
|
0,29
|
103,5
|
97,8
|
492
|
355
|
3. Вибір структури,
напруги та конструктивного виконання обладнання цехових систем
електропостачання
Згідно завдання, в цеху
знаходяться споживачі тільки змінного струму частотою 50 Гц. Потужність
двигунів, встановлених у цеху не перевищує 100 кВт, тому приймаємо варіант
сумісного живлення силових і освітлювальних електроприймачів від спільних
трансформаторів [2].
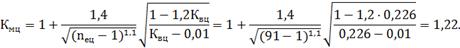
З рахуванням
вищесказаного, приймаємо для внутрішніх цехових мереж чотирьохпровідну мережу з
номінальною напругою 380/220 В.
Відповідно до ПУЕ в
чотирьохпровідних мережах змінного струму обов’язкове глухе заземлення
нейтралі, тому нейтраль обмотки низької напруги трансформатора заземлюється.
Живлення КТП виконується
кабельними лініями напругою 10 кВ, прокладеними в траншеї з глухим підключенням
силових кабелів до трансформаторів. Кабельні лінії прокладені в траншеї з
температурою грунту 15 ºС. Температуру цеху приймаємо 25 ºС.
Для живлення цехових ЕП
встановлюються 1 комплектна трансформаторна підстанція (двотрансформаторна) з
трансформаторами потужністю 1600 кВА. КТП встановлюються якомога ближче до ЦЕН
згідно побудованої картограми електричних навантажень, поблизу колон, в
«мертвій» зоні роботи підйомних механізмів з забезпеченням доступу для обслуговування.
Живлення ЕП виконується за магістральною схемою. Конструктивно виконується
магістральними(ШМ) та розподільчими шинами (ШР). ШМ та ШР знаходяться одній
висоті. (4 м.)
Прокладку тролейних
мереж застосовують для живлення рухомих приймачів (кранів), розташованих на
висоті 6 м. Тролейні мережі виконують спеціальними тролейні шинопроводами ШТМ з
алюмінієвими і мідними шинами і мають різні способи кріплення в залежності від
розташування та конструкції струмознімачів.
4.
Розрахунок цехових електричних мереж
4.1 Вибір кабельної
лінії, що живить цехові КТП
Переріз кабелю вибираємо
за економічною густиною струму:
де Iн.р
- струм нормального режиму роботи, А; jе - економічна густина
струму, А/мм2.
Для машинобідівного
виробництва річне число годин використання максимуму навантаження складає менше
5000 год. При цьому для кабелів з алюмінієвими жилами jе = 1,4 А/мм2
[5].
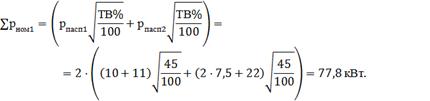
Визначаємо струм
трансформатора в нормальному режимі роботи:
где Кз - завантаження
трансформатора в нормальному режимі роботи.
Найближчий стандартний
переріз складає 50 мм2. Приймаємо кабель з паперовою пропитаною
ізоляцією марки ААШв-3×50, Iдоп = 175 А [2].
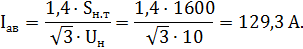
Перевіряємо кабель по
нагріву в післяаварійному режимі (при виході з ладу іншого кабелю і живлення
навантаження по одному кабелю):
,3<175 (А) - вірно
де Iав -
струм післяаварійного режиму, А; I'доп - допустимий струм, А.

Струм в післяаварійному
режимі дорівнює:
Перевіряємо кабелі на
термічну стійкість при протіканні струмів короткого замикання. Умова перевірки:
де Fmin
- мінімальний переріз провідника, що відповідає вимозі його термічної стійкості
при короткому замиканні, мм2 [6].
де I∞
- струм КЗ, А; tвідк - час протікання струму КЗ, с; Tа -
постійна часу затухання аперіодичної складової струму КЗ, рівна для
розподільчих мереж напругою 6-10 кВ 0,01 с [6]; С - постійна, що визначається в
залежності від заданої ПУЕ кінцевої температури нагріву жил і напруги. Для
кабелів з паперовою пропитаною ізоляцією при напрузі 6 кВ С = 100 А∙с-1/2/мм2
[6].
Величину струму КЗ
визначаємо по заданій потужності КЗ Sкз на шинах джерела живлення:
Згідно ПУЕ час дії
струму КЗ складається з часу дії основного релейного захисту даного ланцюга tрз
і повного часу відключення вимикача tвідк.в. Прймаємо, що кабелі
підключено до РП ГПП через вакуумні вимикачі типу ВР1-10-20/1000 У2 с tвідкл.в
= 0,095 с [7]. Час дії релейного захисту приймаємо рівним tрз = 0,01
с. Тоді:

(мм2) - умова
невиконується.
Остаточно виконуємо
живлення кожної цехової КТП кабелями марки ААШв-3×70, Iдоп = 190 А, r0 = 0,443 Ом/км; x0 = 0,08 Ом/км
[5].
4.2 Вибір захисних
апаратів і провідників для живлення електроприймачів
Для захисту
електроприймачів і мереж від струмів КЗ служать автоматичні вимикачі без
витримки часу і запобіжники, а для захисту від перевантаження - розчеплювачі в
автоматичних вимикачах і теплові реле. Вибір комутаційних апаратів і
провідників виконуємо для типових електроприймачів, встановлених на дільниці
№2: металорізальних верстатів з важким та особливо важким режимом роботи,
електротермічних установок, вентиляторів, компресорів, кранів і освітлювального
навантаження.
Автоматичні вимикачі
вибираємо за наступними умовами:
· по
номінальній напрузі: 
· по
номінальному струму автомата: 
· по
номінальному струму розчеплювача: 
При захисті від
перевантаження має виконуватись умова:
При захисті від струмів
КЗ струм спрацьовування електромагнітного розчеплювача автоматичного вимикача з
двоступеневою, обмежено залежною від струму захисною характеристикою
вибирається за умовою (струмова відсічка):
Перетин провідників і
кабелів вибираємо за умовою допустимого нагріву:
де Iдоп
- значення допустимого струму в довготривалому режимі роботи для проводу
(кабелю) при прийнятих умовах прокладки, А; Iм - максимальний струм
електроприймача (групи електроприймачів), А.
Вибраний перетин проводу
(кабелю) перевіряємо за умовою відповідності вибраному захисному апарату:
де Iдоп
- допустиме тривале струмове навантаження провідника, А; Iз -
параметр захисного пристрою; Kзах - коефіцієнт захисту, що
представляє собою відношення тривалого струму для проводу або жил кабелю до
параметра захисного пристрою.
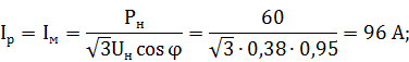
Металорізальні верстати
з особливо важким режимом роботи
Вихідні дані: Pн
= 60 кВт; cos φ = 0,65; Uном = 380 В.
Визначаємо номінальний і
піковий струми:

Приймаємо автомат
типу ВА88-33, Iн.авт = 160 А, Iн.р = 160 А.
· по
номінальній напрузі: 380<400 (В);
· по
номінальному струму автомата: 139,9
160 (А);
· по
номінальному струму розчеплювача: 139,9
160 (А).
Вибираємо уставки
автомата:
Уставка струму захисту
від КЗ Iсв. Значення уставки вибирається за наступним виразом:
Вибираємо кабель для
живлення ЕП. Вибір ведемо по нагріву:
Приймаємо кабель марки
АВБбШв (3×70+1×50), Iдоп = 140 А. Виконуємо перевірку на відповідність
кабелю вибраному автомату:
Кабель прокладаємо
відкрито по колонам приміщення цеху.
Електротермічні
установки
Вихідні дані: Pн
= 60 кВт; cos φ = 0,95; Uном = 380
В.
Визначаємо номінальний і
піковий струми:
Приймаємо автомат типу
ВА88-32, Iн.авт = 125 А, Iн.р = 100 А.
· по
номінальній напрузі: 380<400 (В);
· по
номінальному струму автомата: 96
125 (А);
· по
номінальному струму розчеплювача: 96
100 (А).
Вибираємо уставки
автомата:
Уставка струму захисту
від КЗ Iсв. Значення уставки вибирається за наступним виразом:
Вибираємо кабель для
живлення ЕП. Вибір ведемо по нагріву:
Приймаємо кабель марки
АВБбШв (3×50+1×35), Iдоп = 110 А. Виконуємо перевірку на відповідність
кабелю вибраному автомату:
Кабель прокладаємо
відкрито по колонам приміщення цеху.
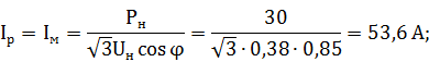
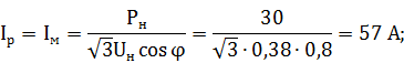
Компресори
Вихідні дані: Pн
= 30 кВт; cos φ = 0,8; Uном = 380
В.
Визначаємо номінальний і
піковий струми:
Приймаємо автомат типу
ВА88-32, Iн.авт = 125 А, Iн.р = 63 А.
· по
номінальній напрузі: 380<400 (В);
· по
номінальному струму автомата: 57
125 (А);
· по
номінальному струму розчеплювача: 57
63 (А).
Вибираємо уставки
автомата:
Уставка струму захисту
від КЗ Iсв. Значення уставки вибирається за наступним виразом:
Вибираємо кабель для
живлення ЕП. Вибір ведемо по нагріву:
Приймаємо кабель марки
АВБбШв (3×16+1×10), Iдоп = 60 А. Виконуємо перевірку на відповідність
кабелю вибраному автомату:
Кабель прокладаємо
відкрито по колонам приміщення цеху.
Вентилятори
Вихідні дані: Pн
= 30 кВт; cos φ = 0,85; Uном = 380 В.
Визначаємо номінальний і
піковий струми:

Приймаємо автомат типу ВА88-32, Iн.авт = 125 А, Iн.р = 63
А.
· по
номінальній напрузі: 380<400 (В);
· по
номінальному струму автомата: 53,6
125 (А);
· по
номінальному струму розчеплювача: 53,6
63 (А).
Вибираємо уставки
автомата:
Уставка струму захисту
від КЗ Iсв. Значення уставки вибирається за наступним виразом:
Вибираємо кабель для
живлення ЕП. Вибір ведемо по нагріву:
Приймаємо кабель марки
АВБбШв (3×16+1×10), Iдоп = 60 А. Виконуємо
перевірку на відповідність кабелю вибраному автомату:
Кабель прокладаємо
відкрито по колонам приміщення цеху.
Зварювальні
трансформатори ручного зварювання
Вихідні дані: Pн
= 13,9 кВт; cos φ = 0,54; Uном = 380
В.
Визначаємо номінальний і
піковий струми:
Приймаємо автомат типу
ВА47-100, Iн.авт = 100 А, Iн.р = 40 А.
· по
номінальній напрузі: 380<400 (В);
· по
номінальному струму автомата: 39,2
100 (А);
· по
номінальному струму розчеплювача: 39,2
40 (А).
Уставка струму захисту
від КЗ Iсв. Значення уставки вибирається за наступним виразом:
Вибираємо кабель для
живлення ЕП. Вибір ведемо по нагріву:
Приймаємо кабель марки
АВБбШв (1×10+1×6), Iдоп = 55 А. Виконуємо перевірку на відповідність
кабелю вибраному автомату:
Кабель прокладаємо
відкрито по колонам приміщення цеху.
Зварювальні
автотрансформатори
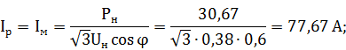
Вихідні дані: Pн
= 30,67 кВт; cos φ =
0,6; Uном = 380 В.
Визначаємо номінальний і
піковий струми:
Приймаємо автомат типу
ВА47-100, Iн.авт = 100 А, Iн.р = 80 А.
· по
номінальній напрузі: 380<400 (В);
· по
номінальному струму автомата: 77,67
100 (А);
· по
номінальному струму розчеплювача: 77,67
80 (А).
Уставка струму захисту
від КЗ Iсв. Значення уставки вибирається за наступним виразом:
Вибираємо кабель для
живлення ЕП. Вибір ведемо по нагріву:
Приймаємо кабель марки
АВБбШв (1×25+1×16), Iдоп = 105 А. Виконуємо
перевірку на відповідність кабелю вибраному автомату:
Кабель прокладаємо
відкрито по колонам приміщення цеху.
Список літератури
1. Мукосеев Ю.Л. Электроснабжение промышленных предприятий.
Учебник для вузов. М.: Энергия, 1973. - 584 с.
2. Федоров А.А., Старкова Л.Е. Учебное пособие для курсового
и дипломного проектирования по электроснабжению промышленных предприятий: Учеб.
пособие для вузов. - М.: Энергоатомиздат, 1987. - 368 с.
. Методичні вказівки до виконання курсового проекту з
дисципліни «Електропостачання» для студентів спеціальності «Електротехнічні
системи електроспоживання»/ Упорядн. В.Т. Заїка, В.В. Самойленко, О.В. Бобров,
А.С. Румянцев. - Д.: ДВНЗ «Національний гірничий університет», 2011 - 48 с.
. Перехідні процеси в системах електропостачання: Підручник
для вузів. Вид. 2-е, доправ. та доп. / Г.Г. Півняк, В.М. Винославський, А.Я.
Рибалко, Л.І. Несен / За ред. академіка НАН України Г.Г. Півняка. -
Дніпропетровськ: Видавництво НГА України, 2000. - 597 с.
. Розрахунки електричних мереж систем електропостачання:
Навч. посібник / Г.Г. Півняк, Г.А. Кігель, Н.С. Волотковська; За ред. акад.
Г.Г. Півняка. - 3-тє вид., перероб. і доп. - Д.: Національний гірничий
університет, 2006. - 216 с.
. Беляев А.В. Выбор аппаратуры, защит и кабелей в сетях 0,4
кВ: Учебное пособие: Энергоатомиздат, 1988. - 175 с.
. Рожкова Л.Д., Козулин В.С. Электрооборудование станций и
подстанций: Учебник для техникумов. - 3-е изд., перераб. и доп. - М.:
Энергоатомиздат, 1987. - 648 с.
навантаження трансформаторний підстанція електроприймач