|
t1 = 15 c t2 = 11 c t3
= 15 c t4 = 35 c t5 = 9 c
|
t6 = 7 c t7 = 6 c t8
= 5 c t9 = 10 c t10 = 13 c
|
t11 = 20 c t12 = 19 c t13 = 25 c
|
n1 = 400 об/мин n2 = 1000 об/мин n3 = 250 об/мин n4 = 600 об/мин n5 =2000 об/мин
|
Перечень сокращений и обозначений
ДПТ - двигатель постоянного тока
ПЧ-АД - преобразователь частоты - асинхронный
двигатель
СУТА - система управления технологическим агрегатом
ТП - тиристорный преобразователь
ТП-Д - тиристорный преобразователь - двигатель
УУКиС - устройство управления, контроля и сигнализации
ЭП - электропривод
СИФУ - система импульсно-фазового управления
ОВ - обмотка возбуждения
СУ - система управления
Раздел 1. Описание рабочей машины
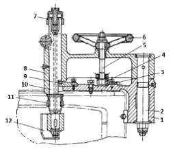
Центрифуга (рис. 1.1) представляет собой фильтрующую
подвесную вертикальную машину периодического действия с нижней ручной выгрузкой
продукта через днище ротора, предназначенную для разделения суспензий с мелко-
и среднезернистой твердой фазой.
Рис. 1.1 - Общий вид
центрифуги: 1 - загрузочный лоток; 2 - механизм среза осадка; 3 -
металлоконструкция; 4 - вал; 5 - корпус подшипников; 6 - корпус привода; 7 -
электродвигатель; 8 - резиновая муфта; 9 - ленточный тормоз; 10 - резиновый амортизатор;
11 - привод; 12 - крышка кожуха; 13 - кожух; 14 - ротор
Центрифугу изготавливают из углеродистой стали и
чугуна. Основными узлами центрифуги являются ротор 14, привод 11, кожух 13 с
крышкой 12, тормоз 9 и металлоконструкция 3.
Центрифуга устанавливается на металлоконструкции,
состоящей из двух опорных стоек и двух продольных балок-швеллеров №24,
соединенных болтами в верхней части стоек. Центрифуга приводится во вращение
вертикальным двигателем 7, который рассчитан на непрерывную работу центрифуги
при загрузке ее 800 кг.
Электродвигатель рассчитан на работу при температуре
окружающей среды до +90 °С и относительной влажности 95%. Механический тормоз 9
в центрифуге кроме аварийного торможения осуществляет дотормаживание центрифуги
после основного электрического рекуперативного торможения электродвигателя.
Электродвигатель соединен с валом центрифуги 4
посредством эластичной резиновой муфты 8; вал закреплен в приводе на шарнирной
опоре. Между корпусом привода 6 и корпусом подшипников 5 установлен резиновый
амортизатор 10, который при неуравновешенности вращающейся массы (особенно во
время загрузки) значительно облегчает условия работы подшипников качения и
вала, принимая на себя удары и колебания. Вращающийся вал может отклоняться от
вертикального положения вследствие деформации резинового амортизатора, что
приводит к самоуравновешиванию вращающихся масс.
Ротор центрифуги - цилиндрический, с перфорированной
обечайкой, подвешен на нижнем конце вала и выложен внутри подкладным и
фильтрующим ситами. Загрузка производится с помощью специального лотка 1,
закрепленного на кожухе и входящего внутрь ротора. Механизированная выгрузка
осадка из ротора (механизм среза 2) осуществляется с помощью ножа специальной
конструкции, закрепленного на крышке кожуха.
Рассмотрим устройство основных узлов центрифуги более
подробно.
Ротор подвесной центрифуги изготавливают сварным из
углеродистой стали. Высокие требования предъявляют к качеству и контролю
сварки. Сварку ротора должны производить только дипломированные сварщики.
Обечайка фильтрующего ротора обычно перфорируется
отверстиями, расположенными в шахматном или коридорном порядке.
Ротор подвесной центрифуги (рис. 1.2) состоит из
обечайки 2, верхнего днища 3, розетки 6 и нижнего днища 1. Розетка состоит из
ступицы 5, обода 7 и спиц 4, через проемы которых производится разгрузка
ротора.
Все фильтрующие роторы комплектуют фильтрующей
основой, состоящей из подкладного дренажного сита и фильтрующей сетки.
Применяют металлические сетки саржевого плетения и сетки из тонколистовой
латуни со штампованными отверстиями прямоугольного или круглого сечений.
Рис. 1.2 - Конструкция ротора: 1, 3 - нижнее и
верхнее днища; 2 - обечайка; 4 - спицы; 5 - ступица; 6 - розетка; 7 - обод
Привод подвесной центрифуги (рис. 1.3) является шарнирной опорой вала и
предназначен для передачи ротору вращения от электродвигателя через эластичную
соединительную муфту. Муфта закреплена на тормозном шкиве и соединена с валом
двигателя с помощью шлицевых втулок.
Рис. 1.3 - Привод центрифуги: 1 - защитный
кожух; 2 - гайка; 3 - пробка; 4 - коробка для масла; 5 - заборная трубка; 6 -
корпус подшипников; 7 - манометр; 8 - гайка поджатия амортизатора; 9 -
коническая втулка; 10 - шпонка; 11 - болт; 12 - корпус привода; 13 - крышка; 14
- тормозной шкив; 15 - резиновая муфта; 16, 17 - наружная и внутренняя шлицевые
втулки; 18 - ленточный тормоз; 19 - резиновый амортизатор; 20, 21 - масленки;
22- вал
Основные детали привода - корпус 12, тормозной шкив
14, эластичная резиновая муфта 15, ленточный тормоз 18. Корпус подшипников 6
опирается верхней шаровой поверхностью в гнезде корпуса привода и зафиксирован
от кругового вращения специальным болтом 11. Алюминиевая коробка 4 для масла
закреплена на валу 22 и вращается вместе с ним. Кроме того, имеются заборная
трубка 5, подающая масло на подшипники, защитный кожух 1, манометр 7 для
контроля давления масла, масленки 20 и 21, предназначенные соответственно для
смазки шаровой поверхности и заливки масла в алюминиевую коробку.
В корпусе подшипников расположен вал, подвешенный на
двух радиальных и одном упорном подшипниках качения. Со стороны тормозного
шкива корпус закрыт крышкой 13. Смазка подшипников - жидкая, с местной
циркуляцией в результате скоростного напора масла, создаваемого в заборной
трубке, закрепленной в нижней части корпуса подшипника. Циркуляция масла
контролируется манометром (избыточное давление должно быть не менее 0,01 МПа).
Центрифуга укомплектована механизмом среза с ручным
управлением (рис. 1.4). Основной его деталью является нож 12, закрепленный на
нижнем цилиндрическом конце штанги 10, совершающей возвратно-поступательное
движение во втулке корпуса 8. Корпус через ось 2 соединен с кронштейном 1,
жестко установленным на кожухе. Поворот корпуса вокруг оси осуществляется
маховиком 6 через валик 5 и шестерню 4, которая заходит в зацепление с зубчатым
сектором 3. Нож в нерабочем положении (выведенный из ротора) фиксируют в
специальном секторе 9 с помощью имеющегося на штанге зуба. Только при
выведенном из ротора и зафиксированном ноже возможен пуск двигателя.
Рис. 1.4 - Механизм среза с ручным
управлением: 1 - кронштейн; 2 - ось; 3 - зубчатый сектор; 4 - шестерня; 5 -
валик; 6 - маховик; 7, 11 - гайки; 8 - корпус; 9 - сектор; 10 - штанга; 12- нож
Раздел 2. Технологический процесс центрифугирования.
Требования к электроприводу ротора
Центрифугированием или фугованием называется
разделение неоднородных систем при помощи центробежных сил.
Центрифугирование технических суспензий и шлаков
производится двумя методами. По первому их разделение осуществляется благодаря
использованию объемных сил дисперсной фазы, по второму - объемных сил
дисперсной среды и частично дисперсной фазы. В первом случае центрифугирование
выполняется в роторах имеющих сплошную стенку, во втором - перфорированную.
Разделение в сплошных роторах можно сравнить с
отстаиванием в поле тяжести, хотя особенности центробежного поля и
обуславливают разницу в протекании этих процессов.
Центрифугирование в перфорированных роторах является
своеобразным процессом, отдельные элементы которого сходны с процессами
фильтрации, прессования шлаков и т.д.
Основным показателем работы центрифуги является индекс
производительности, характеризующий относительную разделяющую способность
центрифуги. Его рассчитывают по формуле:
У = 2рrрт LFr,)
Где L - длина ротора центрифуги периодического
действия или цилиндрической части ротора шнековой центрифуги, м;рт -
радиус ротора, м;r - фактор разделения на радиусе ротора rрт.
Фактор разделения - безразмерный параметр,
определяющий, во сколько раз ускорение центробежного поля, развиваемого в
центрифуге, больше ускорения свободного падения. Его находят из уравнения:
где щр - угловая скорость ротора, рад/с;-
ускорение свободного падения, м/с2.
Значения rрт и щр зависят от
конструктивных особенностей центрифуги. С их увеличением фактор разделения
растет. Максимальное значение его практически достигается увеличением угловой
скорости (при вынужденном уменьшении радиуса ротора).
Центрифугирование суспензий и шлаков в перфорированных
роторах называется центробежной фильтрацией. В общем случае оно состоит из
следующих трех процессов, протекающих в результате воздействия на обрабатываемый
продукт центробежных сил инерции:
1)
фильтрации с
образованием осадка, т.е. отделения частиц, взвешенных в жидкости, при
прохождении последней через проницаемую стенку ротора центрифуги;
2)
отжима жидкости
из образовавшегося осадка;
3)
удаления из осадка
жидкости, удерживаемой молекулярными силами.
Центробежная фильтрация с образованием осадка
протекает подобно обычной фильтрации. Вслед за этим процессом происходит отжим
жидкости из осадка, сопровождающийся уплотнением последнего. Затем следует
удаление жидкости, удерживаемой в местах соприкосновения частиц и на их
поверхности.
Процесс, состоящий из отжима и отделения пленочной и
капиллярной жидкости, называется центробежным отжимом. Примерами этого процесса
являются центрифугирование сахарного утфеля и сульфата аммония.
Подвесные центрифуги с верхним приводом являются
машинами периодического действия. Процесс центрифугирования в них обычно
происходит следующим образом. Ротор центрифуги на ходу при неполной или полной
скорости вращения загружается материалом, подлежащим обработке. Если загрузка
произведена при неполном вращении ротора, то после ее окончания скорость ротора
доводят до максимальной. При центрифугировании в перфорированных роторах
твердая фаза к концу
процесса содержит минимальное количество отделяемой
жидкости, которая удерживается на поверхности частиц твердой фазы и в местах их
соприкосновения. Чтобы избавиться от остатков жидкой фазы, осадок промывают
другой жидкостью (иногда несколькими).
Под действием центробежного поля промывная жидкость
удаляется, и содержание ее с течением времени становится минимальным. Выгрузка
с помощью механических ножей осуществляется при вращении ротора с небольшой
скоростью.
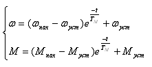
Рабочий цикл центрифуги характеризуется тахограммой
работы привода ротора (см. ТЗ, рис.1).
Электрооборудование центрифуг обычно работает в
условиях химически агрессивной, невзрывоопасной среды с повышенной
относительной влажностью воздуха (до 95%) при температуре до +40 С. В этом
случае, при нарушении естественного охлаждения, исполнение электродвигателей
должно быть не менее IP44
или необходимо продуваемое исполнение с подводом чистого воздуха. Наибольшую
мощность электродвигателей имеют центрифуги периодического действия,
применяемые в производстве сахара. Поэтому перегрузочная способность двигателя
должна быть достаточной для устойчивой работы электропривода в периоды
максимальной нагрузки. Кроме того, аппаратура, установленная на самих
центрифугах, должна работать в условиях значительных вибраций и тряски.
Основные требования к электроприводу таких центрифуг:
обеспечить оптимальные динамические режимы при постоянных ускорении и
замедлении центрифуги и стабилизировать ее частоты вращения при загрузке,
выгрузке и фуговке.
Если учесть большие моменты инерции центрифуг, то
вопрос применения экономичного электропривода, обеспечивающего рекуперацию
энергии в сеть при торможении, здесь занимает важное место.
Электропривод ротора центрифуги также должен
обеспечивать возможность плавного регулирования скорости от
"ползучей" скорости равной 10 об/мин, до максимальной, равной 2000
об/мин. Питание электропривода осуществляется от цеховой сети переменного тока
с напряжением 220 В.
Раздел 3. Выбор системы электропривода
Для центрифуг с частым реверсом наиболее подходит
быстродействующий реверсивный электропривод постоянного тока по системе ТП-Д.
Следует иметь в виду, что на быстродействие электропривода в целом оказывают
влияние инерционности всех его элементов. Наибольшее влияние на время
переходного процесса оказывает электромеханическая постоянная времени. Если она
мала, то целесообразно осуществлять реверс по цепи якоря, что позволяет заметно
сократить общее время переходного процесса. Если же она соизмерима с постоянной
времени цепи возбуждения двигателя, имеет смысл использовать более экономичный
привод с реверсом по цепи возбуждения. Электроприводы с управлением по цепи
возбуждения двигателя, очевидно, менее дороги, поскольку функции регулирования
в основном сосредоточены в маломощной цепи возбуждения.
Приводы с рекуперативным торможением имеют высокий КПД
(порядка 90%). Однако следует иметь в виду, что реверсивные преобразователи с
совместным управлением вентильными группами имеют меньший КПД из-за потерь
энергии от уравнительного тока.
Для регулируемого привода центрифуги может быть
применен и электропривод переменного тока по системе ПЧ-АД либо электропривод с
вентильным двигателем. По технико-экономическим показателям и эксплуатационным
характеристикам приводы этих типов могут оказаться предпочтительнее
электроприводов постоянного тока.
В промышленности широкое распространение получили
двигатели постоянного тока‚ что объясняется все возрастающим применением
различных статических выпрямителей‚ обеспечивающих промышленные установки
энергией постоянного тока. Применение двигателей постоянного тока, несмотря на
их более высокую стоимость, сложность эксплуатации по сравнению с асинхронными,
объясняется в первую очередь простыми и надежными способами регулирования
частоты вращения‚ большими пусковыми моментами и перегрузочной способностью‚
чем у двигателей переменного тока. Наибольшее распространение двигатели
постоянного тока получили в приводах‚ требующих глубокого регулирования частоты
вращения.
В связи с этим выбираем электропривод системы ТП-ДПТ.
Раздел 4. Расчет мощности и выбор приводного электродвигателя
4.1 Анализ теплового режима работы электродвигателя
Определим
время работы:
Время
цикла:
Фактическая
продолжительность включения:
Принимаем стандартное значение ест = 100 %
Исходя из тахограммы (рис. 1) и фактической
продолжительности включения, можно сделать вывод, что режим работы двигателя S8 - режим работы при периодическом
изменении частоты вращения и нагрузки. Это последовательность идентичных
рабочих циклов, каждый из которых состоит из периодов ускорения, работы при
постоянной нагрузке, соответствующей заданной частоте вращения, затем одного
или нескольких периодов работы при других постоянных значениях нагрузки,
соответствующих другим частотам вращения.
Квалифицируем режим работы как S8 так как еф > 60%. S8 - перемежающийся без пауз.
4.2 Расчет и построение нагрузочной диаграммы механизма
Нагрузочная диаграмма механизма представляет собой
график Мс.мех(t)
изменения статического момента на валу ротора центрифуги во времени в течение
рабочего цикла центрифуги. Необходимо определить значение статического момента
на каждом участке рабочего цикла.
Статический момент на валу ротора центрифуги:
Где
- составляющая статического момента, обусловленная
трением вращающего ротора центрифуги о воздух;
-
момент, создаваемый силами трения вала ротора центрифуги в подшипниках.
На участке рабочего цикла, соответствующем процессу
выгрузки осадка, абсолютное значение Мс.мех возрастает на величину
момента Мрез, обуславливаемого усилием резания, воздействующим на
лезвие ножа (Мрез = 0,6·Мв).
Момент сил трения о воздух:
,
Где
H - высота (длина) ротора, м;- диаметр ротора, м;- скорость вращения ротора,
об/мин.
Момент
сил трения в подшипниках:
Где f = 0,03 - 0,09 - коэффициент трения, зависящий от
типа подшипника;ц - масса ротора с продуктом, кг;- диаметр вала на
котором укреплен ротор центрифуги, м.
Рассчитаем массу ротора с
продуктом:
Где mзагр -
максимальная загрузка ротора суспензией и составляет 800 кг;
∑mi - масса незагруженного ротора.
где Di 2 - диаметр i-той части ротора, м;
Hi - высота i-той части ротора, м;
с - плотность, кг/м3
(плотность стали 7900 кг/м3).
кг
кг
кг
кг
кг
кг
кг
кг
кг
кг
Масса незагруженного ротора:
Масса
ротора с продуктом:
Определим момент сил трения в подшипниках для
загруженного и незагруженного ротора (f = 0,04 - подшипники качения):
МТ.загр = 4,9 · f · mц · D4 = 24,707 Н·м
МТ.незагр = 4,9 · f · ∑mi · D4 = 12,163 Н·м
Определим скорость вращения ротора на каждом участке рабочего цикла
Определим
момент сил трения о воздух на каждом участке рабочего цикла:

Определим
статический момент на валу ротора центрифуги на каждом участке рабочего цикла:

Нагрузочная диаграмма Мс.мех(t) представлена на чертеже
СУз-81с.7.0914.02.ТЧ1.1
4.3 Вычисление расчетной мощности электродвигателя
Определим частоту вращения ротора на каждом участке рабочего цикла:
где
Расчетная мощность электродвигателя вычисляется по
формуле:
Ррас = Кз·Рс.мех.ср·
Где Кз - коэффициент запаса, учитывающий
влияние динамических процессов на температурный режим двигателя и
дополнительные потери энергии в нем;
Рс.мех.ср - среднее значение статической мощности механизма за
время tp работы в пределах рабочего цикла;
еф - фактическая (по тахограмме)
относительная продолжительность включения;
ест - стандартная продолжительность
включения (для которой будет выбираться мощность двигателя по каталогу,
ближайшая по значению к еф).
С учетом значительной доли переходных процессов в
общей продолжительности рабочего цикла рекомендуется принять Кз
=1.7. Если
тепловой режим двигателя продолжительный, то ест=
1 (100%). Средняя статическая мощность за время работы вычисляется по формуле:
Где і - условный номер участка работы электропривода
(без учета пауз);p.i - продолжительность і-го участка работы;
щмех - частота вращения ротора центрифуги,
рад/с.
Подынтегральная функция представляет
собой мгновенное значение Рс.мех статической мощности механизма. В
нашем случае все составляющие статического момента имеют реактивный характер,
поэтому последняя формула упрощается:
Расчетную мощность можно вычислить более обоснованно,
если в качестве Рс.мех.ср принять среднеквадратичное значение
статической мощности за время работы Тр, т.е.:
В этом случае можно принять Кз=1.5.
Тогда:
Средняя статическая мощность за время работы:
Подставляя полученные значения в формулу (4.7)
получаем:
4.4 Выбор электродвигателя
Исходя из Ррас и режима работы
электропривода, выбираем двигатель краново-металлургической серии [3].
Двигатель Д31 - краново-металлургический, 220В, защищенный с независимой
вентиляцией (продуваемый), номинальный тепловой режим повторно кратковременный.
Таблица 4.1 - Паспортные данные двигателя Д806 при ПВ
= 100% (ест = 1,0)
|
Тип двигателя
|
Номинальная мощность Рн, кВт
|
Номинальный ток якоря Iян, А
|
Номинальная частота вращения nн, об/мин
|
Максимальная частота вращения nmax, об/мин
|
Момент инерции якоря Jд, кг·м2
|
Максимальный вращающий момент Мн, Н·м
|
Сопротивление обмотки якоря при 90єС Rя, Ом
|
|
Д806
|
22
|
116
|
650
|
2600
|
1,00
|
872
|
0,0864
|
.5 Составление расчетной схемы механической части ЭП
Кинематическая схема представлена на чертеже СУз-81с 7.0914.02.ТЧ2.1.
Механическую часть примем состоящую из двух вращающихся масс, которые имеют
моменты инерции J1 и J2. Две массы связаны эластичной муфтой и имеют жесткость связи
С1. Масса с моментом инерции J1 вращается со скоростью щ1 к ней приложен момент М1.
Аналогично к ротору центрифуги с моментом инерции J2 имеющий скорость щ2 приложен момент М2.
Учитываем элемент приведения масс двигателя, модель принимает вид изображенный
на чертеже СУз-81с 7.0914.02.ТЧ2.1. К ротору двигателя приложены моменты М и Мс1
трение в подшипниках. Вторая масса нагружена статистическим моментом Мс2.
.6 Расчет момента инерции электропривода
На основании расчетной схемы механической части вычисляется суммарный
момент инерции привода JУ, приведенный к скорости вращения вала двигателя. При этом получаем два
значения JУ, для участка рабочего цикла, когда
ротор не загружен и полностью загружен суспензией.
Где
Jдв -
момент инерции ротора двигателя (якоря);
Jмех - момент инерции механизма (ротора центрифуги с
продуктом).
кг×м2
кг×м2
кг×м2
кг×м2
кг×м2
кг×м2
кг×м2
кг×м2
кг×м2
кг×м2
Для
того чтобы определить момент инерции привода для участков рабочего цикла, когда
ротор полностью загружен, необходимо определить момент инерции.
Тогда:
кг×м2
кг×м2
кг×м2
кг×м2
4.7 Расчет и построение нагрузочных диаграмм электропривода
Статический момент, приведенный к скорости вала двигателя, определяется
по формуле:
Где
М0 - момент потерь холостого хода электродвигателя;
iр - передаточное число редуктора;
зр
- К.П.Д. редуктора.
Величиной
М0 пренебрегаем в виду ее малости. Так как привод безредукторный, то
формула (4.15) принимает вид:
Электромагнитный момент двигателя равен сумме статического и
динамического моментов:
Рассчитаем динамические моменты:
Н×м
Н×м
Н×м
Н×м
Н×м
Н×м
Н×м
Н×м
Н×м
Н×м
Н×м
Н×м
Н×м
Зная
статический и динамический моменты на каждом участке рабочего цикла, по формуле
определяем электромагнитный момент:
Нагрузочные
диаграммы Мс(t) и М(t) представлены на чертежах
СУз-81с.7.0914.02.ТЧ1.1,
СУз-81с.7.0914.02.ТЧ3.1.
Поскольку
применяется двухзонное регулирование скорости ДПТ, то при ослаблении магнитного
потока двигателя нарушается прямая пропорциональность между моментом и током
якоря. Поэтому, кроме упрощенной нагрузочной диаграммы М(t),
необходимо построить упрощенную токовую диаграмму I(t).
При скорости, равной или меньшей номинальной (щ ≤ щн), ток
якоря двигателя определяется соотношением:
Конструктивный
коэффициент
kФ
= М
/I
При
скорости, выше номинальной, ток двигателя определяется по формуле:
Определяем
значения щн и k∙Фн:
Теперь,
используя формулы (4.19) и (4.21), определяем значение тока на каждом участке
рабочего цикла. Нагрузочная диаграмма I(t) представлена
на чертеже СУз-81с.7.0914.02.ТЧ4.1
А
А
А
11,409А
А
А
А
А
А
102,188А
А
А
4.8 Проверка двигателя по перегрузке и по условиям пуска
На основании построенных нагрузочных диаграмм производится проверка
двигателя на перегрузку. Двигатель проходит по перегрузочной способности, если
выполняются условия: М ≤ Мдоп и I ≤ Iдоп. на протяжении всего рабочего цикла
работы ЭП. Здесь М и I -
значения момента и тока из нагрузочных диаграмм; Мдоп и Iдоп
- максимально допустимые значения момента и тока выбранного двигателя.
В качестве М берем максимальный момент за время работы в рабочем цикле.
М
= М5 =
Для
ДПТ известна перегрузочная способность по току, поэтому:
Iдоп = лI ∙ Iн
Iдоп = 2,5 ∙ 116 = 290 А
В
качестве I берем максимальный ток за время работы в рабочем
цикле.
I = I8 = -
Проверка
по пусковому моменту
Смысл этой проверки состоит в том, что проверяется физическая
реализуемость процесса пуска ЭП из неподвижного состояния. Необходимо проверить
выполнение условия: МП > МС.ТР, где МП -
пусковой момент двигателя; МС.ТР - значение статического момента при
трогании механизма из неподвижного состояния (момент трогания).
Так как пуск двигателя совершается на холостом ходу, то момент МС.ТР
имеет малое значение, т.е. можно сделать вывод, что МП > МС.ТР.
По пусковому моменту двигатель проходит. Теперь двигатель нужно проверить по
условиям нагревания (по температурному режиму).
4.9 Проверка двигателя по нагреву
В практике проектирования ЭП из всех методов проверки двигателей на
нагрев наибольшее распространение получили методы эквивалентного момента - для
случая однозонного регулирования скорости и эквивалентного тока - для случая
двухзонного регулирования скорости.
Значения этих эквивалентных величин находят по формулам:
Где М1, М2, …, Мn, I1, I2, …, In - значения моментов и токов на участках нагрузочных диаграмм М(t) и I(t) длительностью t1, t2, …, tn, причем сумма длительностей этих
участков равна времени цикла
Формулы справедливы лишь в случаях, когда условия охлаждения на всех
участках работы не отличаются от расчетных, принятых при проектировании
двигателя. Для самовентилируемых двигателей, теплоотдача которых зависит от
частоты вращения, в эти формулы следует вводить поправочные коэффициенты для
участков, где скорость двигателя меньше номинальной. При этом формула
эквивалентного тока приобретает вид:
Где tп, tторм, tуст - продолжительность режимов пуска, торможения, работы с
установившейся скоростью в течение цикла;
б
и в - коэффициенты, учитывающие ухудшение условий охлаждения при работе со
скоростью, ниже номинальной, в процессах пуска (
) и во
время паузы (в). Обычно принимают
= 0,75 и
в = 0,5. Так как, выбран двигатель крановометалургической серии, то в формуле
не учитывается время паузы t0 и
коэффициент в.
tп = t1 + t3+ t8
+ t10 = 48 с
tторм = t5 + t7+ t12
= 34 с
tуст = t2 + t4+ t6
+ t9 + t11 = 84 с
t0 = t13 = 25 с
Ухудшение
условий теплоотдачи учитывается при определении расчетной продолжительности
включения:
Подставляя полученные значения в формулу (4.29) имеем: IЭ = 79,728 А
Так как расчетная продолжительность отличается от стандартной, то сделаем
перерасчет эквивалентного тока по формуле:
А
Для приводов центрифуг считается обязательным запас по току 20-25%,
поэтому условиями пригодности двигателя по тепловому режиму будет соотношение:
Двигатель проходит по нагреву, т.к. выполняются условия (4.30): 85,164 ≤
87 (А)
Раздел 5. Выбор элетрооборудования силовой части электропривода
5.1 Выбор комплектного электропривода
Наиболее современным видом регулируемого ЭП является ЭП ПТ, в котором
регулирование осуществляется изменением среднего значения напряжения
приложенного к якорю электродвигателя постоянного тока и его обмотки
возбуждения. В последнее время в качестве источника регулируемого напряжения
постоянного тока используют ТП. Такие электроприводы называются тиристорными.
Исходя из номинального тока и номинального напряжения, используя [5]
выбираем комплектный тиристорный ЭП унифицированной серии КТЭУ:
КТЭУ-200/220-13122 УХЛ4.
Технические данные:
IН ≤ 200 А
UН = 220 В
. Однодвигательный.
. Реверсивный с изменением полярности напряжения в цепи якоря.
. ТП связан с сетью посредством реактора.
. Основной регулируемый параметр - скорость.
. Коммутационная аппаратура силовой цепи: с линейным контактором и
динамическим торможением.
.2 Состав тиристорного электропривода
В состав комплектного электропривода входят:
1. Электродвигатель постоянного тока с тахогенератором.
2. Тиристорный преобразователь для питания якоря электродвигателя,
состоящий из силовых тиристоров с системой охлаждения, защитных
предохранителей, разрядных и защитных RLC-цепей, СИФУ, устройств выделения аварийного режима, контроля
предохранителей и
3. защиты от перенапряжений.
. Тиристорный преобразователь для питания обмотки возбуждения.
5. Анодный реактор.
. Коммутационная и защитная аппаратура в цепях постоянного и
переменного тока (автоматические выключатели, линейные контакторы, рубильники).
. Сглаживающий реактор в цепи постоянного тока.
. Устройство динамического торможения.
. Система управления электроприводом (якорем и обмоткой
возбуждения электродвигателя).
. Комплект аппаратов, приборов и устройств, обеспечивающих
оперативное управление, контроль и сигнализацию.
. Узлы питания обмотки возбуждения тахогенератора и электромеханического
тормоза.
. Контрольно-испытательные стенды.
. Датчики, устанавливаемые на механизмы.
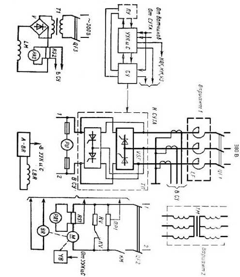
.3 Описание функциональной схемы тиристорного электропривода
На чертеже СУз-81с.7.0914.02.Э1.1 изображена функциональная схема
реверсивного электропривода серии КТЭУ на ток до 200 А.
ТП состоит из двух встречено включенных мостов VSF,VSB,
получает питание от сети 380 В через автоматический выключатель QF1 и анодный реактор LF. На стороне постоянного тока защита
осуществляется автоматическим выключателем QF2. Линейный контактор КМ служит для частой коммутации якорной
цепи (при необходимости), динамическое торможение электродвигателя М
осуществляется через контактор KV и
резистор RV. Трансформатор Т1 и диодный мост V служат для питания обмотки
возбуждения двигателя LM.
Тахогенератор BR возбуждается от отдельного узла A-BR; имеется также узел питания электромагнитного тормоза YB. Система управления СУ по сигналам
оператора с пульта управления ПУ, сигналам о состоянии коммутационных и
защитных аппаратов, получаемым из узлов управления этими аппаратами и
сигнализации УУКиС, сигналам из общей схемы управления технологическим
агрегатом СУТА, сигналам о токе якоря двигателя и токе возбуждения, получаемым
с шунтов RS1, RS2, сигналам о напряжении на якоре электродвигателя, снимаемым
с потенциометра RP1, сигналам о
скорости, формируемым тахогенератором BR, выдает сигналы управления в СИФУ, УУКиС и на пульт управления ПУ. Узел
управления коммутационной аппаратурой и сигнализации УУКиС по командам
оператора и сигналам от СУ включает или выключает аппараты QF1 - QF3, KM, KV, а также осуществляет сигнализацию о
состоянии этих и других защитных аппаратов.
Сигналы задания и обратных связей в СУ гальванически разделяются от
внешних протяженных цепей или цепей с высоким потенциалом. Система управления
через гальваническии разделители выдает в СУТА значения необходимых
регулируемых параметров (скорости, тока и др.). Устройство УУКиС получает
сигнал от пульта управления, датчиков, СУТА, через двухпозиционные
гальванические разделители и преобразователи напряжения высокого уровня в
напряжение низкого уровня, используемые в системе. Устройство УУКиС выдает на
пульт управления и в СУТА двухпозиционные логические или контактные сигналы: о
готовности электропривода к работе, состоянии аварийной и предупреждающей
сигнализации, нулевой скорости или достижения некоторой заданной скорости.
Логические сигналы подаются через гальваническии разделители и преобразователи
напряжения низкого уровня в напряжение высокого уровня.
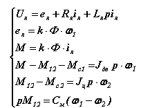
Раздел 6. Математическое описание силовой части электропривода
На основании расчетной схемы запишем систему электрических и механических
уравнений для двухмассовой упругой системы.
оператор дифференцирования.
Определим параметры системы
ЭДС, возникающая при вращении двигателя, В
ея = Uн - Iн∙Rя
ея = 209,9 В
Конструктивный коэффициент,
kФ =
5,568 В∙с
Индуктивность цепи якоря, Гн
рn = 4 - число пар полюсов
См = 150 (Н∙м/рад)
На основании полученной системы уравнений составим структурную схему
силовой части ЭП (чертеж СУз-81с.7.0914.02.ТЧ5.1).
Раздел 7. Расчет переходных процессов в разомкнутой
системе ЭП
Произведем расчет переходных процессов для режима пуска и торможения.
В общем виде формулы для расчета переходных процессов имеют вид:
Расчет будем производить с помощью программного
продукта Microsoft Office Excel 2003 от корпорации Microsoft (файл расчёт.xls).
Заключение
Во время выполнения курсового проекта мы рассмотрели вопросы
проектирования электропривода ротора фильтрующей подвесной центрифуги. Для
ротора центрифуги мы рассчитали мощность приводного двигателя, произведен выбор
двигателя, силового оборудования. Построили графики переходных процессов в
режимах пуска и торможения электропривода. Получили математическое описание
силовой части электропривода как объекта управления.
Выполнив курсовой проект мы решили вопросы теории
электропривода в неразрывной связи с виртуальными условиями работы
технологических агрегатов, что способствовало глубокому осмыслению основных
теоретических положений, изучаемой дисциплины
Список источников
1
Методические
указания по курсовому проектированию "Проектирование электроприводов
центрифуг". Часть 1. Часть 2. Сумы: СумГУ, 1996г.
2
Автоматизированный
электропривод общепромышленных механизмов, М. М. Соколов "Энергия"
1969г.
3
Лукьяненко В.М.,
Таранец А.В. Центрифуги. Справочник. Изд. - М; Химия 1988г.
Автоматизированный
электропривод типовых производственных механизмов и технологических комплексов:
учебник для студ. высш. учеб. Заведений М. П. Белов, В. А. Новиков, Л. Н.
Рассудов
<#"701171.files/image213.gif">
Рассмотрим процесс динамического торможения
Приложение Б
Переходные процессы при пуске
Приложение В - Переходные процессы при торможении