Резонансные явления в электрических цепях
ФЕДЕРАЛЬНОЕ
АГЕНТСТВО ПО ОБРАЗОВАНИЮ
Государственное
образовательное учреждение высшего профессионального образования
«Нижегородский
государственный технический университет им. Р.Е. Алексеева»
Лабораторная
работа №1
ПО
ДИСЦИПЛИНЕ: физика
«Резонансные
явления в электрических цепях»
Проверил руководитель:
Т.Н.
Лесков
И.Ю.
Разработал студент: Евстафьев
Н.С.
Выкса
2014г
Цель работы: Исследовать резонансные явления в
последовательном контуре на электронной модели в пакете Multisim.
Таблица 1 Исходные данные
|
ν Гц
|
UL В
|
UC
В
|
UR
В
|
I
А
|
|
1
|
200
|
8,003
|
8, 246
|
|
0,254
|
|
2
|
400
|
11,222
|
12,701
|
|
0,354
|
|
3
|
600
|
13,514
|
18,064
|
|
0,425
|
|
4
|
800
|
27,7
|
31,732
|
|
0,671
|
|
5
|
1000
|
17,987
|
21,365
|
|
0,567
|
Вычислим значения скорости резистора, емкости
конденсатора и индуктивности катушки по формулам:
Знначения резистора:
Значения емкости:
Значения индуктивности:
Графики, полученные в Multisim с помощью данных
таблицы 1:
резонансный резистор индуктивность цепь

|
1
|
2
|
3
|
4
|
5
|
6
|
|
ν Гц
|
4000
|
4200
|
4400
|
4600
|
4800
|
5000
|
|
UC
В
|
46,69
|
65, 83
|
73,13
|
111,08
|
74,26
|
63,93
|
|
I0
А
|
1,27
|
1,99
|
2,38
|
3,51
|
2,35
|
1,92
|
Графики, полученные в Multisim с помощью данных
таблицы 2:
Графики зависимости, полученные с помощью данных
таблицы 2 в среде Mathcad:

Вычислим теоретический импеданс цепи по формуле:
R= 0,2 Ом
а)
б)
в )
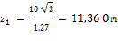
Вычислим практический импеданс:
Расчищаем значение резонансной частоты по
формулам:
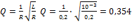
Расчищаем добротность контура:
Мы изучили вынужденные электромагнитные
колебания в контуре, а именно научились определять параметры элементов контура
с помощью законов Ома для цепей переменного тока и исследовали явление
резонанса.