Ортогональные многочлены
Введение
В курсе математического анализа
мы изучали тригонометрические ряды Фурье. Далее, в курсе функционального
анализа, ряды Фурье изучаются в главе «Гильбертовы пространства».
Рассматриваем пространство
(пространство
функций
отвечающих
условию
,
весовая
функция,
.)
Так как частичные суммы рядов Фурье дают
наименьше отклонение от изучаемой функции, то такой метод приближения функций
получил наиболее сильное развитие.
В этом пространстве
определяется ортонормированная система, по которой для изучаемой функции
строится ряд Фурье.
В данной работе рассматриваются
полиномы Лежандра и Лагерра, как примеры ортогональных систем в пространстве
.
Актуальность.
В рамках традиционных курсов математического и функционального анализа, ряды
Фурье по ортогональным системам изучаются недостаточно подробно. Это можно
объяснить трудоемкостью получения выражений для коэффициентов Фурье. Сейчас
применяя встроенные функции в распространенных математических пакетах (Mathcad,
Maple и т.д.), можно
получать лишь численные (приближенные) значения коэффициентов Фурье, графики
частных сумм Фурье. Что является не достаточным для получения аналитических
выражений.
Цель работы.
Реализовать в пакете Mathcad альтернативные
возможности для получения ортогональных систем, с помощью которых можно
получать аналитические выражения;
Применяя полученные выражения для Mathcad, более
подробно изучить ортогональные системы (проверить известные результаты, и по
возможности, получить новые или, не слишком распространенные свойства
ортогональных многочленов).
Дипломная работа состоит из введения, трех глав,
заключения и списка литературы.
В первой главе приводятся необходимые
теоретические сведения.
Во второй главе вводится документ Mathcad
реализующий явные выражения для ортогональных систем Лежандра и Лагерра. Так же
в этой главе показано применение полученных результатов для разложения функций
в ряды Фурье.
В третьей главе приведено доказательство одного
свойства многочленов Лежандра.
ортогональный многочлен mathcad
лежандр
Глава 1.Ортонормированные системы и ряды Фурье
1.1 Гильбертовы пространства
Гильбертово пространство [n]- линейное
(векторное) пространство (над полем вещественных или комплексных чисел), в
котором для любых двух элементов пространства 
и
определено скалярное произведение
и полное
(относительно порожденной скалярным произведением метрики 
). Если условие полноты пространства
не выполнено, то говорят о предгильбертовом пространстве. Однако, большинство
из известных (используемых) пространств либо являются полными, либо могут быть
пополнены.
Таким образом, гильбертово
пространство есть банахово пространство (полное нормированное пространство),
норма которого порождена положительно определённым скалярным произведением и
определяется как

.
В гильбертовом пространстве, важное
значение имеет неравенство Коши-Буняковского:
.Следовательно,
.
Это позволяет интерпретировать
данное отношение как косинус угла между элементами и, в частности, ввести
понятие ортогональных элементов: два элемента гильбертова пространства
ортогональны, если их скалярное произведение равно нулю.
Подмножество элементов называется
ортонормированной системой, если любые два элемента множества ортогональны и
норма каждого элемента равна единице.
1.2 Ортонормированные системы
функций и их свойства
Понятие ортогональных многочленов было введено в
конце XIX в. в работах Чебышёва П. Л. [n] по непрерывным дробям и позднее
развито Марковым А. А. и Стилтьесом Т. И. и нашло различные применения во
многих областях математики и физики.
В математике последовательностью ортогональных
многочленов называют бесконечную последовательность действительных многочленов
где каждый многочлен имеет степень 
, а также любые два различных
многочлена этой последовательности ортогональны друг другу в смысле некоторого
скалярного произведения, заданного в пространстве 
.
Пусть 
- промежуток на вещественной оси
(конечный или бесконечный). Этот промежуток называется интервалом
ортогональности. Пусть
заданная
непрерывная, строго положительная внутри промежутка функция. Такая функция
называется весовой или просто весом. Функция 
связана с пространством функций
, для
которых сходится интеграл 

.
В полученном пространстве можно
ввести скалярное произведение по формуле 

.
Если скалярное произведение двух
функций равно нулю 
, то такие функции называются
ортогональными с весом 
. Как правило, среди ортогональных
полиномов рассматриваются только вещественные функции.
Систему многочленов 
называют ортогональной, если
.
- многочлен
степени
,
. 
, где 
- символ Кронекера,
- нормировочный множитель.
Ортогональный базис называется
ортонормированным, если все его элементы имеют единичную норму 
,
.
1.3 Ряды
Фурье
Пусть

(1)
бесконечная ортогональная на 
система функций. Предположим, что
некоторую функцию
представили
в виде линейной комбинации:
(2)
Правая часть (2) называется
многочленом, где
- некоторая
константа системы функций (1). Домножим правую и левую часть выражения (2) на 
, где 
и проинтегрируем правую и левую
части на
.
,

. (3)
Коэффициент
определяемый
по формуле (3) называется коэффициентом Фурье для функции 
по ортогональной системе функций (1).
Определение: Пусть
функция
непрерывная
или разрывная (допускается разрыв первого рода), заданная на
, для
которой интегралы вида (3) позволяют вычислить для функции
коэффициент
Фурье с любым
. Ряд вида

(4)
где 
- коэффициенты Фурье, называемые
рядом Фурье для функции
по системе
функции (1).
1.4 Минимальное свойство
коэффициентов Фурье
Пусть функция
определена
на интервале
и ее квадрат
интегрируем с весом
по этому
интервалу. Как обычно, множество таких функций будем обозначать
. Всякой
функции
ставится в
соответствие весовая норма
(5)
Для каждой функции из пространства
можно
определить коэффициенты Фурье
(6)
и рассматривать ряд Фурье по
ортонормированным многочленам
(7)
Как и у всяких ортогональных рядов,
частичные суммы ряда (7) являются в некотором смысле наилучшими приближениями
функции
.
В самом деле, для произвольного
многочлена степени
(8)
как обычно, имеем
В частности, для частичных сумм ряда
(7)
(9)
Таким образом, при каждом
частичная
сумма (9) дает наилучшее среднее квадратичное приближение функции
по
сравнению со всеми многочленами (8) степени не выше
.
Замечание: Мы не ставили перед собой
задачу изучения условий сходимости. Известно, что не всякую функцию можно
разложить в ряд Фурье. Приведем для примере лишь одно условие сходимости:

Ортогональные многочлены можно
ввести несколькими способами:
I. Ортогонализация по Шмидту
Если совокупность степеней
ортогонолизировать
в вещественном пространстве
функций, суммируемых с квадратом с
весом
, то придем
к системе многочленов
ортогональных с весом
:
.
При
,
,
мы придем с точностью до постоянных
множителей к системе многочленов Лежандра; при
,
,
- к системе многочленов Лагерра.
II. Как решение дифференциальных
уравнений
Пусть весовая функция
на
интервале
удовлетворяет
дифференциальному уравнению Пирсона, т. е.
,
и, кроме того, на концах интервала
ортогональности выполняются предельное соотношение
Если весовая функция
удовлетворяет
этим двум условиям, то ортогональный многочлен
является решением дифференциального
уравнения
Дифференциальные уравнения для
многочленов Лежандра и Лагерра:
) В случае многочленов
Лежандра:
;
) В случае многочленов
Лагерра:
III. Формула Родрига
Если весовая функция
на
интервале ортогональности удовлетворяет условию
,
(1)
где
,
(2)
то функция
(3)
есть многочлен степени не выше
.
Для классических ортогональных
многочленов имеет место весьма важное представление через весовую функцию,
которое называется обобщенной формулой Родрига:
,
(4)
где
- некоторые коэффициенты.
) В случае многочленов
Лежандра:
;
) В случае многочленов
Лагерра:
IV. Через
производящие функции
Для системы многочленов
,
ортогональных с весом
на интервале
при
фиксированном
можно
рассматривать степенной ряд и его сумму
(1)
ибо при некоторых минимальных
условиях на весовую функцию этот ряд имеет положительный радиус сходимости.
Тогда функция F(x,w) называется производящей функцией системы многочленов
.
Рассмотрим обобщенную формулу
Родрига
(2)
где
- комплексное число.
Если z - точка аналитичности функции
, то для
производящей функции системы многочленов
(3)
имеет место представление
(4)
где
есть тот корень квадратного
уравнения
(5)
который при малых
расположен
ближе к точке
.
Производящие функции для
классических ортогональных многочленов:
1) В
случае многочленов Лежандра:
, где
2) В
случае многочленов Лагерра:
, где
V. Через
рекуррентные формулы.
Для реализации поставленной задачи
(получение ортогональных многочленов) наиболее удобным и быстрым способом
оказался метод рекуррентных формул, с помощью, которой удобно находить
последовательные многочлены.
Рекуррентные формулы для некоторых
классических многочленов:
1) В
случае многочленов Лаггера:
,
где
,
,
.
) В случае многочленов
Лежандра:
, где
,
Глава 2. Реализация в среде Mathcad
.1 Многочлены Лежандра и Лагерра
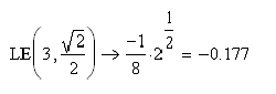
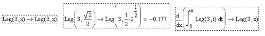
Опишем реализацию получения многочленов Лежандра
в среде Mathcad.
Используя средства встроенного программирования
[n] (вызывается
панелью
опишем рекуррентную формулу:
Произведем проверку:

Так как Mathcad выдает результат в
«неупакованном» виде, произвели преобразования с помощью встроенных средств
анализа:
Полученное выражение совпадает с известной
формулой [n].
Одновременно мы показали, что с полученными
выражениями для многочленов Лежандра можно производить аналитические преобразования
(интегрирование и дифференцирование).
Такую возможность нельзя производить со
встроенным в самом Mathcad’е многочленом Лежандра:
Справедливость нашего выражения подтверждается графиком:
Аналогично, вводятся многочлены
Лагерра (так как в Mathcad’e многочлены Лагерра только в случае
, для
сравнения мы также положим
).
.2 Ряд Фурье-Лежандра
Покажем на примере как с помощью
введенных выражений для многочленов Лежандра получать разложение произвольной
функции (удовлетворяющих условию сходимости) на отрезке [-1; 1]:
Возьмем функцию
. Выражение
для коэффициентов Фурье-Лежандра [n]:
Тогда частные суммы рядов
Фурье-Лежандра выражаются в виде:
.
В среде Mathcad выглядит следующим
образом:
Здесь
- коэффициенты Фурье-Лежандра,
- частная
сумма ряда Фурье-Лежандра
го порядка.
Так как Mathcad не может сразу
выдать явные выражения для
, то для их получения приходится
вручную вводить требуемую сумму:
Приведем полученные результаты на
графиках:
.3 Ряд Фурье-Лагерра
Так как многочлены Лагерра
определены на полуинтервале
, то положим
.
2.4 Ряд Фурье- Лежандра на
произвольном отрезке
Для получения ряда Фурье-Лежандра на
произвольном отрезке
необходимо
взаимно-однозначно отобразить отрезок
на отрезок
.
Пример 1. Разложим в промежутке
функцию
в ряд Фурье
Лежандра:
Для частной суммы 3-го порядка
приведено
аналитическое выражение. Сумма 7-го порядка
на графике почти не отличается от
.
Пример 2.
Сравним на примере разрывной функции
ряд
Фурье-Лежандра с тригонометрическим рядом Фурье:
Заметно, что явление Гиббса для ряда
Фурье-Лежандра выражено менее слабо.
Пример 3.
Сравним поведения рядов
Фурье-Лежандра и Фурье-Лагерра для функции
на отрезках
и
:
Здесь
частные суммы ряда Фурье-Лагерра
3-го и 13-го порядков;
частные суммы ряда Фурье-Лежандра
3-го и 13-го порядков;
Видно, что частные суммы рядов
Фурье-Лагерра даже невысоких порядков для малых значений аргумента
лучше
приближают функцию. А для больших значений аргумента
ряд
Фурье-Лагерра значительно уступает ряду Фурье-Лежандра.
Глава 3. Свойство интегралов от ортогональных
многочленов Лежандра
.1 Интегралы от многочленов
Лежандра
В ходе применения многочленов
Лежандра, мы столкнулись с интересным фактом.
Ясно, что в силу нечетности
ортогональных многочленов нечетной степени на рассматриваемом промежутке
:
(через
будем
обозначать многочлен Лежандра):
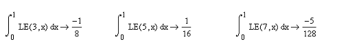
Интересно, следующее:
.
То есть:
Подтверждение этих фактов мы не
смогли найти в литературах. Приведем собственный вариант доказательства.
Для многочленов Лежандра справедливо
тождество (см. например: И.П. Натансон, Конструктивная теория функций. М.
1949.) стр. 386, тождество (130):
Пусть
. Тогда
так как,
То есть для четных многочленов
Лежандра площадь замкнутой области над осью
в промежутке
равна
площади области под осью.
Рассмотрим
здесь воспользовались формулой
(Суетин П.К. Классические
ортогональные многочлены, М., Наука, 1979.), стр. 120, формула (15).
Докажем, что при
,
.
Для этого, применим следующие известные
соотношения: Формула удвоения (формула Лежандра):
и
предельное соотношение:
.
То есть,
.
Здесь
- значение интеграла от многочлена
Лежандра степени
по отрезку
вычисленное
с помощью встроенной в Mathcad функции (выдает только приближенное значение);
- значение интеграла от многочлена
Лежандра степени
по отрезку
вычисленное
с помощью рекуррентной формулы (выдает символьное значение);
- значение интеграла от многочлена
Лежандра степени
по отрезку
вычисленное
с помощью доказанной формулы (выдает символьное значение);
- абсолютная погрешность между
точным значением интеграла от многочлена Лежандра степени
по отрезку
и
приближенным значением
.
Заключение
Созданы документы Mathcad
(программы) в которых реализованы явные выражения для ортогональных систем
Лежандра и Лагерра. При этом с полученными результатами можно производить
некоторые аналитические преобразования. На нескольких примерах показано работа
программ для разложения функций в ряды Фурье-Лежандра и ряды Фурье-Лагерра.
Реализовано разложение произвольной функций в ряд Фурье-Лежандра на
произвольном отрезке.
Из примеров можно предположить
некоторые выводы:
По сравнению с тригонометрическим
рядом Фурье, явление Гиббса для ряда Фурье-Лежандра выражено менее слабо;
Частные суммы рядов Фурье-Лагерра
даже невысоких порядков для малых значений аргумента
лучше
приближают функцию. А для больших значений аргумента
ряд
Фурье-Лагерра значительно уступает ряду Фурье-Лежандра.
Полностью доказано одно свойство
многочленов Лежандра произвольного порядка.
Список использованной литературы
1.Алексич
Г.,Проблемы сходимости ортогональных рядов, Перевод с английского А.В.Ефимова,
под редакцией П.Л.Ульянова, Издательство Иностранной Литературы, М.-1963.
.
Геронимус Я.Л.,Многочлены ,ортогональные на окружности и на отрезке. Оценки,
асимптотические формулы ,ортогональные ряды.,Государственное издательство
физико-математической литературы, М.-1958.
.Джексон
Д.,Ряды Фурье и ортогональные полиномы.,перевод с английского
А.А.Гутерман,государственное издательство Иностранной литературы, М.-1948.
.
Колмогоров А.Н., Фомин С.В.,Элементы теории функций и функционального
анализа,,издание четвёртое,переработанное
.
Люстерник Л.А.,Соболев В.И.,Элементы функционального анализа, Издание
второе,переработанное,Главная редакция физико-математической
литературы,Издательство «Наука», М.-1965.
.
Натансон И.П.,Конструктивная теория функций. М.-1949.
.
Натансон И.П.,Теория функций вещественной переменной. Издание третье.
.
Суетин П.К.,Классические ортогональные многочлены.Издание
второе,дополненное,Главная редакция физико-математической
литературы,Издательство «Наука», М.-1979,416 стр.
.
Фихтенгольц Г.М.,Курс дифференциального и интегрального исчисления, том 3.