Проектирование автоматизированного электропривода лебедки пассажирского лифта грузоподъемностью 630 кг
Введение
Среди обязательных элементов
многоэтажных строений существует множество всевозможных приборов и устройств,
без которых функционирования строения было бы просто невозможным. Среди
важнейших технических элементов многоэтажных жилых домов, торговых центров и
промышленных помещений, можно выделить лифт, который обеспечивает комфортный, а
также, весьма быстрый способ перемещения в помещении относительно разных этажей
строения. На сегодняшний день, лифт присутствует практически в каждом высотном
здании, количество этажей которого превышает, как минимум, два. Причем в
отдельных случаях лифт представляет собой элемент определенной роскоши, а в
отдельных случаях его наличие, просто необходимо, а потому, лифт переходит из
разряда роскоши в обязательный и, просто необходимый элемент, в задачи которого
входит транспортировка людей и определенных грузов. Как правило, кабина лифта
совершает движения по вертикали, хотя на сегодняшний день, становятся
популярными различные виды эскалаторов и траволаторов, которые способны
совершать движения по горизонтали или под определенным углом наклона.
Последние, чаще всего, используются в торговых центрах, аэропортах и прочих
общественных заведениях.
На сегодняшний день, разрабатывается
великое множество самых разнообразных конструкций лифтов, которые могут
обладать самыми неоднозначными размерами, формами и модификациями, а также,
могут быть предназначены для различных типов строений, даже для коттеджей.
Среди преимуществ современных лифтов выделяют их надежность, экономичность,
бесшумность работы, комфорт, а также, высокие показатели мощности,
производительности и грузоподъемности. Подобные технические устройства являются
воплощением последних достижений в области электроники, гидравлики и механики,
обеспечивая мягкий и плавный ход, с прекрасными техническими характеристиками и
безупречными эстетичными свойствами.
.
Специальная часть
1.1 Технологический
раздел
Анализ технологического процесса
Лифт предназначен для
подъема и спуска людей. В отдельных случаях допускается, в сопровождении
пассажира, подъем и спуск грузов, вес и габариты которых вместе не превышают
номинальную грузоподъемность лифта и не повреждают оборудование и отделку его
кабины.
Принцип работы лифта
следующий. При нажатии кнопки вызывного аппарата в устройство управления лифтом
подается электрический сигнал (вызов). Если кабина находится на остановке, с
которой поступил вызов, открываются двери кабины и шахты на данной остановке.
Если кабина отсутствует, то подаётся команда на её движение. В обмотку
электродвигателя лебедки и в катушку электромагнита тормоза подается
напряжение, колодки тормоза разжимаются, и ротор электродвигателя начинает
вращаться, обеспечивая с помощью червячного редуктора вращение канатоведущего
шкива, который за счет сил трения приводит в движение кабину и противовес
посредством тяговых канатов.
При подходе к нужному
этажу устройство управления лифтом переключает электродвигатель лебедки на
работу с пониженной частотой вращения ротора. Скорость движения кабины
снижается, и в момент, когда порог пола кабины совместился с уровнем порога
двери шахты, кабина останавливается, включается в работу привод дверей, двери
кабины и двери шахты открываются. Включается выдержка времени 3 или 5 секунд (в
зависимости от положения перемычки). При входе пассажиров в кабину срабатывает
датчик наличия пассажира в кабине (контакт размыкается). Датчик наличия груза в
кабине срабатывает, если масса груза превышает 15 кг. Если кабина оказалась
загружена на 110% грузоподъемности, срабатывает датчик загрузки 110% (контакт
размыкается), приказы не регистрируются, включается световое табло
«ПЕРЕГРУЗКА», двери не закрываются. В кабинах с неподвижным полом включается
выдержка 5 секунд. Если в течение этого времени не будет зарегистрирован
приказ, то двери кабины закрываются и устройство переходит в исходное
состояние, т.е. готово к выполнению вызова.
При нажатии на кнопку
приказа кнопочного поста, расположенного в кабине, закрываются двери кабины и
шахты, и кабина отправляется на этаж, кнопка приказа которого нажата.
По прибытии на требуемый
этаж и выхода пассажиров двери закрываются, и кабина стоит на остановке до тех
пор, пока не будет вновь нажата кнопка любого вызывного аппарата.
Описание промышленной
установки
Лифт ЛП-631Б состоит из
составных частей, размещенных в шахте и машинном помещении. Машинное помещение
и шахту лифта образуют строительные конструкции знания (кирпичная кладка,
бетонные блоки и т.д.).
Основными составными
частями лифта являются: лебедка, кабина, противовес, направляющие кабины и
противовеса, двери шахты, ограничитель скорости, узлы и детали приямка,
электрооборудование и электроразводка.
Транспортировка
пассажиров и грузов производится в кабине, которая перемещается по вертикальным
направляющим.
Передвижение кабины и
противовеса осуществляется лебедкой, установленной в машинном помещении, с
помощью тяговых канатов. Там же располагается ограничитель скорости, устройство
управления, вводное устройство.
В нижней части шахты
(приямке) расположено натяжное устройство каната ограничителя скорости,
связанное посредством каната с ограничителем скорости, а также буферные
устройства кабины и противовеса.
Для входа в кабину и
выхода из неё шахта по высоте имеет ряд проёмов, закрытых дверьми шахты.
Открывание и закрывание дверей производится с помощью привода, установленного
на кабине. Двери шахты открываются только тогда, когда кабина находится на
данном этаже. В случае отсутствия кабины на этаже отрывание двери шахты снаружи
возможно только специальным ключом.
Лебедка установлена в
машинном помещении лифта и предназначена для приведения в движение кабины и
противовеса.
Основными составными
частями лебедки являются: редуктор, тормоз, рама, двигатель, канатоведущий
шкив, отводной шкив.
Кабина лифта подвешена
на тяговых канатах в шахте и предназначена для перевозки пассажиров. Кабина
лифта состоит из верхней балки, потолка, пола, створок дверей кабины, привода
дверей и балки нижней.
Ловитель клиновой
установленный на балке нижней предназначен для остановки и удержания кабины на
направляющих при превышении скорости движения кабины вниз относительно
номинальной до определенных пределов. Он рассчитан на совместную работу с
ограничителем скорости. Взвешивающее устройство предназначено для контроля степени
загрузки кабины и обеспечения попутных вызовов. При этом контролируется
величина груза 90% и 110% номинальной грузоподъемности 630 кг. При загрузке
кабины на 90% номинальной грузоподъемности автоматически исключается остановка
по попутному вызову.
Взвешивающее устройство
состоит из опоры, к которой на оси крепиться качалка. Уравновешивание подвижной
системы взвешивающего устройства осуществляется пружинами, закрепленных на
тяге.
Автоматическая дверь
кабины гарантирует безопасность пользования кабиной. Положение створок
(раздвинуты или закрыты) контролируется электрическим выключателем.
Двери шахты
предназначены для предотвращения доступа в шахту. Дверь шахты - раздвижная,
автоматическая, приводимая в движение дверью кабины состоит из балки,
поперечины, стоек, порога. К верхней части стоек крепятся балка и поперечина, к
нижней - порог. На балке установлены линейки, на которых установлены каретки с
закрепленными к ним с помощью шпилек створками. Каждая каретка перемещается по
линейке на роликах. Подшипники исключают возможность подъема и смещения кареток
с линеек. Наклон линеек обеспечивает закрывание дверей под действием
собственного веса.
Противовес предназначен
для уравновешивания веса кабины и половины номинальной грузоподъемности.
Противовес размещается в шахте лифта и с помощью подвески подвешен на тяговых
канатах.
Противовес состоит из
каркаса, в который уложены грузы.
Направляющие установлены
в шахте лифта на всем пути движения кабины и противовеса и закреплены к
строительной части шахты. Направляющие исключают разворот кабины и противовеса
вокруг вертикальных осей, а также раскачивание кабины и противовеса при
движении. Кроме этого, направляющие кабины воспринимают нагрузку при посадке
кабины на ловители.
Натяжное устройство
каната ограничителя скорости состоит из кронштейна, на котором на пальце
шарнирно установлен рычаг с блоком и грузом. Блок подвешен на петле каната
ограничителя скорости. Груз служит для натяжения каната. Угол наклона рычага
контролируется выключателем.
Шунты и выключатели
установлены как на кабине, так и в шахте лифта на разных отметках по высоте.
Они предназначены для обеспечения автоматической работы лифта. При
взаимодействии шунта с выключателем в схему управления лифтом выдается команда
на изменение скорости движения кабины, либо на её остановку.
Конечный выключатель
предназначен для отключения лифта в случае перехода кабиной крайних положений,
ограниченных уровнем верхнего и нижнего этажей.
Приямок находится ниже
уровня отметки нижней остановки. В нем расположены буфера кабины и противовеса.
Кинематическая схема лифта ЛП-631Б
представлена в графической части листа 1.
Кинематическая схема даёт наиболее
общее представление о движении кабины при вращении канатоведущих органов и
способах уравновешивания кабин с грузом при помощи противовеса.
При наличие канатоведущего (4) и
отводного (3) шкива тяговые канаты укладываются в лунки шкива, а их концы с
одной стороны диаметра прикрепляются к кабине (8), а с другой - к противовесу
(12). Натяжение канатов от веса кабины с грузом и веса противовеса создает в
лунках канатоведущего и отводного шкива нормальное давление и трение при
вращении шкивов, что в конечном счете приводит к необходимому тяговому усилию.
Применение противовеса обусловлено
двумя основными причинами: экономия энергии за счет уравновешивания силы
тяжести кабины и части массы груза и обеспечение достаточных сил сцепления
канатов с ободом шкива в лебедках. Для лифтов с канатоведущими шкивами
противовес является также необходимым условием обеспечения тягового усилия,
поэтому лифт с канатоведущим шкивом, но без противовеса невозможен.
К нижней части противовеса
прикрепляется цепь компенсирующая (13), которая применяется при высоте подъёма
более 45 м.
Вращение канатоведущих
органов то в одну, то в другую сторону осуществляется реверсивным
электродвигателем (7) через редуктор (5).
Часть шахты,
расположенная ниже уровня нижней посадочной площадки образует приямок, в
котором размещаются упоры или буферы, ограничивающие ход кабины (противовеса)
вниз и останавливающие с допустимым ускорением замедления.
Для предотвращения
аварийного падения кабины (противовеса) лифт оборудуется автоматической системой
включения ловителей от ограничителя скорости (1), срабатывающей при аварийном
превышении скорости.
В приямке
устанавливается натяжное устройство ограничителя скорости (10). Ограничитель
скорости может устанавливаться в машинном, блочном помещении, на кабине и
противовесе.
Подъемные механизмы всех
лифтов, независимо от их назначения, снабжаются тормозными устройствами (6).
Назначение тормоза - быстро поглотить кинетическую энергию вращающихся и
движущихся частей лифта, остановить и удерживать кабину в требуемом месте. На
лифтах с электроприводом, работающим на переменном токе, наложение тормоза
осуществляется после снятия напряжения с электродвигателя. Тормоз обычно
устанавливается на скоростном валу (вал двигателя), т.к. тормозной момент здесь
относительно небольшой.
Соединение
электрического оборудования кабины со станцией управления обеспечивается
посредством подвесного кабеля питания(11), смонтированного в шахте. Станция
управления работой лифта, приборы и аппараты находятся в машинном помещении.
1.2 Литературный обзор
по теме дипломного проекта
технологический двигатель электропривод
Анализ существующих схем
электропривода
В лифтовых установках применяются
электродвигатели, обладающие жесткой механической характеристикой и достаточной
перегрузочной способностью. К таким двигателям можно отнести трехфазные
асинхронные двигатели и двигатели постоянного тока с независимым возбуждением.
Электропривода постоянного тока
находили применение в скоростных лифтах, в которых скорость перемещения более 2
м/с. Это обусловлено необходимостью плавного регулирования скорости при пуске и
торможении кабины лифта. Первыми системами электропривода в таких лифтах бала
система генератор - двигатель. Регулирование скорости в такой системе
производится за счет изменения ЭДС генератора путем управления током в обмотке
возбуждения генератора. К достоинству системы Г-Д можно отнести плавное
регулирование скорости движения кабины лифта. В тоже время имеются и
существенные недостатки, такие как большие габариты и масса приводной установки,
завышенная мощность электрических машин системы Г-Д, низкий кпд, сложность
схемы управления, частые профилактические мероприятия.
С появлением тиристоров система Г-Д
была полностью вытеснена системой тиристорный преобразователь - двигатель постоянного
тока. Эта система лишена ряда существенных недостатков системы Г-Д, поэтому она
на долгие годы стала основной системой регулируемого электропривода лифтовых
установок. Регулирование скорости в системе ТП-ДПТ осуществляется за счет
изменения величины выпрямленного напряжения. Применение управляемых
выпрямителей позволяет работать двигателю в генераторном режиме с рекуперацией
энергии в сеть, что является одним из достоинств данной системы. Вместе с тем
применение ТП приводит к усложнению системы управления из-за наличия режима
прерывистых токов. А наличие щеточно-коллекторного узла в конструкции ДПТ в
настоящее время привело к полному вытеснению привода постоянного тока приводом
переменного тока.
Привод переменного тока лифтовых
установок можно разделить на регулируемый и не регулируемый. Не регулируемый
привод применялся в тихоходных лифтах со скоростью менее 1 м/с. Для обеспечения
точной остановки производится переход на пониженную скорость изменением
механической характеристики или переключением двигателя на пониженную скорость.
В первом случае используются асинхронный двигатель с микроприводом или
асинхронный двигатель с фазным ротором (в настоящее время не применяются). Во
втором случае используются лифтовые двухскоростные двигатели, которые применяются
и в настоящее время. Применение двухскоростных двигателей не позволяет
оптимально регулировать скорость кабины лифта, но позволяет незначительно
уменьшить потери энергии при переходе на пониженную скорость за счет
рекуперативного торможения.
Современный регулируемый
электропривод лифтовых установок строится на основе системы преобразователь
частоты - асинхронный двигатель с короткозамкнутым ротором, которая по своим
характеристикам не уступает системе ТП-ДПТ. В зависимости от условий применения
преобразователи частоты строятся на основе автономного инвертора напряжения с
управляемым или неуправляемым выпрямителем. Преобразователи с неуправляемым
выпрямителем применяются, как правило, в приводах мощностью менее 30кВт. Однако
выбор того или иного преобразователя зависит от условий работы привода.
Для регулирования скорости в системе
ПЧ-АД используются два основных способа:
) скалярное управление;
) векторное управление.
Скалярное управление заключается в
согласованном изменении амплитуды и частоты питающего напряжения (тока), что
позволяет плавно регулировать скорость вращения двигателя. Существует два вида
систем скалярного управления: разомкнутые (вольтчастоные) и замкнутые (системы
стабилизации потокосцепления). Системы скалярного управления имеют хорошие
регулировочные свойства электропривода в статических режимах работы.
Динамические же свойства определяются функцией задания частоты в переходном
процессе и параметрами самого электропривода, в первую очередь отношением
электромеханической постоянной времени к электромагнитной.
Векторное или амплитудно-фазовое
управление позволяет добиться наилучших энергетических и регулировочных
свойств, как в статических, так и в динамических режимах работы. Высокие
показатели получаются за счет раздельного управления магнитного потока и
электромагнитного момента с помощью составляющих тока статора, по аналогии с
ДПТ НВ. Векторные системы управления применяются для механизмов с высокими
требованиями к динамике. К таким механизмам можно отнести и лифты, поскольку в
большинстве случаев формирование переходных процессов должно происходить с
учетом ограничения ускорения и рывка.
Такие фирмы как Omron, Siemens, ABB выпускают
преобразователи частоты ориентированные на применение их для управления
скоростью движения лифтов. Причем в преобразователях реализованы как скалярные,
так и векторные способы управления асинхронным двигателем.
Формулирование требований к
автоматизированному электроприводу и автоматизации промышленной установки
Формулирование требований к
автоматизированному электроприводу выполняется исходя из обеспечения
нормального протекания технологического процесса. В дальнейшем на основе
требований будет производиться проектирование функциональной схемы
электропривода и выбор комплектного преобразователя.
Электропривод лифта должен
обеспечить:
) реверсивную работу.
) плавный пуск и торможение при
условии, чтобы ускорения и замедления, а также их производные не превышали
установленные нормы:
среднее значение ускорения кабины
при пуске и замедлении в нормальных режимах работы составляет 1 м/с2;
максимальное значение ускорения
кабины при пуске и замедлении в нормальных режимах работы составляет 1,5 м/с2;
максимальное замедление при
остановке кнопкой «Стоп» не должно превышать 4 м/с2;
максимальное значение рывка
(скорость изменения ускорения) не должно превышать 2 м/с3.
Ограничение ускорения и рывка
определяется нормальным самочувствием пассажиров независимо от их возраста и
состояния здоровья, а также необходимо в целях снижения динамических нагрузок
на несущие канаты и кабину лифта.
) постоянство скорости движения
кабины вне зависимости от массы перевозимого груза. При этом относительный
перепад скорости должен быть не более ±5%.
) точную остановку кабины против
уровня пола этажа. Для обеспечения удобства и безопасного входа и выхода
пассажиров кабина лифта после торможения должна останавливаться против уровня
этажной площадки с заданной степенью точности (не более ±5 мм). Для обеспечения точной остановки кабины может быть
предусмотрена пониженная скорость равная 10-20% от номинальной.
) перегрузочную способность не менее
1,5. При этом снятие механического тормоза должно происходить только при
величине тока двигателя, при котором обеспечивается необходимый момент для
удержания кабины. Отключение электродвигателя должно сопровождаться наложением
механического тормоза.
) повторно-кратковременный режим
работы двигателя с числом включений в час 180.
Питание силовых электрических цепей
лифта должно производиться от сети переменного тока напряжением не более 380В с
частотой 50 Гц, а цепей управления, освещения и сигнализации - напряжением не
более 220В переменного тока и 24В постоянного тока.
Электропривод должен отвечать всем
требованиям противопожарной и электробезопасности, а также требованиям охраны
труда. Во время работы привод не должен создавать повышенный шум и вибрации на
несущие конструкции здания. Так как уровень допускаемого шума не должен
превышать более 50 дБ.
Помимо вышеуказанных требований
можно выделить такие требования как минимальные габариты и масса, удобство
наладки и диагностики, удобство монтажа и ремонта, а также минимальная
стоимость электрооборудования.
При автоматизации подъемной
установки какие-либо действия оператора исключаются, и управление процессом
точной остановки полностью возлагается на электропривод и систему управления.
Система управления также должна обеспечить надежную работу электропривода при
возникновении аварийной ситуации с соответствующей визуальной сигнализацией.

Подводя итог можно
сделать заключение, что наиболее оптимальной системой электропривода является
система ПЧ-АД, а для обеспечения высоких динамических свойств будем применять
векторное управление.
Таблица 1 - Технические
данные лифта ЛП-631Б
|
Параметры
|
Значение
|
|
Грузоподъемность, кг
|
630
|
|
Масса кабины лифта, кг
|
1180
|
|
Вместимость кабины, человек
|
8
|
|
Внутренние размеры кабины, мм
|
1040´1380´2100
|
|
Скорость движения кабины, м/с
|
1
|
|
Ускорение кабины, м/ 1,5
|
|
|
Наибольшая высота подъема, м
|
75
|
|
Диаметр канатоведущего шкива, мм
|
650
|
|
Диаметр отводного шкива, мм
|
435
|
|
Диаметр несущих канатов, мм
|
10,5
|
|
Коэффициент трения лифта о направляющие
|
0,05
|
|
Продолжительность включений, %
|
40
|
|
КПД механических передач
|
0,6
|
1.3 Расчётная часть
Предварительный
расчёт мощности двигателя
Для предварительного выбора
двигателя рассчитаем массу противовеса. Расчёт времени участков цикла на этапе
предварительного выбора двигателя выполняем приблизительно, т.к. пока нельзя
определить время разгонов и замедлений (суммарный момент инерции привода до
выбора двигателя неизвестен). Масса противовеса:

(1.1)
Примем, что при
перемещении с 11 этажа на 1 масса груза составила 630 кг; с 1 этажа на 5 - 225
кг; с 5 на 2 - 375 кг; с 2 на 8 - 150 кг.
Активные составляющие
момента статического сопротивления на канатоведущем шкиве:

= (1180 + 630
1004 Нм (1.2)

325 * 9,81=
287Нм (1.3)

= (1180 + 375
191 Нм (1.4)

= (1180 + 150
Нм
(1.5)
Реактивные составляющие
момента статического на канатоведущем шкиве:

=
(1180 + 630
*

(1.6)

=
(1180 + 225
*

(1.7)

=
(1180 + 375
*

(1.8)

=
(1180 + 150
*

(1.9)
Моменты статического
сопротивления на канатоведущем шкиве:

(двигательный режим)
(1.10)

(двигательный режим)
(1.11)

(тормозной режим) (1.12)

(тормозной режим) (1.13)
Угловая скорость
канатоведущего шкива:

(1.14)
Расстояние между
этажами:

(1.15)
Время движения при
перемещении на 10 этажей (приблизительно):

(1.16)
Время движения при
перемещении на 1 этаж (приблизительно):

(1.17)
Время движения при
перемещении на 3 этажа(приблизительно):

(1.18)
Время движения при
перемещении на 4 этажа(приблизительно):

(1.19)
Время движения при
перемещении на 6 этажа(приблизительно):

(1.20)
Время работы в цикле
(приблизительно):

172,5 с (1.21)
Время стоянки на этаже
(приблизительно):

(1.22)
Предварительный
выбор электродвигателя
Ориентируемся на выбор
двигателя серии 4А, рассчитанного на номинальный повторно-кратковременный режим
работы с 
Эквивалентный
статический момент на канатоведущем шкиве за время работы в цикле (с учетом
потерь в передачах):

=
= 
(1.23)
Учет влияния потерь в
передачах выполняется подстановкой значений:

- в тормозном режиме
(знаки момента и скорости различны);

- в двигательный режим
(знаки момента и скорости одинаковы).

(1.24)

(1.25)

(1.26)

(1.27)
Расчетная мощность
двигателя:

, (1.28)
где, 
- коэффициент запаса
(принимаем 
Выбираем двигатель серии 4А.
Асинхронный двигатель 4А80В2У3 имеет следующие технические данные []:
Таблица 2 - Технические данные
двигателя типа 4А80В2У3
|
Uном,
В
|
Pном,
кВт
|
n0,
об/мин
|
з, %
|
cos ц
|
Sном,
%
|
Jдв,
кг*м2
|
iп
|
f,
Гц
|
Uф.ном,
В
|
|
380
|
2,2
|
2850
|
83
|
0,87
|
0,38
|
0,0021
|
6,5
|
50
|
220
|
Построение
нагрузочной диаграммы
Для проверки выбранного двигателя по
нагреву выполним построение упрощенной нагрузочной диаграммы двигателя (без
учета электромагнитных переходных процессов). Для построения нагрузочной
диаграммы произведем расчет передаточного числа редуктора, приведение моментов
статического сопротивления и рабочих скоростей к валу двигателя, примем
динамический момент и ускорение электропривода с учетом перегрузочной
способности двигателя и заданного допустимого ускорения.
Передаточное число редуктора:

(1.29)
Моменты статического
сопротивления, приведенные к валу двигателя:

(1.30)
для XY = 111, 15, 52, 28,
где 
- функция знака
скорости:

(1.31)

(1.32)

(1.33)

(1.34)
Суммарный момент инерции
привода:

(1.35)
где 
- коэффициент,
учитывающий моменты инерции полумуфт и редуктора (принимаем равным 1,2).
Примечание: считаем, что
момент инерции не зависит от массы груза в кабине, поэтому подставляем в
формулу массу номинального груза.
Модуль динамического
момента двигателя по условию максимального использования двигателя по
перегрузочной способности:

(1.36)

- максимальный по
модулю статический момент, приведённый к валу двигателя.
Ускорение вала двигателя
в переходных режимах:

(1.37)
Ускорение кабины лифта:

(1.38)
Ускорение кабины лифта
менее максимально-допустимого.
Разбиваем нагрузочную
диаграмму на 16 интервалов: 4, 8, 12, 16 - интервалы пауз; 1, 5, 9, 13 - интервалы
разгона; 3, 7, 11, 15 - интервалы замедления; 2, 6, 10, 14 - интервалы работы с
установившейся скоростью.
Продолжительность
интервалов разгона-замедления:

(1.39)

(1.40)
Путь кабины при
разгоне-замедлении:

(1.41)
Путь кабины при
перемещении на 10 этажей, пройденный на постоянной скорости:

(1.42)
Путь кабины при
перемещении на 1 этаж, пройденный на постоянной скорости:

(1.43)
Путь кабины при
перемещении на 3 этажа, пройденный на постоянной скорости:

(1.44)
Путь кабины при
перемещении на 4 этажа, пройденный на постоянной скорости:

(1.45)
Путь кабины при
перемещении на 6 этажей, пройденный на постоянной скорости:

(1.46)
Время движения с
постоянной скоростью при перемещении на 10 этажей:

(1.47)
Время движения с
постоянной скоростью при перемещении на 1 этаж:

(1.48)
Время движения с
постоянной скоростью при перемещении на 3 этажа:

(1.49)
Время движения с
постоянной скоростью при перемещении на 4 этажа:

(1.50)
Время движения с
постоянной скоростью при перемещении на 6 этажей:

(1.51)
Время работы в цикле:

(1.52)
Время стоянки на этаже:

(1.53)
Моменты двигателя на
интервалах разгона:

(1.54)

(1.55)

(1.56)

(1.57)
Моменты двигателя на
интервалах движения с постоянной скоростью:

(1.58)

(1.59)

(1.60)

(1.61)
Моменты двигателя на
интервалах движения с постоянной скоростью:
Проверка выбранного
электродвигателя по нагреву и перегрузочной способности
Для проверки двигателя
по нагреву используем метод эквивалентного момента. Используя нагрузочную
диаграмму, находим эквивалентный по нагреву момент за время работы в цикле.
Затем приводим эквивалентный момент к номинальной продолжительности включения
двигателя. Для нормального теплового состояния двигателя необходимо, чтобы
приведённый к номинальной ПВ эквивалентный момент был не больше номинального
момента двигателя.
Эквивалентный момент за
время работы в цикле (по нагрузочной диаграмме):

=5,58Нм (1.62)
Приведенный к
номинальной ПВ эквивалентный момент:

(1.63)
Так как условие 
выполняется (
то выбранный двигатель
проходит по нагреву.
Запас по нагреву:

(1.64)
Запас более 11%
Расчёт параметров и
выбор силовых элементов электропривода
Из справочника выбираем двигатель
типа 4А80В2У3, технические данные которого приведены в таблице 3.
Таблица 3 - Технические данные
двигателя типа 4А80В2У3
|
Uном,
ВPном, кВтn0,
об/минз, %cos цSном,
%Jдв, кг*м2iпf, ГцUф.ном,
В
|
|
|
|
|
|
|
|
|
|
|
380
|
2,2
|
2850
|
83
|
0,87
|
0,38
|
0,0021
|
6,5
|
50
|
220
|
Произведем предварительный расчет
механической части электропривода.
Находим номинальный момент
электродвигателя

(1.65)
гдещном -
номинальная угловая скорость вращения вала двигателя

(1.66)
где щ0 -
угловая скорость вращения вала двигателя при холостом ходу

(1.67)
Находим максимальную
угловую скорость вращения вала двигателя

(1.68)
Находим минимальную
угловую скорость вращения вала двигателя

(1.69)
Находим приведенный
момент механической передачи

(1.70)
гдеMмех - механический момент;
iп
- отношение начального пускового тока к номинальному.

(1.71)
Находим момент нагрузки,
приведенный к валу двигателя

(1.72)
Находим максимальный
момент

(1.73)
Находим пусковой момент

(1.74)
Находим минимальный
момент

(1.75)
Находим момент инерции
механизма

(1.76)
Определим потери в
двигателе

(1.77)

(1.78)

(1.79)

(1.80)

(1.81)

(1.82)
Находим момент холостого
хода

(1.83)

(1.84)
где Mэ.ном - эквивалентный номинальный момент

(1.85)

(1.86)
Находим ток статора

(1.87)
Находим активное
сопротивление статора

(1.88)


(1.89)
Находим индуктивное
сопротивление короткого замыкания

(1.90)

(1.91)
Находим сопротивление
ротора

(1.92)

Ом
Находим индуктивное
сопротивление статора и ротора

(1.93)
Находим критическое
скольжение двигателя

(1.94)
Находим ток холостого
хода

(1.95)
Находим приведенный ток
ротора

(1.96)
Находим активное
сопротивление взаимной индукции

(1.97)

(1.98)
Находим индуктивное
сопротивление взаимной индукции

(1.99)
Находим индуктивность
статора

(1.100)
Находим индуктивность
ротора

(1.101)
Находим взаимную
индукцию

(1.102)
Находим эквивалентное
сопротивление цепи статора

(1.103)
Находим эквивалентную
индуктивность цепи статора

(1.104)
Находим суммарный момент
инерции ЭП

(1.105)
Выбор силовых ключей
инвертора.
В качестве силовых
ключей рекомендуется использовать модули IGBT,
в состав которых входят биполярные транзисторы с изолированными затворами и
обратные диоды.
Предварительный выбор.
Находим номинальный
фазный ток статора

(1.106)
Находим средний ток
через силовой ключ

(1.107)
гдеkз - коэффициент запаса, учитывающий перегрузку по току при
коммутации ключа; kз =
2;
Imax
- амплитудное значение тока в плече силовой цепи инвертора.

(1.108)
Находим рабочее
напряжение на силовом ключе

(1.109)
гдеUmax - амплитудное значение напряжения в
силовой цепи инвертора;
ДUп.н - коммутационное перенапряжение на ключе.

(1.110)
гдеUл - линейное напряжение сети; Uл
= 380 В.
С учетом рекомендаций
принимаем значение перенапряжения Uп.н
= 600 В.
На основании выражений
(1) и (2) по каталогу был выбран силовой модуль типа 202GB1280, технические параметры которого приведены в таблице 4.
Таблица 4 - Технические
параметры силового модуля типа 202GB1280
|
Величины
|
Значения
|
|
Рабочее напряжение Uраб,
В
|
1200
|
|
Ток коллектора Ic,
А
|
190
|
|
Напряжение насыщения UCEsat,
В
|
1,9
|
|
Общая энергия потерь переключения Etat,
мДж
|
21
|
|
Среднеквадратичное значение тока ICRMS,
А
|
100
|
|
Тепловое сопротивление «кристалл - корпус» Rthjc, ̊C/Вт
|
0,165
|
Выбор силовых вентилей выпрямителя
Выбор тиристоров по току.
Находим действующее значение тока
фазы

(1.111)
Находим действующее
значение тока

(1.112)
Находим действующее
значение тока через вентиль

(1.113)
Предварительно выбираем
вентиль по соотношению

(1.114)
гдеkзо - коэффициент, учитывающий отклонение условий работы вентилей от
номинальных; kзо = 1,15;
kзрi - коэффициент запаса по току в рабочем режиме; kзрi=
1,45.
Из справочника был
выбран тиристор типа Т112-10 с охладителем типа О111-60, технические данные
которых приведены в таблице 5.
Таблица 5 - Технические
данные тиристора типа Т112-10 и охладителя типа О111-60
|
UT(TO),
В
|
rТ,
мОм
|
Rthja,
̊C/Вт
|
Rthjc,
̊C/Вт
|
Rthha,
̊C/Вт
|
Tjm,
̊C
|
Ta,
̊C
|
ITAVm,
А
|
Rthch,
̊C/Вт
|
|
1,25
|
29,1
|
7,5
|
1,8
|
5,5
|
125
|
40
|
6,287
|
0,2
|
Для выбранного тиристора
рассчитываем максимальный допустимый средний ток при заданном режиме и условиях
работы

(1.115)
гдеUT(TO)
- пороговое напряжение;
kфi - коэффициент формы тока;
rT
- дифференциальное сопротивление;
Tjm
- максимально допустимая температура;
Ta
- температура охлаждающей среды;
Rthja
- тепловое сопротивление «переход - среда»;

(1.116)

(1.117)
гдеRthch - тепловое сопротивление «корпус -
контактная поверхность охладителя»;
Rthjc
- тепловое сопротивление «переход - корпус»;
Rthha
- тепловое сопротивление «контактная поверхность охладителя - охлаждающая
среда»
Выбранный тиристор
должен удовлетворять условию

(1.118)
Условие выполняется.
Максимально допустимое
напряжение, прикладываемое к вентилю, не должно превышать допустимого значения
повторяющегося импульсного напряжения

(1.119)
гдеkзu
- коэффициент запаса по напряжению; kзu= 1,3;
kc
- коэффициент, учитывающий возможное повышение напряжения в сети; kc= 1,1;
Uобр.m - максимальное обратное напряжение на вентиле.

(1.120)
Тиристоры выбраны верно.
Выбор конденсаторов
силового фильтра.
Находим суммарную
емкость конденсаторов силового фильтра

(1.121)
гдеUd - среднее значение выпрямленного
напряжения;
Tэ
- постоянная времени нагрузки;
Rэ
- активное сопротивление нагрузки;
ДUc - допустимое повышение напряжения
на конденсаторе.

(1.122)
гдеkсх - коэффициент схемы; kсх
= 0,9.

(1.123)

(1.124)
Находим максимальное
допустимое напряжение на конденсаторе

(1.125)
На основе результатов
выбираем конденсатор силового фильтра.
Конденсатор К78-99.
Выбор аппаратуры защиты
и коммутации
Для того чтобы во всех
случаях гарантировать сохранность двигателя, в современных электроприводах
применяются различные виды защит. Защита должна обладать свойством
универсальности. При любых ситуациях, угрожающих аварией, она должна либо
действовать на сигнал, либо отключать двигатель. Известно много разнообразных
устройств, предназначенных для защиты асинхронных двигателей. Все они имеют
определенные достоинства и недостатки. Однако осуществить принцип
универсальности в полной мере не удаётся. Для защиты асинхронных двигателей
применяют плавкие предохранители, реле с биметаллическими пластинами (тепловые
реле), встроенную температурную защиту.
Плавкие предохранители - самое простое и наиболее распространенное устройство
защиты. Их работа основана на принципе разрыва электрического тока в специально
ослабленном месте. Плавкие вставки в цепях короткозамкнутых двигателей выбирают
по рабочему току и проверяют по пусковому.
Для защиты асинхронного
двигателя выбираем блок защиты СиЭЗ-4И-1-25.
Устройство защиты
электродвигателей СиЭЗ-4И-1-25 предназначено для защиты 3-х фазных
электродвигателей с номинальными (рабочими) токами в диапазоне 1 ч 25 А
(ориентировочной мощностью 0,35 ч 12 кВт).
иЭЗ-4И-1-25
обеспечивает: индикацию токов по трем или одной фазам по выбору; цифровую
установку номинального (рабочего) тока защиты; индикацию вида аварии; индикацию
токов аварийных режимов при срабатывании защиты; установку токо-временной
характеристики защиты в зависимости от режимов работы электродвигателя и его
технических характеристик; установку времени задержки контроля токо-временной
характеристики защиты на время пуска электродвигателя в зависимости от режимов
работы электродвигателя и его технических характеристик; цифровую установку
тока защиты по минимальному току; возможность включения и отключения
необходимых параметров защит; управление по релейному выходу пускателем
электродвигателя; подключение внешней индикации по релейному выходу аварийной
сигнализации; режим автоматической разблокировки устройства (снятие режима
«Авария») при необходимости по истечении заданного времени.
Таблица 6 - Технические
характеристики блока защиты СиЭЗ-4И-1-25.
|
Время срабатывания защиты по обрыву фазы
|
2 + 0,5 С
|
|
Время срабатывания защиты по минимальному току
|
3 + 0,5 С
|
|
Порог срабатывания по сопротивлению изоляции перед пуском
|
Rиз.<0.5МОм
|
|
Нагрузочная способность выходных контактов управления и
индикации
|
5 А
|
|
Потребляемая мощность
|
3 Вт
|
|
Степень защиты
|
IP20
|
|
Габаритные размеры
|
110х90х 70 мм
|
1.4 Проектирование
электрической функциональной схемы электропривода
На основании сформулированных
требований, рассчитанной силовой схемы выбираем автоматический регулятор
скорости вращения Varispeed L7 фирмы OMRON.
Для управления скоростью
электропривода будем применять частотное регулирование, потому что данный
способ является наиболее оптимальным. Принцип его заключается в том, что,
изменяя частоту питающего двигатель напряжения, можно изменять его частоту
вращения холостого хода, получая тем самым различные искусственные
характеристики. Этот способ обеспечивает плавное регулирование в широком
диапазоне.
Исходя из высоких требований к
динамике принимаем векторное управления электроприводом лифта.
Любая система частотного управления
состоит из силового преобразователя и системы управления. В качестве
преобразователя частоты выбираем автономный инвертор напряжения на IGBT
транзисторах с не управляемым выпрямителем на входе. Регулирование частоты
напряжения осуществляется путем изменения частоты переключения ключей
инвертора.
Электрическая функциональная схема
преобразователя частоты OMRON.
Основным «мозговым» узлом, в задачу
которого входит исполнение программного кода, находящегося в памяти является
процессор. Он непосредственной связью соединён со всеми блоками частотного
преобразователя.
Пульт управления преобразователя
частоты является инструментом обмена информацией между преобразователем частоты
и пользователем. С помощью пульта управления устанавливаются значения
параметров, считываются данные о текущем состоянии и подаются управляющие
команды.
Коммуникационный модуль позволяет
осуществлять системную сеть передачи данных.
В основе построения интерфейса RS
232/485 лежит дифференциальный способ передачи сигнала, когда напряжение,
соответствующее уровню логической единицы или нуля, отсчитывается не от
«земли», а измеряется как разность потенциалов между двумя передающими линиями:
Data+ и Data- При этом напряжение каждой линии относительно «земли» может быть
произвольным, но не должно выходить за диапазон -7…+12 В.
Гальванические развязки используются
для передачи сигналов, для бесконтактного управления и для защиты оборудования
и людей от поражения электрическим током.
Аналоговый интерфейс предназначен
для передачи информации, необходимой для автоматизации согласования параметров.
Драйверы осуществляют трансляцию
однотипных для всех устройств обращений к ним из процессов и из других модулей
ОС в специфические для устройства управляющие воздействия и управляют
выполнением этих воздействий.
Дискретный интерфейс - это канал
связи, обеспечивающий передачу информации в дискретной форме.
В современных преобразователях также
можно косвенно измерять скорость. В этом случае ошибка по скорости составляет
2% и диапазон регулирования скорости не превышает D=100. В нашем случае для
контроля положения используется фотоэлектрический импульсный датчик, сигналы
которого можно использовать и для определения скорости.
Для регулирования основных величин в
системе управления применяются соответственно регуляторы скорости,
потокосцепления и составляющих вектора тока статора.
Выходной фильтр помех применяется
для ослабления электромагнитных помех, генерируемых в выходной цепи работающего
преобразователя частоты.
2.
Экономическая часть
Использование в производственном
процессе автоматизированного электропривода блока регулятора тока частотного
преобразователя OMRON необходимо оптимизировать не только с точки зрения его
технических характеристик (надежность, долговечность, рациональность), но и с
экономической точки зрения. Данный аспект проблемы возникает в связи с тем, что
затраты, связанные с эксплуатацией электропривода, в том числе осуществлением
наладочных работ, в конечном счете, являются частью денежных затрат предприятия
на производство и реализацию продукции. В соответствии с «Основными положениями
по составу затрат, включаемых в себестоимость продукции (работ, услуг)» затраты
на наладку и эксплуатацию производственного оборудования будут включены в
себестоимость конечной продукции, отразятся на цене реализации и в итоге на
финансовом результате деятельности предприятия. В связи с этим существенное
значение имеет расчет себестоимости наладочных работ, и выявление возможностей
минимизации затрат предприятия в этом направлении.
Для принятия оптимальных
управленческих и финансовых решений, необходимо знать состав затрат
предприятия. Анализ издержек позволяет определить:
эффективность расходов,
уточнить оптимальный размер затрат,
проверить хозяйственные показатели
ведение счетно-учетных операций;
способствовать выработке тактических
решений по регулированию и контролю расходов,
способствовать выработке
стратегических решений по регулированию и контролю расходов.
Анализ издержек выявляет различные
виды расходов и определяет пути их регулирования. Знание структуры затрат и
тенденции их изменений способствует принятию мер по повышению эффективности и
постепенному снижению расходов.
Величину и структуру затрат,
образующих себестоимость наладочных работ, наиболее целесообразно определять в
соответствии с калькуляционной классификацией. Калькуляционная классификация
отражает место возникновения затрат и применяется для определения затрат на
единицу продукции (работ, услуг). Группировка затрат по статьям калькуляции
осуществляется в зависимости от их функциональной роли в производственном
процессе. Типовая классификация затрат на машиностроительных предприятиях
рекомендована Основными положениями по планированию, учету и калькулированию
себестоимости на промышленных предприятиях, разработанными Министерством
промышленности республики. Затраты, связанные с осуществлением наладочных
работ, целесообразно группировать в зависимости от их экономической роли в
процессе производства. Исходя из этого затраты подразделяются на основные и
накладные. Основные затраты связаны непосредственно с процессом производства, а
накладные затраты - с организацией, управлением, технической и технологической
подготовкой производства и его обслуживанием. Структура затрат, сформированная
по статьям калькуляции, дает возможность установить трудоемкость и
материалоемкость производимых наладочных работ; определить удельный вес каждой
группы затрат и разработать конкретные мероприятия по минимизации данного вида
затрат.
Наладочные работы представляют собой
услугу производственного назначения, и в соответствии с законодательством
Республики Беларусь расчет полной себестоимости наладочных работ электропривода
может быть произведен по следующим статьям затрат:
Таблица 6 - Расчёт полной
себестоимости наладочных работ автоматизированного электропривода
|
№
|
Статьи затрат
|
|
1.
|
Материальные затраты 1.1. Комплектующие изделия 1.2. Материалы
1.3. Возвратные отходы
|
|
2.
|
Трудовые затраты 2.1. Основная заработная плата 2.2. Дополнительная
заработная плата 2.3. Отчисления от заработной платы
|
|
3.
|
Накладные расходы 3.1. Коммунальные услуги 3.2. Услуги связи 3.3
Амортизация 3.4. Услуги банка 3.5. Транспортные услуги (в том числе по вывозу
мусора) 3.6. Приобретение предметов снабжения и расходных материалов 3.7.
Прочие расходы (поверка инструмента, сертификация, санитарно-гигиенические
услуги, пожарная сигнализация)
|
|
4.
|
Итого себестоимость
|
Наладочные работы в процессе
эксплуатации электропривода являются достаточно трудоемким этапом, что отражается
на их себестоимости. В связи с этим, предварительно определяем трудоемкость
наладочных работ электропривода. Технико-экономические расчеты затрат,
составляющих себестоимость наладочных работ, производим с учетом расчетов
трудоемкости.
Расчёт трудоёмкости наладочных работ
электропривода блока регулятора тока частотного преобразователя OMRON приведён
в таблице 7.
Таблица 7 - Расчёт трудоёмкости
|
Наименование процедур, операций
|
Трудоёмкость наладки одного элемента
|
Количество этапов процедур, операций
|
Общая трудоёмкость, час
|
|
Работа с технической документацией.
|
50 мин
|
1
|
0,8
|
|
Проверка заземления.
|
20 мин
|
1
|
0,3
|
|
Проверка с помощью тестовой аппаратуры.
|
5 мин
|
35
|
2,9
|
|
Регулировка и замена элементов
|
5 мин
|
23
|
1,9
|
|
Проверка работоспособности после наладки
|
15 мин
|
4
|
1
|
|
Проверка заземления.
|
10 мин
|
1
|
0,1
|
|
Итого:
|
7
|
Стоимость материальных ресурсов,
включаемых в затраты на производство наладочных работ по статье затрат
«Материальные затраты», формируется, исходя из фактически произведенных
расходов на покупку материальных ресурсов. При расчете стоимости материальных
ресурсов учитывается стоимость покупных комплектующих изделий и материалов.
Стоимость принимается по действующим прейскурантам []
Таблица 8 - Стоимость комплектующих
изделий
|
Наименование заменяемого элемента
|
Цена за единицу, руб.
|
Количество заменяемых элементов, шт.
|
Общая сумма, руб.
|
|
Транзистор КТ683А
|
2975
|
3
|
8925
|
|
Диод Д522Б
|
2475
|
11
|
27225
|
|
Резистор С2-29В
|
4380
|
8
|
35040
|
|
Конденсатор К10-73
|
370
|
1
|
370
|
|
Итого:
|
23
|
71560
|
Стоимость принимается по действующим
прейскурантам [].
Таблица 9 - Стоимость комплектующих
материалов определяется из видов материала и их количества
|
Наименование материала
|
Ед. изм.
|
Цена за единицу, руб.
|
Норма расхода на одну пайку
|
Количество паек
|
Сумма, руб.
|
|
Припой ПОС-61 Пруток d 8 мм
|
кг
|
750000
|
0,002
|
49
|
73500
|
|
Канифоль для пайки
|
кг
|
34720
|
0,0003
|
49
|
510
|
|
Очиститель (изопропиловый спирт)
|
л
|
85000
|
0,0004
|
49
|
1666
|
|
Итого
|
|
|
|
|
75676
|
В статью затрат
«Материальные затраты», кроме того, входит стоимость электроэнергии затраченной
в процессе производства наладочных работ.
Затраты на электрическую энергию
состоят из затрат на потребляемую энергию паяльника и лампы местного освещения,
но так как энергоёмкость данных приборов невелика, затраты являются
несущественными и их можно не учитывать.
Таблица 10 -
Калькуляция материальных затрат (Зм)
|
Наименование затрат
|
Индекс
|
Сумма, руб.
|
Примечание
|
|
Комплектующие изделия
|
Ски
|
71560
|
|
|
Материалы
|
Скм
|
75676
|
|
|
Возвратные отходы
|
ВО
|
2945
|
2%(Ски+ Скм)
|
|
Итого:
|
|
144291
|
|
В статью затрат «Трудовые затраты»
включаются общая заработная плата наладчика и отчисления от заработной платы.
Общая заработная плата наладчика
определяется как сумма основной заработной платы и дополнительной:
ЗПобщ=ЗПосн+ЗПдоп (2.1)
Основная заработная плата (ЗПосн)
- оплата за фактически отработанное время; дополнительная (ЗПдоп) -
оплата за неотработанное время, т.е. отпускные, вознаграждение за выслугу лет, надбавки за высокое
профессиональное мастерство и т.д.
Основная заработная плата
определяется как произведение часовой тарифной ставки соответствующей разряду
наладочных работ (в рублях) и трудоёмкости выполнения наладочных работ (в
часах):
ЗПосн=Тч*Тс*Кпр (2.2)
где Тч - часовая тарифная ставка;
Тс - трудоёмкость выполнения работ;
Кпр - коэффициент премирования,
равный 1,3.
Разряды работ устанавливаются в
соответствии с «Единым тарифно-квалификационным справочником». Наладчик,
осуществляющий наладку автоматизированных электроприводов, в соответствии с
ЕТКС тарифицируется по 4-ому разряду.
Часовая тарифная ставка наладчика 4
разряда рассчитывается по формуле
Тч= Т1*k*Котр / Тср (2.3)
k - тарифный коэффициент наладчика 4-го разряда, который в
соответствии с Единой тарифной сеткой работников республики Беларусь,
действующей на 01.01.2013 г. равен 1,57;
Котр - отраслевой коэффициент. Для
дифференциации труда работников в различных отраслях промышленности,
выполняющих определенные технологические виды работ, установлены отраслевые
коэффициенты повышения заработной платы. Они показывают, во сколько раз
тарифные ставки на определенных видах технологических работ в данной отрасли
выше тарифных ставок по Единой тарифной сетке и изменяются от 1,0 до 1,9.
В соответствии с пунктом 7
Постановления Министерства труда и социальной защиты №40 от 23. 09. 2009 г.
Отраслевой коэффициент принимаем равным 1,65.
Тср - среднее число часов работы в
месяц, т.к. на предприятии установлена пятидневная сорокачасовая рабочая
неделя, продолжительность смены - 8 часов, среднее количество рабочих дней в
месяце -22, то среднее число часов работы в месяц составляет 176 часов.
Рассчитаем часовую тарифную ставку:
Тч=240000*1,57*1,65/176=3532 рублей
Зная размер часовой тарифной ставки,
трудоемкость наладочных работ АЭП, коэффициент премирования, рассчитаем
основную заработную плату:.
ЗПосн=3532*7*1,3=32141 рублей
Далее следует рассчитать
дополнительную заработную плату.
Дополнительная заработная плата
определяется по формуле:
ЗПдоп=ЗПосн*Кдоп/100% (2.4)
где Кдоп - процент дополнительной
заработной платы, равный 15%
ЗПдоп= 32141*15%/100%=4821 рублей
Зная основную и дополнительную
заработную плату, рассчитываем общую: ЗПобщ=32141+4821=36962
В статью затрат «Трудовые затраты»
также включаются обязательные отчисления по установленным нормативам в фонд
социальной защиты населения. Отчисления производятся от всех видов оплаты труда
работников, занятых в производстве, независимо от источников выплат, кроме тех,
на которые страховые взносы не начисляются. Кроме того, от фонда оплаты труда
производятся отчисления по обязательному страхованию, размер, которых
устанавливается в зависимости от типа производства и условий труда. Рассчитаем
отчисления на социальные нужды.
Таблица 11 - Отчисления на
социальные нужды
|
Вид отчисления
|
% отчислений
|
Сумма, р.
|
|
Отчисления в фонд социальной защиты населения
|
34
|
12567
|
|
Итого
|
12567
|
Зная все элементы затрат по статье
«Трудовые затраты», составляем калькуляцию затрат по данной статье.
Таблица 12 -
Калькуляция трудовых затрат (Зт)
|
Наименование затрат
|
Сумма, р.
|
|
Основная заработная плата
|
32141
|
|
Дополнительная заработная плата
|
4821
|
|
Отчисления на социальные нужды
|
12567
|
|
Итого:
|
49529
|
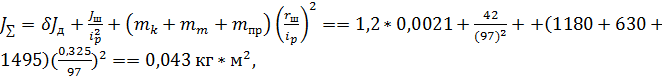
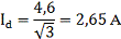
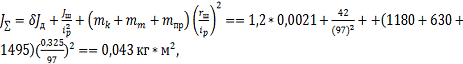
Произведя расчеты основных затрат на
наладочные работы, рассчитаем накладные затраты. Накладные затраты
рассчитываются в процентном отношении к величине основной заработной платы.
Расчёт накладных затрат произведем по формуле:
Зн=ЗПосн*Кзн/100% (2.5)
где Кзн - коэффициент накладных
затрат в процентах (120-180);.
Величина накладных расходов
составит:
Зн=32141*120/100=38569
Рассчитав основные и накладные
расходы, составляем калькуляцию себестоимости наладочных работ
автоматизированного электропривода.
Таблица 13 - Калькуляция
себестоимости наладочных работ
|
№
|
Статья расходов
|
Сумма, р.
|
|
1.
|
Материальные затраты
|
144291
|
|
2.
|
Трудовые затраты
|
49529
|
|
3.
|
Накладные затраты
|
38569
|
|
4.
|
Итого себестоимость
|
232389
|
Для поиска резервов снижения затрат
организации на эксплуатацию и обслуживание оборудования целесообразно провести
анализ структуры себестоимости наладочных работ (таблица 14).
Таблица 14 - Калькуляция
себестоимости наладочных работ
|
№
|
Статья расходов
|
Сумма, р.
|
Уд. Вес ст. расходов %
|
|
1.
|
Материальные затраты
|
144291
|
62,1
|
|
2.
|
Трудовые затраты
|
49529
|
21,3
|
|
3.
|
Накладные затраты
|
38569
|
16,6
|
|
4.
|
Итого себестоимость
|
232389
|
100
|
Рассчитанная сумма издержек по
организации и производству наладочных работ как часть общепроизводственных
расходов будет включена в себестоимость конечной продукции производимой на
данном участке. Рыночная среда хозяйствования, современная экономическая
ситуация ставят предприятие в условия, когда их эффективная деятельность
напрямую зависят от экономии затрат.
Анализ структуры себестоимости
наладочных работ показывает, что наибольший удельный вес занимает экономический
элемент «Материальные затраты».
Исходя из этого, с целью снижения
уровня затрат и повышения рентабельности эксплуатации ЭП необходимо:
внедрение технически обоснованных
норм расходов материальных ценностей;
оптимизация и периодическое сокращение
норм расхода материалов;
снижение затрат на материалы, путём
использования электрических элементов отечественного производства;
использование прогрессивных видов
материалов;
материальное и моральное
стимулирование бережного отношения к расходу ресурсов работниками предприятия;
повышение квалификации работников
предприятия.
3. Охрана труда, энерго-
и ресурсосбережение
.1 Правовые,
нормативные, социально-экономические и организационные вопросы охраны труда
Организация современного
производства немыслима без четкого соблюдения правил и норм техники
безопасности и производственной санитарии. Охрана труда в Республике Беларусь
обеспечивается системой законодательных актов, социально-экономических,
организационных, технических и лечебно-профилактических мероприятий и средств.
В соответствии с законодательством о
труде и охране труда наниматель обязан обеспечивать здоровые и безопасные
условия труда, соблюдать установленные нормативными правовыми актами
(документами) требования охраны труда, принимать необходимые меры по
профилактике производственного травматизма, профессиональных и других
заболеваний.
Типовое положение о службе охраны
труда организации разработано в соответствии с Трудовым кодексом республики
Беларусь и направлено на выполнение нанимателями обязанностей по охране труда,
реализацию государственной политики в этой области. Цель, основные принципы и
направления государственной политики в области охраны труда определены
Концепцией государственного управления охраны труда в Республики Беларусь, одобренной
постановлением Совета Министров Республики Беларусь.
Для организации работы и
осуществления контроля по охране труда руководителем организации должна
создаваться служба охраны труда в соответствии с Типовым положением о службе
охраны труда организации, утвержденным постановлением Министерства труда и
социальной защиты Республики Беларусь, или вводится в штат должность
специалиста по охране труда либо возлагаться соответствующая обязанность по
охране труда на уполномоченное лицо.
Управление охраной труда должно
представлять собой совокупность целенаправленных воздействий на коллективы и
отдельных работников для организации и координации их деятельности по
эффективному выполнению ими задач по обеспечению безопасности, сохранению
здоровья и работоспособности человека в процессе труда.
В основу этой деятельности положен
программно-целевой подход, предусматривающий достижение заранее заданных целей
и решение поставленных задач, обусловленных реализацией политики организации в
области охраны труда.
Основной целью управления
безопасностью труда является организация работы по обеспечению безопасности,
снижению травматизма и аварийности, профессиональных заболеваний, улучшению
условий труда на основе решения комплекса задач по созданию безопасных и
безвредных условий труда, лечебно-профилактическому и санитарно-бытовому
обслуживанию работающих. В условиях рыночной экономики значимом элементом
системы управления безопасностью труда является разработка экономических
механизмов регулирования и стимулирования деятельности по обеспечению
соблюдения требований законодательных и нормативных правовых актов по охране
труда.
3.2 Требование
безопасности к производственному оборудованию и рабочим местам
Основополагающим стандартом,
определяющим требования безопасности к производственному оборудованию, является
ГОСТ 12.2.003 ССБТ.
Производственное оборудование в
процессе эксплуатации:
не должно загрязнять окружающую
среду выбросами вредных веществ выше установленных норм;
должно быть пожаро- и
взрывобезопасным;
не должно создавать опасности в
результате воздействия влажности, солнечной радиации, механических колебаний,
высоких и низких температур, агрессивных веществ и других факторов;
должно отвечать требованиям
безопасности в течение всего периода эксплуатации при выполнении потребителем
требований, установленных в эксплуатационной документации.
Безопасность оборудования согласно
указанному стандарту обеспечивается:
выбором рациональных схем
конструкций производственного оборудования и их безопасных элементов;
применением в конструкциях
оборудования механизации, автоматизации, дистанционного управления, средств
защиты, автоматической сигнализации, автоблокировок;
герметизацией оборудования,
применением средств улавливания и очистки загрязнённого воздуха;
шумоглушением и виброизоляцией
оборудования;
выполнением требований эргономики;
включением соответствующих требований безопасности в техническую документацию
на транспортирование, монтаж, эксплуатацию, ремонт и хранение оборудования.
Производственное оборудование должно
также отвечать требованиям пожаро - взрывобезопасности, быть электробезопасным,
обеспечиваться средствами для снятия статического электричества и другими
средствами защиты работающих от опасных и вредных производственных факторов.
Необходимо, чтобы элементы и узлы
конструкций машин, механизмов, станков, инструментов и другого оборудования не
имели острых углов, неровных кромок и поверхностей, если это не установлено
функциональным назначением оборудования.
Составные части оборудования, в том
числе провода, кабели, трубопроводы должны выполняться так, чтобы исключалась
возможность их случайного повреждения.
Оборудование должно соответствовать
требованиям безопасности при выполнении соответствующих профилактических мер в
течение всего срока службы.
Более конкретные и дополнительные
требования устанавливаются стандартами и техническими условиями на отдельные
виды оборудования.
Например, ГОСТ 12.2.070 ССБТ
«Изделия электротехнические. Общие требования безопасности».
Электромонтерам по обслуживанию
электрооборудования приходится часто выполнять различные слесарные и сборочные
операции. Поэтому они должны четко знать правила техники безопасности при
проведении таких работ и уметь организовать их безопасное выполнение.
Перед началом работы следует
проверить, в каком состоянии находится инструмент, которым она будет
выполняться. Инструмент, имеющий дефекты, необходимо заменить исправным.
Ручным инструментом без рукоятки
пользоваться запрещено. Также запрещено пользоваться диэлектрическими
перчатками с видимыми повреждениями.
На рабочем месте цехового
электромонтера должны находится: технологическая оснастка, организационная
оснастка, должностная инструкция, электрические схемы главных электроустановок,
схемы питания цеха или участка, эксплуатационный журнал, инструкция по технике
безопасности, графики осмотров и сменно-часовой указатель-календарь
местонахождения электромонтера. Рабочее место должно быть оформлено в
соответствии с требованиями технической эстетики.
Обычно на рабочем месте размещают
следующие инструменты: крепежно-зажимные-плоскогубцы, круглогубцы, пассатижи,
тиски; режущий - монтерский нож, кусачки, ножовку, ударный молоток, зубило,
пробойник. Кроме того применяют обще слесарный инструмент, а также многие виды
металлорежущего инструмента, так как выполнение электротехнических работ часто
связано с рубкой металла, изгибание труб, резанием различных материалов,
нарезанием резьбы и т.п.
3.3 Электробезопасность
Современная система
электробезопасности должна обеспечивать защиту человека от поражения
электрическим током в двух наиболее вероятных и опасных случаях:
– при прямом прикосновении к
токоведущим частям электрооборудования,
находящимся под напряжением;
– прикосвенном прикосновении.
Под косвенным прикосновением
понимается прикосновение человека к открытым проводящим частям оборудования, на
которых в нормальном режиме (исправном состоянии) электроустановки отсутствует
электрический потенциал, но при каких-либо неисправностях, вызвавших нарушение
изоляции или ее пробой на корпус, на этих частях возможно появление опасного
для жизни человека электрического потенциала.
Для предотвращения косвенного
прикосновения используется заземление следующим способом:
– защитное заземление, так
называется преднамеренное электрическое со-
единение оборудования с землей с
помощью заземлителей, оно выполняется с целью снижения напряжения до
безопасного;
– защитное зануление -
защитная, мера, применяемая только в сетях с, зазем-
ленной нейтралью напряжением до
380/220 В, оно, как и заземление, предназначено для защиты людей, если они
прикоснутся к «пробитому» на корпус оборудованию;
– защитное отключение, так
называется система защиты, основанная на авто-
матическом отключении токоприемника
в случае, если на его металлических частях, нормально не находящихся под
напряжением, появляется ток.
Электрический ток, проходя через
живые ткани, оказывает термическое, электролитическое и биологическое
воздействия. Это приводит к различным нарушениям в организме, вызывая как
местные повреждения тканей и органов, так и общее повреждение организма.
Самая тяжелая электротравма -
электрический удар - это поражение внутренних органов человека.
3.4 Соблюдение
требований производственной санитарии
Производственная санитария
рассматривает вопросы влияния основных производственных факторов на состояние здоровья
работников. Это такие факторы, как микроклимат, излучение, освещение, шум,
вибрация, загрязнение производственного воздуха и тому подобное.
Основную роль в оздоровлении условий
труда играет правильная организация производства. Существующие нормы устанавливают
санитарные зоны, требования к расположению производственных зданий и наличию в
них всех необходимых санитарно-бытовых помещений, обеспечение, как питьевой
водой, так и водой для технических целей, устройство рабочих помещений с учетом
необходимой производственной площади, освещения, отопления и вентиляции.
Оптимальные параметры микроклимата
должны быть:
– температура в
производственных помещениях в зависимости от категории
работ от 16 до 24°С в холодный
период и от 18 до 25°С в теплый период;
– относительная влажность
воздуха в зависимости от температуры в пределах
-75%;
– скорость движения воздуха в
пределах 0,1-0,5 м/с;
– интенсивность теплового
облучения работников в пределах 35-100 Вт/м2 в
зависимости от величины поверхности
тела которое облучается.
Объем производственного помещения на
одного работника должен составлять не меньше 15 м3, а площадь - не
меньше 4,5 м2.
В соответствии с требованиями
действующего законодательства работники должны обеспечиваться гардеробными,
умывальниками, душевыми, помещениями для личной гигиены женщин, туалетами.
При выполнении работ на открытом
воздухе или в условиях, которые приводят к увлажнению спецодежды, должны быть
оборудованы помещения для сушки спецодежды.
В связи с тем, что состояние
производственного воздуха в значительной мере зависит от эффективности его
обмена, значительное внимание уделяется вентиляции помещения.
По принципу действия она разделяется
на естественную (аэрацию) и искусственную (механическую).
Для исключения сквозняков при
наличии вытяжной вентиляции должна существовать и приточная. Воздух, который
подается приточной вентиляцией, не должен содержать вредных веществ, для чего
на приточных вентиляционных системах устанавливаются фильтры.
Освещение является одним из важных
факторов условий и безопасности труда. Его недостаточность или нерациональность
в использовании может привести к возникновению профессионального заболевания
или несчастного случая.
Освещение бывает естественным,
искусственным и комбинированным.
Рабочее освещение должно обеспечивать
требования действующих норм к освещению рабочей поверхности и во
вспомогательных помещениях. Выбор минимальных величин освещения для каждого
производственного процесса осуществляется на основании основных данных:
точности зрительной работы, коэффициента отражения от рабочей поверхности,
величины контраста детали и фона.
Санитарными нормами установлено, что
размещение производственных помещений на участках, которые имеют недостаточное
по биологическому влиянию естественное освещение (коэффициент естественного
освещения меньше 0,1%), с постоянными рабочими местами допускается
предусматривать только при наличии специального обоснования лишь в тех случаях,
когда это необходимо по технологическим условиям.
3.5 Пожарная
безопасность
Производственные объекты отличаются
повышенной пожарной опасностью так как характеризуется сложностью
производственных процессов; наличием большого количества сжиженных горючих
газов, твердых сгораемых материалов; большой оснащенностью электрическими
установками и другое.
Причины пожаров:
– нарушение технологического
режима - 33%;
– неисправность
электрооборудования - 16%;
– плохая подготовка к ремонту
оборудования - 13%;
– самовозгорание промасленной
ветоши и других материалов - 10%.
Источниками воспламенения могут быть
открытый огонь технологических установок, раскаленные или нагретые стенки
аппаратов и оборудования, искры электрооборудования, статическое электричество,
искры удара и трения деталей машин и оборудования и др.
Мероприятия по пожарной профилактике
разделяются на организационные, технические, режимные и эксплуатационные.
Организационные мероприятия:
предусматривают правильную эксплуатацию машин и внутризаводского транспорта,
правильное содержание зданий, территории, противопожарный инструктаж.
Технические мероприятия: соблюдение
противопожарных правил и норм при проектировании зданий, при устройстве
электропроводов и оборудования, отопления, вентиляции, освещения, правильное
размещение оборудования.
Режимные мероприятия - запрещение
курения в неустановленных местах, запрещение сварочных и других огневых работ в
пожароопасных помещениях и тому подобное.
Эксплуатационные мероприятия -
своевременная профилактика, осмотры, ремонты и испытание технологического
оборудования.
На случай возникновения пожаров
здания, сооружения и помещения должны быть обеспечены первичными средствами
пожаротушения. К первичным средствам пожаротушения принято относить внутренние
пожарные краны, различного типа огнетушители, песок, войлок, кошму, асбестовое
полотно, бочки с водой. Применяются первичные средства пожаротушения для
тушения небольших очагов пожара.
Переносные огнетушители должны
размещаться на расстоянии не менее 1,2 м от проема двери и на высоте не более
1,5 м от уровня пола, считая от низа огнетушителя. Допускается установка огнетушителей
в тумбах или шкафах, конструкция которых должна позволять визуально определить
тип огнетушителя и обеспечить свободный доступ к нему.
Для размещения первичных средств
пожаротушения в производственных и других помещениях, а также на территории
предприятий должны устанавливаться специальные пожарные посты (щиты).
Для тушения пожаров в
электроустановках чаще всего используются углекислотные огнетушители, также
используются аэрозольные огнетушители которые применяются для тушения небольших
очагов пожаров, загораний электроустановок под напряжением.
3.6 Охрана окружающей
среды энерго- и ресурсосбережение
Охрана атмосферного воздуха - это
совокупность организационных, экономических, технических, правовых и иных
мероприятий, направленных на предотвращение загрязнения атмосферного воздуха,
осуществляемых государственными органами, юридическими и физическими лицами.
Основными принципы защиты
атмосферного воздуха определяются требованиями Закона «Об охране атмосферного
воздуха» и заключается в следующем:
- государственный
учет и контроль за поступлением вредных веществ в атмосферу и воздействием на
нее вредных физических факторов;
- нормирование
качества атмосферного воздуха;
- санитарно-гигиенические
требования при проектировании и эксплуатации объектов хозяйственной
деятельности;
- технологические и
организационно-технические приемы снижения объемов выбросов и вредного
воздействия производства на атмосферный воздух.
В соответствии с ГОСТ 12.1.101 ССБТ
под обработкой сточных вод понимают воздействие на них с целью обеспечения
необходимых свойств и состава.
Выбор метода зависит от размера
частиц примесей, их физико-химических свойств, концентрации веществ, расхода
сточных вод и необходимой степени очистки.
Основные положения по защите
окружающей среды от загрязнения отходами определены в Законе Республики
Беларусь «Об отходах производства и потребления».
Отходы производства - остатки сырья,
материалов, полуфабрикатов в процессе производство продукции или выполнение
работ и утратившие полностью или частично исходные потребительские свойства, а
также сопутствующие вещества, образующиеся в процессе производства имеет
находящие применения в производстве.
Контрольными службами республики
проводятся систематические наблюдения за загрязнением почв пестицидами и
токсикантами промышленного происхождения.
Очистка сточных вод - это обработка
воды с целью разрушения или удаления из них определенных веществ.
Экономия энергии заключаются в
эффективном использовании энергоресурсов, для чего применяются различные по
своей сути методы энергосбережения. Они должны быть технически осуществимы и
экономически обоснованы, не иметь негативного влияния на экологию и социальную
сферу жизни.
К методам энергосбережения,
применяющимся как на производстве, так и в быту, относятся мероприятия по
экономии электроэнергии на освещении.
Световые источники должны
размещаться наиболее оптимально и использоваться только по необходимости. Лампы
накаливания заменяются энергосберегающими. Уже давно одним из методов
энергосбережения является применение автоматических систем освещения, когда
свет включается только по необходимости.
Немаловажно также применение
различных методов энергосбережения в строительстве:
– экономичные системы обогрева
и охлаждения;
– современные материалы и
методы утепления стен, трубопроводов отопления и горячего водоснабжения,
– счетчики системы отопления в
каждой квартире с возможностью регулирования теплового режима помещений.
– повышение отражающей
способности ограждающих конструкций и т.д.
Заключение
При разработке данного дипломного
проекта было произведено проектирование автоматизированного электропривода
лебедки пассажирского лифта грузоподъемностью 630 кг.
В ходе работы был проведен анализ
технологического процесса, а также анализ работы пассажирского лифта. Для
управления электродвигателем был выбран комплектный преобразователем частоты VACON.
Литература
1. Соколов М.М.
Автоматизированный электропривод общепромышленных механизмов. - М.: Энергия,
1976. - 540 с.
. Вайнсон А.А.
Подъемно-транспортные машины: Учебник для вузов по специальности
«Подъемно-транспортные, строительные, дорожные машины и оборудование». - 4-е
изд., перераб. и доп. - М.: Машиностроение, 1989. - 536 с.
. Лифты / Архангельский
Г.Г., Волков Д.П., Горбунов Э.А., Ионов А.А., Ткаченко В.Я., Чутчиков П.И., под
общ. ред. Волков В.П. - Москва: Издательство АСВ, 1999. - 479 с.
. Капунцов Ю.Д., Елисеев
В.А., Ильяшенко Л.А. Электрооборудование и электропривод промышленных
установок: Учебник для вузов / Под ред. проф. М.М. Соколова. - М.: Высш. школа,
1979.
. Зимин Е.Н. и др.
Электрооборудование промышленных предприятий и установок /Под ред. В.И.
Преображенского и И.И. Чувашова: Учебник для техникумов. - 2-е изд., перераб. и
доп.-М.: Энергоиздат, 1981.-552 с.
. Лифты: Пособие по
безопасной эксплуатации / Сост. Н.В. Гусев, А.Б. Щеглов. - Мн.: ЗАО
«Техноперспектива», 2003. - 259 с.
. Электропривод
переменного тока с частотным управлением / Ю. Бюттер, Ю.М. Гусяцкий, А.В.
Кудрявцев и др.; под общ. ред. Г.А. Щукина. М.: Издательство МЭИ, 1989.
. Электротехнический
справочник: В 4т. Т4. Использование электрической энергии / Под общ. ред.
Профессоров МЭИ В.Г. Герасимова и др. (Гл. ред. А.И. Попов). - 9-е изд. стер. -
М.: Издательство МЭИ, 2004. - 696 с.
. Ключев В.Н. Теория
электропривода: учебник для вузов - М.: «Энергоатомиздат», 1985. - 560 с.