Явление резонанса и электрических цепей
САМАРСКИЙ
ГОСУДАРСТВЕННЫЙ УНИВЕРСИТЕТ ПУТЕЙ СООБЩЕНИЯ
РЕФЕРАТ
На тему:
Электрические
цепи переменного тока Явление резонанса.
Выполнил:
Антропов А. И.
Проверила:
Бородина А. В.
Самара 2009
Электрические цепи
переменного тока. Явление резонанса
Явление
резонанса относится к наиболее важным с
практической точки зрения свойствам электрических цепей. Оно заключается в том,
что электрическая цепь, имеющая реактивные элементы обладает чисто
резистивным сопротивлением.
Общее
условие резонанса для любого двухполюсника можно
сформулировать в виде Im[Z]=0 или Im[Y]=0, где Z и Y
комплексное сопротивление и проводимость двухполюсника. Следовательно, режим
резонанса полностью определяется параметрами электрической цепи и не зависит от
внешнего воздействия на нее со стороны источников электрической энергии.
Для определения
условий возникновения режима резонанса в электрической
цепи нужно:
·
найти
ее комплексное сопротивление или проводимость;
·
выделить
мнимую часть и приравнять нулю.
Все параметры
электрической цепи, входящие в полученное уравнение, будут в той или иной
степени влиять на характеристики явления резонанса.
Уравнение Im[Z]=0
может иметь несколько корней решения относительно какого-либо параметра. Это
означает возможность возникновения резонанса при всех значениях этого
параметра, соответствующих корням решения и имеющих физический смысл.
В электрических цепях
резонанс может рассматриваться в задачах:
·
анализа
этого явления при вариации параметров цепи;
·
синтеза
цепи с заданными резонансными параметрами.
Электрические цепи с
большим количеством реактивных элементов и связей могут представлять
значительную сложность при анализе и почти никогда не используются для синтеза
цепей с заданными свойствами, т.к. для них не всегда возможно получить
однозначное решение. Поэтому на практике исследуются простейшие двухполюсники и
с их помощью создаются сложные цепи с требуемыми параметрами.
Сдвиг фаз между током и напряжением. Понятие
двухполюсника
Простейшими
электрическими цепями, в которых может возникать резонанс, являются
последовательное и параллельное соединения резистора, индуктивности и емкости.
Соответственно схеме соединения, эти цепи называются последовательным и
параллельным резонансным контуром. Наличие резистивного сопротивления в
резонансном контуре по определению не является обязательным и оно может
отсутствовать как отдельный элемент (резистор). Однако при анализе резистивным
сопротивлением следует учитывать по крайней мере сопротивления проводников.
Последовательный
резонансный контур представлен на рис. 1 а). Комплексное сопротивление цепи равно
Условием резонанса из
выражения (1) будет
Таким образом, резонанс
в цепи наступает независимо от значения резистивного сопротивления R
когда индуктивное сопротивление xL = wL
равно емкостному xC = 1/(wC)
. Как следует из выражения (2), это состояние может быть получено вариацией
любого их трех параметров - L, C и w , а также любой
их комбинацией. При вариации одного из параметров условие резонанса можно
представить в виде
Все величины, входящие
в выражение (3) положительны, поэтому эти условия выполнимы всегда, т.е.
резонанс в последовательном контуре можно создать
·
изменением
индуктивности L при постоянных значениях C и w
;
·
изменением
емкости C при постоянных значениях L и w ;
·
изменением
частоты w
при постоянных значениях L и C.
Наибольший интерес для
практики представляет вариация частоты. Поэтому рассмотрим процессы в контуре
при этом условии.
При изменении частоты
резистивная составляющая комплексного сопротивления цепи Z остается
постоянной, а реактивная изменяется. Поэтому конец вектора Z на
комплексной плоскости перемещается по прямой параллельной мнимой оси и
проходящей через точку R вещественной оси (рис. 1 б)). В режиме
резонанса мнимая составляющая Z равна нулю и Z = Z = Zmin
= R , j = 0 , т.е. полное сопротивление при резонансе
соответствует минимальному значению.
Индуктивное и емкостное
сопротивления изменяются в зависимости от частоты так, как показано на рис. 2.
При частоте стремящейся к нулю xC®µ
, xL® 0 , и j® - 90°
(рис. 1 б)). При
бесконечном увеличении частоты - xL®µ
, xC ® 0 , а j® 90°
. Равенство сопротивлений xLи xC наступает
в режиме резонанса при частоте w0
.
Рассмотрим теперь
падения напряжения на элементах контура. Пусть резонансный контур питается от
источника, обладающего свойствами источника ЭДС, т.е. напряжение на входе
контура u = const, и пусть ток в контуре равен i=Imsinwt.
Падение напряжения на входе уравновешивается суммой напряжений на элементах
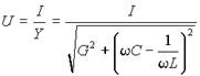
Переходя от амплитудных
значений к действующим, из выражения (4) получим напряжения на отдельных
элементах контура
а
при резонансной частоте
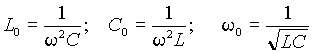
где
величина, имеющая
размерность сопротивления и называемая волновым или характеристическим
сопротивлением контура.
Следовательно, при
резонансе
·
напряжение на резисторе равно напряжению на входе
контура;
·
напряжения на реактивных элементах одинаковы и
пропорциональны волновому сопротивлению контура;
·
соотношение напряжения на входе контура (на
резисторе) и напряжений на реактивных элементах определяется соотношением
резистивного и волнового сопротивлений.
Отношение волнового
сопротивления к резистивному r /R = Q, называется добротностью
контура, а величина обратная D=1/Q - затуханием.
Таким образом, добротность числено равна отношению напряжения на реактивном
элементе контура к напряжению на резисторе или на входе в режиме резонанса.
Добротность может составлять несколько десятков единиц и во столько же раз
напряжение на реактивных элементах контура будет превышать входное. Поэтому
резонанс в последовательном контуре называется резонансом напряжений.
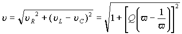
Рассмотрим зависимости
напряжений и тока в контуре от частоты. Для возможности обобщенного анализа
перейдем в выражениях (5) к относительным единицам, разделив их на входное
напряжение при резонансе
U=RI0
где i
=I/I0, uk=Uk/U,
v
= w
/w0
- соответственно ток, напряжение и частота в относительных единицах, в которых
в качестве базовых величин приняты ток I0, напряжение на
входе U и частота w0
в режиме резонанса.
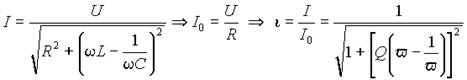
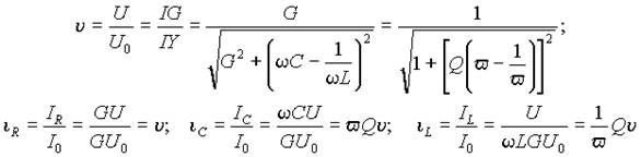
Абсолютный и
относительный ток в контуре равен
Из выражений (7) и (8)
следует, что характер изменения всех величин при изменении частоты зависит
только от добротности контура. Графическое представление их при Q=2
приведено на рис. 3 в логарифмическом (а) и линейном (б) масштабах оси абсцисс.
На
рис. 3 кривые A(v), B(v)
и C(v) соответствуют напряжению на индуктивности, емкости
и резисторе или току в контуре. Кривые A(v)=uL(v)
и B(v)=uC(v)
имеют максимумы, напряжения в которых определяются выражением
,
(9)
а относительные частоты
максимумов равны
(10)
При увеличении
добротности Q ®µAmax
= Bmax®Q, а v1®1.0
и v2
®1.0.
С уменьшением
добротности максимумы кривых uL(v
) и uС(v
) смещаются от резонансной частоты, а при Q2 < 1/2
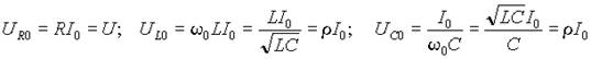
исчезают, и кривые относительных напряжений становятся монотонными.
Напряжение на резисторе
и ток в контуре имеют при резонансной частоте максимум равный 1,0. Если на оси
ординат отложить абсолютные значения тока или напряжения на резисторе, то для
различных значений добротности они будут иметь вид, показанный на рис. 4. В
целом они дают представление о характере изменения величин, но удобнее делать
сопоставление в относительных единицах.
На рис. 5 представлены
кривые рис. 4 в относительных единицах. Здесь видно, что увеличение добротности
влияет на скорость изменения тока при изменении частоты.
Можно показать, что
разность относительных частот, соответствующих значениям относительного тока
,
равна затуханию контура D=1/Q =v2-v1.
Перейдем теперь к
анализу зависимости фазового сдвига между током и напряжением на входе контура от
частоты. Из выражения (1) угол j
равен
Как и следовало
ожидать, значение j определяется добротностью контура.
Графически эта зависимость для двух значений добротности показана на рис. 6 .
При
уменьшении частоты значение фазового сдвига стремится к значению -
90°
, а при увеличении к +90° , проходя через нулевое значение при
частоте резонанса. Скорость изменения функции j (v
) определяется добротностью контура.
Последовательный
резонансный контур может питаться также от источника электрической энергии,
обладающего свойствами источника тока, т.е. обеспечивающего постоянный ток в
нагрузке. Выражения (5) остаются
справедливыми и в этом случае, но ток в них будет константой. Поэтому
постоянным будет падение напряжения на резисторе UR = RI
= const. Разделив все напряжения на это базовое значение, получим представление
их в относительных единицах в виде
В выражении (12)
добротность также есть отношение волнового сопротивления к резистивному Q=r
/R .
Общее относительное
падение напряжения на входе контура является гипотенузой прямоугольного
треугольника напряжений, поэтому
Функции uL(v
) и uС(v
) монотонны, а u(v ) имеет минимум u
=1.0 при резонансной частоте, когда uL(v
) -uС(v
) = 0. В случае стремления относительной частоты к бесконечности и к нулю,
напряжения на одном из реактивных элементов стремится к бесконечности. При
резонансной частоте они одинаковы и их отношение ко входному напряжению равно добротности.
Графическое
представление функций uL(v
)=A(v ), uС(v
)=B(v ) и u(v
)=С(v ) при добротности Q=2 дано на рис. 7 в
логарифмическом (а) и линейном (б) масштабах оси частот.
Для функции u
(v
)=С(v ) можно показать, что разность относительных частот
v1
и v2
, соответствующих значениям
,
равна затуханию контура D=1/Q=v2-v1.
Фазовые характеристики
контура при питании от источника тока ничем не отличаются от характеристик
режима питания от источника ЭДС (рис. 6).
Сопоставляя частотные
характеристики при питании последовательного резонансного контура от источника
тока с характеристиками при питании его от источника ЭДС, можно сделать
следующие выводы:
·
частотные характеристики напряжений и тока контура
принципиально отличаются друг от друга, т.к. при питании от источника ЭДС сумма
напряжений остается постоянной и происходит только их перераспределение между
элементами, а при питании от источника тока падения напряжения на каждом
элементе формируются независимо;
·
режимы резонанса для обоих случаев полностью
идентичны;
·
фазовые частотные характеристики для обоих случаев
также идентичны.
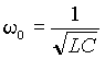
Режим
резонанса можно создать также при параллельном соединении R, L и C
(рис. 8а)). Такая цепь называется параллельным резонансным контуром.
В этом случае условие резонанса
удобнее сформулировать для мнимой части комплексной проводимости в виде
Следовательно, для
параллельного контура возможны те же вариации параметров, что и для последовательного
и выражения для них будут идентичными
При изменении частоты
питания изменяется только мнимая составляющая вектора комплексной проводимости Y
, поэтому его конец перемещается на комплексной плоскости по прямой
параллельной мнимой оси и проходящей через точку G=1/R ,
соответствующую вещественной составляющей проводимости (рис. 8 б)). При частоте
резонанса модуль вектора минимален, а при стремлении частоты к нулю и
бесконечности, его значение стремится к бесконечности. При этом угол сдвига фаз
между током и напряжением j на входе контура стремится к 90°
при w®
0 и к -
90°
при w®µ
.
Для параллельного
соединения токи в отдельных элементах можно представить через проводимости и
общее падение напряжения U в виде
Пусть в режиме
резонанса падение напряжения на входе контура равно U0, тогда
токи в отдельных элементах будут
где
волновая или
характеристическая проводимость контура. Как следует
из выражений (17), при резонансе токи в реактивных элементах одинаковы, а
входной ток равен току в резисторе R. Отношение Q=g
/G называется добротностью, а величина обратная D=1/Q -
затуханием параллельного резонансного контура. Таким образом, добротность равна
отношению токов в реактивных элементах контура к току на входе или в резисторе.
В электрических цепях добротность может достигать значений в несколько десятков
единиц и во столько же раз токи в индуктивности и емкости будут превышать
входной ток. Поэтому резонанс в параллельном контуре называется
резонансом токов.
Падение напряжения на
входе контура U при питании его от источника, обладающего свойствами
источника тока и формирующего ток с действующим значением I, будет равно
Отсюда, напряжение на
входе в режиме резонанса U0 = I/G . Тогда ток в
контуре - I=U0G. Перейдем к относительным
единицам в выражениях (16) и (18), приняв в качестве базовых значений
напряжение на входе при резонансе и ток контура, выраженный через это
напряжение. Тогда получим
Выражения (18)
полностью совпадают с выражениями (7) и (8) для
частотных характеристик последовательного контура, если в них относительные
токи и напряжения поменять местами. Следовательно, характеристики рис. 3 будут связаны с
выражениями (18) следующим образом: A(v)=iС(v);
B(v)=iL(v)
и C(v)=iR(v)=u
(v
). Для относительных токов iС
, iL
и iR
справедливыми будут также все закономерности отмеченные для относительных
напряжений последовательного контура.
Из выражения (14)
рассмотренную выше качественно фазовую частотную характеристику можно
представить аналитически в виде
т.е. она совпадает с
характеристикой последовательного контура, но имеет противоположный знак.
Допустим теперь, что
параллельный контур питается от источника со свойствами источника ЭДС. В режиме
резонанса входной ток также будет равен току через резистор
I0=U/R=UG.
Соотнесем все выражения
(16) с этим током, приняв его за базовую величину. Тогда
Относительный входной
ток i
можно определить, пользуясь тем, что в треугольнике токов он является
гипотенузой
Выражения (19) и (20)
для относительных токов совпадают с выражениями (12) и (13) для
относительных напряжений последовательного контура. Следовательно, на рис. 7 - iC(v
)=A(v ), iL(v
)=B(v ) и iR(v
)= i
(v
)=C(v ).
Сравнивая частотные
характеристики при питании параллельного резонансного контура от источника тока
с характеристиками при питании его от источника ЭДС, можно сделать выводы
аналогичные тем, которые были сделаны для последовательного контура:
·
частотные характеристики токов и напряжения контура
принципиально отличаются друг от друга, т.к. при питании от источника тока
сумма токов остается постоянной и происходит только их перераспределение между
элементами, а при питании от источника ЭДС токи в каждом элементе формируются
независимо;
·
режимы резонанса для обоих случаев полностью
идентичны;
·
фазовые частотные характеристики для обоих случаев
также идентичны.
Параллельный
резонансный контур может содержать резистивные сопротивления (рис. 10). В этом
случае комплексные проводимости ветвей будут равны
Y1=G1+jB1;
Y2=G2+jB1 ,
а общая проводимость
Y =
Y1 + Y2= G1+G2+j(B1+B2).
Условием резонанса
будет:
Раскрывая выражение
(23) через параметры цепи, получим
,
откуда резонансная
частота wр
–
где

волновое сопротивление
простейшего параллельного контура.
Анализ выражения (21)
показывает, что при разных резистивных сопротивленияхR1¹R2резонанс
возможен только, если оба сопротивления одновременно больше или меньше r.
В противном случае выражение под корнем отрицательно, резонансная частота
мнимая и не имеет физического смысла.
Если R1
= R2, то wр=
w0,
т.е. резонанс наступает при той же частоте, что и в простейшем контуре
без потерь (рис. 8 а)).
Однако при этом условии
возможен вариант, когда R1 = R2 = r
. В этом случае подкоренное выражение в (21) становится неопределенным (0/0) и
требуется его дополнительный анализ.
Ветви контура соединены
параллельно и общее падение напряжения на них одинаково и равно сумме падений
напряжения на элементах ветви. При любых изменениях частоты угол между
напряжением на резисторе и реактивном элементе составляет 90°
и т.к. сумма их постоянна и равна входному напряжению, то геометрическим местом
точек конца вектора падения напряжения на резисторе будет полуокружность (рис.
11 а)). Причем, векторы ветви с индуктивностью будут вписываться в нижнюю
полуокружность, а ветви с емкостью - в верхнюю. Входной ток I равен
сумме токов ветвей I1 и I2 и резонанс
наступает, если его направление совпадает с вектором входного напряжения U.
Разделим комплексные
числа, соответствующие векторам напряжений рис. 11 а), на R = R1
= R2 = r и построим векторную диаграмму токов
для режима резонанса (рис. 11 б)), т.е. так, чтобы сумма векторов I1
и I2 была равна U/R. Параллелограмм abcd имеет
два противоположных прямых угла, поэтому два других угла j1
+ j2
= p
/2 . То, что сумма углов j1
и j2
равна 90°
доказывается также и тем, что
.
Таким образом, при
любой частоте векторы токов I1 и I2
образуют прямоугольник, вершины которого расположены на окружности, а
диагональю является вектор U/R. Отсюда следует, что при всех частотах
входной ток одинаков, совпадает по направлению с напряжением и полное
сопротивление цепи чисто резистивное и равно r.