Расчет привода сепаратора
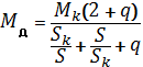
Содержание
Введение
. Исходные данные
. Описание технологической схемы
установки
. Расчет механической нагрузки и
построение нагрузочной диаграммы
. Выбор электродвигателя
. Расчет механической характеристики
рабочей машины
. Расчёт приведённого к валу двигателя
момента инерции рабочей машины
. Расчёт и построение механической
характеристики электродвигателя. Определение время пуска и торможения
электропривода
. Проверка выбранного
электродвигателя по тепловому режиму при работе и при пуске
. Определение активной и реактивной
мощности, потребляемой из сети двигателем или агрегатом в целом и cosг
. Разработка принципиальной и
монтажной электрических схем управления электропривода
. Расчет и выбор аппаратуры
управления и защиты
. Расчёт показателей надёжности
Список литературы
Введение
Сепарация молока применяется для его очистки от
загрязнений и разделения на сливки и обрат. Для очистки молока в поточной
производственной линии более целесообразны центробежные очистители, которые в
отличие от фильтров не нуждаются в сменных фильтрующих материалах. Очистка
молока в них осуществляется под действием центробежных сил за счет разности
плотностей разделяемых фаз.
Для создания центробежного поля при очистке
молока и других жидкостей используют аппараты двух типов: неподвижные, в
которых вращается поток жидкости, и вращающиеся, в которых жидкость движется
вместе с ротором аппарата. Аппараты первого типа носят название гидроциклонов,
а второго - центрифуг или центробежных сепараторов
Использование центробежной силы при определенных
условиях может обеспечить и возможность быстрого получения сливок из молока.
Сепарирование молока, как и естественный отстой, основаны на разнице между
плотностью жира и других составных частей молока.
В покоящемся молоке жировые шарики (диаметром
1...10 мкм) в виду меньшей плотности всплывают на поверхность (отстаиваются).
Однако скорость всплывания их невелика и составляет всего несколько миллиметров
в час. Поэтому весь процесс отстоя молока для получения жира очень
продолжителен - от 10 до 30 ч. Кроме того, требуются большие площади помещения
для размещения оборудования, а в снятом (обезжиренном) молоке остается
значительная часть жира.
Скорость всплывания жировых шариков в молоке,
находящемся в покое, пропорциональна действующему на него ускорению силы
тяжести, которое по своему численному значению в тысячи раз меньше
центростремительного ускорения, развиваемого при вращательном движении. Замена
в сепараторах ускорения силы тяжести центростремительным дает огромный эффект:
достигается быстрое и тщательное отделение жира от молока, а также становится
возможным обеспечение непрерывно-поточного технологического процесса.
В связи о возросшей потребностью в использовании
сепараторов для тонкослойного разделения неоднородных систем и многообразием их
конструкций представляется целесообразным обобщить имеющийся материал,
рассмотреть теоретические- аспекты работы сепараторов и критически оценить
предложенные новые конструкции сепараторов.
Молочные сепараторы по назначению делятся на
следующие группы.
Сепараторы-сливкоотделители для разделения
цельного молока на ставки и обрат и одновременной очистки полученных
компонентов от загрязнений.
Сепараторы-очистители для очистки молока.
Сепараторы-нормализаторы для получения в потоке
молока определенной жирности.
Сепараторы-классификаторы для очистки молока, а
также для раздробления и получения однородных по величине жировых шариков;
Универсальные сепараторы, осуществляющие все
перечисленные виды операций.
Сепараторы специального назначения для холодного
сепарирования, получения высокожирных сливок, получения творога из творожного
сгустка, гомогенизации молока, выделения микрофлоры и др.
По способу удаления из барабана посторонних
примесей и осадка различают сепараторы:
с ручной выгрузкой осадка из барабана после
остановки и разборки сепаратора;
саморазгружающиеся с периодической или
непрерывной выгрузкой осадка.
По подаче и отводу продукта они могут быть
открытыми, полузакрытыми и герметическими.
Открытые сепараторы по конструкция наиболее
просты. В них поступление молока и отвод продуктов сепарирования происходит
самотеком в соприкосновении с окружающим воздухом. В процессе сепарирования
отводимый продукт захватывает воздух, в результате чего образуется молочная
пена, ухудшающая условия эксплуатации открытых сепараторов. Обычно они
выпускаются с подачей до 0,3 кг/с.
В полузакрытых сепараторах молоко движется
открытым потоком при доступе воздуха, а отвод продуктов осуществляется закрытым
способом под действием давления, создаваемого барабаном сепаратора. Подача
таких сепараторов достигается 0,5...1,0 кг/с.
Герметические сепараторы отличаются тем, что в
них подача молока и отвод продуктов происходят под давлением без доступа
воздуха. Такие сепараторы применяются в замкнутой системе
охладительно-пастеризационных установок и на крупных предприятиях молочной
промышленности. Их подача превышает 1 кг/с.
Вследствие того, что в полузакрытых
герметических сепаратоpax отвод молочных продуктов происходит под давлением
через патрубки, соединенные о молокопроводом, то в них не происходит насыщения
продукта воздухом и вспенивание его. Это является их большим преимуществом по
сравнению с открытыми сепараторами. По типу привода различают сепараторы: с
приводом от электродвигателя; с. ручным приводом; с комбинированным приводом -
ручным и от электродвигателя.
Рис. 1
2. Исходные данные
. Частота вращения барабана 7000 об/мин
. Начальный момент сопротивления на валу
сепаратора, Мсн 0,25 Нм
. Коэффициент пропорциональности 1,7Ч 10-6
. Момент инерции сепаратора 10 кг Ч м2
. Момент инерции передаточного звена 0,35 кг Ч м2
. Передаточное отношение, I
0,16
. Описание технологической схемы установки
Рис. 2
В технологическую схему первичной обработки
молока входят: деаэратор, молочный насос, сепаратор, пастеризатор,
гомогенизатор. Для регулирования качества сепарирования используется
электропривод молочного насоса. Датчиком насоса служит трансформатор тока в
цепи электродвигателя сепаратора. Подача насоса регулируется скоростью вращения
насоса с помощью теристорного регулятора напряжения.
Из приемного бака молоко насосом подается в
секцию регенирации 1 молочного пастеризатора, где происходит предварительный
нагрев продукта до температуры 40-60 єС. После продукт подается в деаэратор,
где проходит первичная очистка молока. Затем молоко подается в сепаратор, где
производится отделение жировых шариков т. е. обезжиривания продукта и поступает
в секцию регенирации 2. В секции регенерации 2 продукт нагревается то 50 - 70
єС. Из секции регенерации 2 продукт поступает на гомогенизатор, после
гомогенизации продукт поступает в секцию регенерации 3, а затем в секцию
пастеризации, где окончательно нагревается до заданной температуры
пастеризации. Выйдя из секции пастеризации, пройдя переключающий автоматический
клапан возврата и выдерживатель (25-300 с), продукт идет в секции регенерации
3, 2, 1 соответственно. Далее в зависимости от технологии производства,
происходит либо нагрев, либо охлаждение продукта в секции нагрева/охлаждения.
Нагрев и охлаждение продукта производится за
счет теплообмена в пяти секциях: в секциях регенерации 1, 2 и 3 теплообмен
происходит между исходным холодным продуктом и горячим пастеризованным. В
секциях пастеризации и подогрева/охлаждения теплообмен ведется между продуктом
и водой. По окончанию отсчета времени выталкивания воды клапан розлива
переключается на розлив - автоматически запускается подпроцесс розлива
продукта.
. Расчёт механической нагрузки и построение
нагрузочной диаграммы
Расчетная мощность сепаратора определяется по
формуле:

(4.1)
где h=1,2-2 -
опытный коэффициент, учитывающий мощность, которая нужна для сообщения
кинетической энергии, поступающей в барабан жидкости, преодоления
гидродинамических потерь и потерь трения в подшипниках и передаточном
механизме:
Механическая характеристика
сепаратора без учета резонансных пиков определяется по формуле:

(4.2)
Где М0 - начальный момент
на валу привода; Нм
кс - коэффициент
пропорциональности, зависящий от качества обработки элементов кинематической схемы
привода, массы барабана, шероховатости поверхности сепаратора;

- угловая скорость барабана, рад/с

Мощность в таком случае будет равна:
Построение нагрузочной диаграммы.
Нагрузочные диаграммы представляют
собой зависимости момента сопротивления на валу электродвигателя или рабочей
машины, мощности или тока электродвигателя от времени, т.е. Мс(t), P(t), I(t).
Режим работы электропривода
повторно-кратковременный, S3.
Рис. 3
5. Выбор электродвигателя
В общем случае выбор электродвигателя
производится по роду тока и значению напряжения, электрическим модификациям,
конструктивному ис-полнению, степени защищенности от воздействия окружающей
среды, мощ-ности и частоте вращения.
При выборе электродвигателя по роду тока и
значению напряжения учи-тываются данные источника питания и технологические
требования со сто-роны производственного процесса электрифицированной
установки. При необходимости плавного регулирования угловой скорости
электропривода в широком диапазоне предпочтение отдается электродвигателям
постоянного тока.
Для электропривода сельскохозяйственных машин и
агрегатов, как пра-вило, применяются асинхронные электродвигатели трёхфазного
переменного тока напряжением 380/220 В мощностью до 75 кВт.
По конструктивному исполнению и способу монтажа
электродвигатели выбираются исходя из удобства их установки и дальнейшего
обслуживания с учетом конструктивных особенностей рабочей машины или механизма.
Климатическое исполнение и категория размещения
должны соответствовать условиям окружающей среды. Для объектов
сельскохозяйственного производства целесообразно выбирать электродвигатели
специализированного исполнения влагоморозостойкого, химического,
пылевлагозащищенного, сельскохозяйственного и др. со степенью защищенности
IP24…IP54.
Мощность электродвигателя должна быть
достаточной для преодоления сопротивления рабочей машины в заданном режиме ее
работы без превышения допустимой температуры частей двигателя. При этом
напряжение питания электродвигателя может быть ниже номинального на 10%. При
выборе электродвигателя нужно стремиться к максимальному использованию его
мощности во время работы. Коэффициент загрузки должен быть не ниже 0,7. Для
повышения коэффициента загрузки при случайном характере нагрузки рекомендуется
обеспечивать механическое выравнивание подачи материала либо автоматическое
регулирование загрузки. Недогрузка электродвигателя ведет к снижению КПД, cosᵞ,
значительному перерасходу электроэнергии, удорожанию установки, перегрузка - к
перегреву и быстрому выходу из строя.
Методика выбора мощности электродвигателя
зависит от характера нагрузки (постоянная, переменная, случайная) и режима
работы (длительный, кратковременный, повторно-кратковременный и т.д.).
Для машин, работающих с длительной постоянной
нагрузкой, мощность определяется на основании соотношения: Рн ≥ Р.
По каталогу выбирается двигатель, ближайший по
стандартной шкале. Выбранный двигатель проверяется по условиям пуска.
Если нагрузка переменная, то
электродвигатель выбирается так, чтобы выполнялось условие: Рн ≥ Рэ.
КПД загрузки электродвигателя определяется по
формуле:
(5.1)
где к3 - коэффициент загрузки, к3=Рэ/
Рн
fa
- коэффициент формы кривой;
зн - КПД электродвигателя при
номинальной мощности;
Sн
- номинальное скольжение;
Коэффициент формы кривой определяется:
(5.2)

0,71
При работе в
повторно-кратковременном режиме определяется среднеквадратичная мощность за
рабочий период Рэ по нагрузочной диаграмме.
Определим эквивалентную мощность:

(5.1)
Где t1- время
работы сепаратора
t2- время
отдыха сепаратора

=0,726 кВт
По эквивалентной мощности выбираем
двигатель 4А80А4У3
Рн=1.1 кВт Mmin/Mн = 1.6
nн=1420
об/мин In/Iн
= 5.0
КПД= 75% J
= 34∙10-4 кг м2
cosг=0,81 iп=5
Sн=5,4%k=34%/Mн
= 2.4 /Mн
= 2.0
6. Расчет механической характеристики рабочей
машины
Механическая характеристика рабочей машины при
работе на холостом ходу и под нагрузкой представляет собой зависимость момента
сопротивле- ния от частоты вращения или угловой скорости и описывается
уравнением:
(6.1)
где Мм - момент сопротивления механизма при
угловой скорости, Нм;
Ммо - момент сопротивления механизма, не
зависящий от угловой скорости (момент трогания), Нм;
Ммн - момент сопротивления при номинальной
угловой скорости, Нм;
щм - текущее значение угловой
скорости вала рабочей машины, с-1 ;
щмн - номинальная угловая скорость
вала рабочей машины, с-1 ;
х - показатель степени характеризующий изменение
статического момента от угловой скорости.
Момент статического сопротивления на валу
электродвигателя Мс, Нм
(6.2)
Сельскохозяйственные машины делятся на три
группы, центробежные сепараторы относятся к первой группе. Механизмы первой
группы допускают пуск асинхронных электродвигателей, при пониженном напряжении
питания, переключением обмоток со звезды на треугольник в целях снижения
падения напряжения в сети при пуске.
Начальный пусковой момент электродвигателя
должен быть достаточным для преодоления момента сопротивления трогания рабочей
машины при снижении питающего напряжения (ДU) на 20 - 30% номинального (большая
величина относится к двигателям, не имеющим параллельно включенных токоприемников).
При этом предпочтительным является прямой пуск
электродвигателя. При необходимости допускается применение средств, облегчающих
пуск электродвигателя. Пусковые устройства выбираются на основании
технико-экономических расчетов.
Частота( скорость) вращения магнитного поля
статора:

(6.3)
Номинальная частота вращения вала
двигателя:

(6.4)
Номинальный момент электродвигателя
определяется по формуле:
(6.5)
Критический момент на валу двигателя:
(6.6)
Пусковой момент двигателя;
(6.7)
Минимальный момент на валу двигателя:
(6.8)
Частота вращения ротора при
минимальном моменте соответствует:

(6.9)
Избыточный момент:
(6.10)
Возможность пуска электродвигателя
при снижении питающего напряжении на 20% проверяется по условию:
(6.11)
,892 > 7,59
Из условия следует, что при снижении напряжения
на 20% электродвигатель запустится.
7. Расчёт приведённого к валу двигателя момента
инерции рабочей машины
Приведенный к валу электродвигателя момент
инерции системы J, кг∙м2 определяется по формуле:

(7.1)
где k - коэффициент, учитывающий момент инерции
механической передачи, k = 1.05 - 1.2 д - момент инерции ротора
электродвигателя, кг∙м2
Jм - момент инерции вращающихся частей рабочей
машины, кг∙м2
i - передаточное отношение.
Момент инерции электродвигателя определяется по
каталогу.
Момент инерции рабочей машины определяется по
паспортным данным или подсчитывается аналитически.
. Расчёт и построение механической
характеристики электродвигателя. Определение время пуска и торможения
электропривода
Механическая характеристика электродвигателя Мд
(щ) определяется по формуле Клосса:

(8.1)
где S - текущее скольжение; q - параметр;
Критическое скольжение, соответствующее
максимальному вращающему моменту электродвигателя, может быть принято по
каталожным данным электродвигателя или определено по формуле:

(8.2)
где m1- коэффициент, равный
отношению кратности максимального и кратности пускового моментов;

(8.3)
Параметр q может быть определён по
соотношению:

(8.4)
По формуле Клосса механическая
характеристика рассчитывается, задаваясь значениями s от 0 до 0,7, с учетом
того, что при: s = 0 Мо = 0; s = sн Мо = Мн; s = 0,8 Мо = Мм; s = 1 Мо = Мп.
Для построения механической характеристики
электродвигателя
Мд(щ) пересчитывается скольжение на угловую
скорость в каждой точке по формуле:

(8.5)
Время разбега и торможения системы
под нагрузкой и на холостом ходу, может быть определено на основе уравнения
движения электропривода:
(8.6)
где Мизб -избыточный момент системы,
Нм;

- угловое ускорение, с-1
;
Так как аналитическое определение
времени разбега tP и времени торможения tT вследствие нелинейности зависимостей
Мо(щ) и Мс(щ) весьма затруднительно, то они определяются графоаналитическим или
графическим интегрированием уравнения движения электропривода. Эти способы
основаны на том допущении, что уравнение движения электропривода вместо
бесконечно малых приращений скорости и времени подставляются малые конечные
приращения и средние значения момента двигателя и момента со- противления для
каждого периода изменения скорости, т.е.:

(8.7)
Для решения задачи по определению
времени разбега и торможения системы, следует по графическим зависимостям М0(щ)
и Мс(щ) построить кривую избыточного момента Мизб(щ).
Кривая избыточного момента
заменяется ступенчатой с участками, для ко- торых Мизб=const и равен
среднему значению Мизб.ср. От числа участков зависит точность
расчётов. Точность тем выше, чем на большее число участков разбита кривая Мизб(щ).
Для каждого участка, определяется 
, c

(8.8)
Где 
- среднее значение избыточного
момента на i- м участке.
Полное время разбега , определяется
как:
(8.9)
При одинаковых значениях Дщ на всех
участках полное время разбега tn ,с, может
быть найдено из выражения:
(8.10)
где n - число участков, на которое
разбита кривая избыточного момента;
Результаты вычислений сводятся в
таблицу 1.
Таблица 8.1
|
Частота
вращения, об/мин
|
Скольжение
|
Моменты,
Н*М
|
Время
разбега, с.
|
Интегрированное
время разбега, с
|
Время
торможения, сек.
|
Интегрированное
время торможения, с
|
Момент
двигателя при снижении напряжения
|
|
|
Двигателя
|
Рабочей
машины
|
Динамический
|
|
|
|
|
|
|
|
|
|
|
|
|
|
|
|
|
0,0
|
1,000
|
14,81
|
1,85
|
12,96
|
0,000
|
0,000
|
484,177
|
3822,750
|
9,48
|
|
115,3
|
0,923
|
13,51
|
1,89
|
11,62
|
9,826
|
9,826
|
419,573
|
3338,573
|
8,65
|
|
230,7
|
0,846
|
12,59
|
2,00
|
10,59
|
20,699
|
30,524
|
357,409
|
2919,000
|
8,05
|
|
346,0
|
0,769
|
12,03
|
2,18
|
9,85
|
32,516
|
63,040
|
299,610
|
2561,591
|
7,70
|
|
461,3
|
0,692
|
11,84
|
2,44
|
9,41
|
45,057
|
108,097
|
247,319
|
2261,981
|
7,58
|
|
493,9
|
0,671
|
11,86
|
2,52
|
9,34
|
48,701
|
156,798
|
233,551
|
2014,661
|
7,59
|
|
526,5
|
0,649
|
11,90
|
2,62
|
9,29
|
52,369
|
209,167
|
220,258
|
1781,110
|
7,62
|
|
559,2
|
0,627
|
11,98
|
2,71
|
9,27
|
56,050
|
265,217
|
207,438
|
1560,852
|
7,67
|
|
591,8
|
0,605
|
12,08
|
2,82
|
9,27
|
59,736
|
324,954
|
195,085
|
1353,414
|
7,73
|
|
624,4
|
0,584
|
12,22
|
2,93
|
9,29
|
63,418
|
388,372
|
183,190
|
1158,329
|
7,82
|
|
657,0
|
0,562
|
12,38
|
3,04
|
9,34
|
67,085
|
455,457
|
171,742
|
975,139
|
7,92
|
|
689,6
|
0,540
|
12,57
|
3,16
|
9,41
|
70,729
|
526,186
|
160,731
|
803,397
|
8,05
|
|
722,3
|
0,518
|
13,81
|
3,29
|
10,52
|
74,157
|
600,342
|
150,143
|
642,666
|
8,84
|
|
754,9
|
0,497
|
15,67
|
3,42
|
12,25
|
77,157
|
677,500
|
139,965
|
492,523
|
10,03
|
|
787,5
|
0,475
|
16,29
|
3,56
|
12,73
|
79,893
|
757,392
|
130,183
|
352,558
|
10,42
|
|
914,0
|
16,18
|
4,15
|
12,03
|
90,592
|
847,984
|
95,856
|
222,375
|
10,36
|
|
1040,4
|
0,306
|
15,76
|
4,84
|
10,92
|
102,134
|
950,118
|
66,397
|
126,520
|
10,08
|
|
1166,9
|
0,222
|
14,75
|
5,61
|
9,14
|
115,335
|
1065,454
|
41,033
|
60,122
|
9,44
|
|
1293,4
|
0,138
|
12,53
|
6,46
|
6,07
|
132,749
|
1198,202
|
19,090
|
19,090
|
8,02
|
|
1500,0
|
0,138
|
0,00
|
8,06
|
0,00
|
|
|
|
|
0,00
|
Рис. 4 Механические характеристики
электродвигателя
Рис. 5
. Проверка выбранного электродвигателя по
тепловому режиму при работе и при пуске
По условиям нагревания мощность выбранного
электродвигателя, когда время пуска соизмеримо со временем работы.
При повторно-кратковременном режиме работы
мощность выбранного двигателя по условиям нагревания проверяется по
соотношению:
Рн ≥ Рэ или Iн
≥ Iэ
Фиксированная пусковая мощность определяется по
формуле:
(9.1)
Номинальный ток электродвигателя определяется по
формуле:
(9.2)
Пусковой ток электродвигателя определяется по
формуле:
(9.3)
Постоянная времени нагрева определяется по
формуле:
(9.4)
где m-
масса выбранного электродвигателя, кг;
нн - номинальное превышение
температуры обмотки статора электродвигателя.
Для класса изоляции
А нн=60 0С
E нн=750С
В нн=80 0С
F нн=100 0С
H нн=125 0С
Расчет эквивалентной мощности и тока
определяется по формулам:
(9.5)
(9.6)
Так как у нас время пуска большое наш двигатель
при прямом пуске сгорит. Следовательно в этом случае у нас есть несколько путей
решения. Одним из таких путей решения может быть заменой двигателя на более
мощный, как показывают наши расчеты это двигатель должен иметь мощность в пять
раз больше выбранного нами ранее электродвигатель. Но такая замена экономически
не эффективна. В нашем случае мы применим фрикционную муфту.
Фрикционная муфта- это устройство передачи
вращательного движения послредством силы трения скольжения.
По назначению фрикционные муфты могут быть
сцепные и предохранительные. Нам же понадобится сцепная фрикционная муфта.
Сцепная фрикционная муфта, предназначенная для
разъединения и плавного соединения входного и выходного валов посредством
трения.
Во время включения в работу сцепных
фрикционных муфт крутящий момент на ведомом валу возрастает поступательно и
пропорционально увеличению силы взаимного прижатия поверхностей трения. Это
позволяет соединять валы под нагрузкой и со значительной начальной разницей их
угловых скоростей
<https://ru.wikipedia.org/wiki/%D0%A3%D0%B3%D0%BB%D0%BE%D0%B2%D0%B0%D1%8F_%D1%81%D0%BA%D0%BE%D1%80%D0%BE%D1%81%D1%82%D1%8C>.
В процессе включения муфта пробуксовывает, а разгон ведомого вала осуществляется
плавно, без ударов.
Рис. 6
. Определение активной и реактивной
мощности, потребляемой из сети двигателем или агрегатом в целом и cosг
Активная, реактивная и полная
мощности, потребляемые электродвигателем из сети, определяются по известным
формулам с учетом коэффициента загрузки. Для определения КПД и cosг
электродвигателя по католожным данным строятся графики cosг(к3)
и з(к3). Здесь к3 - коэффициент загрузки двигателя,
равный:
(10.1)
Максимальная активная мощность
определяется по формуле:
(10.2)
Коэффициент формы кривой по формуле:
(10.3)
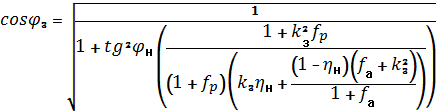
Коэффициент мощности определяется по
формуле:
(10.4)
Максимальная полная мощность равна:
(10.5)
Максимальная реактивная мощность
равна:
(10.6)
11. Разработка принципиальной и
монтажной электрических схем управления электропривода
Прежде чем приступить к разработке
функциональной, принципиальной схем и схемы электрических соединений надо
выполнить следующее:
изучить технологический процесс;
ознакомиться с оборудованием, с помощью которого
осуществляется технологический процесс;
освоить порядок функционирования отдельных узлов
и объекта в целом;
освоить систему условных обозначений и
маркировки в схемах.
Основные требования, предъявляемые к схемам
управления электроприводами можно разделить на 3 группы:
технологические;
безопасности;
надежности;
Технологические требования:
- Для наладочных и ремонтных работ в
схемах необходимо предусмотреть деблокировочные режимы, обеспечивающие
включения отдельных электродвигателей, обычно работающих в потоке. Если в
поточной линии малое число приводов, то при наладке разрешается включать всю
линию. Электродвигатели всех машин и механизмов поточной линии пускают в последовательности,
направленной против движения продукта, а останавливают в последовательности,
совпадающей с направлением движения продукта.
- Для остановки всей поточной линии необходимо
сначала остановить головной механизм, обеспечивающий прекращение подачи
продукта на поточную линию, затем с выдержкой времени - все машины, полностью
освободившиеся от продукта.
Требования безопасности:
Пуску автоматизированного электропривода
поточной линии должен предшествовать предупредительный звуковой или световой сигнал
(или оба).
Схема должна предусматривать аварийную остановку
всех машин и механизмов. Если помещение протяженное, то кнопки аварийного
отключения должны быть в разных местах.
Схемы должны иметь блокировки от неправильного
включения и отключения электрических цепей.
В схемах управления могут использоваться
защитно-отключающие устройства.
Требования надежности:
Для устойчивой работы электропривода, а также во
избежание недопустимых снижений напряжения схемы последовательного (каскадного)
включения электроприводов должны быть рассчитаны на предельно - допустимую
мощность, одновременно включаемых двигателей.
В схемах должна быть предусмотрена защита
электрооборудования от к.з. перегрузок.
Схемы должны быть простыми и надежными. В них
рекомендуется применять однотипные средства автоматизации с наименьшим числом
элементов. Надежность повышается, если выполнены все необходимые электрические
и механические блокировки.
Схемы управления должны обеспечивать достаточную
гибкость и удобство управления, т.е. должны быть обеспечены простые переходы к
управлению во всех предусмотренных режимах.
Схемы управления должны иметь сигнализацию
нормального состояния элементов, предупредительную, аварийную.
Электрические схемы управления должны быть
составлены таким образом, чтобы было удобно контролировать неисправность
системы и быстро находить повреждения. Для этого сложные схемы разбивают на
отдельные секции и питают через секционирующие предохранители и автоматические
выключатели.
Выбор коммутационной аппаратуры должен
производится с учетом режима работы, размещения и условий окружающей среды .
Схемы должны быть выполнены с учетом удобства
монтажа.
Функциональная схема автоматизации является
основным документом, определяющим объем автоматизации технологических установок
и отдельных агрегатов автоматизируемого объекта.
Функциональная схема представляет собой чертеж,
на котором схематически условными обозначениями изображены технологическое
оборудование, коммуникации, органы управления и средства автоматизации с указанием
связей между ними.
На функциональных схемах не показывают источники
питания, автоматические выключатели, предохранители, реле, соединительные
коробки.
У изображения технологического оборудования и
отдельных его элементов указываются их наименование и номер, а стрелками
показывается направление потока.
Условные обозначения приборов и средств
автоматизации на функциональных схемах выполняются в соответствии с
действующими стандартами.
Щиты и пульты управления на функциональных
схемах изображаются условно в виде прямоугольников произвольных размеров,
достаточных для нанесения графических условных обозначений устанавливаемых на
них приборов, средств автоматизации, аппаратуры управления и сигнализации.
Функциональные связи между имеющимися на
технологическом оборудованием первичными преобразователями и средствами
автоматизации и установленными на щитах и пультах показываются сплошными
тонкими линиями. К условным обозначениям приборов и средств автоматизации линии
связи допускается подводить с любой стороны в том числе сбоку и под углом.
Допускается пересечение линиями связи оборудования, а условные обозначения
приборов и средств автоматизации пересекать нельзя. Допускается прерывать линии
связи, идущие от средств автоматизации и оборудования к щитам или пультам и
выходящие из щитов и пультов. Прерванные линии связи обозначаются арабскими
цифрами, причем линии связи, выходящие из шкафов и пультов управления,
обозначаются цифрами 1, 2, 3, 4, 5 и т.д. (в направлении слева направо),
нумерация линий связи, идущих к шкафам и пультам, может быть в любой
последовательности (4, 1, 3, и т.д.).
Процесс разработки принципиальных электрических
схем зависит от опыта и интуиции разработчика. Опыт позволяет находить для
данного случая типовые, стандартные решения, а интуиция - новые.
Наряду с «интуитивным» методом разработки
принципиальных схем в последнее время применяются методы, основанные на
применении алгебры логики.
Принципиальные схемы разрабатываются в такой
последовательности:
на основании технологической и функциональной
схем оставляются технические требования к принципиальной электрической схеме,
техническое задание;
применительно к этим требованиям устанавливается
последовательность действия элементов схемы;
выбираются типовые решения (элементарные типовые
звенья);
элементарные типовые звенья объединяют в общую
схему;
выбирают аппаратуру защиты и управления;
принимают окончательное решение применительно к
имеющейся аппаратуре;
проверяют схему с точки зрения отсутствия ложных
цепей;
разработанную схему проверяют на макете или
опытной установке.
На принципиальных схемах показываются силовые
цепи и цепи управления. Элементы на схеме изображаются в виде условных
графических обозначений, установленных в действующих стандартах ЕСКД ГОСТ 2.721
- 74, 2.722 - 68, 2.723 - 68, 2.725-68…2.756-68 и т.д.
При вычерчивании принципиальной электрической
схемы все контакты и катушки располагают по нескольким вертикальным линиям,
причем катушки, лампы должны быть присоединены к правой линии питания, а
контакты - к левой.
Пояснения о функциональных назначениях цепей или
элементов помещают в прямоугольниках справа от них. Расстояние между линией
связи и прямоугольником принимается равным 10…15 мм.
Если по принципиальным электрическим схемам
разрабатываются схемы соединений, то в них обозначаются участки цепи в
соответствии с ГОСТ 2.709-72.
Участки цепи, разделенные контактами аппаратов,
обмотками реле, приборов, машин, резисторами и другими элементами, должны иметь
разное обозначение. Последовательность обозначения от ввода источника питания к
потребителю, а в разветвляющихся участках цепи сверху вниз в направлении слева
направо.
При обозначении цепей применяются арабские цифры
и прописные буквы латинского алфавита. Буквы и цифры выполняются шрифтом одного
размера.
В силовых цепях переменного тока используются
обозначения L1, L2, L3 и N и последовательные числа. Цепи управления, защиты,
сигнализации, автоматики, измерения обозначаются последовательными числами.
На схеме обозначения проставляют в конце или в
середине участка цепи при вертикальном расположении цепей - слева от
изображения цепи; при горизонтальном расположении цепей - над изображениями
цепи. Допускается проставлять обозначение под изображением цепи.
Режим работы схемы управления электроприводом
(ручной дистанционный или автоматизированный) задается положением ручек
универсальных переключателей, диаграммой замыкания направлений.
Подача напряжения в схему должна предшествовать
предупредительная сигнализация.
При ручном дистанционном управлении
первоначальный импульс на включение подается нажатием на кнопку имеющую
замыкающий контакт с самовозвратом, если привод включается по программе, то
импульс на включение подается контактом программного аппарата.
Для управления переключениями в силовых цепях
используются магнитные пускатели.
Включение машин в заданной последовательности
осуществляется с помощью блокировок в цепях управления катушками магнитных
пускателей (замыкающий контакт КМ1 в цепи катушки пускателя КМ2 и т.д.)
Необходимые выдержки времени производятся с помощью
реле времени.
Управление электродвигателем в функции пути,
пройденного исполнительным механизмом, выполняется с помощью путевых или
конечных выключателей.
В схемах управления поточными линиями при
срабатывании датчиков или нажатием оператором на кнопку «Рабочий стоп»
отключается механизм, подающий материал в поточную линию, дается выдержка
времени для очистки тракта от продукта, затем отключаются все машины.
Для удобства наблюдения за работой машин или
механизмов составляются цепи сигнализации.
Для защиты электродвигателей от токов короткого
замыкания рекомендуется использовать автоматические выключатели с
электромагнитными расцепителями. Тепловая защита электродвигателей может быть
произведена тепловыми расцепителями автоматических выключателей или тепловыми
реле магнитных пускателей. Защита электродвигателей от обрыва фаз питающей сети
или большой несимметрии напряжений может быть осуществлена реле напряжения,
включенном между нулевой точкой звезды обмотки статора электродвигателя и
нулевым проводом сети, а также с использованием других специальных схем и реле.
Защита от самопроизвольного включения двигателей
(нулевая) осуществляется катушками магнитных пускателей или реле напряжения.
Защита цепей управления и сигнализации производится плавкими предохранителями
или автоматическими выключателями.
В общем случае аппараты управления схемы могут
быть размещены в силовых шкафах (автоматические выключатели, магнитные
пускатели), шкафах автоматики (программные реле, реле времени, промежуточные
реле), пультах управления и сигнализации (кнопки управления, универсальные
переключатели, сигнальные лампы). При небольшом количестве пусковой, защитной и
другой аппаратуры все устройства могут быть расположены в одном шкафу. Пульты
управления и сигнализации следует располагать в производственных помещениях
вблизи привода рабочей машины. Силовые шкафы и шкафы автоматики рекомендуется
располагать в отдельных помещениях, изолированных от вредного влияния на
аппараты среды помещений.
При разработке шкафа управления аппараты нужно
располагать так, чтобы обеспечивать:
удобство и безопасность обслуживания;
удобство наблюдения за работой аппаратов;
удобство подключения внешних соединений;
доступ к контактным соединениям;
удобство ремонта и монтажа;
исключение возможности взаимного влияния
аппаратов (переброс электрической дуги, передача механических сотрясений,
вызывающих ложные срабатывания и регулировку аппаратов, взаимная индуктивность
и др.)
Аппараты ручного управления (автоматические
выключатели, рубильники, переключатели, кнопки и т.п.) рекомендуется размещать
на высоте не более1800 мм и не менее 600 мм от пола до органа управления.
Если аппараты включаются редко, то их
разрешается устанавливать в зоне 300…2000 мм.
Реле времени, реле максимального тока, реле напряжения
и другие аппараты, требующие регулировки, рекомендуется также устанавливать на
удобной для обслуживания высоте 600…1800 мм.
Измерительные приборы, за которыми требуется
постоянное наблюдение, следует устанавливать так, чтобы шкала каждого из приборов
находилась на высоте 700…1800 мм от уровня пола.
Приборы, по которым должны производится точные
отсчеты, должны устанавливаться на высоте 1200…1600 мм.
Приборы, которые не требуют постоянного
наблюдения, могут располагаться на высоте 300…2100 мм.
Аппараты в низковольтных комплектных устройствах
(НКУ) следует размещать в пределах полезной площади панели с учетом следующего:
контакты, элементы регулировки и другие
регулярно обслуживаемые части должны находиться на высоте 400…2000 мм;
выводы аппаратов, к которым подсоединяются
внешние кабели на ток до 160 А, должны находиться на высоте не менее 300 мм, на
ток свыше 160 А - на высоте не менее 400 мм;
дроссели, трансформаторы, реакторы могут
устанавливаться на любой высоте;
силовые аппараты рекомендуется располагать таким
образом, чтобы длина силовых проводов и шин была минимальной, чтобы
обеспечивалось удобство подключения внешних силовых кабелей и, чтобы по
возможности исключалось пересечение шин и проводов на ток свыше 160 А.
При размещении аппаратов на панели необходимо
пользоваться зонами аппаратов .
Размер зоны определяется габаритными размерами
аппарата, а также дополнительными расстояниями сверху, снизу, слева и справа от
аппарата, необходимыми для подсоединения к аппарату проводников, размещения
маркировки на их концах, размещения горизонтальных проводов по панели, а также
обслуживания аппаратов в эксплуатации. Поэтому на чертежах общих видов можно
располагать зоны аппаратов вплотную друг к другу.
Исходные данные, принятые при определении размеров
зон:
- для монтажа цепей управления и
силовых цепей на ток до 25 А (сечение провода не более 2,5 мм) оставляется
пространство в 30 мм на каждую сторону аппарата, на которой имеются выводы, для
маркировки концов проводов и их изгиба;
- для силовых проводников монтажная зона
определяется как сумма длины хвостовика кабельного наконечника и радиуса изгиба
провода. Радиус изгиба принят равным трем диаметрам провода на ток до 100 А и
пяти диаметрам провода на ток более 100 А.
Для наиболее часто применяемых аппаратов
предусмотрено несколько размеров зон по высоте. Предпочтение нужно отдавать
меньшему размеру, но если в одном ряду устанавливаются аппараты с разной
высотой зоны, то можно выбирать любой из трех размеров зоны.
На чертеже общего вида шкафа управления
(выполненного в масштабе 1:10) должны быть показаны:
расположение аппаратов, мнемонических знаков и
линий, соединяющих их;
установочные размеры аппаратов, мнемознаков и
линий;
высота щита, длина секций и ширина каждой
панели;
цвет панели и цвета мнемознаков и мнемолиний.
При нанесении установочных размеров аппаратов на
панели за базу должен приниматься нижний левый угол полезной площади панели.
При нанесении установочных размеров аппаратов на
двери шкафа и крышке пульта за базу должен приниматься верхний левый угол
полезной площади двери шкафа или крышки пульта.
Блоки и отдельные аппараты показываются
прямоугольниками в размерах их зон.
В контуре прямоугольника или рядом с ним
указывается обозначение аппарата по принципиальной электрической схеме. На
полках выносных вне контура прямоугольника или изображения аппарата указываются
позиции в соответствии с заказной спецификацией.
На видном месте возле каждого аппарата должны
быть показаны таблички для оперативных надписей. Все таблички должны иметь
сквозную нумерацию в пределах щита в направлении слева направо и сверху вниз.
Допускается нумерация табличек по технологическим признакам.
Схемы соединений (монтажные) составляются для
каждого шкафа в отдельности.
Устройства на схемах соединений изображаются в
виде прямоугольников или упрощенных внешних очертаний сплошными тонкими
линиями, элементы устройств - в виде условных графических обозначений,
прямоугольников или внешних очертаний. Входные и выходные элементы изображаются
в виде условных графических обозначений. Расположение графических обозначений
элементов, входных и выходных зажимов должно примерно соответствовать их
размещению в устройстве.
Каждому зажиму аппарата присваивается свой
номер, который может на самом аппарате отсутствовать.
Номер показывается внутри зажимов. Условная
маркировка выполняется по схеме:
главные контакты маркируются однозначными
числами, начиная с единицы;
вспомогательные контакты - двухзначными числами
Первая цифра обозначает порядковый контакта в пределах одного аппарата. Вторая
цифра отражает вид контакта: 1-2 размыкающий контакт, 3-4 замыкающий контакт.
В приложении приведены схемы соединений
некоторых аппаратов. По аналогии с ними можно составить монтажную схему
(символ) любого аппарата.
При составлении схем соединений нужно помнить:
присоединять провода нужно только к зажимам
аппаратов, электрических машин, приборов или к блокам зажимов;
к одному зажиму присоединять не более двух
проводов;
в пределах одной панели все разветвления
проводов между аппаратами рекомендуется делать на зажимах аппаратов и не
применять промежуточные зажимы;
не допускать соединений проводов помимо зажимов,
например, путем скрутки или пайки,
отдельные аппараты, расположенные на различных
панелях, должны быть соединены только через блоки зажимов. Исключение
составляет только соединение амперметра с шунтом, которое должно быть показано
методом встречных адресов, минуя блоки зажимов.
при заполнении блоков зажимов необходимо:
зажимы с напряжением 380В и выше располагать на
отдельных клеммах;
если невозможно разделить клеммы по напряжению,
между зажимами с различным напряжением следует предусмотреть одну свободную
клемму;
все зажимы цепей управления следует размещать в
порядке возрастания маркировки сверху вниз и слева направо. При этом все зажимы
надо разбить по группам в зависимости от полярности и одну группу от другой
отделить свободной клеммой.
в практике пользуются тремя способами исполнения
схем соединений:
способ многолинейных соединений;
табличный;
способ встречной маркировки.
На схемах соединений, выполненных многолинейным
способом, все провода изображаются линиями. Толщина линий, изображающих
провода, жгуты и кабели, на схемах должны быть от 0,4 до 1 мм.
Для упрощения начертания схемы допускается
сливать отдельные провода или кабели, идущие на схеме в одном направлении, и
общую линию. При подходе к контактам их изображают отдельной линией.
Схемы соединений с указанием трасс
прокладываемых линий связи выполняются при относительной простоте соединений,
малом числе монтируемых элементов, свободном просматривании линий связи между
присоединяемыми выводами элементов или если важно точное расположение связи на
монтируемом устройстве. На сложной схеме это сделать трудно. Схемы соединений
шкафов, панелей, блоков, пультов управления, как правило, вычерчивают без
изображений линий связи. Монтаж в этом случае выполняют по адресным таблицам,
которые разрабатываются одновременно со схемами. На таких схемах соединений
трассы прокладывания проводов (жгутов и кабелей) устанавливают электромонтажники
с учетом кратчайших расстояний между соединяемыми выводами устанавливаемых
элементов.
. Расчет и выбор аппаратуры управления и защиты
Данные электродвигателя 4А80А4У3
Рн=1.1 кВт Mmin/Mн
= 1.6
nн=1420
об/мин In/Iн
= 5.0
КПД= 75% J
= 34∙10-4 кг м2
cosг=0,81 iп=5
Sн=5,4%k=34%/Mн
= 2.4 /Mн
= 2.0
Выбор автоматического выключателей:
Автоматические выключатели выбираются исходя из
условий:
Номинальное напряжение:
Uна
≥ Uн
где Uна
- номинальное напряжение автоматического выключателя, В;
Uн
- номинальное напряжение сети, В;
Номинального тока:
Iна ≥
Iр
где Iна
-
номинальный ток автоматического выключателя, А;
Iр
- рабочий ток электродвигателя(пункт 9) , Iн=
Iр
= 2,75 А
Предельной коммутационной способности:
Iсо ≥
Iэмр ав
где Iсо - ток срабатывания отсечки, А; эмр ав -
ток электромагнитного расцепителя автоматического выключателя, А;
(12.1)
где kн - коэффициент надёжности, 1.25; н-
номинальный ток электродвигателя, А; п - кратность пуска;
Номинального напряжения:на ≥ Uн
= 380 В.
Номинального тока:на ≥ Iр
≥ 2,75 А
Предельной коммутационной способности:со ≥
Iэмр ав
≥ 17,19 А
Выбираем автоматический выключатель АПД-25.
Данный автоматический выключатель оборудован
встроенным тепловым реле, которое защищает от токов перегрузки и имеет предел
регулирования от 2,5 до 4 А.
Его данные: на = 380 В. на= Ir = 4 А. со = 13 ∙
Ir = 52 А.
Выбор магнитных пускателей:
Магнитные пускатели выбираются исходя из
условий:н мп ≥ Iр
≥ 2,75 А
Выбираем магнитный пускатель ПМЛ - 111002.
Его данные:н мп = 380 В.н мп= 10 А.
Аппаратура управления:
. Промежуточное реле Finder 40.52, монтажная
розетка к реле Finder 95.05
. Реле времени Finder 80.11, один перекидной
контакт с задержкой на включение.
. Программный задатчик - регулятор МПР - 51
. Расчёт показателей надёжности
Эффективность применения схем управления
определяется по показателям надежности и экономическим характеристикам.
Электропривод относится к восстанавливаемым
объектам и поэтому основными показателями надежности являются: вероятность
безотказной работы на определенное время работы, интенсивность отказов,
коэффициент готовности.
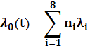
Результирующая отказов по всем элементам:
(13.1)
где i - интенсивность отказов i - тых элементов;
число отказов за время наблюдения;
Таблица 2
|
Наименование
элементов
|
Количество,
шт
|
Интенсивность
отказов л х 10-6 1/ч
|
л
х ni
|
|
Электродвигатель
|
1
|
4,8
|
4,8
|
|
Магнитный
пускатель
|
1
|
6,0
|
6,0
|
|
Кнопки
|
2
|
1,6
|
3,2
|
|
Автоматический
выкл.
|
1
|
0,137
|
0,137
|
|
Сигнальные
лампы
|
1
|
0,625
|
0,625
|
|
Промежуточное
реле
|
1
|
0,250
|
0,250
|
|
Реле
времени
|
1
|
0,390
|
0,390
|
С учетом эксплуатации:
(13.2)
где к- коэффициент, учитывающий влияния
окружающей среды k=1 для нормальных условий;
Время наработки до отказа определяется по
формуле:
(13.3)
Схема работает в течение года:
Безотказность работы в течении года:
(13.4)
сепаратор электропривод реактивный
Список литературы
1. Практикум по автоматизированному
электроприводу, Краснодар 2007 год авторы Оськин С.В., Богатырёв Н.И.,
Овсянников Д.А., Лисицын В.В., 141 стр.
. Спутник сельского электрика автор
Михальчук А.Н., Москва 1989 год 254стр.
. Теплоэнергетические установки и
системы сельского хозяйства, Москва «Колос пресс» 2002 год, авторы Амерханов
Р.А., Бессараб А.С., Драганов Б.Х., Рудобашта С.П., Шишко Г.Г. 422 стр.