Технологический расчет магистрального газопровода

  • Вид работы:
    Курсовая работа (т)
  • Предмет:
    Физика
  • Язык:
    Русский
    ,
    Формат файла:
    MS Word
    394,85 Кб
  • Опубликовано:
    2014-06-29
Вы можете узнать стоимость помощи в написании студенческой работы.
Помощь в написании работы, которую точно примут!

Технологический расчет магистрального газопровода

Министерство науки и образования РФ

Федеральное государственное бюджетное образовательное учреждение

высшего профессионального образования

«Омский государственный технический университет»

Кафедра «Нефтегазовое дело»








Пояснительная записка

К курсовому проекту по дисциплине: «Проектирование сооружение и эксплуатация магистральных газопроводов»

На тему: «Технологический расчет магистрального газопровода»

Автор проекта: Галущинский Е. И.

Группа: ЗПС-629; Специальность: Проектирование сооружение и эксплуатация газонефтепроводов и газонефтехранилищ.

Шифр проекта: КП - 2068998 - 37 - 013.2.5.1/7,0

Руководитель работы: Панин Ю.Н.



Омск 2014

Задание на курсовое проектирование по дисциплине:

«Проектирование и эксплуатация магистральных газопроводов»

Студента: Галущинского Е. И.

Факультета: ТНГ, группы ЗПС-629.

Шифр проекта: КП-2068998-37.013.2.5.7/0.1.

Тема курсового проекта: «Технологический расчет магистрального газопровода»

Задачи проектирования:

. Определение основных физических свойств, транспортируемого природного газа.

. Выбор основного оборудования (ГПА, нагнетатель, АВО, ПУ).

. Обоснование выбора диаметра или числа ниток МГ.

. Определение необходимого числа КС и расстановка их по трассе газопровода.

. Выполнение уточненного гидравлического и теплового расчетов линейных участков МГ.

. Расчет режима работы КС.

. Определение аккумулирующей способности последнего участка газопровода.

Специальный вопрос: Определение оптимального диаметра МГ.

Исходные данные для расчета:

Вариант……………………………………………………………………4

Производительность нефтепровода……………. млрд. т3/год;

Месторождение………………………………Заполярное (г. Надым);

Длина газопровода………………………………………… км;

Давление в конце газопровода…..……………………..…….МПа;

Средняя температура грунта на глубине оси трубопровода…………… К;

Средняя температура воздуха в районе строительства…… К;

Состав транспортируемого газа:

Метан…………………………………………………..СН4 - 98,400%;

Этан………………………………………………………С2Н6 - 0,070%;

Пропан………………………………………………….С3Н8 - 0,010%;

Пентан………………………………………………….С5Н12 - 0,010%;

Двуокись углерода………………………………………СО2 - 0,200%;

Азот…………………………………………………………N2 - 1,310%;

Проект предоставлять к защите .

Задание получил дата

Разработчик подпись Галущинский Е. И.

Руководитель разработки подпись Панин Ю. Н.

1. Определение физических свойств транспортируемого газа

.1 Расчет плотности перкачиваемой газовой смеси

По, указанному составу транспортируемой газовой смеси, определяем основные физические свойства газа. Расчет ведется для стандартных условий.

 

 кг/м3

Где:  - Плотность компонента газовой смеси при стандартных условиях, (определяется по таблице 2, приложения);  - процентное содержание компонента в составе газовой смеси.

1.2 Определение молярной массы перекачиваемой газовой смеси

 

 

 кг/кмоль

Где:  - Молярная масса компонента газовой смеси при стандартных условиях, (определяется по таблице 2, приложения);

1.3 Определение газовой постоянной смеси

магистральный компрессорный газопровод давление

     ;

Где:  - Универсальная газовая постоянная, Дж/(кмольК);

1.4 Расчет псевдокритической температуры и давления газовой смеси

 К;

 МПа;

1.5 Определение относительной плотности газа по воздуху

    

2. Подбор рабочего давления и диаметра магистрального газопровода, а так же типа ГПА

Принимая во внимание рекомендации по проектированию, определяем оптимальную величину рабочего давления в газопроводе

Используется таблица 1 приложения

Для указанной производительности МГ ( млрд. т3/год), справедливы следующие значения:

 МПа;

 МПа;

В качестве рабочего принимается давление нагнетания:  МПа.

2.1 Выбор диаметра трубопровода

С учетом производительности газопровода, и рабочего давления, диаметр принимается равным:

 мм;

Далее, для экономического обоснования выбора диаметра МГ, следует просчитать в качестве альтернативных вариантов, ближайший больший и меньший диаметры. Поскольку значения больше  мм, не существует, для сравнения принимается только ближайший меньший диаметр:  мм; Дальнейший расчет ведется для двух диаметров.

2.2 Расчет суточной производительности трубопровода

    млн м3/сут

Где:  - Оценочный коэффициент использования пропускной способности газопровода, который ориентировочного можно принять , принимается .

2.3 Выбор газоперекачивающих агрегатов

Исходя из принятого рабочего давления и суточной производительности газопровода, принимаются к установке 5 центробежных газотурбинных ГПА следующего типового исполнения:

Тип ЦН: RF2BB - 30;

Номинальная подача: 21,8 млн м3/сут;

Давление нагнетания:  МПа;

Давление всасывания:  МПа;

Все принятые нагнетатели устанавливаются параллельно, четыре из которых несут функцию основных ГПА, а один является резервным. Подробные характеристики нагнетателя и газотурбинного привода, изложены в таблицах 4 и 5 приложения.

2.5 Выбор марки стали для изготовления трубопровода. Принимается для двух конкурирующих диаметров

Принимается марка стали: 10Г2ФБ Харцызского трубного завода.

Трубные плети изготавливаются по ТУ 14-3-1938-2000.

2.5 Определение расчетного сопротивления металла труб

    МПа;

    МПа;

Где:  - нормативное сопротивление стали = 588 МПа;  - коэффициент условий работы трубопровода = 0,9;  - коэффициент надежности по материалу =1,31,4;

 - Коэффициент надежности по назначению трубопровода =1,05;

2.6 Расчет толщины стенки трубопровода

     м;

     м;

Где:  - коэффициент надежности по нагрузке = 1,1  1,15 (принимается 1,1);

По полученным в ходе расчета результатам, принимаются трубы стандартных диаметров:

 мм;  мм;

2.7 Определение внутренних диаметров трубопроводов

 мм;

 мм;

3. Определение числа и расстояния между компрессорными станциями

3.1 Определение начального давления на линейном участке между КС

 МПа;

Где:  - потери давления в трубопроводе между компрессорным цехом и узлом подключения к линейной части магистрального газопровода (принимается равным:  МПа);

 - потери давления в системе охлаждения газа, включая его обвязку (принимается равным:  МПа).

3.2 Определение конечного давления на линейном участке между КС

 МПа;

Где:  - потери давления в трубопроводе на всасывающем участке, при одноступенчатой очистке газа (принимается равным:  МПа);

3.3 Определение ориентировочного значения средней температуры газа на линейном участке

     К

Где:  - температура газа на входе в линейный участок МГ (принимается равной:

 К);

3.4 Расчет среднего давления в линейном участке МГ

      МПа;

3.5 Расчет приведенных значений давления и температуры на участке

     К

     К

3.6 Вычисление коэффициента сжимаемости газа

   

    

3.7 Расчет коэффициента динамической вязкости

 

  

  Па с;

3.8 Определение числа Рейнольдса для обоих рассчитываемых диаметров

    ;

    ;

3.9 Определение коэффициента гидравлического сопротивления

 

 

Где:  - значение эквивалентной шероховатости для новых труб без внутреннего антикоррозионного покрытия принимается:  м.

3.10 Определение расчетных значений коэффициентов гидравлического сопротивления

     ;

     ;

Где:  - коэффициент гидравлической эффективности, принимается: , если на газопроводе имеются устройства для периодической очистки внутренней полости трубопровода.

3.11 Расчет расстояние между соседними КС

    км

    км

3.12 Расчет длины последнего перегона в составе МГ

Давление в конце участка принимается: МПа,

   км

   км

3.13 Расчет необходимого числа компрессорных станций

   

   ;

Полученные значения числа КС округляются до целого в большую сторону, следовательно:

; ;

4. Экономическое обоснование выбора диаметра магистрального газопровода

В данном разделе проводится экономическое сравнение рассчитываемых диаметров, и как следствие вариантов строительства МГ, по укрупненным показателям затрат.

4.1 Определение капитальных затрат на строительство линейной части МГ

 млн. руб;

 млн. руб;

Где:  - стоимость строительства 1 км трубопровода конкретного диаметра, принимается по приложению 1: тыс.руб/км;  тыс.руб/км.

4.2 Расчет стоимости строительства одной КС

 млн. руб

Где:  - коэффициент стоимости строительства, независящий от числа ГПА;

 - коэффициент стоимости строительства, зависящий от числа ГПА. Оба коэффициента принимаются по приложению 2:  млн. руб;  млн. руб;  - количество ГПА в составе одной КС.


4.3 Определение капитальных затрат на сооружение группы КС

 млн. руб;

 млн. руб;

Где:  - количество КС принятое для МГ данного диаметра.

4.3 Вычисление полных капитальных затрат

 млн. руб;

 млн. руб;

4.4 Расчет стоимости эксплуатации линейной части

 млн. руб/год;

 млн. руб/год;

Где:  - стоимость строительства 1 км трубопровода конкретного диаметра, принимается по приложению 1: тыс.руб/(годкм);  тыс.руб/(годкм).

4.5 Расчет стоимости эксплуатации одной КС

 млн. руб/год;

Где:  - коэффициент стоимости эксплуатации, независящий от числа ГПА;

 - коэффициент стоимости эксплуатации, зависящий от числа ГПА. Оба коэффициента принимаются по приложению 2: млн. руб/год; млн. руб/год;

 - количество ГПА в составе одной КС.

4.6 Определение капитальных затрат на эксплуатацию группы КС

 млн. руб/год;

 млн. руб/год;

Где:  - количество КС принятое для МГ данного диаметра.

4.7 Расчет полных эксплуатационных расходов

 млн. руб/год;

 млн. руб/год;

4.8 Расчет приведенных годовых затрат

 млн. руб/год;

 млн. руб/год;

Где:  - нормативный коэффициент эффективности капитальных вложений (для объектов транспорта и хранения нефти и газа принимается:  1/год).

С учетом полученных в ходе расчета результатов можно констатировать: наиболее экономически выгодным является диаметр  мм. Все дальнейшие вычисления ведутся только для этого варианта строительства.

5. Уточненный тепловой и гидравлический расчет участков газопровода между КС

5.1 Определение уточненного расстояния между КС, с учетом расхода топливного газа

5.1.1Вычисление объема топливного газа потребляемого одной КС

 млн. м3/сут;

Где:  поскольку один ГПА в составе КС является резервным, следовательно, постоянно в работе только 4.  - производительность ГПА, принимается по таблице 11 приложения.

5.1.2 Расчет производительности каждого отдельного участка

 

 млн. м3/сут;

 млн. м3/сут;

 млн. м3/сут;

 млн. м3/сут;

 млн. м3/сут;

Где:  - номер КС по ходу движения газа в МГ.

5.1.3 Определение средней длины участка между КС

   

  км

Где:       

5.1.4 Определение окончательной длины каждого участка МГ

    км;

    км;

    км;

    км;

    км;

5.2 Расчет первого участка

В качестве первого приближения принимаются значения полученные в ходе первого этапа вычислений: ;  К; .

5.2.1 Вычисление значения конечного давления в первом приближении

 

 МПа;

5.2.2 Расчет среднего давления на участке

      МПа;

5.2.3 Расчет приведенных значений давления и температуры на участке

     МПа;

     К;

5.2.4 Определение удельной теплоемкости газа

 

   кДж/кгК;

5.2.5 Определение коэффициента Джоуля - Томсона

          К/МПа;

5.2.6 Определение среднего на линейном участке общего коэффициента теплопередачи

  

Где:  - базовый коэффициент теплопередачи для газопровода диаметром 1 м, при ориентировочных расчетах принимается для суглинка:  Вт/(м2  К)

5.2.7 Расчет температурного коэффициента

     км-1;

5.2.8 Вычисление значения средней температуры с учетом теплообмена с окружающей средой и коэффициента Джоуля - Томсона

      

  

     К;

5.2.9 Вычисление уточненного значения приведенной температуры

     К

5.2.10 Вычисление коэффициента сжимаемости газа

 

 

5.2.11 Вычисление коэффициента динамической вязкости

 

 

  Па с;

5.2.12 Определение числа Рейнольдса для первого участка

    ;

5.2.13 Определение коэффициента гидравлического сопротивления

 

Где:  - значение эквивалентной шероховатости для новых труб без внутреннего антикоррозионного покрытия принимается:  м.

5.2.14 Определение расчетного значения коэффициента гидравлического сопротивления

     ;

5.2.15 Вычисление значения конечного давления во втором приближении

 

 МПа;

5.2.16 Расчет относительной погрешности определения конечного давления

     %;

Поскольку полученное значение конечного давления, отличается от рассчитанного ранее в пункте 5.2.1. на 1,684 %, что не удовлетворяет условиям расчета, необходимо провести третье приближение. Далее пункты 5.2.2. - 5.2.16. пересчитываются, полученные результаты заносятся в таблицу, приведенную ниже. Тепловой и гидравлический расчет остальных участков проводится аналогичным образом, полученные значения параметров заносятся в таблицу. Расчет последнего участка ведется подробно, и приведен ниже.

5.2.17 Таблица теплового и гидравлического расчета участков МГ

Наименование расчетного параметра

Участок 1

Участок 2

Участок 3

Участок 4

Участок 5

Конечное давление ; МПа

5,6051

5,5743

5,5487

5,5102

3,5295

Среднее давление ; МПа

6,479

6,465

6,453

6,436

5,622

Приведенная температура ; К

1,467

1,467

1,467

1,467

1,439

Приведенная давление ; МПа

1,329

1,326

1,324

1,320

1,153

Уд. теплоемкость газа ; кДж/кг

2,778

2,777

2,776

2,775

2,722

Коэфф. Джоуля-Томсона ; К/МПа

3,953

3,955

3,956

3,958

4,217

Коэфф. температурный ; км-1

2,7910-3

2,7910-3

2,7910-3

2,7910-3

2,8510-3

Средняя температура ; К

280,194

280,099

280,021

279,903

274,688

Коэфф. сжимаемости газа ;

0,871

0,871

0,871

0,871

0,879

Динамическая вязкость ; Па с

11,924106

11,917106

11,911106

11,901106

11,477106

Число Рейнольдса ;

46076330

46105534

46129688

46165983

47870170

Коэфф. сопротивления трения ;

0,00912

0,00912

0,00912

0,00912

0,00911

Коэфф. гидросопротивления ;

0,01061

0,01061

0,01061

0,01061

0,01060

Уточн. конечное давление ; МПа

5,6046

5,5747

5,5502

5,5124

Относит. погрешность ; %

0,010

0,008

0,028

0,039

0,182

Конечная температура газа ; К

274,754

274,587

274,451

274,245

265,606


5.2.18 Вычисление значения конечной температуры, по удовлетворяющему условию значению конечного давления

    

  

    К;

5.3 Расчет последнего пятого участка

В качестве первого приближения принимаются значения полученные в ходе расчета четвертого участка: ;  К; .

5.3.1 Вычисление значения конечного давления в первом приближении

 

 МПа;

5.3.2 Расчет среднего давления на участке

      МПа;

5.3.3 Расчет приведенных значений давления и температуры на участке

     МПа;

     К;

5.3.4 Определение удельной теплоемкости газа

 

   кДж/кгК;

5.3.5 Определение коэффициента Джоуля - Томсона

          К/МПа;

5.3.6 Определение среднего на линейном участке общего коэффициента теплопередачи

  

Где:  - базовый коэффициент теплопередачи для газопровода диаметром 1 м, при ориентировочных расчетах принимается для суглинка:  Вт/(м2  К)

5.3.7 Расчет температурного коэффициента

     км-1;

5.3.8 Вычисление значения средней температуры с учетом теплообмена с окружающей средой и коэффициента Джоуля - Томсона

      

  

     К;

5.3.9 Вычисление уточненного значения приведенной температуры

     К;

5.3.10 Вычисление коэффициента сжимаемости газа

 

 

5.3.11 Вычисление коэффициента динамической вязкости

 

 

  Па с;

5.3.12 Определение числа Рейнольдса для первого участка

    ;

5.3.13 Определение коэффициента гидравлического сопротивления

 

Где:  - значение эквивалентной шероховатости для новых труб без внутреннего антикоррозионного покрытия принимается:  м.

5.3.14 Определение расчетного значения коэффициента гидравлического сопротивления

     ;

5.3.15 Вычисление значения конечного давления во втором приближении

 

 МПа;

5.3.16 Расчет относительной погрешности определения конечного давления

     %;

Полученное значение конечного давления, отличается от рассчитанного ранее в пункте 5.3.1. на 1,791 %, что не удовлетворяет условиям расчета, необходимо провести второе приближение. Далее пункты 5.3.2. - 5.3.16. пересчитываются, полученные значения параметров заносятся в таблицу, приведенную в пункте 5.2.17. После получения результата удовлетворяющего условиям расчета, вычисляется значения температуры в конце последнего участка.

5.3.17 Вычисление значения конечной температуры последнего участка

    

  

    К;

6. Расчет режима работы компрессорных станций

На компрессорных станциях рассчитываемого магистрального газопровода установлены газотурбинные агрегаты: , включающие в свой состав центробежные нагнетатели: RF2BB - 30, технические характеристики которых приведены ниже:

ГТН RF2BB - 30

Производительность:  млн. м3/сут; Номинальная мощность ГТУ:  кВт

Давление всасывания:  МПа; Номинальная температура воздуха:  К;

Давление нагнетания:  МПа; Коэффициент тех. состояния ;

Степень повышения давления: ; Коэффициент атм. воздуха: ;

Коэффициент сжимаемости: ; Минимальное число оборотов:  мин-1

Газовая постоянная смеси:  ; Максимальное число оборотов: мин-1

Средняя температура смеси:  К;

Число оборотов ротора:  мин-1;

6.1 Расчет режима работы КС первого участка

Определение давления и температуры газа на входе в ЦН:

 МПа;

 К;

Расчет приведенных к условиям всасывания значений давления и температуры на участке

     МПа;

     К;

Вычисление коэффициента сжимаемости газа при условиях всасывания:

 

 

Определение плотности газовой смеси:

     кг/м3;

Определение числа параллельно работающих ЦН:

   шт;

Расчет производительности нагнетателя при условиях всасывания:

        м3/мин

Вычисление требуемой степени повышения давления:

   ;

Расчет приведенной объемной производительности нагнетателя:

Расчет ведется для, указанного в таблице приложения 8, диапазона частоты вращения силового вала ГПА. Количество значений оборотов ротора принимается равным 5. Номинальные характеристики ЦН приведены в таблице 4 приложения, а так же в пункте 6 расчета. Расчет сведен в нижеприведенную таблицу.

Частота Вращения вала , мин-1

  

3000

0,484

2,067

420,951

0,492

3625

0,585

1,710

348,247

0,594

4250

0,685

1,459

297,130

0,696

4875

0,786

1,272

259,047

0,798

5500

0,887

1,127

229,517

0,901


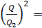
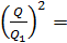
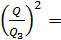
Определение расчетных значений приведенных параметров ЦН:

Полученные в пункте 6.1.8. значения  и  представляют собой координаты точек, которые наносятся на графическую характеристику нагнетателя, приведенную ниже и соединяются плавной линией.


Полученная в результате линия режимов является функцией изменения приведенных параметров нагнетателя.

Далее из точки соответствующей величине требуемой

степени повышения давления:  проводится горизонтальная линия до пересечения с линией режимов

работы ЦН, таким образом, находится точка пересечения. Восстанавливая перпендикуляр из этой точки до пересечения

с горизонтальной осью, получается значение  м3/мин.

Аналогичным способом определяется параметры

и  кВт/(кг/м3).

Определение расчетной частоты вращения вала нагнетателя:

    мин-1;

Расчет внутренней мощности потребляемой нагнетателем:

     кВт;

Определение мощности на муфте привода:

 кВт;

Где: механические потери мощности в редукторе и подшипниках ЦН при номинальной загрузке (принимаются равными 1% от номинальной мощности ГТУ: ).

Расчет располагаемой мощности ГТУ:

  

    кВт

Где:  номинальная мощность ГТУ;  коэффициент технического состояния по мощности, принимается по таблице 11 приложения: ;  коэффициент, учитывающий влияние системы противообледенения (при отключенной системе принимается: = 1);  коэффициент, учитывающий влияние системы утилизации тепла (при ее отсутствии принимается: );  коэффициент, учитывающий влияние атмосферного воздуха на мощность ГТУ, (принимается по таблице 11 приложения );

 расчетное давление наружного (атмосферного) воздуха, принимается равным величине при стандартных условиях  МПа.

Проверка полученного значения мощности на соответствие условию верности расчета:

 - условие справедливо выполняется, следовательно, все полученные в ходе расчета, а так же принятые справочные параметры ГТУ и ЦН, считаются верными и остаются без изменения.

Вычисление температуры газа на выходе нагнетателя:

  К

Где:  показатель адиабаты природного газа, принимается равным: .

6.2 Расчет режимов работы КС остальных участков МГ

Расчет ведется аналогично первому участку, все полученные результаты сводятся в таблицу приведенную ниже:

Наименование расчетного параметра

КС 1

КС 2

КС 3

КС 4

Давление на входе в ЦН ; МПа

5,605

5,575

5,550

5,512

Температура газа на входе в ЦН ; К

274,754

274,587

274,451

274,245

Приведенное давление всасывания ; МПа

1,125

1,119

1,114

1,106

Приведенная температура всасывания ; К

1,439

1,438

1,437

1,436

Коэффициент сжимаемости газа ;

0,877

0,878

0,879

0,879

Плотность газовой смеси ; кг/м3

43,850

43,379

43,187

42,893

Число параллельно работающих ЦН ; шт

4

4

3

3

Производительность ЦН ; м3/мин

204,778

204,267

203,895

203,351

Степень повышения давления ;

1,358

1,366

1,372

1,382

Производительность ЦН привед. ; м3/мин

270,0

270,0

270,0

270,0

Полный КПД ЦН ;

0,84

0,84

0,84

0,84

Отношение мощности ; кВт/(кг/м3)

370,0

370,0

370,0

370,0

Расчетная частота вращения вала ; мин-1

4702,3

4690,6

4682,0

4669,5

Внутренняя мощность ЦН ; кВт

7078,4

6950,0

6881,5

6780,1

Мощность на муфте привода ; кВт

7207,4

7079,0

7010,5

6909,1

Располагаемая мощность ГТУ ; кВт

14441,0

14441,0

14441,0

14441,0

Температура газа на выходе ЦН ;

299,507

299,787

300,027

300,395


Полученные в ходе расчета параметры работы компрессорных станций участков №2, 3, 4, наряду с принятыми справочными величинами и характеристиками ГТУ и ЦН, справедливо удовлетворяют описанным выше условиям, и как следствие, считаются верными.

7. Расчет аккумулирующей способности последнего участка магистрального газопровода

7.1 Определение и подбор необходимых для расчета параметров

 максимальное давление в начале последнего участка, определяемое из условия прочности газопровода, принимается:  МПа;

 минимальное давление в конце последнего участка, определяемое из уточненного теплового и гидравлического расчета, принимается:  МПа;

 постоянный коэффициент, принимается:  м2∙с∙К0,5/кг;

 коэффициент гидравлического сопротивления на участке, определен в ходе теплового и гидравлического расчета, ;

 коэффициент сжимаемости газовой смеси на участке, определен в ходе теплового и гидравлического расчета, ;

 относительная плотность газа по воздуху, рассчитана в пункте 1.5. ;

 средняя температура газовой смеси на участке, определена в ходе теплового и гидравлического расчета,  К;

 внутренний диаметр участка, определен в пункте 2.8.  м;

 производительность участка, определена в пункте 5.1.2.  млн. м3/сут;

 длина последнего участка, определена в пункте 5.1.4.  км;

 температура среды при стандартных условиях, принимается:  К;

 давление при стандартных условиях, принимается:  МПа;

7.2 Расчет постоянного коэффициента

   

7.3 Вычисление постоянного множителя, не зависящего от длины участка

    

     

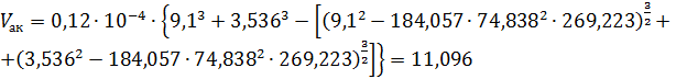
7.4 Определение аккумулирующей способности участка

 

 млн. м3/сут

Поскольку нормами проектирования установлено, что для покрытия часовой неравномерности потребления газа в течение суток, аккумулирующая способность последнего участка должна составлять  от суточной производительности МГ, можно констатировать, что полученное значение полностью удовлетворяет условиям.

8. График изменения давления и температуры по участкам МГ

Похожие работы на - Технологический расчет магистрального газопровода

 

Не нашли материал для своей работы?
Поможем написать уникальную работу
Без плагиата!
Без нейросетей!