Проектирование агрегатного участка
Введение
Одно из главных условий, обеспечивающих грузовые
перевозки, является высокий и устойчивый уровень технической готовности парка
автомашин.
Для создания нормальных условий эксплуатации и
обеспечения бесперебойной работы подвижного состава автомобильного транспорта
необходимо располагать производственно-технической базой, состояние и развитие
которой должны всегда соответствовать численности и потребности подвижного
состава.
Техническое состояние подвижного состава, его
надежность и работоспособность, а также регулярность и себестоимость перевозок
зависят не только от конструктивных качеств и производственного исполнения, но
и от состояния, организованности и оснащенности производственно-технической
базы АТП, которое обеспечивает техническое обслуживание (ТО), ремонт и хранение
автомобилей.
Агрегатный участок производит ремонт большинства
агрегатов, причём в основном заменой неисправных деталей.
Технологический процесс ремонта включает: мойку
агрегата; разборку в соответствии с объёмом работ; мойку снятых деталей и их
дефектовку; сортировку деталей и их комплектовку после ремонта; сборку и
испытание агрегата. Разборка-сборка производиться в основном на
специализированных стендах, обеспечивающих возможность подхода к ремонтируемому
агрегату с разных сторон, а также поворот и наклон агрегата для удобства
работы.
При выполнении курсового проекта по предмету
«Техническое обслуживание автомобилей» по теме: «Проектирование агрегатного
участка», проведено: обоснование проекта, маркетинговое исследование рынка ремонтных
работ, технологический расчет АТП, планировочное решение агрегатного участка,
разработана технологическая карта, разработаны требования по обеспечению
безопасных приемов труда на объекте проектирования.
Целью технологического расчета является выбор и
обоснование метода организации производства агрегатного участка; определение
объема работы по предприятию и объекту проектирования и расчет необходимого
количества исполнителей. В результате расчетов будут решены следующие основные
задачи: подбор технологического оборудования и оснастки на агрегатном участке;
выбор исходных нормативов режима ТО и ремонта, корректировку нормативов;
определение проектных величин коэффициента технической готовности и
коэффициента использования автомобилей; определение годового пробега
автомобилей в АТП; определение годовой и сменной программы по техническому
обслуживанию автомобилей; определение общей годовой трудоемкости ТО и ТР
подвижного состава в АТП; определение годовой трудоемкости работ по объекту
проектирования.
1. Общая часть
.1 Характеристика АТП
Проектируемое АТП под названием «СпецГарант»
находится в промышленной зоне Октябрьского района г. Рязани.
Автотранспортное предприятие - парк автомобилей
марки ЗИЛ-130, выполняющих подрядные работы по перевозке строительных грузов.
Автопарк АТП «СпецГарант» составляет 120 автомобилей ЗИЛ-130 и постоянно
пополняется новыми.
Автомобиль ЗИЛ-130 - двухосный грузовой
автомобиль-тягач. Предназначен для перевозки различных грузов и людей,
буксировки прицепных систем. Мощный и выносливый двигатель ЗИЛ отлично
реализует потенциал этой машины. На шасси ЗИЛ возможна установка фургонов,
рефрижераторов, другого спец. оборудования.
На предприятии действует
планово-предупредительная система обслуживания подвижного состава. Текущий ремонт
подвижного состава проводится на участке заявочного ремонта.
Также на предприятии имеются:
медницкое отделение - для ремонта радиаторов;
цех топливной аппаратуры - для ремонта топливной
аппаратуры;
аккумуляторный цех - для устранения
неисправностей АКБ;
кузовной цех - для проведения кузовных работ;
ремонтный участок (РУ) электрооборудования - для
устранения оказав и неисправностей электрооборудования;
механический цех - для изготовления и обработки
деталей;
моечный участок - для проведения уборочно-моечных
работ;
цех резинотехнических деталей - для производства
и ремонта резинотехнических изделий;
центральный и дополнительный склады - для
обеспечения новыми деталями; промежуточный склад - для хранения инструменты;
маслосклад - для хранения масла и тосола;
шиноремонтный участок - для балансировки колес,
ремонта шин и камер.
На предприятии не осуществляется ремонт
агрегатов. При возникновении поломок, автотранспорт или неисправный агрегат
отправляется в другие предприятия, расположенные в другом районе города.
Зоны, участки и цеха предприятия обеспечиваются
запчастями с промежуточного и центрального складов. Обтирочными материалами
участок снабжает дополнительный склад. С центрального и дополнительного складов
поставляются новые детали, узлы и агрегаты. С промежуточного склада
поставляются отремонтированные детали.
Несправные детали, узлы демонтируются и
направляются в ремонт на АТП и агрегаты демонтируются и направляются на другие
ремонтные предприятия и затем на промежуточный склад, либо списываются и отправляются
на утилизацию.
В связи с отсутствием на АТП специализированного
участка по ремонту и обслуживанию агрегатов, необходимо спроектировать
необходимую зону.
Агрегатный участок должен производить ремонт
большинства агрегатов, причём в основном заменой неисправных деталей.
Технологический процесс ремонта включает:
мойку агрегата;
разборку в соответствии с объёмом работ;
мойку снятых деталей и их дефектовку;
сортировку деталей и их комплектовку после
ремонта;
сборку и испытание агрегата.
Разборка-сборка производиться в основном на
специализированных стендах, обеспечивающих возможность подхода к ремонтируемому
агрегату с разных сторон, а также поворот и наклон агрегата для удобства
работы.
Система технического обслуживания в АТП
подвижного состава автомобильного транспорта позволяет содержать автопарк в
исправном состоянии и избежать поломок на линии.
На каждый автомобиль диспетчерской службой ЦУП
выписывается ремонтный лист, который передается руководству ремонтного участка
для включения в план ремонтных работ.
Исполнитель работ после завершения ремонта
указывает в ремонтном листе объект выполненных работ, использованные запасные
части и материалы. Исполнитель докладывает начальнику ремонтного участка о
выполнении задания
После завершения работ производится сдача-приемка
работ мастером ОТК вместе с механиком-водителем ЦУП. Отремонтированные
автомобили сдаются механиком-водителем ЦУП в колонну, а механик колонны
принимает их согласно положению о передаче машин.
На предприятии для водителей и ремрабочих
введена пятидневная рабочая неделя (со скользящим графиком для дежурных
средств) с количеством рабочих дней в году 250. В зоне принят восьмичасовой
рабочий день с часовым перерывом на обед. Время работы с 8:00 до 17:00 часов,
перерыв с 12:00 до 13:00 часов.
На данном предприятии применяется
сдельно-премиальная система оплаты труда ремонтных рабочих. Для оплаты труда
инженерно-технических работников применены должностные оклады с премией по
финансовым результатам отчетного периода.
По данным 2011 года среднемесячная заработная
плата производственных рабочих дифференцируется зависимости от квалификации
работающих и составляет от 5000 рублей в месяц (рабочий 1-го разряда) до 19 000
рублей в месяц (рабочий 6-го разряда).
Российские нормы технологического проектирования
РНТП 24-86 разделяют помещения и здания по взрывопожарной и пожарной опасности
на пять категорий: А, Б, В, Г, Д.
Правила противопожарной безопасности. Во всех
производственных подразделениях большой площади устанавливаются по несколько
ящиков с песком, помещения оборудуются пожарными щитами и пожарными шлангами.
Запрещается курить в местах, не предназначенных
для этого.
Сварочные работы должны выполняться в
соответствии с требованиями действующих стандартов ССБТ, а также Правил
безопасности труда и производственной санитарии при электросварочных работах,
Правил пожарной безопасности при проведении сварочных и других огневых работ.
Правила безопасности труда при ремонте
автомобилей. Оборудование должно отвечать требованиям ГОСТ 12.2.022-80, ГОСТ
12.2.049-80, ГОСТ 12.2.061-81 и ГОСТ 12.2.062-81.
Обязательные требования при запуске двигателя:
включать вентиляцию после одевания на выхлопную
трубу вентиляционного шланга;
после поднятия автомобиля на подъемнике
обязательно подставлять козлы под специальные кронштейны, предусмотренные
заводом-изготовителем;
не оставлять автомобиль на подъемнике после
окончания ремонта;
после опускания автомобиля под колеса
подкладывать противооткатные упоры;
во время ремонта в кабине автомобиля вывешивать
табличку «Двигатель не запускать - работают люди».
Производственная санитария. Условия труда - это
совокупность факторов производственной среды, оказывающих влияние на здоровье и
работоспособность человека
Оптимальные и допустимые параметры по
санитарно-гигиеническим факторам регламентируются СН 245-86:
температура окружающего воздуха - 20-23°С;
важность - 30-60%;
освещенность - 200-500 лк;
кратность воздухообмена - 2-3.
Охрана окружающей среды. Сокращения вредных
выбросов двигателями автомобилей можно добиться различными путями, прежде всего
поддержанием исправного технического состояния автомобиля. На АТП двигатели
должны регулировать на токсичность и дымность отработавших газов до
показателей, установлений ГОСТ 52033-2003 и ГОСТ 52160-2003. Контроль при
эксплуатации автобусов на со держание СО и СnНm должен проводиться при ТО-2,
после ремонта агрегатов, систем и узлов, влияющих на содержание СО и СnНm, а
также по заявкам водителей. Для обезвреживания отработавших газов применяют
различные типы нейтрализаторов
1.2 Обоснование проектного решения
Для обеспечения безопасности осуществляемых
подрядных работ по перевозке строительных грузов и эффективной работы на линии
подвижной состав должен быть исправным и его техническое состояние должно
отвечать требованиям ГОСТ Р 51709-2001 по безопасности движения и правил
технической эксплуатации.
Техническое обслуживание предназначено для:
поддержания подвижного состава в работоспособном
состоянии и в надлежащем внешнем виде;
обеспечения безопасности движения;
обеспечения защиты окружающей среды;
уменьшения интенсивности изменения параметров
технического состояния;
предупреждения отказов и неисправностей и
выявления их для своевременного устранения.
Задачами технического обслуживания являются не
только поддержание и восстановление работоспособности автомобильного парка, но
и снижение затрат на его содержание, а следовательно, и себестоимости
перевозок.
Особое внимание при обслуживании и текущем
ремонте уделяется специальной технике. Это связано с тем, что ее плохое
состояние не позволяет выполнять подрядные работы. Закупка новой техники
связана с серьезными затратами.
В связи с этим серьезным недостатком является
отсутствие штатных ремонтных рабочих (кроме сварщика и токаря) при этом
обслуживание и ремонт ложится на водителей. Для таких сложных работ как
моторные и агрегатные их (водителей) уровень квалификации при слабом оснащении
оборудованием недостаточен для обеспечения качества работ.
Производственное помещение агрегатного участка
расположено в левой части производственного корпуса, связанной общим проходом с
постами ТО и ТР.
Поскольку изначально они проектировались для
грузовых автомобилей ЗИЛ-130 старых моделей и меньшего автопарка, то многие
размеры строительных элементов не соответствуют нормативным требованиям.
Подъемно-транспортным оборудованием является
электротельфер грузоподъемность 1т. и консольно-поворотный кран. На участке
располагаются также слесарные верстаки.
Ванны для мойки деталей. Также у одной из стен
располагается ручной гидравлический пресс. Для удобства выполнения работ имеются
две передвижных тележек для инструмента. Кроме того, в ней имеются передвижная
ёмкость для слива отработавших масел.Вдоль глухой стены расположены два шкафа,
которые используются для хранения инструмента и сменной одежды.
АТП "СпецГарант" снабжено автотранспортом
пропорционально потребностям обеспечения обслуживания подрядов.
Понятно, что при недостаточном уровне
соответствующей обслуживающей базы, объемы выполнения подрядных работ невелики.
В этой ситуации сейчас применяются два выхода: обслуживание и ремонт силами
водителей и обслуживание на коммерческих СТО на договорной основе.
Оба решения имеют недостатки.
Ремонт силами водителей для современных
автомобилей, не обеспечивает должного качества, снижает ресурс. Он может быть
поводом для отказа в выполнении гарантийных обязательств завода при вскрытии
узлов и агрегатов.
Услуги же СТО с достаточным уровнем качества
дорогостоящие.
В рыночных условиях "СпецГарант" как
коммерческая структура ведет эксплуатацию подвижного состава на плановой основе
и ставит перспективой своего развития и снижения затрат - переоборудование АТП
и организацию агрегатного участка на АТП.
Организационно-технологические мероприятия,
рекомендуемые для внедрения на объекте проектирования, представлены в Табл. 1.
Таблица 1 - Организационно-технологические
мероприятия, рекомендуемые для внедрения на объекте проектирования
|
№
п/п
|
Наименование
мероприятия
|
Цель
мероприятия
|
|
1.
|
Внедрение
современного технологического оборудования и организационной оснастки
|
Повышение
производительности труда
|
|
2.
|
Проектирование
агрегатного участка. Изменение площади, установка дополнительного освещения,
вентиляции
|
Возможность
установки производительного оборудования
|
|
3.
|
Рациональная
организация рабочих мест
|
Повышение
производительности, сокращение затрат
|
|
4.
|
Рациональная
организация материально- технической базы
|
Повышение
производительности. Сокращение простоев транспорта
|
На основании проведенного исследования, с учетом
местных условий должны быть разработаны мероприятия для проектирования
агрегатного участка АТП "СпецГарант"
2. Технологическая часть
.1 Выбор исходных данных для расчета
.1.1 Характеристики списочного
состава АТП
Автомобиль ЗИЛ-130 - двухосный грузовой
автомобиль-тягач. Предназначен для перевозки различных грузов и людей,
буксировки прицепных систем. ЗИЛ-130 Рассчитан на эксплуатацию при температуре
окружающего воздуха от +55 до -45 градусов, относительной влажности до 80% и в
районах до 3000 м над уровнем моря.
Мощный и выносливый двигатель ЗИЛ отлично
реализует потенциал этой машины. На шасси ЗИЛ возможна установка фургонов,
рефрижераторов, другого спец. оборудования.
Таблица 2 - Технические характеристики
автомобиля ЗИЛ-130
|
Полная
масса автомобиля ЗИЛ 130, кг
|
10605
|
|
Масса
снаряженного автомобиля, кг
|
4380
|
|
Грузоподъемность
ЗИЛ 130 , кг
|
6000
|
|
Допустимая
полная масса буксируемого прицепа с грузом, кг
|
8000
|
|
Габаритные
размеры ЗИЛ 130, мм
|
6675х2510х2400
|
|
Формула
колес ЗИЛ 130
|
4х2
|
|
Максимальная
скорость, км/ч
|
90
|
|
Расход
топлива, л/100 км
|
26.5
|
|
Размеры
платформы ЗИЛ 130, мм
|
3752х2326х575
|
|
Двигатель
ЗИЛ-130
|
ЗИЛ
5081.1000401 V-образный, четырехтактный, карбюраторный, верхнеклапанный
|
|
Мощность
двигателя ЗИЛ 130 при 3200 об/мин, л.с.
|
150
|
2.1.2 Исходные данные для
проектирования
Для расчета производственной программы и объема
работ агрегатного участка грузового АТП необходимы следующие исходные данные.
Таблица 2 - Исходные данные для проектирования
|
№
п/п
|
Показатель
|
Условные
обозначения
|
Единица
измерения
|
Величина
показателя
|
|
1.
|
Марка
автомобиля
|
ЗИЛ
130
|
|
2.
|
Грузоподъемность
А/м
|
-
|
Т.
|
5-8
|
|
3.
|
Среднесписочное
количество автомобилей
|
А
|
Шт.
|
120
|
|
4.
|
Среднесуточный
пробег
|
Lсс
|
Км.
|
200
|
|
5.
|
Число
рабочих дней в году
|
Dp.r
|
Дн.
|
250
|
|
6.
|
Время
работы в наряде
|
|
ч
|
8
ч.
|
|
7.
|
Категория
эксплуатации
|
|
|
II
|
|
8.
|
Перевозимые
грузы
|
|
|
Строительные
|
|
9.
|
Климатические
условия
|
|
|
Умеренный
|
Расчет годовой производственной программы на
объекте проектирования.
Корректирование нормативной периодичности ТО и
пробега автомобилей до КР.
Производственная программа АТП по ТО
характеризуется числом технических обслуживаний, планируемых на определенный
период времени (год, сутки).
Нормативы периодичности ТО, пробега до КР,
трудоемкости единицы ТО и ТР/1000км принимаются согласно «Положения о
техническом обслуживании и ремонте подвижного состава автомобильного
транспорта»(Минтранс, 1986) [9].
Положением установлены нормативные значения
пробегов подвижного состава (дальше ПС) автотранспорта до КР и периодичности
ТО-1 и ТО-2 для определенных наиболее типичных условий, а именно: 1-й категории
условий эксплуатации, базовых автомобилей, умеренно-климатического района.
Для конкретного АТП, данного в задании, эти
условия отличаются, поэтому нормируемый пробег автомобиля по КР и периодичности
ТО-1 и ТО-2 корректируется.
К1 - коэффициент корректирования нормативов в
зависимости от условий эксплуатации;К1 =0,9 [9, таблица 2.8]
К2 - коэффициент корректирования нормативов в
зависимости отмодификации подвижного состава и организации его работы;К2 =1,0
[9, таблица 2.9]
К3- коэффициент корректирования нормативов в
зависимости отприродно-климатических условий;К3 =1,0 [9, таблица 2.10]
К4 - коэффициент корректирования нормативов в
зависимости отчисла автомобилей в АТП и количества технологически совместимых
групп подвижного состава.К5 =1,1 [9, таблица 2.12]
К5 - коэффициент корректирования нормативов в
зависимости от условий хранения подвижного состава;К5 =1,2 [9, таблица 2.11]
Результирующие коэффициенты для корректировки:
периодичность ТО
Кто= К1 ∙ Кз = 0,9 *1,0 = 0,9;
периодичность КР
Ккр= К1∙ К2 ∙ К3= 0,9 * 1,0 * 1,0 =
0,9;
Таблица 3 - Корректирование пробегов до ТО-1,
ТО-2 и ресурсного пробега
|
№
п/п
|
Тип,
модель ТС
|
Вид
пробега
|
Нормативный
пробег L1H, км [9, таблица 2.1]
|
К1
|
К2
|
К3
|
|
Расчетный
пробег L, км
|
|
1.
|
ЗИЛ
-130
|
L1н
L2н Lкрн Lео =Lcc
|
4
000 16 000 320000 200
|
0,9
|
1,0
|
1,0
|
L1'=L1нК1К3
L2'=L2нК1К3 Lкр'=LкрнК1К2К3
|
3600
14400 288 000
|
Где Lкрн - нормативный пробег автомобиля до КР,
км;н - нормативная периодичность ТО-1, км;н - нормативная периодичность ТО-2,
км
Определение технической готовности автопарка
Для удобства последующих расчетов корректируем
пробег между отдельными видами ТО и КР со среднесуточным пробегом при помощи
показателя кратности, который округляется до целого числа:
= L1'/ Lcc
где L1'- скорректированная периодичность
соответствующего вида воздействия, км;- среднесуточный пробег автомобиля, км.
Периодичность ЕО (Lео) принимается равной
среднесуточному пробегу автомобиля (Lсс).Так как постановка автомобилей на
обслуживание производится с учетом среднесуточного пробега (Lсс) через целое
число рабочих дней, то пробег до ТО-1 и ТО-2 должны быть кратны Lсси между
собой.
Определяем расчетную периодичность или расчетный
пробег соответствующего вида воздействия по формуле:
= ni * Lcc.
Таблица 4 - Корректировка периодичности ТО иКР
|
Расчетная
формула, где, L1, L2,Lкр - скорректированные кратные периодичности ТО-1,
ТО-2, км.
|
Расчет
|
Расчетный
показатель величины пробега до То, КР, км.
|
|
L1'
/ Lео ≈n,
|
3600/200
|
18
|
|
L1=
lео·n,
|
L1=200*18
|
3
600
|
|
L2'/L1≈n,
|
L2'/L1=14400/3600
|
4
|
|
L2=L1·n,
|
L2=3600*4
|
14
400
|
|
Lкр'/
L2≈n,
|
L'кр
=288000/14400
|
20
|
|
Lкр=
L2·n,
|
Lкр=
14400*20
|
288
000
|
Коэффициент технической готовности парка.
Определяем коэффициент технической готовности
,
зная который можно рассчитать годовой пробег автомобиля (парка) и в результате
определить годовую программу по ТО и КР автомобиля. Коэффициент технической
готовности выражается следующей формулой:
αТ =
, где:
αТ - коэффициент технической
готовности;
- среднесуточный пробег автомобиля;
- расчетная норма дней простоя в ТО
и ТР на 1000 км; [см. табл.2.10]
- 0,35 норма простоя автомобиля в
КР;[см. табл.2.10]
= 200 км.
αТ =
= 0,94.
Коэффициент использования парка.
αи = αТ*Д p.r. / Д
k.p.,
где, Дp.r. - количество дней работы
в году АТП
Дн.r - количество календарных дней в
году (рекомендовано 302)
Расчет фактического годового пробега
автопарка
Годовой пробег автомобильного парка
определяется по формуле:
∑Lг=Аи• Lсс •Дрг• αт,
Lг=250*0,76*200*120=4 560 000 км
где, А - списочное количество единиц
подвижного состава, lсс - среднесуточный пробег автомобиля, Дрг - количество
дней работы подвижного состава на линии в течении года Дрг =250, αи -
коэффициент использования марки автомобиля.
2.2 Определение количества
обслуживаний в год
Число технических обслуживаний ЕО
(Nеог), ТО-1 (N1г),ТО-2(N2г)определяется в целом по парку или по каждой группе
автомобилей имеющих одинаковую периодичность обслуживания.
Число технических воздействий на
один автомобиль за цикл определяется отношением циклового пробега к пробегу
данного вида воздействия. Т.к. цикловой пробег в расчете принят равным пробегу
автомобиля до КР, то число КР, ТО-1, ТО-2 и ЕО за цикл на один автомобиль можно
определить по формулам. Причем, необходимо учесть, что количество ЕО в год с
учетом технологических моек (перед ТО-1, ТО-2, КР). В этом случае количество ЕО
увеличивается приблизительно на 15%.
Таблица 5 - Количество ТО-2, ТО-1,
ЕО в год
|
Расчет
числа воздействий на 1 автомобиль за цикл
|
|
Число
технических обслуживаний
|
Формула
для расчета
|
Расчет
|
Кол-во
А/м
|
|
Nкрг
|
Nкрг=
Lкр /Lкр
|
4560000/4560000
|
1
|
|
N2г
|
N2г=
Lкр /L2 - Nкрг,
|
4560000/14400-1
|
316
|
|
N1г
|
N1г=
Lкр /L 1г -Nкрг-N2г,
|
4560000/3600-1-25
|
950
|
|
Nеог
|
Nеог=
Ас*Дpr *αи*1,15
|
120*250*0,76*1,15
|
26220
|
Где, Lг - годовой пробег а/мг- периодичность
ТО-2г- периодичность ТО-1еог- периодичность ЕОсс - среднесуточный пробег а/м
Программа диагностического воздействия за год
Программа Д-1 за год
∑ ND1 = 1,1 N1r + N2r = 1,1 * 950 + 316 =
1361
Программа Д-2 за год
∑ ND2 = 1,2 N2r = 1,2 * 316 = 379
Где, N1r, N2r - годовое число ТО-1 и ТО-2
Определение количества ТО и КРпо парку за сутки
Таблица 6 - Суточная программа автопарка по ТО и
ТР
|
Вид
ТО
|
Формула
для расчета
|
Расчет
|
Показатели
расчета
|
|
ТО-2
N2c
|
∑N2r/
Дрг
|
=379/234
|
=2
|
|
ТО-1
N1c
|
∑N1r/
Дрг
|
=1361/234
|
=6
|
|
ЕО
Neoc
|
∑Neor/
Дрг
|
=26220/250
|
=105
|
Где, Ni.г - Суточное количество ТО и ремонтов по
каждому виду в отдельности
∑Nir - Годовое количество ТО и ремонтов по
каждому виду в отдельности
Дрг - Число рабочих дней в году выполняющих
работу в зоне ТО ТР
Принимаем Ки - 0,98
Дргео - 250 дней
Дрг то-1 - 234 дня
Дрг то-2 - 234 дня
Расчет годового объема работ специализированного
участка
Годовой объем работ специализированного участка
представляет собой долю от общего объема работ Ттр (человеко-ч) по текущему
ремонту всего подвижного состава АТП.
Ттр=Lтр*tтр,
где Lтр - общий годовой пробег марки автомобиля
за год, кмтр - удельная откорректированная трудоемкость работ по ТР на 1000 км.
пробега;
тр = tтрн * К тр
где tтрн удельная нормативная трудоемкость
(человеко-ч) принимается по табл. 2.14 или по технической документации завода -
изготовителя автомобиля;
Ктр - результирующий коэффициент корректировки
трудоемкости ТР
Таблица 7 - Нормативы ресурсного пробега
подвижного состава, трудоемкости ТО и ТР для категории условий эксплуатации (по
ОНТП-01-91)
|
Подвижной
состав: Грузовые автомобили общетранспортного назначения грузоподъемностью
5-8 т:
|
Модельный
представитель
|
Ресурсный
пробег, не менее, тыс. км.
|
Нормативная
трудоемкость
|
Продолжительность
простоя подвижного состава в ТО и ТР, дней/1000 км.[1.таблица 2.6], Дто,трн
|
|
|
|
tеон,
ЕОс,
|
t1н,
ТО-1, чел-ч
|
t2н,
ТО-2, чел-ч
|
tтрн,
ТР, чел-ч/1000 км.
|
|
|
Грузовые
автомобили
|
ЗИЛ
-130
|
320
|
0,45
|
3,1
|
12
|
3,8
|
0,5
|
Определение годовой трудоемкости работ по ТО и
ТР в год при наличии на АТП постов диагностирования. Корректирование
трудоемкости ТО и ТР
Годовая трудоемкость ТО подвижного состава
определяется по общей формуле:
,
;,
tео=tеонК2К5Км
где Ni.г - годовое число обслуживаний данного
вида;
- расчетная
трудоемкость единицы ТО данного вида.
Км - коэффициент, учитывающий снижение
трудоемкости за счет механизации работ ЕО
Км=1-М/100, где, М - доля работ, выполняемых
механизированным способом
М=70 [1] , Км=1-(70/100)=0,23
Таблица 8 - Годовая трудоемкость работ по ТО и
ТР
|
Годовая
трудоемкость работ по ТО и ТР
|
|
tео=tеонК2К5Км,
|
|
tео
|
=0,45·1,0·1,2·0,23
|
=0,12чел-ч.
|
|
t1
|
=3,1·1,0·1,2
|
=3,72чел-ч.
|
|
t2=t2нК2К5,
|
|
t2
|
=12
·1,0·1,2
|
=14,4чел-ч.
|
|
tтр=tтрнК1К2К3К4К5,
|
|
tтр
|
=3,8·0,9·1,0·1,0·1,1·1,2
|
=4,5
чел-ч./1000 км.
|
Расчет годового объема работ по ТО, ТР и
самообслуживанию по проектируемому участку
Где Стр = 0,15-0,20 - доля сопутствующего ТР,
зависящая от «возраста» автомобилей, принимается самостоятельно или по данным
АТП.
Стр=0,2 [1]
Таблица 9 - Годовой объем работ по ТО и ТР и
самообслуживанию по проектируемому участку
|
Теог=Nеог·tео,
|
|
Теог
|
=26220
·0,12
|
=3146,4чел-ч.
|
|
Т1г=N1г·t1,
|
|
Т1г
|
=316·3,72
|
=1175,52чел-ч.
|
|
T2г=N2г·t2,
|
|
T2г
|
=950·14,4
|
=13680чел-ч.
|
|
T2спг(тр)=Стр·Т2г,
|
|
T2спг(тр)
|
=0,2·13680
|
=2736
чел-ч./1000 км.
|
|
Т2г(тр)=Т2г+
T2спг(тр)
|
|
Т2г(тр)
|
=
13680 +2736
|
=16416
чел-ч.
|
Таблица 10 - Расчет годового объема работ
|
Расчет
годового объема работ по ТР
|
|
Ттрг=(Lг/1000)
·tтр,
|
|
Ттрг
|
=(4560000
/1000) ·4,5
|
=20520чел-ч.
|
|
Ттргпост=Ттрг·Стр.пост-Т2сп(тр),
|
|
Ттргпост
|
=20520·0,5-2736
|
=7524чел-ч.
|
|
Расчет
объема работ по самообслуживанию
|
|
Тсамг
=10-4(Теог+Т1г+Т2г+Ттрг)КвспКсам
|
|
Тсамг
|
=10-4
· (3146,4 +1175,52 +13680 +20520) ·0,25·0,5
|
=0,48чел-ч.
|
|
Расчет
годового объема работ по диагностированию
|
|
Тд-1г=Т1гК11+0,5ТтргК111,
|
|
Тд-1г
|
=1175,52·0,1+0,5·20520·0,01
|
=220,15чел-ч.
|
|
Тд-2г=Т2гК21+0,5ТтргК211,
|
|
Тд-2г
|
=13680·0,1+0,5·20520·0,01
|
=1470,6чел-ч.
|
|
Корректировка
годовых объемов
|
|
Т1г1=Т1г-Тд-1г,
|
|
Т1г1
|
=1175,52-220,15
|
=955,37чел-ч
|
|
Т2г1=Т2г-Тд-2г,
|
|
Т2г1
|
=13680-1470,6
|
=12209,4чел-ч.
|
где, Стр.пост=0,5 [1,таблица 6]
Квсп - объем вспомогательных работ по
предприятию, зависящий от количества автомобилей обслуживаемых и ремонтируемых
на данном АТП.
Ксам - объем работ по самообслуживанию
предприятия.
Квсп=25 % [1]
Ксам=50% [1]
Т1г1, Т2г1, Ттрг1 - скорректированные годовые
объемы работ по ТО, чел-ч.
При организации работ по Д-1 и Д-2 на отдельных
постах следует скорректировать годовые объемы работ ТО-1, ТО-2 и ТР путем
исключения из них объемов работ выполняемых при ТО-1, ТО-2, ТР.
2.3 Расчет годового объема работ в
проектируемом объекте
Для формирования объемов работ, выполняемых на
постах зон ТО, ТР и производственных участках, а также для определения числа
рабочих по специальностям производится распределение годовых объемов работ
ТО-1, ТО-2, ТР по их видам в процентах, а затем в человеко-часах.
Годовой объем работ производственного отделения
определяется по каждой марке автомобиля по формуле
,
где
- процент объема работ, выполняемых
по ТР в данном отделении. В1=1%
- процент объема работ, выполняемых
при ТО-2 и приходящихся на данное отделение. В основном это работы по системе
питания, электротехнические, аккумуляторные и шиномонтажные, выполняемые в
соответствующих отделениях. В2=2,5%
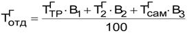
В3- процент объема работ не
учитывается т.к. Тсамг≤ 8000…10000
Тготд = (20520*1 + 13680*2,25)/100 =
833
2.4 Определение количества ремонтных
рабочих на объекте проектирования
К производственным рабочим относятся
рабочие зон и участков, непосредственно выполняющие работы по ТО и ТР
подвижного состава.
Различают технологически необходимое
(явочное) и штатное (списочное) число рабочих.
Технологически необходимое число
рабочих обеспечивает выполнение суточной, а штатное - годовой объем
производственных программ (объемов по ТО и ТР).
Ря (ТОто и тр) = Тто и ТР / Фрм,
где: Ря - явочное количество
рабочих.
Значение Тто и тр =16416 (чел*ч)
взято непосредственно после расчетов из Таблицы 9;
Фрм = 7*(ДК Г - ДОТ - ДВ - ДП), где:
Фрм - годовой фонд времени
технологически необходимого рабочего для пятидневной рабочей недели;
Фрм = 7*250=1750(часов).
Румр = Тео/ Фрм; Рто-1 = Т1/ Фрм; Рто-2 =
Т2+Тсо/ Фрм
Ртрпост = Ттрпост/ Фрм
Румр, Рто-1, Рто-2 , Ртр, Рсо - количество
рабочих, необходимых для выполнения работ по ТО-1, ТО-2, Ттр, Тсо и по
уборочно-моечным работам.
Румр =3146,4/1750=1,80 (2 рабочих);
Рто-1 =1175,52/1750=0,67 (1 рабочий);
Рто-2 =13680/1750=7,8 (8 рабочих);
Ртр =16416/1750=9,38 (10 рабочих)
Следовательно, количество ремонтных рабочих на
проектируемом АТП - 21 человек.
2.5 Распределение годовой
трудоемкости по видам работ, зонам и участкам
Распределение работ ведется на основе
нормативов, выраженных в процентах, по видам подвижного состава. Данные расчета
представляем в табличной форме. Для постовых работ ЕО, ОР, Д доля составляет
100% от расчетной трудоемкости.
Таблица 11 - Распределение трудоемкости работ по
зонам и участкам
|
Виды
работ
|
Вид
ПС грузовые
|
Трудоемкость,
чел·ч
|
|
Постовые
Умр ЕО
|
100
|
3146,4
|
|
в
т. ч. уборочные
|
23
|
723,67
|
|
моечные
|
65
|
2045,16
|
|
обтирочные
|
12
|
377,57
|
|
Постовые
ОР-1
|
100
|
958,37
|
|
Постовые
ОР-2 и СО
|
100
|
12209,4
|
|
Постовые
Д-1
|
100
|
220,15
|
|
Постовые
Д-2
|
100
|
1470,6
|
|
работы
УН всего
|
100
|
20520
|
|
в
т. ч. постовые УН
|
|
|
|
работы
Др
|
2
|
410,4
|
|
на
постах зоны УН
|
35
|
7182
|
|
сварочные
|
4
|
820,8
|
|
жестяницкие
|
2
|
410,4
|
|
малярные
|
6
|
1231,2
|
|
деревообрабатывающие
|
0
|
0,0
|
|
в
т. ч. постовые УН
|
49
|
10054,8
|
|
участковые
УН
|
|
|
|
в
т. ч. агрегатные
|
18
|
3693,6
|
|
слесарно-механические
|
10
|
2052
|
|
электротехнические
|
5
|
1026
|
|
аккумуляторные
|
2
|
410,4
|
|
приборов
системы питания
|
4
|
820,8
|
|
шиномонтажные
|
1
|
205,2
|
|
шиноремонтные
|
1
|
205,2
|
|
кузнечно-рессорные
|
3
|
615,6
|
|
медницкие
|
2
|
410,4
|
|
сварочные
|
2
|
410,4
|
|
жестяницкие
|
1
|
205,2
|
|
арматурные
|
1
|
205,2
|
|
обойные
|
1
|
205,2
|
|
участковые
УН
|
51
|
10465,2
|
2.6 Расчет количества рабочих
агрегатного участка
Количество явочных производственных рабочих
агрегатного участка, чел:
где Кп=1,1 - коэффициент повышения
производительности труда.
Количество штатных производственных рабочих
агрегатного участка, чел:
Количество явочных вспомогательных
рабочих, чел:
2.7 Расчет числа постов и линий в
зонах
Такт поста, мин:
где ti- скорректированная
трудоемкость одного обслуживания, чел·ч;
Рп - рекомендованное число рабочих
на посту (зависит от вида работ и вида ПС), чел;у =3 - время заезда-съезда
автомобиля на тупиковый пост, мин.
Ритм производства, мин:
где ТСМ = 8 - продолжительность
смены, ч;среднесменное количество обслуживаний i-го вида, шту = 3 - время
заезда-съезда автомобиля на тупиковый пост, мин
Количество тупиковых универсальных
постов по видам работ, шт:
Для мелких и средних АТП базовой
формой организации является выполнение работ на тупиковых универсальных или
специализированных постах. Однако для таких работ как УМР ЕО, Д-1, ОР-1, в
редких случаях ОР-2 при достаточном среднесуточном числе обслуживаний возможна
организация поточных линий. Следует помнить, что выигрыш от их введения может
быть достигнут при соблюдении ритмичности подачи ПС и высокой технологической
дисциплины.
Такт линии, мин:
где ti- скорректированная
трудоемность одного обслуживания, чел·ч
РЛ = 5 - число рабочих на линии,
чел;
Количество поточных линий по видам
работ, шт:
Так как объем постовых работ УН
невозможно спрогнозировать точно на конкретных период, при расчете числа постов
УН учитывается неравномерность работ, а при двух и более сменах еще и
потребность в площадях для наиболее загруженной смены.
Число постов УН, шт:

где ТСМ =8 - продолжительность смены, ч;=1,1 -
коэффициент неравномерности подачи ПС на посты, шт;
Кв =0,9 - коэффициент потерь времени на постах;
А =1 - коэффициент загрузки наиболее загруженной
смены (1 смена).
Рп =2 - рекомендованное число рабочих на посту
(зависит от вида работ и вида ПС), чел;
Таблица 12 - Расчет количества постов и линий
|
Вид
воздействий
|
Среднесуточное
число Ncci
|
Рабочих
на посту Рп
|
Ритм
производства R, мин
|
Такт
поста tп, мин
|
Число
постов Хп
|
Необходимость
организации линии
|
Такт
линии tл
|
Число
линий Хл
|
|
ЕО
|
56,4
|
2
|
8,5
|
12,80
|
1,5
|
-
|
|
|
|
ОР-1
|
1,8
|
1
|
264,0
|
74,00
|
0,3
|
-
|
|
|
|
ОР-2
|
0,6
|
1
|
831,8
|
362,00
|
0,4
|
-
|
|
|
|
Д-1
|
2,6
|
1
|
186,3
|
14,00
|
0,1
|
-
|
|
|
|
Д-2
|
0,7
|
1
|
693,9
|
110,00
|
0,2
|
-
|
|
|
|
УН
|
|
2
|
|
|
0,8
|
-
|
|
|
Работы УМР ЕО рационально организовать 1 посту
на открытой площадке.
Работы ОР-1 и ОР-2 ввиду выполнения ОР-1 в
межсменное время выполнять на совмещенном универсальном тупиковом посту.
Работы Д-1 и Д-2 выполнять на совмещенном
универсальном тупиковом посту.
Работы УН выполнять на 1 универсальном посту УН.
3. Организационная часть
.1 Назначение и состав работ
проектируемого подразделения
Агрегатный участок предназначен для операций
мойки агрегатов и узлов, разборки, дефектации деталей с последующей отправкой
на утилизацию, ремонт или сборку, комплектации узлов, их сборки, регулировки и
обкатки. Участок совмещен с моторным.
Техпроцесс организован следующим образом. На
электропогрузчике, тельфере либо ручной тележке агрегаты в сборе поступает на
участок, где отправляются на мойку. После установки на стенд для
сборки-разборки их разбирают, узлы разбирают на верстаках. Производят
измерения, дефектуют детали.
Детали не подлежащие ремонту утилизируют,
ремонтопригодные отправляют на слесарно-механический, сварочный и другие
участки, годные на комплектацию. Отремонтированные детали, годные, поступившие
со склада комплектуют и собирают агрегаты по техусловиям на сборку.
Для сборки и разборки агрегатов применяются
средства механизации, такие как ручной инструмент (гайковерты, дрели),
пневматические и гидравлические прессы, съемники и оправки. Это оборудование
повышает производительность и устраняет повреждения деталей при
разборке-сборке.
Для соблюдения техусловий имеется измерительный
и контрольный инструмент. Это динамометрические ключи для контроля момента
затяжки, штангенциркули, микрометры, индикаторы и щупы для контроля линейных
размеров, центра для проверки биения и дисбаланса.
Агрегатный участок характеризуется рядом вредных
и опасных факторов, таких как механические травмы при использовании
инструмента, падение тяжелых деталей, электротравмы. Важным условие является
достаточная освещенность участка в целом и отдельных мест.
Работы выполняются согласно требований систем и
стандартов безопасности труда ГОСТ 12.3.017-79 “Ремонт и техническое
обслуживание автомобилей. Общие требования безопасности" и инструкции по
технике безопасности 37.101.7072-85 - для слесарей.
автотранспортный предприятие
технический обслуживание
3.2 Расчет площадей зон, участков,
складских помещений
.2.1 Расчет площадей зон и участков
Существуют различные методики определения
площадей производственных помещений. Для укрупненных расчетов применяют
методику по количеству работающих на основе удельных норм площади. При наличии
постов использую площади постов либо линий с учетом плотности расстановки
автомобилей и технологического оборудования.
Площадь производственных участков без
организации машиномест, м2;
где f1 - норма площади на первого
работающего, включающая технологически необходимый набор оборудования, м2/чел;-
норма площади на последующих работающих, м2/чел.
Площадь зон и производственных
участков с организацией машиномест, м2;
где ХП - число машиномест (постов)
на участке, м2/чел;авт - площадь, занимаемая автомобилем, м2;
КП = 5 - коэффициент плотности
расстановки.
Площадь зон, на которых организованы
поточные линии, м2;
где Хп-число машиномест (постов) на
участке, м2/чел;авт =16,8 - площадь, занимаемая автомобилем ЗИЛ - 130, м2;
Кп = 5 - коэффициент плотности
расстановки.
Производственный корпус существует,
предусматриваем работы по его реконструкции исходя из перерасчета по важнейшим
подразделениям: постам ОР и УН (ТР), агрегатного участка.
3.2.2 Выбор и обоснование
оборудования агрегатного участка
Технологическое оборудование и
организационная оснастка, назначенные согласно технологии выполняемых в
агрегатном участке заносятся в ведомость технологического оборудования и
оргтехоснастки (Таблица 13).
Таблица 13 - Табель технологического
оборудования
|
Поз
|
Наименование
|
Тип,
модель
|
Кол
|
Габариты,
мм
|
Площадь,
м2
|
|
1
|
Пресс
гидравлический
|
2135-IМ
|
1
|
1470
|
640
|
0,9
|
|
2
|
Станок
точильно-шлифовальный.
|
ЗБ634
|
1
|
настол
|
|
|
|
3
|
Электротельфер
1 т.
|
Черт.
П-401
|
1
|
навесн
|
|
|
|
4
|
Тележка
для перевозки агрегатов.
|
Б-124.
|
1
|
1500
|
1200
|
1,8
|
|
5
|
Стенд
для сборки, разборки ДВС
|
Черт.
П-502
|
1
|
1580
|
1210
|
1,9
|
|
6
|
Черт.
Ф503
|
1
|
1000
|
520
|
0,5
|
|
7
|
Верстак
слесарный.
|
Черт.
Ф527
|
1
|
1570
|
780
|
1,2
|
|
8
|
Стеллаж
полочный со шкафом.
|
Черт.
Ф117СБ
|
1
|
1500
|
560
|
0,8
|
|
9
|
Стол
для дефектовки деталей (ГОСНИТИ.)
|
Черт.
ОРГ-146В-01.
|
1
|
2400
|
800
|
1,9
|
|
10
|
Ларь
для отходов.
|
Ф932СБ
|
1
|
407
|
320
|
0,1
|
|
Всего
площадь оборудования
|
|
|
|
|
9,3
|
4. Безопасность жизнедеятельности и
охрана труда
.1 Общие требования охраны труда и
безопасности жизнедеятельности
Условия труда - это совокупность факторов
производственной среды, оказывающих влияние на здоровье и работоспособность
человека в процессе труда.
Помещение зон ТО и ТР, участков должно
обеспечивать безопасное выполнение всех технологических операций.
Воздух рабочей зоны, шум, вибрация, освещение и
т.д. на рабочих местах в зонах и на участке должны отвечать требованиям
действующих нормативных актов.
Высота помещений постов ТО должна быть такой,
чтобы расстояние от верха автомобиля, находящегося на подъемнике до низа
конструкций перекрытия была не менее 0,2 м.
Пол на участке должен быть с ровным твердым
покрытием, непроникаемым для грунтовых вод, без выступов и выбоин.
Ворота должны быть оборудованы устройствами,
исключающими их самопроизвольное закрытие и открытие.
Ширина въездных ворот на территорию зон должна
приниматься по наибольшей ширине обслуживаемых автомобилей плюс 1,5 м.
4.2 Опасные и вредные
производственные факторы
При работе по ремонту автомобилей могут иметь
место следующие опасные и вредные производственные факторы:
наезды автомобилей: вследствие самопроизвольного
движения, при запуске двигателя, въезде (выезде) в зоны;
падение вывешенных частей транспортных средств
при обслуживании трансмиссии, подвески, колес, мостов;
падение узлов, деталей, агрегатов, инструмента;
повышенная загазованность и запыленность воздуха
рабочей зоны;
наличие в воздухе рабочей зоны вредных веществ:
акролеина, углерода оксида,
поражение электрическим током;
повышенный уровень статического электричества;
недостаточная освещенность рабочей зоны; острые
кромки на поверхности инструмента и оборудования;
пониженная температура воздуха в холодный период
года.
4.3 Санитарно-гигиенические
требования
На участке в соответствии с
санитарно-гигиеническими требованиями предусматривается выдерживание
определенного температурного, вентиляционного режимов и уровня освещения.
Система отопления должна обеспечивать
равномерный нагрев воздуха в помещениях, возможность местного регулирования и
отключения, удобство эксплуатации, а также доступ при ремонте. Температура
приточного воздуха, подаваемого в рабочую зону в холодный период года должна
быть не ниже +16 C и не выше +25 С. Вентиляция служит для обеспечения
нормальных условий воздушной среды, установленных СНиПом и осуществляется при
помощи общеобъемной приточно-вытяжной системы вентиляции с механическим
вентилятором и местными вентиляционными отсосами. Освещение на участке
комбинированное: естественное осуществляется через окна; для искусственного
освещения используются лампы дневного света марок ЛД, ЛХБ световым потоком
44-70 лм/Вт.
Значения микроклимата на рабочих местах и предельно
допустимые концентрации (ПДК) вредных веществ в воздухе рабочей зоны
проектируемого подразделения приведены в таблице 14.
Таблица 14 - Значения микроклимата и ПДК
|
Наименование
|
Единица
измерения
|
Значение
|
|
|
Оптимальные
|
Допустимые
|
|
Температура
воздуха; холодный период теплый период; Относительная влажность: холодный
период теплый период Подвижность воздуха: холодный период теплый период
Освещенность: комбинированное общее Уровень шума(звукового давления) Уровень
вибрации ПДК вредных веществ в воздухе рабочей зоны: - акролеин - оксид азота
- бензин - свинец и его неорганические соединения - оксид углерода
|
С°
% М/С ЛК ДБ ДБМГ/М3
|
17-19
20-22 40-60 40-60 0,2 0,3 200 200
|
21-15
27-16 75 55 0,4 0,2-0,5 80 100 0,2 5,0 100,0 0,01/0,05 20,0
|
4.4 Требования охраны труда при
выполнении работ
Рабочие, производящие техническое обслуживание
автомобилей, обеспечиваться исправным инструментом и приспособлениями,
отвечающими требованиям безопасности.
Перед началом работы следует проверить весь
инструмент, неисправный инструмент необходимо заменить.
Гаечные ключи должны отвечать размерам гаек и
болтов и не иметь трещин и забоин, плоскости зева ключей должны быть
параллельными и не должны быть закатанными.
Лезвия отверток по толщине должны отвечать
ширине шлица в головке винта.
Рабочие, производящие ТОД автомобилей, должны
обеспечиваться исправным инструментом и приспособлениями, отвечающими
требованиям безопасности, а также средствами индивидуальной защиты.
Перед началом работы следует проверить весь
инструмент, неисправный инструмент необходимо заменить.
Приспособления и инструменты, необходимые для
выполнения работ, должны использоваться по назначению, их следует размещать в
легко доступных местах таким образом, чтобы исключалась возможность его
случайного перемещения или падения.
Отходы производства, отработанные материалы и
т.п. должны после каждой смены убираться с рабочего места. Пролитые
легковоспламеняющиеся и горючие материалы должны быть немедленно удалены.
При выполнении работ вдвоем необходимо применять
заранее согласованные приёмы.
4.5 Пожарная безопасность
Для обеспечения пожарной безопасности в
соответствии с требованиями СНиП в зонах ТО и ТР на каждые 100 м2
производственной площади необходимо устанавливать пожарный щит и добавочно:
ящик с песком;
огнетушитель ОХП-10;
огнетушитель ОУ-5.
В помещении участка запрещается хранить
смазочные материалы, а также порожнюю тару из под них.
Использованную ветошь складывать в специально
отведенные для этого места за пределами производственного помещения в
металлические ящики и закрывать их крышками.
Отработанные масла хранить в специальных
цистернах за пределами производственного помещения.
При техническом обслуживании автомобилей следует
соблюдать следующие правила пожарной безопасности.
Автомобили, направляемые на ТО и ТР, не должны
иметь течи топлива, а горловины топливных баков должны быть закрыты крышками.
Число автомобилей в помещении зон не должно превышать установленной нормы.
Заключение
В ходе выполнения данного курсового
проектирования спроектировал агрегатный участок грузового АТП на обслуживание
120 автомобилейЗИЛ-130.
В ведение было определено место, занимаемое
автомобильным транспортом в перевозках людей и грузов, стимулы развития
транспорта. Так же поставлена цель и задача курсовой работы.
В расчетно-технологическом разделе были
проведены расчеты и получены основные показатели: годовой пробег автомобилей;
пробег до КР; коэффициент готовности; годовая и сменная программа по ТО; общая
годовая трудоемкость работ ТО; годовая трудоемкость работ по объекту проектирования;
количество ремонтных рабочих на объекте проектирования.
В организационном разделе были приняты основные
решения о:
методе организации производства на постах ТО;
методе организации технологического процесса на
объекте проектирования;
составлена схема технологического процесса
объекта проектирования;
выбраны режимы работ производственных
подразделений;
подобрано технологическое оборудование и при
помощи расчетов было определено количество постов в зоне, распределены
исполнители по специальностям, рассчитана производственная площадь зоны поста
определены основные требования по технике
безопасности, пожаро- и электробезопасности.
При рациональной и обдуманной программе
проведения технического обслуживания, техническое состояние автомобилей будет
находиться на должном уровне, они не будут часто выходить из строя,
соответственно не будут простаивать в ремонтах, что сократит издержки и
увеличит доходы, а следовательно даст возможность развитию АТП.
Список использованных источников
1. Афанасьев
Л.Л., Колясинский Б.С., Маслов А.А. Гаражи и станции технического обслуживания
автомобилей. М.: Транспорт, 1980.
2. База
нормативной документации: www.complexdoc.ru
. Болбас
М.М., Капустин Н.М., Петухов Е.И. Проектирование автотранспортных предприятий и
станций технического обслуживания. Мн.: Университетское, 1997.
. Коган
Е.И., Хайкин А. Охрана труда на предприятиях автомобильного транспорта. - М.:
Транспорт 1984.
. Крамаренко
Г.В., Барашков И.В. Техническое обслуживание автомобилей. М.: Транспорт, 1982.
. Методические
указания по выполнению по выполнению курсового проекта. Нормативные документы
по ремонту автомобилей.
. Напольский
Г.М. Технологическое проектирование автотранспортных предприятий и станций
технического обслуживания. М.: Транспорт, 1993.
. Положение
о техническом обслуживании и ремонте легковых автомобилей, принадлежащих
гражданам. М.: НАМИ, 1987.
. Положение
о техническом обслуживании и ремонте подвижного состава автомобильного
транспорта. Мн.: НПО Транстехника, 1998.
. Румянцев
С.И. Ремонт автомобилей. М: Транспорт 1988.
. Светлов
М.В. Технологическое обслуживание и ремонт автомобильного транспорт. Дипломное
проектирование: учебно-методическое пособие. - М.: КНОРУС, 2011. - 320с.
. Суханов
Б.Н., Борзых И.О., Бедарев Ю.Ф.: Техническое обслуживание и ремонт автомобилей.
Пособие по дипломному проектированию. М.: Транспорт, 1991.
. Техническая
эксплуатация автомобилей. Под ред. Е.С. Кузнецова. М.: Транспорт, 1991.
. Фастовцев
Г.Ф. Автотехобслуживание. М.: Машиностроение, 1985.
. Фастовцев
Г.Ф. Организация технического обслуживания и ремонта легковых автомобилей. М.:
Транспорт, 1989.
. Шумик
С.В., Болбас М.М., Петухов Е.И. Техническая эксплуатация автотранспортных
средств. Пособие по дипломному проектированию. Мн.: Высшая школа, 1988.
. Шумик
С.В., Савич Е.Л. Техническая эксплуатация автомобилей. Мн.: Высшая школа, 1996.