Электропривод пассажирского лифта
Министерство
общего и профессионального образования Свердловской области
Уральский
государственный колледж им. И.И. Ползунова
Кировградский
филиал
Курсовая
работа
ЭЛЕКТРОПРИВОД
ПАССАЖИРСКОГО ЛИФТА
Кировоград
2015
Содержание
Введение
. Описательная часть
.1 Краткая характеристика объекта
проектирования и его технологического процесса
. Практическая часть
.1 Разработка принципиальной
электрической схемы управления электропривода электроустановки
.2 Расчёт и выбор электропривода
электроустановки
.3 Описание принципиальной
электрической схемы управления электропривода электроустановки
.3.1 Меры электробезопасности при
эксплуатации и ремонте ЭУ
Заключение
Список использованных источников
Введение
Лифт - одно из самых гуманных достижений технического
прогресса, позволяющее человеку без усилий покорять большие высоты за считанные
секунды.
Сегодня без лифтов немыслимо ни одно современное
здание, будь то муниципальное жилье, офисный небоскреб. Лифт представляет собой
подъемную машину циклического действия, предназначенную для вертикального
подъема людей и грузов. По назначению лифты разделяют на пассажирские,
грузопассажирские, больничные, грузовые.
В зависимости от скорости движения кабины лифты
подразделяют на тихоходные (до 0,71 м/с), быстроходные (от 1 до 1,6 м/с),
скоростные (от 2 до 4 м/с) и высокоскоростные (4-10 м/с). Грузоподъемность
пассажирских лифтов составляет от 320 до 1600кг, грузовых - от 160-5000 кг. При
скорости до 1,6 м/с электродвигатель соединяется с канатоведущим шкивом через
редуктор, если скорость выше, то применяют безредукторные электроприводы.
При большом разнообразии вариантов конструкций
пассажирских и грузовых лифтов основными узлами оборудования для них являются
подъемная лебедка, канаты, кабина, противовес, механический тормоз и аппаратура
управления. Современные лифты имеют систему подвеса с противовесом и с
уравновешивающим канатом.
Конструктивно лифт состоит из шахты,
оборудованной дверями, установленными в порталах, приямка и машинного помещения
с подъёмной приводной лебёдкой.
Под шахтой понимается пространство, в котором
перемещается кабина и противовес, а под машинным помещением - часть шахты,
предназначенная для установки приводного механизма лифта.
Кабина и противовес подвешены на стальных
проволочных канатах. Тяговое усилие на канатах создаётся при выключении
приводного электродвигателя.
Для остановки и удерживания кабины в неподвижном
состоянии служит тормоз. В прямике расположены натяжное устройство ограничителя
скорости буфера. Ограничитель скорости установлен в машинном помещении и связан
с кабиной канатом.
Для управления движением кабины служит кнопочный
аппарат, расположенный внутри кабины. Обычно лифты двухскоростные - большая и
малая скорости.
Переключение с большой скорости на малую
осуществляется этажным переключателем.
По сигналу датчика электродвигатель лебёдки и
катушки электромагнита отключается от электрической сети и кабина
затормаживается и удерживается тормозом в неподвижном состоянии, одновременно
подаётся питание на электродвигатель привода дверей кабины.
Двери автоматический открываются совместно с
дверями шахты и остаются открытыми после выхода пассажиров из кабины в течении
малого промежутка времени, задаваемого реле времени и цепи управления лифтом.
Затем реле времени замыкает свои контакты и
подаёт питание на электродвигатель привода дверей кабины - двери закрываются.
Лифт готов к работе по вызову, о чём
свидетельствуют погасшие сигнальные лампочки вызывных аппаратов, установленные
на каждом этаже.
1. Описательная часть
1.1 Краткая характеристика объекта
проектирования и его технологического процесса
Конструктивно лифт состоит из шахты,
оборудованной дверями, установленными в порталах, приямка и машинного помещения
с подъёмной приводной лебёдкой.
Под шахтой понимается пространство, в котором
перемещается кабина и противовес, а под машинным помещением - часть шахты,
предназначенная для установки приводного механизма лифта.
Кабина и противовес подвешены на стальных
проволочных канатах. Тяговое усилие на канатах создаётся при выключении
приводного электродвигателя.
Для остановки и удерживания кабины в неподвижном
состоянии служит тормоз. В прямике расположены натяжное устройство ограничителя
скорости буфера. Ограничитель скорости установлен в машинном помещении и связан
с кабиной канатом.
Для управления движением кабины служит кнопочный
аппарат, расположенный внутри кабины. Обычно лифты двухскоростные - большая и
малая скорости.
Переключение с большой скорости на малую
осуществляется этажным переключателем.
По сигналу датчика электродвигатель лебёдки и
катушки электромагнита отключается от электрической сети и кабина
затормаживается и удерживается тормозом в неподвижном состоянии, одновременно
подаётся питание на электродвигатель привода дверей кабины.
Двери автоматический открываются совместно с
дверями шахты и остаются открытыми после выхода пассажиров из кабины в течении
малого промежутка времени, задаваемого реле времени и цепи управления лифтом.
Затем реле времени замыкает свои контакты и
подаёт питание на электродвигатель привода дверей кабины - двери закрываются.
На рисунке 1 представлена схема размещения
оборудования лифта.
Лебёдка и шкаф управления располагаются в
лифтовом помещении, закрытым от проникновения посторонних лиц.
Рисунок 1 - Схема размещения оборудования лифта
Основная плата управления установлена в шкафу
контроллера.
Последовательная линия передачи данных
подразделяется на каналы кабины и шахты. Канал кабины, к которому подключена
клеммная коробка кабины, представляет собой подвесной кабель. На рисунке 2
приняты следующие обозначения: Канатоведущий шкив, двигатель, редуктор, канат,
кабина, противовес.
Рисунок 2 - Кинематическая схема
2. Практическая часть
.1 Разработка принципиальной электрической схемы
управления ЭП ЭУ
На рисунке 3 представлена схема электропривода
лифта
Рисунок 3 - Электрическая схема
.2 Расчёт и выбор электропривода установки
Исходные данные проектирования являются
физические и параметры механизма пассажирского лифта. Исходные данные
представлены в таблице 1.
Таблица 1 - Исходные данные
|
Наименование параметров
|
Условное обозначение
|
Единицы измерения
|
Вариант № 2
|
|
Масса поднимаемого груза
|
|
Кг
|
1400
|
|
Скорость движения лифта
|
|
м/с
|
|
Диаметр канатоведущего шкива
|
Dш
|
М
|
0,6
|
|
Передаточное число редуктора
|
iп
|
-
|
45
|
|
Продолжительность включения расчетная
|
ПВр
|
%
|
40
|
|
Количество этажей
|
nэ
|
-
|
9
|
|
Модуль этажный
|
hэ
|
М
|
3,6
|
|
Напряжение питания 3-фазной сети
|
Vс
|
В
|
380
|
Методика расчета [1,с.109]
Рассчитаем синхронную скорость ЭД

, (1)
где nср -
синхронная расчетная скорость ЭД, об/мин;
v - скорость
кабины, м,/с;
iп -
передаточное число редуктора;
Dш - диаметр
канатоведущего шкива, м.

Рассчитываем статистическую мощность
на валу ЭД при подъеме и опускании

, (2)
где Рсп - статистическая
мощность при подъеме, кВт;
α - коэффициент уравновешивания,
отн. ед. принимаем α
= 0,5;
Gном - масса
поднимаемого груза, кг;
g- ускорение
силы тяжести, м/с, g =9,81Н;


, (3)
где Рсо - статистическая
мощность при опускании, кВт;
G0 - вес
пустой кабины, кг, G0= 150 кг;
Рассчитаем статическую мощность на
валу за цикл (подъем - опускание)

, (4)
где Рс - статическая
мощность, кВт.
Находим мощность ЭД

, (5)
где Рдр - мощность ЭД
расчетная , кВт;
Кз - коэффициент запаса,
отн. ед., принимаем Кз=1,3.

По [1, с.309 (табл. Д. 11)] выбираем
лифтовой АД 5АН160S6/18НЛБ согласно условий Рном
≥ Рдр (2,15 кВт)

= 1000об/мин

= 30 H*м

= 380В

= 3,0 кВт

= 950/285 об/мин
КПД= 70 %
cosϕ= 0.54

=12,0/13,0А

= 4,6(
)

=120 пусков/час
J= 0.12 



= 2,7…3,2;

;
МС 


) на нагрев (по моменту) согласно
условия: Мном ≥Мсэ

, (6)
где Мсэ - статический
момент;
Рсэ = Рдр (при
эксплуатации).
Мном (30 Н*м) > Мсэ
(20,5 Н*м), что удовлетворяет условию.
) на допустимую перегрузку согласно
условия: 0,8*Ммакс ≥ Мсэмакс
Максимальный момент выбранного ЭД
=3,0...3,7.

3,0...3,7)*Мном , (7)

3,0...3,7)*30= 90...111 Н*м
Принимается при испытаниях

(8)

> Мсэмакс (24,6Н*м),
что удовлетворяет условию.
) на надежный пуск и разгон согласно
условию

, (9)

Принимается 
Условию удовлетворяет.
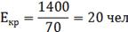
Рассчитаем вместимость лифта

, (10)
где Екр - вместимость
лифта, чел;
Gном - масса
поднимаемого груза, кг;
Gчел - средний
вес одного перевозимого пассажира, кг; Gчел принимаем
=70кг;
Рассчитаем время на одну операцию
"открытие - закрытие" двери

, (11)
По [1,с.112(табл.3.5.1)] 
=F(v, b, привод,
количество створок)= F(0.7 м/с; 0,8 м; мех.; 1) =7с,
где 
- время на одну операцию
"открытие - закрытие" двери, с;
b -ширина
створки, м;
mк - расчетное
число остановок лифта, шт.
Определяется по [1,с 111 (рис.
3.5.1)] mкр - = F ( nэ, Екр)
= F( 9, 20) =
8,7
Принимается mк =9.
Рассчитаем время на вход - выход
одного пассажира, с;

, (12)
Принимается 
=0,8 с ( от 0,6 до 1,0 с)
Рассчитаем время на разгон -
торможение одной операции, с;

, (13)
По [1, с.112 (табл.3.5.1)] 
=F(v, hэ) = F( 0,7 м/с;
3,6 м) = 1,6
Рассчитаем время одного цикла, с

, (14)
Рассчитаем суммарное время,
затрачиваемое на открытие-закрытие дверей кабины и шахты (
,с), на вход-выход пассажиров (
,с) и на разгон-торможение (
,с),с;

, (15)
где t - суммарное
время, с.
Определяем производительность
пассажирского лифта

(16)
где Пр -
производительность пассажирского лифта, чел/час;
γ - коэффициент загрузки кабины,
отн. ед., принимаем γ
= 0,6...0,8 (для
зданий до 10 этажей)
- число переводное в часы, с;
Н - высота подъема кабины, м;
v - скорость
передвижения кабины, м/с;

Принимается П==237 чел/час.
Находим скольжение в рабочей точке Sном

, (17)

;

, (19)

, (20)
, (21)

, (22)

, (18)

;

;

.
В таблице 2 представлены моменты и
скольжения.
Таблица 2 - Моменты и скольжения
|
Моменты, Н*м
|
Мном
|
Мкр
|
Мп
|
Ммин
|
Мсэ
|
|
30
|
90
|
81,6
|
36
|
20,5
|
|
Скольжение, Отн.ед.
|
Sном
|
Sкр
|
Sп
|
Sмин
|
-
|
|
0,05
|
0,29
|
1,0
|
1,8
|
-
|
Вывод: рабочая точка (Sрт=0,03)
расположена ниже номинального значения (Sном=0,05), значит пуск
двухскоростного АД на БС будет успешным, так как Мсэ (20,5) ˂ Ммин
(36).
.3 Описание принципиальной электрической схемы
управления ЭП ЭУ
Электрическая схема пассажирского лифта с
кнопочным управлением применяется для лифтов со скоростью 0,75 м/с (рис. 3).
Лифт приводится в движение асинхронным двигателем М с контактными кольцами.
Разгон двигателя осуществляется в три ступени с управлением в функции времени
посредством механических реле времени РВ, РН, РУ1 и РУ2, пристроенных к
контакторам КВ, КН, КУ1, КУ2.
Параллельно статорной обмотке двигателя включён
тормозной электромагнит ЭмТ, при включении растормаживающий механизм лифта.
Пуск двигателя может осуществляться вызывными
кнопками, находящимися на любом из этажей. Этажные переключатели ПЭ1…ПЭ5
установлены каждый на своём этаже. Этажные реле РЭ1…РЭ5 находятся на панели
управления лифтом. Число этажных переключателей и реле соответствует числу
этажей, обслуживаемых лифтом ( для данной схемы - пять этажей).
Электрооборудование, расположенное в кабине,
связанно с панелью управления гибким кабелем ГК. Контакты конечного выключателя
ВКА, ограничивающего в аварийных случаях ход кабины вверх и вниз, включены
непосредственно в статорную цепь двигателя. Движение кабины невозможно при
открытых дверях шахты ВДШ1…ВДШ5 и кабины ВДК, включёнными в цепь управления. В
эту же цепь включены: контакт конечного выключателя ВКК, контролирующего
натяжение канатов (он размыкается при их ослаблении или обрыве); контакт
ловителя ВЛ, размыкающийся при срабатывании механизма ловителя; контакты пола
ВП1 и ВП2, которые находятся в разомкнутом состоянии, когда кабина занята
пассажирами. Контакты ВП2 шунтируют контакт ВДК, когда пассажир вышел из
кабины, а её дверь осталась открытой.
Предположим, что пассажиру необходимо подняться
с первого этажа на четвёртый (этажный переключатель ПЭ1 находится в среднем
положении).
Пассажир входит в кабину. Контакты пола ВП1
размыкаются и разрывают цепь вызывных кнопок 1…5, чем исключается наружное
управление.
Далее управление лифтом осуществляется из
кабины. Пассажир закрывает двери шахты (замыкает контакты ВДШ1), а также двери
кабины (закрывается контакт ВДК) и нажимаем кнопу(4 этаж). Включается реле РЭ4
по цепи: через кнопку КНС (Стоп), контакты всех дверей шахты ВДШ1…ВДШ5, гибкий
кабель, контакт ВКК выключателя контроля натяжения контактов, контакт ловителя
ВКЛ, дверной контакт кабины ВДК, вторую кнопку (Стоп) в кабине, гибкий кабель,
размыкающий контакт контактора КУЗ. Реле РЭ4 замыкает свои контакты и включает
контактор КВ (Вверх), который включает в сеть статор двигателя М и тормозной
элекромагнит Эм Т. Двигатель начинает работать с выдержкой времени
последовательно срабатывают контакторы ускорения КУ1, КУ2, КУ3 и выводят
ступени пускового реостата.
При включении контактора ускорения КУЗ его
размыкающий блок-контакт разрывает цепи всех кнопок как на этажах, так и в
кабине, и нажатие любой из кнопок во время движения кабины не влияет на работу
лифта до остановки кабины. Кабина, пройдя второй и третий этажи, повернёт
рычаги переключателей ПЭ2 и ПЭ3 (а в начале движения ПЭ1), и их контакты займут
левое положение. Эти переключения подготавливают схему к последующей работе. По
достижении кабиной четвёртого этажа её упор поворачивает рычаг переключателя
ПЭ4 в среднее положение, в следствии чего контактор КВ обесточивает и отключает
двигатель, этажное реле РЭ4 и тормозной электромагнит. Кабина быстро
останавливается. После выхода пассажира аппараты управления приводятся в
исходное положение (кроме этажных переключателей).
Движение пустой кабины при открытых дверях не
опасно и может происходить после нажатия вызывной кнопки вследствие
шунтирования дверного контакта ВДК контактами пола ВП2 нужно вернуть пустую
кабину с четвёртого этажа на первый, нажимается вызывной контактор КН (Вниз).
Происходит пуск двигателя в обратном
направлении. Кабин лифта опускается и по пути переставляет все этажные
переключатели из левого положения в правое, а по достижению первого этажа
переводит рычаг переключателя ПЭ1 в среднее положение. Катушка контактора КН
обеспечивается, двигатель и тормозной электромагнит отключается, кабина
останавливается.
Одной и той же этажной кнопкой можно вызвать
кабину с этажа, расположенного как выше, так и ниже. Например, этажной кнопкой
3 кабина может быть вызвана с первого и второго этажей на третий в результате
включения контактора КВ через правые контакторы переключателя ПЭЗ.
Этой же кнопкой 3 можно вызвать кабину с пятого
и четвёртого этажей на третий в результате выключится контактор КН через левые
контакты того же переключателя ПЭЗ.
Нижние и верхние этажные переключатели ПЭ1 и ПЭ5
являются одновременно и конечными выключателями, но для большей надёжности
применяются ещё и конечный выключатель ВКА. Если в одном из крайних положений
почему-либо не отключается двигатель и кабина не останавливается, то при
дальнейшем её движении разомкнутся контакты ВКА и отключатся как главные цепи,
так и цепи управления.
После устранения повреждения выключатели ВКА
включатся от руки. На схеме не показаны цепи сигнализации занятости кабины, а
так же аварийной сигнализации. При скорости кабины выше 0,5 м/с необходима
дополнительная механическая характеристика, обеспечивающая возможность работы
двигателя на пониженной скорости. Эта характеристика нужна для движения кабины
с ревизионной скоростью и обеспечения требуемой точности остановки.
Для лифтов со скоростью движения кабины выше 1,4
м/с наиболее распространённым является электропривод с двухскоростным
асинхронным двигателем и контакторным управлением. Использование двухскоростных
АД с независимыми обмотками, управляемых от тиристорных преобразователей,
позволяет увеличить скорость движения кабины до 2 м/с.
2.3.1 Меры электробезопасности при эксплуатации
и ремонте ЭУ
Безопасная и безаварийная работа лифта в большей
степени зависит от правильной эксплуатации, от технически грамотных и
систематически проводимых ухода и ремонта, обеспечивающих исправное состояние
всех механизмов.
Согласно «Правил устройства и безопасной
эксплуатации лифтов» ПБ 10-558-03, деятельность по монтажу, техническому
обслуживанию, ремонту, модернизации лифтов и систем диспетчерского контроля за
работой лифтов осуществляется организациями, специализирующихся на выполнении
соответствующих работ, располагающихся техническими средствами и
квалифицированными специалистами. Деятельность по техническому диагностированию
и обследованию лифтов , а так же систем диспетчерского контроля осуществляется
экспертными организациями, имеющими лицензию на экспертизу промышленной
безопасности, выданную Госгортехнадзором России.
Технический надзор за исправным состоянием
лифтов должен быть получен электромеханикам, в качестве которых могут
назначаться лица не моложе 18 лет, прошедшие медицинское освидетельствование и
имеющие практический стаж по надзору за лифтами (в качестве помощника
электромеханика) не менее шести месяцев, а также лица, имеющие практический
опыт по монтажу или ремонту лифтов не менее шести месяцев.
Электромеханик должен знать правила устройства,
освидетельствования и эксплуатации лифтов и правила по технике безопасности,
уметь пользоваться электроизмерительными приборами, определять степень износа
канатов и пригодность их к дальнейшей эксплуатации в зависимости от износа.
За каждым электромехаником должны быть
закреплены определённые лифты. Количество лифтов, закреплённых за каждым
электромехаником, должно определяться с расчёта нормы времени на проведение
периодических осмотров и ремонтов с учётом типа лифта.
Лифтёры, проводники, лифтёры-диспетчеры,
лифтёры-обходчики и электромеханики, осуществляющие технический надзор за
лифтами, должны быть обучены по соответствующей программе и аттестованы в
квалификационной комиссии учебного заведения или предприятия, производившего
его обучения. Лицам, прошедшим аттестацию, должно быть выдано удостоверение.
Аттестация электромехаников должна производиться с участием представителя
технадзора.
Осмотр лифтов должен производиться ежемесячно и
периодически в соответствии с графиком планово-предупредительных ремонтов и
осмотров. Ежемесячный осмотр может быть поручен лифтёрам, проводникам,
лифтёру-диспетчеру, лифтёру-обходчику или электромеханику. Лицо, которому
поручено проведение ежемесячного осмотра лифта, обязано проверить исправность
освещения кабины, шахты, машинного помещения и площадок перед дверями шахты, а
также действие замков дверей шахты, дверных контактов, системы управления и
сигнализации, точность остановки кабины по этажам. Результаты осмотра должны
быть занесены в журнал.
Периодический осмотр лифта должен производиться
электромехаником, осуществляющим технический надзор за лифтами в объёме,
предусмотренном его должностной инструкцией и инструкцией завода, изготовившего
лифт. Результаты осмотра записывают в журнале периодических осмотров лифта.
При обслуживании лифтов и осуществлении надзора
за ними должны строго выполняться все требования по безопасности. В частности,
запрещается:
а) производить пуск лифта с этажной площадки
через открытые двери шахты или кабины,
б) производить пуск лифта путём
непосредственного воздействия на аппараты, подающие напряжение на
электродвигатель,
в) выводить из действия предохранительные и
блокировочные устройства лифта,
г) пользоваться переносными лампами на
напряжение более 36 В,
д) подключать к цепи управления лифтом
электрические инструменты, лампы освещения или другие электрические приборы, за
исключением измерительных,
е) подниматься находясь на крыше кабины, за
исключением случая, когда управление лифтом производится посредством кнопочного
аппарата, установленного на крыше кабины со скоростью последней не более 0,36
м/с,
ж) лазить по шахте без лесов и лестниц, а также
опускаться по канатам.
В случае обнаружения при осмотре лифта или во
время его работы неисправности предохранительных устройств, сигнализации или
освещения, а также других неисправностей, угрожающих безопасному пользованию
лифтами или их обслуживанию, лифт должен быть остановлен впредь до устранения
выявленных повреждений и пущен вновь в работу с разрешения лица, устранившего
повреждения.
Для обеспечения нормальной работы лифта
необходимо периодически (не реже двух раз в месяц) производить подробный осмотр
всех его частей и проверку их действий. Во время таких осмотров выявляются
изношенные детали и производится их ремонт или замена.
Осмотр должен производиться электромехаником,
ведущим наблюдение за лифтом, совместно с помощником. Осмотр несущих канатов
должен производиться электромехаником, ведущим наблюдение за лифтом, совместно
с помощником. Осмотр ведущих канатов должен производиться электромехаником,
причём помощник по его сигналу включает лебёдку лифта и передвигает кабину с
помощью этажного реле, остановка кабины в этих случаях производится включением
главного рубильника.
Перед осмотром лифта электромеханик должен
выключать главный рубильник в машинном помещении и вывесить на дверях шахты
предупредительные надписи.
При осмотре электромеханик должен:
а) проверить ограждение шахты, обращая особое
внимание на состояние сеточного ограждения около дверных замков,
б) проверить с помощью шаблона крепление
направляющих и расстояние между ними по всей их высоте, убедиться, что кабина
при движении не имеет перекосов, убедиться в достаточности сжимания на
направляющих кабины и противовеса,
в) проверить действие замков шахты и дверей,
г) проверить состояние и работу лебёдки,
убедиться в отсутствии поломок и повреждений, необычного шума и вибрации,
чрезмерного нагрева подшипников, корпуса электродвигателя и катушек тормозного
электромагнита, проверить надёжность шпоночных и стопорных креплений, стяжку
болтовых соединений, наличие и уровень масла в ванне редуктора, отсутствие
утечки масла и т.д.
е) проверить крепление всех проводов на панели
управления, удалить нагар с рабочих поверхностей контактов, убедиться в
легкости хода подвижных частей контакторов и реле, протереть рабочие
поверхности сердечника и якорей контакторов и реле тряпкой, слегка пропитанной
чистым машинным маслом,
ж) проверить действие концевого выключателя
отдельно для крайнего верхнего и крайнего нижнего положения кабины,
з) проверить отводные блоки,
и) проверить наличие смазки в ограничителе
скорости и действие его путём переброски каната на малый шкив,
к) проверить работу дверных канатов кабины и
степень точности остановок кабины по этажным площадкам,
л) убедиться в том, что степень износа несущих
канатов не превышает установленных норм, что канаты не имеют механических
повреждений, при необходимости - произвести смазывание канатов по всей длине,
м) проверить действие пусковой аппаратуры и
этажных переключателей лифта,
н) проверить крепление проводов в машинном
помещении, в шахте и на кабине, убедиться в исправности осветительной системы
лифта и систем световой и звуковой сигнализации.
Электромеханик обязан прекратить работу лифта:
1) если не исправны замки шахты дверей, контакты
подвижного пола кабины и контакты блокировки,
) если не исправно тормозное устройство,
) если при движении кабины возникают необычный
шум, стук, скрежет,
) если происходит самопроизвольная посадка
кабины на ловители,
) если при пуске кабины начинает двигаться в
направлении, обратном заданному,
) если кабина, оборудованная кнопочным
управлением, не устанавливается на заданном этаже,
) если кабина не останавливается автоматически в
крайних рабочих положениях,
) если не действует концевой выключатель,
) если чрезмерно нагреваются подшипники
механизмов лифта,
) если обнаружена большая утечка масла из ванны
редуктора или подшипников электродвигателя,
) если произошли ослабление натяжения или обрыв
канатов кабины, противовеса или ограничителя скорости,
) если обнаружено искривление направляющих
кабины или противовеса, превышающее допустимое по установочному (монтажному)
чертежу,
) если произошло чрезмерное повреждение
нагревание изоляции электропроводов, определяемое по запаху гари,
) если обнаружены значительные повреждения
ограждения шахты.
До повторного ввода лифта в работу
электромеханик должен устранить все замеченные дефекты и неисправности, сообщая
о них администрации предприятия или учреждения и сделав соответствующие записи
в регистрационном журнале.
Заключение
В представленном курсовом проекте была
спроектирована автоматизированная система управления передвижения пассажирского
лифта.
Целью работы было получение начальных навыков
проектирования автоматизированных систем управления электроприводов.
Развитие всех отраслей народного хозяйства в
настоящее время определяется, прежде всего, машиностроением - новыми машинами,
интенсифицирующими производственные процессы, обеспечивающими резкое повышение
производительности труда. Это можно достигнуть, не только и не сколько создавая
принципиально новые машины, базирующиеся на передовых достижениях техники.
лифт электропривод пассажирский
кабина
Список использованных источников
1. Шеховцов В.П. «Расчёты
проектирования осветительных устройств и электроустановок промышленных
механизмов». - 2009 г.
2. Шеховцов В.П. «Расчёт и
проектирование ОУ и электроустановок промышленных механизмов» - 2010 г.
. Сайт «Школа электрика»
. Сайт «Всё по электричеству»