Показатели вариационных рядов. Статистика населения

  • Вид работы:
    Курсовая работа (т)
  • Предмет:
    Эктеория
  • Язык:
    Русский
    ,
    Формат файла:
    MS Word
    271,72 Кб
  • Опубликовано:
    2015-05-17
Вы можете узнать стоимость помощи в написании студенческой работы.
Помощь в написании работы, которую точно примут!

Показатели вариационных рядов. Статистика населения

«МОСКОВСКИЙ ГОСУДАРСТВЕННЫЙ УНИВЕРСИТЕТ ПУТЕЙ СООБЩЕНИЯ»

РОССИЙСКАЯ ОТКРЫТАЯ АКАДЕМИЯ ТРАНСПОРТА

Кафедра: «Учет, Анализ и Аудит»

Факультет: «Экономический»







КУРСОВАЯ РАБОТА

ПО ДИСЦИПЛИНЕ: «Статистика»



Выполнила:

Проверила: доцент

Кручинина Наталья Викторовна





Москва 2015 г

Содержание

Задание 1. Показатели вариационных рядов

Задание 2. Ряды динамики

Задание 3. Статистика населения

Задание 4. Система национальных счетов

Список использованной литературы

Задание 1. Показатели вариационных рядов

На примере своей задачи охарактеризовать ряд распределения с помощью следующих показателей:

Средняя величина анализируемого признака;

Размах вариации;

Среднее линейное отклонение;

Дисперсия;

Коэффициент вариации;

Мода, медиана, первый и третий квартиль

Коэффициент асимметрии

Дать графическое изображение и выводы по результатам расчётов.

Вариант 7:

Определить средний процент выполнения плана погрузки станциями дороги по представленным в таблице данным и остальные показатели задания.

Таблица 1.1

Процент выполнения плана, %

95

97

99

101

103

105

107

Плановое задание, %

400

450

500

600

550

500

450


Решение

Составим таблицу для расчета показателей:

Таблица 1.2.

Процент выполнения плана,

Плановое задание,

Накопленные частоты

||

||

95

400

400

-5,9

5,9

2360

34,81

13924

97

450

850

-3,9

3,9

1755

15,21

6844,5

99

500

1350

-1,9

1,9

950

3,61

1805

101

600

1950

0,1

0,1

60

0,01

6

103

550

2500

2,1

2,1

1155

4,41

2425,5

105

500

3000

4,1

4,1

2050

16,81

8405

107

450

3450

6,1

6,1

2745

37,21

16744,5


Для оценки распределения найдем следующие показатели.

Средняя геометрическая.

Средняя геометрическая используется для анализа динамики явлений и позволяет определить средний коэффициент роста. При расчете средней геометрической индивидуальные значения признака представляют собой относительные показатели динамики, построенные в виде цепных величин, как отношения каждого уровня к предыдущему.
Средняя геометрическая простая рассчитывается по формуле:


Мода.

Мода - значение во множестве наблюдений, которое встречается наиболее часто.


Наибольшее число, встречающееся в значение ряда - 600.

Медиана.

Медиана - это варианта, расположенная в середине вариационного ряда. Если ряд распределения дискретный и имеет нечетное число членов, то медианой будет варианта, находящаяся в середине упорядоченного ряда (упорядоченный ряд - это расположение единиц совокупности в возрастающем или убывающем порядке).

Медиану используют вместо средней арифметической, когда крайние варианты ранжированного ряда (наименьшая и наибольшая) по сравнению с остальными оказываются чрезмерно большими или чрезмерно малыми.

Вычислим порядковый номер нужной нам медианы:


Вычислим медиану:

 = 101

Размах вариации

Размах вариации - это разность между максимальным и минимальным значениями признака



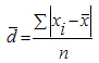
Среднее линейное отклонение

Среднее линейное отклонение  - это средняя арифметическая из абсолютных отклонений отдельных значений признака от средней.


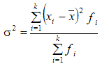
Дисперсия

Дисперсия - представляет собой средний квадрат отклонений индивидуальных значений признака от их средней величины.


Среднее квадратическое отклонение

Наиболее совершенной характеристикой вариации является среднее квадратическое отклонение, которое называют стандартом (или стандартным отклонение). Среднее квадратическое отклонение () равно квадратному корню из среднего квадрата отклонений отдельных значений признака от средней арифметической:


Коэффициент вариации

Коэффициент вариации - мера относительного разброса случайной величины; показывает, какую долю среднего значения этой величины составляет ее средний разброс.


Так как коэффициент вариации <33%, то я могу сделать вывод, что совокупность однородна.

Первый и третий квартиль

Квартили (Q) - значения вариантов, которые делят упорядоченный ряд по объему на 4 равные части. Первый квартиль отсекает от совокупности ¼ часть единиц с минимальными значениями, а третий отсекает ¼ часть единиц с максимальными значениями.

Найдем 1 квартиль:


Этому номеру соответствует значение ряда 97. Следовательно, квартиль

Найдем 3 квартиль:


Этому номеру соответствует значение ряда 103. Следовательно, квартиль

Коэффициент ассиметрии

Коэффициент асимметрии - числовая характеризующая степени несимметричности распределения данной случайной величины.

В симметричных распределениях средняя арифметическая, мода и медиана совпадают (.) Если это равенство нарушается - распределение ассиметрично.

 

,9101; 100,9101; 101=101,

следовательно, существует небольшая ассиметрия, которая может быть определена по формуле:


Коэффициент ассиметрии отрицателен, значит, существует небольшая левосторонняя ассиметрия.


Задание 2. Ряды динамики

)Основные аналитические показатели рядов динамики:

Средний уровень ряда динамики

Абсолютный прирост

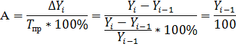
Темп роста

Темп прироста

Абсолютное значение 1% прироста

Средний темп роста и средний темп прироста

Среднегодовой темп роста

Среднегодовой темп прироста

Таблица 2.1.

Основные показатели

Показатели

Годы


2005

2006

2007

2008

2009

2010

Оборот розничной торговли непродовольственными товарами на душу населения, руб.

26719

33438

42062

52399

52805

59270


Средний уровень ряда динамики:

Ряд интервальный:  = 44448.8

Таблица 2.2

Товарооборот магазина, тыс.руб.

Месяц

Товарооборот

Индекс сезонности

Январь

410

58,4

Февраль

478

68,1

Март

508

72,4

Апрель

642

91,5

Май

734

104,6

Июнь

847

120,7

Июль

1580

225,2

Август

1190

169,6

Сентябрь

842

120

Октябрь

588

83,8

Ноябрь

390

55,6

Декабрь

208

29,6


 = 701,4



Таблица 2.3.

Основные аналитические показатели ряда динамики

Показатели

Схема расчета

Годы



2005

2006

2007

2008

2009

2010

Уровень ряда

-

26719

33438

42062

52399

52805

59270

Абсолютный прирост

Базисная Цепная

Х Х

6719 6719

15343 8624

25680 10337

26086 406

32551 6465

Темп роста , %

Базисная Цепная

100% 100%

125.1 125.1

157.4 125.8

196.1 124.6

197.6 100.1

221.8 112.2

Темп прироста , %

Базисная Цепная

Х Х

+25.1 +25.1

+57.4 +25.8

+96.1 +24.6

+97.6 +0.1

+121.8 +12.2

Абсолютное значение 1% прироста

Цепная

Х

267.19

334.38

420.62

523.99

528.05

Среднегодовые темпы роста

-

-

112.55

141.25

176.75

196.8

209.7

Среднегодовые темпы прироста

-

-

12.55

41.25

76.75

96.8

109.7


Абсолютный прирост :

 - по базисной схеме

 - по цепной схеме

Темп роста :

 - по базисной схеме

- по цепной схеме

Темп роста :

 - по базисной схеме

- по цепной схеме

Абсолютное значение 1% прироста :


Данные по вышеуказанным формулам занесены в таблицу 2.3.

Средний темп роста:

 =  = 1.6

Средний темп прироста:  - 100 = 0.016

Задание 3. Статистика населения

По данным таблицы определить:

Естественный, механический и общий прирост населения;

Оборот миграционных процессов;

Коэффициенты: общие коэффициенты рождаемость и смертность, коэффициент фертильности, коэффициент жизненности Покровского, коэффициенты брачности и разводимости, коэффициент естественного, коэффициенты

Таблица 5.1

Показатели

Ед.измерения


Численность населения на конец года

Тыс.чел.

142008,8

Число женщин на 1000 мужчин

Чел.

1160

Доля женщин в возрасте 15-49 лет в общей численности женщин

%

42

Родилось

Тыс. чел.

1610122

Умерло

Тыс. чел.

2080445

Прибыло в страну

Тыс. чел.

286956

Выбыло из страны

Тыс. чел.

47013

Тыс. чел.

1262500

Число разводов

Тыс.

685910


Показатель общего прироста:

∆S = (N - M) + (  - ) = - 230380

Общий коэффициент рождаемости:

 =  · 1000 = 6.26 на 1000 человек,

где S - средняя за данный период численность населения (определяется как средняя арифметическая численности на начало и конец периода)

где  =  = 257198.8

где  = + = 372388.8

Коэффициент фертильности:

 =  1000 =  = 28.1

 = 2160

 ·100% = 53.7 % - доля женщин

Коэффициент смертности:

 =  · 1000 = 8.09 чел. На 1000 населения

Коэффициент естественного прироста:

 =  · 1000 =  =  1.83 чел. На 1000 населения

Коэффициент жизненности В.И.Покровского:

 =  = 0.77

Коэффициент брачности:

 =  ·1000 = 4.9

Коэффициент разводов:

 =  ·1000 = 2.66

Коэффициент механического прироста населения:

 =  · 1000 = 0.93

Коэффициент интенсивности прибытия населения:

 =  · 1000 = 1.11

Коэффициент интенсивности выбытия населения:

 =  · 1000 = 0.18

Коэффициент общего прироста населения:

Коп = Крожд - Ксм + Кпр - Квыб = Кеп + Кмп =

Ожидаемая численность населения через t лет:

 =  = 3.72 (тыс. человек )

, где t число лет, отделяющих расчетный год от базового.

Распределение населения по возрастным группам, чел.

Таблица 5.2

Возраст

Числовые данные

Удельный вес каждой категории %

0 - 14

10285532

13.49

15 - 49

38112463

49.97

Свыше 50

27864350

36.54

Итого:

76262345

100



Вывод: такое соотношение ведет к омоложению населения, что связано с увеличением доли экономически активного населения, рост рождаемости, брачности, снижению смертности по старости и другими положительными изменениями демографических показателей.











Задание 4. Система национальных счетов

По данным таблицы 6.1 построить и заполнить следующие национальные счета:

Счет производства

Счет товаров и услуг

Счет образования доходов

Счет распределения первичных доходов

Счет вторичного распределения доходов

Счет использования располагаемого дохода

Счет операций с капиталом

В заключении построить счет «Товаров и услуг». На основании построенных счетов следует рассчитать валовой внутренний продукт тремя методами, определить величину национального дохода и норму сбережения и провести экономический анализ заполненных счетов по данным своего варианта.

Таблица 6.1

Показатели результатов экономической деятельности России за год (млн.р.)

Показатели

Значения

Выпуск товаров и услуг в основных ценах

57752132,5

Промежуточное потребление

29267661,3

Налоги на продукты

4977558,7

Субсидии на продукты(-)

214516,7

Оплата труда наемных работников

15526114,7

Налоги на производство и импорт

6564455,7

Субсидии на производство и импорт(-)

230138,8

Доходы от собственности, полученные от «остального мира»

1143329,1

Доходы от собственности, переданные «остальному миру»

1740978,8

Текущие трансферты, полученные от «остального мира»

214956,4

Текущие трансферты, переданные «остальному миру»

303347,8

Расходы на конечное потребление - всего, в т.ч.:  -домохозяйств - гос.сектора -неком. организации

2196579,5 19966954,7 7359844,2 216712,5

Импорт товаров и услуг

7162210,8

Эскпорт товаров и услуг

10028762

Статистическое расхождение


Валовое накопление основного капитала

6980359,1

Изменение запасов материальных оборотных активов

1053739,1

Капитальные трансферты, полученные от «остального мира»

22262,3

Капитальные трансферты, переданные «остальному миру»

283939,2


Система национальных счетов (СНС) - это современная информационная база, используемая для описания и анализа процессов рыночной экономики на макроуровне. Все хозяйствующие субъекты в СНС делятся на “резидентов” (юридические и физические лица, участвующих в экономической деятельности на территории страны более 1 года) и “нерезидентов”. Резиденты в свою очередь группируются по 5 секторам в зависимости от целей своего функционирования и источников финансирования деятельности.

сектор - нефинансовые корпорации и квазикорпорации. К сектору относятся крупные хозяйствующие единицы, созданные с целью производства товаров и оказания услуг и продажи их на рынке по ценам, возмещающим затраты и приносящим прибыль. Обычно имеют форму акционерных обществ (корпораций).

сектор - финансовые корпорации и квазикорпорации. Хозяйствующие субъекты, созданные для оказания посреднических услуг между теми, кто сберегает доходы, и инвесторами. Финансируются за счет разницы в величине полученных и выплаченных процентов и выручки от других финансовых услуг.

сектор - государственное управление. Выполняет две функции - перераспределение национального дохода и богатства и оказания нерыночных (бесплатных) услуг. Финансируется за счет налогов.

сектор - некоммерческие организации. Функции - нерыночные услуги членам некоммерческих организаций. Финансирование - за счет членских взносов.

сектор - домохозяйства. Мелкие некорпорированные предприятия и семьи как экономически и юридически независимые единицы. Выполняет три функции - производство рыночных товаров и услуг, предоставление рабочей силы остальным секторам, потребление конечных товаров и услуг.

В СНС различают два вида товаров и услуг:

промежуточные товары и услуги, которые приобретаются для переработки, т.е. для потребления в процессе производства (промежуточное потребление);

конечные товары и услуги, приобретаемые для целей конечного потребления (конечное потребление). Конечное потребление имеют 3, 4 и 5 сектора.

СНС представляет собой развернутую статистическую макроэкономическую модель экономики, т.е. систему таблиц-счетов, похожих на бухгалтерские счета. Счета имеют вид балансовых построений: каждый счет представляет собой баланс в виде двухсторонней таблицы, в которой каждая операция отражается дважды: один раз в ресурсах, другой - в использовании. Итоги операций на каждой стороне счета балансируются или по определению или с помощью балансирующей статьи, которая является ресурсной статьей следующего счета. Балансирующая статья счета, обеспечивающая баланс (равенство) его правой и левой части, рассчитывается как разность между объемами ресурсов и их использованием. Балансирующая статья предыдущего счета, отраженная в разделе «Использование», является исходным показателем раздела «Ресурсы» последующего счета. Этим достигается увязка счетов между собой и образование системы национальных счетов. Рассмотрим наиболее важные счета.

Счет производства является первым в системе счетов. Он отражает производство товаров и услуг.

Счет производства

Использование

Ресурсы

Промежуточное потребление 29267661,3

Валовый выпуск 57752132,5


Налоги на продукты 4977558,7


Субсидии на продукты (-) 214516,7

Валовой внутренний продукт 33247513,2



Валовой выпуск (ВВ) - основной показатель объема производства. Определяется как сумма выручки от реализации товаров и услуг. Так как ВВ оценивается в ценах конечного покупателя (текущих ценах), необходимо к ВВ добавить налоги на продукты (НП) и вычесть субсидии на продукты (СП).

Промежуточное потребление (ПП) - стоимость товаров и услуг, которые израсходованы в производстве валового выпуска (без заработной платы). Балансирующая статья счета в целом по стране представляет собой валовой внутренний продукт, рассчитанный производственным методом (1):

ВВП = ВВ + НП - СП - ПП

По отдельным секторам или отраслям балансирующая статья в этом счёте представляет собой валовую добавленную стоимость (ВДС):

ВДС = ВВ +НП-СП - ПП

Этот метод расчета позволяет получить ответ на вопрос, где, в какой отрасли, в ка- ком секторе экономики какая часть ВВП страны произведена, так как сумма ВДС по всем секторам (отраслям) составляет ВВП страны.

Следующий счет в СНС - счет образования доходов. Он отражает формирование первичных доходов участников производства, т.е. позволяет проанализировать как произведенный ВВП распределяется между факторами производства - наемными работниками (оплата труда), предпринимателями (прибыль) и государством (налоги и социальное страхование).

Счет образования доходов

Использование

Ресурсы

Оплата труда 15526114,7

Валовая добавленная стоимость 33247513,2

Налоги на производство и импорт 6564455,7


Субсидии на производство и импорт (-) 230138,8


Валовая прибыль 11387081,6



Счет образования доходов позволяет определить ВВП распределительным методом (2):

ВВП = оплата труда + налоги + прибыль

Счет распределения первичных доходов характеризует распределение доходов, полученных от производства, между владельцами собственности и таким образом показывает отличие национального дохода (НД) от национального продукта. Различие может быть обусловлено наличием положительного или отрицательного сальдо доходов от собственности “полученных” и “переданных”. У “богатых” стран ВНП больше чем НД, так как они имеют инвестиции в других странах и получают доходы от этой собственности. В “бедных” странах наоборот: они являются заемщиками и передают часть произведенного в стране национального продукта в виде платы за использование чужой собственности другим странам.

Счет распределения первичных доходов

Использование

Ресурсы

Доходы от собственности, переданные другим странам: 1740978,8 рента проценты дивиденды

Валовая прибыль 11387081,6


Оплата труда 15526114,7


Налоги на производство и импорт 6564455,7


Субсидии на производство и импорт (-) 230138,8

Сальдо первичных доходов 32649863,5

Доходы от собственности, полученные от других стран: 1143329,1  - рента -проценты  - дивиденды


Балансирующая статья счета №3 - сальдо первичных доходов - это национальный доход страны:

НД = оплата труда + прибыль + налоги + доходы от собственности полученные - доходы от собственности переданные.

В ресурсах следующего счёта №4 «Перераспределение доходов» отражается национальный доход и полученные текущие трансферты. Трансферт - операция, в результате которой одна хозяйственная единица передает другой единице товары, услуги, активы безвозмездно. Различают трансферты капитальные (т.е. одномоментные, например, передача капитала в ходе приватизации в виде ваучеров) и текущие (регулярные платежи в виде налогов, пенсий, пособий и т.п.). Балансирующая статья счета 4 - валовой располагаемый доход (ВРД), являющийся источником средств, направляемых на потребление и накопление.

Счет вторичного распределения доходов

Использование

Ресурсы

Текущие трансферты, выплаченные: -налог на прибыль -подоходный налог -соц.страхование 214956,4

Сальдо первичных доходов (валовой национальный доход) 32649863,5


Текущие трансферты, полученные: -налог на прибыль -подоходный налог -соц.страхование 303347,8

Валовой располагаемый доход 327382254.9



ВРД = ВНД + текущие трансферты полученные - текущие трансферты выплаченные.

Счет использования располагаемого дохода

Использование

Ресурсы

Конечное потребление 21968579,5

Валовой располагаемый доход 327382254.9

1.1.Домашних хозяйств 16031739,8


1.2.Государственного управления 5750964,1


1.3.Некоммерческих организаций 185875,6


2. Валовые сбережения 305413675,4




В ресурсах Счет использования располагаемого доходаотражается национальный располагаемый доход (переносится из предыдущего счета). В “использовании” - расходы на конечное потребление. Конечное потребление - стоимость товаров и услуг, используемых непосредственно для удовлетворения потребностей людей, т.е. потребительские расходы, которые группируются по источникам финансирования: конечное потребление домохозяйств, госучреждений и некоммерческих организаций.

Валовое сбережение определяется как разница между валовым располагаемым доходом и конечным потреблением. Норма сбережений определяется отношением валового сбережения к валовому располагаемому доходу:


Счет операций с капиталом

Изменение в активах

Изменение в обязательствах и чистой стоимости капитала

Капитальные трансферты, выплаченные 283939,2

Сбережения  305413675,4

Валовое накопление основного капитала 6980359,1

Капитальные трансферты, полученные 283939,2

Изменение запаса материальных оборотных средств 1053739,1



В ресурсную часть счета “Операции с капиталом” включаются: сбережения (из предыдущего счета) и капитальные трансферты, которые по секторам включают их передачу из других секторов, а также их поступление из других стран, а по стране в целом - это трансферты, полученные от “остального мира” или переданные ему. В “использование входят различные типы вложений в активы. Балансирующая статья этого счета может быть как в ресурсной части, так и в части “использование” в зависимости от того, наблюдается недостаток или избыток ресурсов для финансирования капитальных затрат.

Счет “Товаров и услуг” заполняется только для страны в целом, в этом его отличие от предыдущих счетов, которые заполняются как по секторам, так и по стране в целом. (В данном задании следует заполнить все счета только для страны в целом). Счет “Товаров и услуг” характеризует общие ресурсы товаров и услуг по стране в целом, а также направления использования этих ресурсов. В ресурсной части отражаются валовой выпуск, чистые налоги на продукты (т.е. налоги за вычетом субсидий) и импорт товаров и услуг. В “Использовании” отражаются промежуточное потребление, конечное потребление, валовое накопление и экспорт товаров и услуг. Этот счет не имеет остатка или балансирующей позиции, поэтому для сводимости данных может быть использована позиция “статистическое расхождение”.

Счет «Товаров и услуг»

Использование

Ресурсы

1. Промежуточное потребление 29267661,3

1. Валовый выпуск 57752132,5

2. Конечное потребление 21968579,5

2.Импорт товаров и услуг 7162210,8

3. Валовое накопление  6980359,1

3.Чистые налоги на продукты 4977558,7

3.1.Приобретение основных фондов 6980359,1


3.2.Накопление материальных оборотных средств 1053739,1


3.3. Приобретение ценностей 0


4. Экспорт товаров и услуг 10028762


5. Статистическое расхождение



На основании счета “Товаров и услуг” можно определить ВВП методом конечного использования (3):

ВВП = Конечное потребление + Валовое накопление + Экспорт -Импорт + Статистическое расхождение

Валовой выпуск, промежуточное потребление и чистые налоги переносятся в этот счет из счета производства, конечное потребление - из счета использования доходов, валовое накопление основных средств и изменение запасов материальных оборотных средств - из счета капитальных затрат.

Рассчитаем ВВП тремя методами.

ВВП = ВВ + НП - СП -ПП = 33247513.2

ВВП = оплата труда + налоги + прибыль = 33247513.2

ВВП = конечное потребление + валовое накопление + накопление материальных средств + экспорт - импорт + статистическое расхождение

= 33247513.2

Величины национального дохода вычисляются по формуле:

вариационный ряд национальный счет

НД = оплата труда + прибыль + налоги + доходы от собственности полученные - доходы от собственности переданные = 32649863.5Норма сбережений вычисляется по формуле:

Норма сбережений =  =  = 0.45

Список использованной литературы

Практикум теории статистики: учеб. пособие/ Шмойлова Р. А., Минашкин В.Г., Садовникова Н. А. - 3-е изд. - М.: Финансы и статистика, 2008. - 416 с.: ил.

Теория статистики: учебник/ Р.А. Шмойлова, В.Г. Минашкин, Н.А. Садовникова - 5-е изд. - М.: Финансы и статистика, 2008 - 656с.:ил.

Методическое пособие по статистике для 2 курса. Автор: Рожкова Людмила Ивановна; Роат МИИТ, 2012г.-36с.

Похожие работы на - Показатели вариационных рядов. Статистика населения

 

Не нашли материал для своей работы?
Поможем написать уникальную работу
Без плагиата!
Без нейросетей!