Расчет фильтрующей центрифуги

  • Вид работы:
    Контрольная работа
  • Предмет:
    Другое
  • Язык:
    Русский
    ,
    Формат файла:
    MS Word
    714,3 Кб
  • Опубликовано:
    2015-04-27
Вы можете узнать стоимость помощи в написании студенческой работы.
Помощь в написании работы, которую точно примут!

Расчет фильтрующей центрифуги

Введение

Современное химическое предприятие - это сложный комплекс машин и оборудования, в который входят аппараты и машины, предназначенные для химических процессов; емкостное оборудование для хранения жидкостей и газов; трубопроводы; машины для перемещения жидкостей и газов; машины для транспортировки твердых сыпучих продуктов и т.д.

Рациональная конструкция машины и аппарата должна удовлетворять производственным, конструктивным и технико-экономическим требованиям, а также технике безопасности. Удовлетворить всем этим требованиям в максимальной степени не всегда возможно, поэтому задача заключается в том, чтобы создать наиболее приемлемую конструкцию, которая отвечала бы техническим условиям.

В данных задачах мы произведём требуемые расчёты фильтра периодического действия, фильтрующей центрифуги периодического действия и колонны с решётчатыми (провальными) тарелками.

Задача №1

Рассчитать среднюю производительность фильтра периодического действия.

Рисунок 1. Барабанный фильтр периодического действия: 1 - барабан; 2 - перегородки; 3 - распределительная головка (золотниковый механизм); 4 - корыто; 5 - нож для срезания осадка; 6 - распределитель воды для промывания осадка; 7, 8 - трубы для откачки соответственно отфильтрованной жидкости и промывной воды; 9 - труба для подачи сжатого воздуха.

Исходные данные:

Марка - ЛВАж40К;

Допускаемый перепад давления при фильтровании ∆pg - 3*105 Па;

Высота слоя осадка hос - 6 мм;

Массовая концентрация твёрдой фазы xm - 1,8 %;

Плотность жидкой фазы сж - 1000 кг/м3;

Плотность твёрдой фазы ст - 3050 кг/м3;

Динамическая вязкость фильтрата м - 0,81*103 Па*с;

Константа А - 24,80*109;

Показатель степени сжимаемости осадка n - 0,27;

Сопротивление фильтрующей перегородки; массовая влажность осадка после фильтрации rф.п. - 44*109 1/м;

Скорость фильтрования W - 65 %;

Время сушки осадка фс - 60 с;

Затраты времени на проведение вспомогательных операций фв - 1920 с;

Тип процесса - ОН (Осветление с намывным слоем);

Площадь Fф - 40 м2;

Давление фильтрования ∆рo - 3*10-5 Па;

Толщина листа рамы - 32 мм;

Шаг между фильтрующими элементами t - 100 мм;

Число фильтрующих элементов - 13;

Вход суспензии dу - 100 мм.

Решение:

В результате расчёта, получаем следующие значения вспомогательных величин: сос= 9291 кг/м3; xв = 18,9 кг/м3; xo = 0,0583.

сос= стж = 3,05 = 9291 кг/м3;

xo= ʋoc = xmж = 0,0583.

Удельное сопротивление осадка при конечном давлении фильтрования:

∆p=3*105Па; равно:

rв = 1,13*109(2*105)0,41 = 2,26*1011 м/кг.

Объём фильтрата, полученного за время фильтрования:

ʋф.уд.= hос/xo = 6*10-3/0,0583 = 0,1 м32.

Скорость фильтрования в конце процесса с учётом соотношения:


Ориентированное время фильтрования:


Средняя производительность фильтра по фильтрату во время процесса фильтрования:


Средняя производительность фильтра по суспензии:

Vc.cр.= Vф.ср.(1+xo) = 5*10-3(1+0,0583) = 5,29*10-3 м3/с.

Задача №2

Рассчитать среднюю производительность фильтрующей центрифуги периодического действия на основании исходных данных, полученных на лабораторной центрифуге.

Рисунок 2. Трехколонная фильтрующая центрифуга периодического действия с верхней выгрузкой осадка: устройство а, вид и разрез б: 1 - Перфорированный барабан. 2 - Днище барабана. 3 - Вал. 4 - Дно станины. 5 - Неподвижный кожух. 6 - Крышка кожуха. 7 - Станина. 8 - Пружинные тяги, на которых подвешена центрифуга. 9 - Три опор­ные колонны. 10 - Ручной тормоз. 11 - Электродвигатель. 12 - Шкивы привода. 13 - Штуцер для фугата. 14 - Фильтрующая ткань. 15 - Проволочная дренажная сетка.

Исходные данные:

Тип центрифуги - ФМД - 120;

Массовая концентрация твёрдой фазы xm - 12%;

Плотность твёрдой фазы ст - 1340 кг/м3;

Плотность жидкой фазы сж - 995 кг/м3;

Вязкость жидкой фазы м - 0,87*103 Па*с;

Удельное объёмное сопротивление осадка rо - 7,3*10-11 1/м2;

Сопротивление фильтрующей перегородки rф.п. - 11,6*10-9 1/м2;

Отношение объёма осадка к объёму загруженной суспензии x1 - 0,28;

Порозность осадка еос - 0,56;

Удельный объём промывной жидкости ʋпр.ж. - 1,2*103м3/кг;

Вязкость промывной жидкости мпр - 0,87*103 Па*с;

Время сушки осадка на лабораторной центрифуге фс - 90 с;

Время, затрачиваемое на вспомогательные операции в промышленной центрифуге фв - 300 с;

Внутренний диаметр Dв - 1200 мм;

Длина барабана L - 500 мм;

Рабочая ёмкость барабана ʋр - 0,25 м3;

Предельная загрузка mc - 375 кг;

Максимальная частота вращения n - 15,8 1/с;

Фактор разделения Fr - 605;

Решение:

Угловая скорость вращения барабана:

щ=2рn=2*3,14*15,8=99 1/с;

Производительность центрифуги по фильтрату в режиме постоянной скорости фильтрования, приняв коэффициент заполнения барабана осадком ⱷ = 0,8:


Производительность по суспензии в период загрузки:


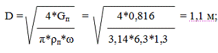
Время фильтрования:


Время промывки осадка:


Время сушки осадка на промышленной центрифуге, учитывая увеличение его толщины по сравнению с лабораторными опытами:

фс.п.= фс*1,4=90*1,4=126 с;

Время полного цикла обработки суспензии на центрифуге:

фц= ффпрс.п.в=123+139+126+300=688 с;

Средняя производительность центрифуги по суспензии:

Vс.ср.= Vcфц=276*10-3*123/688=4,93*10-3 м3/с.

Задача №3

Провести гидравлический расчёт и подобрать стандартизированную колонну.

Рисунок 3. Колонна с решётчатыми (провальными) тарелками: 1,2 - ротаметр; 3 - компрессор; 4 - распределительная решетка; 5 - манометр; 6 - тарелка; 7 - колонна; 8 - регулировочный вентиль.

Исходные данные:

Тип тарелки - провальная;

Нагрузка колонны по по пару Gп - 81,6*10-3 кг/ч;

Нагрузка колонны по жидкости Gж - 79,6*10-3 кг/ч;

Плотность пара сп - 6,3 кг/м3;

Плотность жидкости сж - 790 кг/м3;

Поверхностное натяжение жидкости у - 36*103 Дж/м2;

Вязкость пара мп - 1,8*105 Па*с;

Вязкость жидкости мж - 4*103 Па*с;

Число ступеней изменения концентрации nст - 6.

Решение:

По данным таблицы:

Толщина листа тарелки д - 2 мм;

Ширина щели b - 4 мм;

Шаг расположения щелей t - 16 мм;

Относительное свободное сечение fо - 0,14;

Расстояние между тарелками Hт - 600 мм.

Рассчитываем максимально допустимую скорость пара в колоне:


Здесь доля площади отверстий, занятая стекающей жидкостью, составит:


Коэффициент сопротивления тарелки:

ж = 1,75(1-fо)2*(b/д)0,2 = 1,75(1-0,14)2*(4/2)0,2 = 1,48;

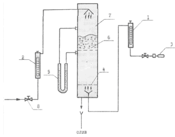
Диаметр колонны:


Принимаем диаметр колонны: D = 1100 мм.

Для расчёта высоты пены на тарелке найдём поправочный коэффициент, учитывающий распределение давлений в зонах пара и стекающей жидкости:


В этом случае общее сопротивление орошаемой тарелки:


Объёмная доля жидкости в пене, образовавшейся на провальной тарелке:


Высота динамической пены, образующейся на тарелке:


При высоте сепарационного пространства hc=Hт - hпн = 0,6-0,32=0,28 м;

Величина относительного уноса:


Заключение

фильтр центрифуга колонна тарелка

В данных задачах мы рассчитали среднюю производительность фильтра периодического действия, а так же его скорость фильтрования, объём фильтрата, полученного за время фильтрования и время фильтрования.

У фильтрующей центрифуги мы рассчитали её среднюю производительность, угловую скорость вращения барабана, производительность центрифуги по фильтрату в режиме постоянной скорости фильтрования, производительность по суспензии в период загрузки, время фильтрования, время промывки осадка, время сушки осадка и время полного цикла обработки суспензии на центрифуге.

У колонны с решётчатыми (провальными) тарелками произвели гидравлический расчёт, нашли максимально допустимую скорость пара в колонне, коэффициент сопротивления тарелки, диаметр колонны, высоту пены, расстояние между тарелками и величину относительного уноса.

Список используемой литературы

1. Александров И.А. Ректификационные и абсорбционные аппараты. М.: Химия, 1978. - 277с.

. Жужиков В.А. Фильтрование. М.: Химия, 1971. - 440с.

. Малиновская Т.А. Разделение суспензий в промышленности органического синтеза. - М.: Химия, 1971. - 320с.

. Павлов К.Ф., Романков П.Г., Носков А.А. Примеры и задачи по курсу процессов и аппаратов химической технологии. - Л.: Химия, 1976. - 552с.

. Соколов В.И. Современные промышленные центрифуги. - М.: Машиностроение, 1967. - 523с.


Не нашли материал для своей работы?
Поможем написать уникальную работу
Без плагиата!
Без нейросетей!