|
Интервалы
|
Частоты
|
Накопленные
частоты
|
Середины
интервалов
|
|
58,0 - 63,33
|
1
|
1
|
60,67
|
|
63,33 - 68,67
|
0
|
1
|
66,00
|
|
68,67 - 74,0
|
8
|
9
|
71,33
|
|
74,0 - 79,33
|
10
|
19
|
76,67
|
|
79,33 - 84,67
|
16
|
35
|
82,00
|
|
84,67 - 90,0
|
19
|
54
|
87,33
|
Рис. 2. Гистограмма распределения сельскохозяйственных
предприятий по качеству почв
2.
Статистические характеристики рядов распределения
2.1 Показатели центра распределения
· средняя арифметическая;
· мода;
· медиана.
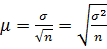
Средняя арифметическая вычисляется по формулам:
простая

; (4)
взвешенная

, (5)
где 
среднее значение признака; 
- варианты; 
- частоты;
Мода
вычисляется по формуле:

, (6)
где 
- нижняя граница интервала, содержащего моду;

- величина модального интервала;

- частота модального интервала;

- частота интервала, предшествующего модальному;

- частота послемодального интервала.
Медиана
рассчитывается по формуле:

, (7)
где 
- нижняя граница медианного интервала;

- величина медианного интервала;

- сумма накопленных частот, предшествующих медианному интервалу;

- частота медианного интервала.
2.2 Показатели колеблемости признака
· размах вариации;
· среднее линейное отклонение;
· дисперсия;
· среднее квадратическое отклонение;
· коэффициент вариации.
Дисперсия определяется по формуле:

, (8)
Среднеквадратическое отклонение вычисляется по формуле:

, (9)
Коэффициент вариации вычисляется по формуле:

, (10)

- коэффициент вариации для качества почв

- коэффициент вариации для урожайности зерновых
2.3 Показатели формы распределения
· коэффициент асимметрии определяется по формуле:

; (11) или 
, (12)
где 
- центральный момент третьего порядка.
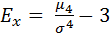
· коэффициент эксцесса определяется по формуле:

, (13)
где 
- центральный момент четвертого порядка.
Таблица 4. Показатели центра, вариации и формы распределения
|
Качество почв,
балл (х)
|
Урожайность
зерновых, ц/га (у)
|
|
Название
показателя
|
Размер
|
Название
показателя
|
Размер
|
|
Среднее
|
80,91
|
Среднее
|
29,13
|
|
Стандартная
ошибка
|
1,15
|
Стандартная
ошибка
|
1,12
|
|
Медиана
|
82
|
Медиана
|
30
|
|
Мода
|
85,4
|
Мода
|
30
|
|
Среднее
квадратическое отклонение
|
6,28
|
Среднее
квадратическое отклонение
|
6,15
|
|
Дисперсия
выборки
|
39,39
|
Дисперсия
выборки
|
37,85
|
|
Эксцесс
|
0,24
|
Эксцесс
|
- 1,48
|
|
Асимметричность
|
- 0,83 (- 0,71)
|
Асимметричность
|
- 0,14
|
|
Интервал
|
32
|
Интервал
|
17
|
|
Минимум
|
58
|
Минимум
|
20
|
|
Максимум
|
90
|
Максимум
|
37
|
|
Сумма
|
2254
|
Сумма
|
874
|
|
Счет
|
30
|
Счет
|
30
|
|
Уровень
надежности (95,0%)
|
3,43
|
Уровень
надежности (95,0%)
|
2,34
|
|
Коэффициент
вариации
|
7,76%
|
Коэффициент
вариации
|
21,11%
|
На основе данных таблицы формулируем выводы.
В данной совокупности сельскохозяйственных предприятий
средняя урожайность зерновых составляет 29,13 ц/га, средний показатель качества
почв составляет 80,91 баллов.
Медиана 
показывает, что половина сельскохозяйственных предприятий
совокупности имеет качество почв меньше 82 баллов, а половина - больше 82 баллов;
Медиана 
= 30 показывает, что половина сельскохозяйственных предприятий
имеет урожайность зерновых меньше 30 ц/га, а половина - больше 30 ц/га.
Мода 
= 85,4 показывает, что наиболее часто в данной совокупности
встречается качество почв 85,4 баллов; Мода 
= 30 показывает, что наиболее часто в данной совокупности
встречается урожайность зерновых 30 ц/га.
Коэффициент вариации свидетельствует о слабой вариации обоих
признаков, так как оба коэффициента меньше 33%.
Коэффициенты эксцесса показывают, что распределение хозяйств по
качеству почв является островершинным, так как 
= 0,24
0, а распределение по урожайности зерновых является
плосковершинным, так как 
.
По коэффициентам асимметрии можно сделать вывод, что распределение
хозяйств по урожайности зерновых и по качеству почв имеет левую
асимметричность, так как 
.
2.4 Статистические оценки параметров
распределения
Изучаемую совокупность можно считать выборкой из генеральной
совокупности, состоящей из большого множества сельскохозяйственных предприятий.
На основе показателей, рассчитанных по выборке, дают статистическую оценку
параметров генеральной совокупности.
Возможное расхождение между выборочными и генеральными
характеристиками составляет ошибку выборки.
Стандартная ошибка выборки определяется по
формуле:

, (14)
Для определения интервальной оценки необходимо найти доверительный
интервал:

, (15)

, (16)

,
где 
- предельная ошибка выборочной средней; 
- коэффициент доверия, который определяют по таблице
распределения Стьюдента по заданным n и 
при малой выборке n
30.
Коэффициент доверия по таблице Стьюдента равен 2,0452.
Для урожайности зерновых предельная ошибка 
Строим доверительный интервал:
Для качества почв предельная ошибка 
Строим доверительный интервал:
.
С вероятностью 0,95 можно утверждать, что генеральная средняя
урожайности зерновых не выйдет за пределы от 26,79 до 31,47 ц/га.
С вероятностью 0,95 можно утверждать, что генеральная средняя
качества почв находится в интервале от 78,52 до 83,3 баллов и не выйдет за его
пределы.
2.5 Проверка гипотезы о законе нормального
распределения по критерию Пирсона
Для объективной оценки степени соответствия эмпирического
распределения теоретическому используется ряд особых показателей, называемых
критериями согласия. На их базе проверяется гипотеза о законе нормального
распределения. Это критерии Пирсона, Колмогорова, Романовского и др.
Критерий Пирсона (хи-квадрат)
определяется по формуле:

, (17)
где 
(хи-квадрат) - критерий Пирсона; 
- эмпирические частоты;

- теоретические частоты.

, (18)
где 
- теоретические частоты; 
- фактические частоты; h - шаг;

- нормированные отклонения; 
- значения функции плотности стандартизированного нормального
распределения.
Вычисления выполняются в следующей последовательности:
1) Определяются нормированные отклонения;
) При рассчитанных значениях нормированных отклонений
по таблице плотности нормального распределения отыскиваются значения функции
плотности стандартизированного нормального распределения;
3) Вычисляется выражение 
;
) Определяются теоретические частоты;
) Рассчитывается критерий Пирсона.
Таблица 5. Расчет теоретических частот
|
Группа
предприятий по качеству почв
|
Фактические
частоты
|
Середины
интервалов
|
t
|
φ(t)
|
(hƩfi)/σ
|
|
58,0 - 63.33
|
1
|
60.67
|
-3,22
|
0,0022
|
45,83
|
|
63.33 - 68.67
|
0
|
66.0
|
-2,37
|
0,0241
|
45,83
|
|
68.67 - 74,0
|
8
|
71.34
|
-1,52
|
0,1257
|
45,83
|
|
74,0 - 79.33
|
10
|
76.67
|
-0,68
|
0,3166
|
45,83
|
|
79.33 - 84.67
|
16
|
82.0
|
0,17
|
0,3932
|
45,83
|
|
84.67 - 90,0
|
19
|
87.34
|
1,02
|
0,2371
|
45,83
|
|
54
|
|
|
|
|
Критерий согласия Пирсона рассчитываем в следующей таблице.
Таблица 6. Расчет критерия согласия Пирсона
|
Варианты
|
Частоты
|
|
|
|
|
эмпирические
|
теоретические
|
|
|
|
|
58.0 - 63.33
|
1
|
0,100826
|
0,899174
|
0,808514
|
8,018903
|
|
63.33 - 68.67
|
0
|
1,104503
|
-1,1045
|
1,219927
|
1,104503
|
|
68.67 - 74.0
|
8
|
5,760831
|
2,239169
|
5,013878
|
0,870339
|
|
74.0 - 79.33
|
10
|
14,50978
|
-4,50978
|
20,3381
|
1,401682
|
|
79.33 - 84.67
|
16
|
18,02036
|
-2,02036
|
4,081838
|
0,226513
|
|
84.67 - 90.0
|
19
|
10,86629
|
8,133707
|
66,15719
|
6,088294
|

17,71023 (фактическое значение критерия Пирсона)

(критическое значение критерия Пирсона по таблице)
Так как фактическое значение критерия Пирсона больше критического
значения, можно утверждать, что исследуемое эмпирическое распределение имеет
отличный от теоретического закон распределения, т.е. нулевая гипотеза о том,
что распределение подчиняется закону нормального распределения, не принимается.
Генеральная совокупность не распределена по нормальному закону.
3.
Корреляционно-регрессионный анализ
В процессе корреляционно-регрессионного анализа решаются
следующие задачи:
) Определение формы и направления связи, ее количественное
выражение в виде уравнения регрессии.
) Определение характеристики тесноты связи.
) Определение значимости выборочных характеристик
тесноты корреляционной связи.
Таблица 7. Результаты вычисления параметров и показателей для
КРА
|
ВЫВОД ИТОГОВ
|
|
|
|
|
|
|
Регрессионная
статистика
|
|
|
|
|
|
|
Множественный R
|
0,754929
|
|
|
|
|
|
|
R-квадрат
|
0,569918
|
|
|
|
|
|
|
Нормированный R-квадрат
|
0,554558
|
|
|
|
|
|
|
Стандартная
ошибка
|
0,079849
|
|
|
|
|
|
|
Наблюдения
|
30
|
|
|
|
|
|
|
Дисперсионный
анализ
|
|
|
|
|
|
df
|
SS
|
MS
|
F
|
Значимость F
|
|
|
Регрессия
|
1
|
647,1226
|
647,1226
|
37,10382
|
1,43E-06
|
|
|
Остаток
|
28
|
488,3441
|
17,44086
|
|
|
|
|
Итого
|
29
|
1135,467
|
|
|
|
|
|
Коэф.
|
Станд. ошибка
|
t-статистика
|
Р-значение
|
Нижние 95%
|
Верхние 95%
|
|
Y-пересечение
|
-9,53209
|
6,393286
|
-1,49095
|
0,147155
|
-22,6281
|
3,563966
|
|
Переменная X1
|
0,514624
|
0,084485
|
6,091291
|
1,43E-06
|
0,341564
|
0,687684
|
На основе данных таблицы построим уравнение регрессии:
ух = - 9,532 + 0,515х
Выводы
Коэффициент регрессии а1 = 0,515 означает, что с
повышением качества почв на 1 балл урожайность зерновых повышается на 0,515
ц/га.
Коэффициент корреляции r = 0,75
0,7, следовательно, связь между изучаемыми признаками в данной
совокупности тесная.
Коэффициент детерминации r2 = 0,57 показывает, что 57% вариации
результативного признака (урожайности зерновых) вызвано действием факторного
признака (качества почв).
В таблице критических точек распределения Фишера-Снедекора находим
критическое значение F - критерия при
уровне значимости 0,05 и числе степеней свободы К1 = m - 1=2 - 1=1 и К2 = n - m=30 - 2=28, оно равно 4,21.
Так как рассчитанное значение F - критерия больше F табличного (F=37,1
, то уравнение регрессии признается значимым.
Для оценки значимости коэффициента корреляции рассчитываем t - критерий Стьюдента:
В таблице критических точек распределения Стьюдента найдем
критическое значение t-критерия при
уровне значимости 0,05 и числе степеней свободы n - 1=30 - 1=29, оно равно 2,0452.
Так как рассчитанное значение t-критерия больше табличного, то коэффициент корреляции является
значимым.