Изучение уровня жизни населения Пензенской области
Содержание
Введение
. Теоретические основы изучения
уровня жизни населения
. Статистический анализ уровня жизни
населения
.1 Доходы населения
.2 Показатели дифференциации доходов
населения
.3 Показатели статистики бедности
.4 Питание населения как объект статистического
наблюдения
.5 Потребление непродовольственных
товаров и услуг
. Прогнозирование потребления
Выводы и предложения
Список литературы
Приложения
Введение
Среди множества современных проблем одной из
главных является проблема низкого уровня жизни населения. Будучи следствием
кризиса, практически, во всех сферах жизнедеятельности общества, она порождает,
в свою очередь, ряд других проблем, таких как рост преступности, снижение
рождаемости, вызванное неуверенностью в завтрашнем дне, повышение уровня
смертности и другие.
Таким образом, изучение уровня жизни населения
области и его динамики - важный компонент комплексного социально-экономического
анализа положения страны с целью разработки адекватных мер
социально-демографической политики со стороны государства.
Уровень жизни - сложная категория, которая
подразумевает множество аспектов. Это и степень удовлетворения потребностей
людей в материальных благах, бытовых и культурных условиях; это производная
состояния здоровья, уровня образования, культуры; это размеры свободного
времени, характер его использования и др.
Предметом исследования в курсовой работе
является уровень жизни населения в Пензенской области, а объектом исследования
население Пензенской области.
Важнейшая задача статистики уровня жизни -
выявление закономерностей изменения благосостояния населения. Для этого
проводятся исследования, охватывающие как всю страну, так и её регионы,
социально-демографические группы населения и различные типы домашних хозяйств.
Это позволит проследить различия в уровне жизни в зависимости от экономических,
национальных, природно-климатических и других особенностей, а также от доходов
населения.
Основные задачи и направления статистического
изучения уровня жизни следующие:
) общая и всесторонняя характеристика
социально-экономического благосостояния населения;
) оценка степени социально-экономической
дифференциации общества, степени различий по уровню благосостояния между
отдельными социальными, демографическими и иными группами населения;
) анализ характера и степени влияния различных
социально-экономических факторов на уровень жизни, изучение их состава и
динамики;
) выделение и характеристика малообеспеченных
слоев населения, нуждающихся в социально-экономической поддержке.
Для решения вышеперечисленных задач используются
различные источники получения информации, такие как: отчетность предприятий,
организаций, учреждений, обслуживающих население, их текущий учет; данные
статистики труда, занятости населения, трудоустройства и оплаты, бюджетов
домашний хозяйств, переписей населения, разного рода социологических и других
обследований социальных условий жизни и деятельности людей.
Уровень жизни, его динамика и дифференциация в
значительной степени определяются уровнем развития производительных сил,
объемом и структурой национального богатства, производством и использованием
валового национального продукта, характером распределения и перераспределения
доходов.
В современных условиях рыночной экономики
федеральные и другие органы власти должны иметь четкое представление о
тенденциях в социально-экономическом положении населения страны, о доходах и
расходах граждан, их сбережениях и о других факторах уровня и качества жизни, и
тем самым иметь возможность оперативного воздействия на ситуацию посредством
разработки и реализации мер, направленных на повышение благосостояния и условий
жизни граждан. В этой связи возрастающее значение приобретают методы обработки
имеющейся информации, позволяющие всесторонне проанализировать ту или иную
проблему и выработать варианты ее преодоления. Необходим контроль за ходом
реализации важнейших федеральных и региональных социальных программ.
Методы статистики являются основным средством
изучения массовых, повторяющихся явлений. Они играют важную роль в
прогнозировании поведения экономических показателей. Поэтому в данной курсовой
работе использованы метод статистических группировок, методы построения и
анализа динамических рядов, индексный метод, табличный, графический методы,
метод построения и анализа вариационных рядов.
Целью курсовой работы является изучение понятия
"уровня жизни населения", как одного из важнейших интегральных
характеристик социально-экономической системы, изучение факторов, определяющих
динамику уровня жизни населения, анализ степени их влияния и роли в повышении уровня
жизни, анализ уровня жизни населения в Пензенской области.
доход население статистический
благосостояние
Глава 1. Теоретические основы изучения уровня
жизни населения
Уровень жизни является одной из важнейших
социальных категорий. Под уровнем жизни понимаются обеспеченность населения
необходимыми материальными благами и услугами, достигнутый уровень их
потребления и степень удовлетворения разумных (рациональных) потребностей. Так
понимается и благосостояние. Денежная же оценка благ и услуг, фактически
потребляемых в среднем домохозяйстве в течение известного промежутка времени и
соответствующих определенному уровню удовлетворения потребностей, представляет
собой стоимость жизни. В широком смысле понятие "уровень жизни населения
" включает еще условия жизни, труда и занятости, быта и досуга, его
здоровье, образование, природную среду обитания и т.д. В таком случае чаще
употребляется термин "качество жизни".
Можно выделить четыре уровня жизни населения:
достаток (пользование благами, обеспечивающими всестороннее развитие человека);
нормальный уровень (рациональное потребление по научно обоснованным нормам,
обеспечивающее человеку восстановление его физических и интеллектуальных сил);
бедность (потребление благ на уровне сохранения работоспособности как низшей
границы воспроизводства рабочей силы); нищета (минимально допустимый по
биологическим критериям набор благ и услуг, потребление которых лишь позволяет
поддержать жизнеспособность человека).
Повышение уровня жизни (социальный прогресс)
составляет приоритетное направление общественного развития. Важнейшими
составляющими уровня жизни выступают доходы населения и его социальное
обеспечение, потребление им материальных благ и услуг, условия жизни, свободное
время. Возможны три аспекта изучения уровня жизни: применительно ко всему
населению; к его социальным группам; к домохозяйствам с различной величиной
дохода.
Комплексное исследование уровня жизни населения
возможно только с помощью системы статистических показателей. В последние годы
было предложено несколько систем, различающихся структурой и набором
показателей.
Наиболее полной и отвечающей современным
требованиям служит система "Основные показатели уровня жизни населения в
условиях рыночной экономики", разработанная в Центре экономической
конъюнктуры и прогнозирования при Министерстве экономики РФ в 1992 г. В ней
представлено 7 разделов, охватывающих 40 показателей:. Обобщающие показатели.
. Критерий уровня жизни.
. Индекс стоимости жизни.
. Валовой национальный продукт (фонд
потребления, фонд личного потребления) в расчете на душу населения.. Доходы
населения.
. Реальные общие доходы населения.
. Реальные располагаемые доходы населения.
. Совокупные доходы населения.
. Личные доходы населения.
. Личные располагаемые доходы населения.
. Денежные доходы населения.
. Средний доход и средняя заработная плата
работников.
. Средний размер реальной заработной платы.
. Средний размер пенсии, пособия, стипендии..
Потребление и расходы населения.
. Общий объем потребления населением
материальных благ и услуг.
. Денежные расходы населения.
. Потребительские расходы населения.
. Потребление населением основных продуктов
питания.
. Покупательная способность средней заработной
платы.
. Покупательная способность средней пенсии..
Денежные сбережения населения.
. Сумма денежных сбережений населения..
Накопленное имущество и жилище.
. Стоимость накопленного домашнего (личного)
имущества.
. Наличие и характеристика предметов длительного
пользования в собственности населения.
. Жилищные условия населения.. Социальная дифференциация
населения.
. Распределение населения по размеру
среднедушевого (среднего по домохозяйству) совокупного дохода.
. Потребление основных продуктов питания,
непродовольственных товаров и услуг населением с разным уровнем среднедушевого
(среднего по домохозяйству) совокупного дохода.
. Структура потребительских расходов населения с
разным уровнем среднедушевого (среднего по домохозяйству) дохода.
. Динамика стоимости фактической и нормативно
потребительских корзин различных слоев населения.
. Индекс концентрации доходов (коэффициент
Джини).
. Децильные коэффициенты дифференциации доходов
и потребления населения.
. Соотношение средних значений дохода и потреби
в границах верхней и нижней децилей.
. Доля квинтельных (децильных) групп населения
(домашних хозяйств) по уровню среднедушевого (среднего по домохозяйству) дохода
в совокупном доходе общества.. Малообеспеченные слои населения.
. Прожиточный минимум (порог бедности).
. Минимальный потребительский бюджет.
. Минимальный размер заработной платы.
. Минимальный размер пенсии.
. Покупательная способность минимальной
зарплаты.
. Покупательная способность минимальной пенсии.
. Коэффициент (уровень) бедности.
. Дефицит дохода.
. Зоны бедности.
. Социальный портрет бедности.
Наиболее важные 12 показателей из перечисленных
40 включены в систему показателей для оценки хода экономической реформы в
России в раздел 10 "Социальная сфера, жизненный уровень населения" и
в подраздел 10.3 "Уровень жизни". Эта Система показателей разработана
Министерством экономики РФ и Госкомстатом России, согласована с
заинтересованными министерствами и ведомствами, администрациями регионов и
введена в действие с 1993 г. Она рекомендована органам исполнительной власти
республик в составе Российской Федерации, краев, областей автономных образований,
городов Москвы и Санкт-Петербурга для использования в анализе хода
экономической реформы на соответствующих территориях. К 12 показателям
относятся:
. Средняя оплата труда работников.
. Покупательная способность населения со
средними заработной платой и пенсией.
. Минимальный потребительский бюджет по основным
социально-демографическим группам населения.
. Прожиточный минимум по основным
социально-демографическим группам населения.
. Численность и доля населения, имеющего
среднедушевые доходы ниже минимального потребительского бюджета и прожиточного
(физиологического) минимума.
. Потребление продуктов питания в домашних
хозяйствах с различным уровнем среднедушевого дохода.
. Денежные доходы и расходы определенных
социально-демографических групп населения.
. Показатели дифференциации населения.
. Соотношение среднедушевых доходов 10% наиболее
и 10% наименее обеспеченного населения.
. Индекс концентрации доходов населения
(коэффициент Джини).
. Структура потребительских расходов различных
социально-демографических групп населения.
. Распределение населения по размеру
среднедушевого дохода.
Система социальных показателей изменяется вместе
с преобразованием социальных отношений.
Последний вариант Системы показателей уровня
жизни в международной статистике ООН разработан в 1978 г. и включает 12
основных групп показателей:
. Рождаемость, смертность и другие
демографические характеристики населения.
. Санитарно-гигиенические условия жизни.
. Потребление продовольственных товаров.
. Жилищные условия.
. Образование и культура.
. Условий труда и занятость.
. Доходы и расходы населения.
. Стоимость жизни и потребительские цены.
. Транспортные средства.
. Организация отдыха.
. Социальное обеспечение.
. Свобода человека.
К настоящему времени накоплен богатый опыт
построения и использования систем социальных показателей на различных уровнях
агрегирования и в различных целях.
В качестве агрегатного показателя уровня жизни
выступает индекс развития человеческого потенциала (ИРЧП). ИРЧП является
составным индексом, включающим три показателя, отражающих наиболее важные
аспекты уровня жизни:
• ожидаемую продолжительность жизни при
рождении;
• достигнутый уровень образования;
• реальный объем ВВП в расчете на душу населения
(в долларах США на основе паритета покупательной способности).
ИРЧП определяется как средняя арифметическая из
индексов трех указанных показателей.
Индекс каждого показателя рассчитывается по
формуле:
Где Х факт, Х min,
Х max - фактическое,
минимальное и максимальное значения i-го
показателя соответственно.
Для расчета индекса ожидаемой продолжительности
жизни при рождении (I1)
минимальное значение принимается равным 25 годам, а максимальное - 85 годам.
Индекс достигнутого уровня образования (I2)
рассчитывается как средняя арифметическая, взятая из двух субиндексов: индекса
грамотности среди взрослого (в возрасте от 15 лет и старше) населения (i1)
весом ⅔ и индекса совокупной доли учащихся начальных, средних и высших
учебных заведений (для лиц моложе 24 лет) (i2) с весом ⅓:= i1∙ ⅔
+ i2 ∙ ⅓
При исчислении индексов грамотности i1 и i2 Х
min принимается равным 0, а Х max = 100%.
При расчете индекса реального ВВП на душу
населения принимается Х min равным 100 дол., а Х max = 5120 дол.
Достаточным для разумно высокого уровня
благосостояния в мире считается объём реального ВВП на душу населения 5120
долл.
Таким образом,
Чем ближе значение этого индекса к 1, тем выше
степень развития человеческого потенциала в стране и тем ближе общество
находится на пути к желаемым целям. На данном этапе такими целями специалисты
ПРООН считают повышение средней продолжительности жизни до 85 лет, доступность
образования для всех и обеспечение достойного уровня доходов населения.
Естественно, рассматриваемый показатель нельзя
считать всеобъемлющей единицей измерения развития человеческого потенциала, но
анализ его значений достаточно наглядно показывает, сколько еще предстоит сделать
стране для достижения вышеназванных ориентиров.
Уровень жизни во многом определяется доходами
населения, от размера которых главным образом и зависит степень удовлетворения
личных потребностей населения в материальных благах и услугах.
Одним из показателей доходов является объем
личных доходовнаселения (ЛДН) - все виды доходов населения, полученные в
денежной форме или натуре.
Совокупные (общие) доходы населения(СДН)
определяются суммированием личных доходов и стоимости бесплатных или льготных
услуг, оказываемых населению за счет социальных фондов.
Показатели, рассчитанные в ценах текущего
периода, называются номинальными показателями доходов. Они не определяют
реального содержания доходов, т.е. не показывают, какое количество материальных
благ и услуг доступно населению при сложившемся уровне доходов.
Вычитая из личных номинальных доходов населения
(ЛДН) налоги, обязательные платежи и взносы в общественные организации (НП),
находят личные располагаемые доходы (ЛРД) населения - ту часть личных доходов,
которую их владельцы направляют на потребление и содержание:
ЛРД = ЛДН - НП
Доля этой части в общем объеме составит:
Среднедушевые денежные доходы населения (или
средние по домашним хозяйствам) исчисляют делением общей суммы денежного дохода
за год на среднегодовую численность населения (или число домохозяйств).
Однако не всякий темп роста денежных доходов при
наличии инфляции в экономике может свидетельствовать об улучшении уровня жизни
населения.
С целью устранения фактора изменения цен,
приводящего к изменению покупательной способности денег, номинальные и
располагаемые денежные доходы (расходы) населения рассчитываются в реальном
выражении с корректировкой на индексы потребительских цен (сводный и субиндексы
на отдельные товарные группы).
Расчет показателей в реальном выражении
осуществляется делением соответствующих показателей текущего периода на индекс
потребительских цен (ИПЦ рубля), или умножением на индекс покупательной
способности денег (ИПЦ).
Реальные располагаемые доходы населения
рассчитываются по формуле:
РРД = (ЛДН - НП) ∙ I п.с.р.,
Iп.с.р.
Аналогично рассчитываются реальные общие доходы
(РОД) населения - как совокупные доходы (СДН) с поправкой на покупательную
способность денег:
РОД
Для характеристики динамики этих показателей
строятся соответствующие индексы, например, индекс реальных располагаемых
доходов:
IРРД
Следовательно, скорость изменения реальных
располагаемых доходов зависит от трех факторов: темпов роста номинальных
доходов, изменения ставок налоговых платежей и изменения покупательной
способности денег.
В связи с переходом к рыночным отношениям в
последние годы в России резко обострился процесс расслоения общества, возникла
необходимость применения широко используемых в международной статистической
практике методик анализа социально-экономической дифференциации населения по
денежным доходам на основе выборочного обследования бюджетов домашних хозяйств.
К числу важнейших методов изучения
дифференциации доходов населения относится построение вариационных рядов, и на
их основе, - статистических рядов распределения населения по уровню
среднедушевых денежных доходов, представляющих собой ранжированные и
сгруппированные в определенных интервалах по величине дохода результаты
наблюдения.
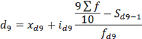
Для характеристики дифференциации доходов
населения и уровня бедности рассчитываются следующие показатели:
модальный доход - уровень дохода наиболее часто
встречающихся среди населения;
медианный доход - показатель дохода,
находящегося в середине ранжированного ряда распределения. Половина населения
имеет доход ниже медианного, а вторая половина - выше;
средний доход - общий средний уровень дохода
всего населения;
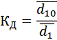
дециальный коэффициент дифференциации доходов
населения (Кd), показывающий, во сколько раз минимальные доходы 10% самого
богатого населения превышают максимальные доходы 10% наименее обеспеченного
населения:
Kd
где d9, d1 - девятый и первый дециль
соответственно.
Нижний дециль (d1) (самые низкие доходы)
определяются по формуле:
Верхний предел (d9) - (самые высокие доходы)
определяются по формуле:
Коэффициент фондов (Кд) - соотношение между
средними доходами в десятой и первой дециальной группах:
Где
и
- среднедушевой доход 10% населения с наименьшими доходами и 10% населения с
самыми высокими доходами.
При расчете среднего дохода 10% населения в
знаменателе показателей
и
находятся
одинаковые значения, поэтому коэффициент фондов можно исчислить как:
где Д1 и Д10 - суммарный доход 10% самой бедной
и 10% самой богатой частей населения соответственно.
Коэффициент концентрации доходов Джини (КG),
характеризующий степень неравенства в распределении доходов населения, определяется
по формуле:
где xi - доля населения, принадлежащая к (i-1)
социальной группе в общей численности населения;- доля доходов, сосредоточенная
у i-той социальной группы населения;- число социальных групп;yi - кумулятивная
(исчисленная нарастающим итогом) доля дохода.
Коэффициент Джини изменяется в пределах от 0 до
1. При равномерном распределении этот коэффициент стремится к нулю, а чем выше
поляризация доходов в обществе, тем он ближе к единице.
При статическом изучении уровня и границ
бедности, прежде всего, устанавливается граница дохода, обеспечивающая
потребление на минимально допустимом уровне, т.е. определяется стоимостная
величина прожиточного минимума, с которой сравниваются фактические доходы
отдельных слоев населения.
Прожиточный минимум представляет собой
стоимостную оценку минимального набора продуктов питания, необходимого для
сохранения здоровья человека и поддержания его жизнедеятельности, а также
расходы на непродовольственные товары и услуги, налоги и обязательные платежи,
исходя из доли затрат на эти цели в бюджетах низкодоходных групп населения;
используется в качестве критерия бедности при характеристике процессов
социально-экономической дифференциации.
Рассчитывается величина прожиточного минимума на
основе методических рекомендаций, утвержденных Министерством труда Российской
Федерации 10 ноября 1992 г.
Она определяется в расчете на
«среднестатистического» жителя и для различных социально-демографических групп
населения с учетом научно обоснованных норм, национальных и других особенностей
потребления, а так же реальных возможностей экономики. По отдельным
половозрастным группам прожиточный минимум заметно различается.
Прожиточный минимум существенно зависит от цен,
поэтому в условиях инфляции он непрерывно изменяется.
В настоящее время наряду с общим прожиточным
минимумом определяется физиологический минимум.
Прожиточный (физиологический) минимум -
суммарная стоимость товаров и услуг, которую можно рассматривать как нижний
предел, позволяющий поддержать физическое состояние, но лишь в течение
определенного времени. Жизненно необходимый уровень потребления включает только
расходы на питание, самые необходимые предметы санитарии и гигиены, лекарства,
коммуникальные услуги и другие обязательные платежи.
Бедность является одной из важнейших
характеристик неравенства в распределении доходов. Уровень бедности - удельный
вес населения с доходами ниже прожиточного минимума в общей численности
населения выступает информативным показателем социально-экономического
положения страны. Обычно бедность определяется как состояние, когда
экономических ресурсов не хватает для обеспечения прожиточного минимума.
На основе данных о доходах бедного населения
рассчитываются относительно новые для социальной статистики показатели:
дефицит дохода оценивается как суммарный доход
малоимущего недостающий до величины прожиточного минимума.
коэффициент глубины бедности характеризует
дефицит дохода обследуемых домохозяйств в виде среднего простого отклонения их
доходов от прожиточного минимума в расчете на одно домохозяйство.
коэффициент остроты бедности также отражает
дефицит дохода обследуемых домохозяйств, но рассчитывается по средневзвешенному
отклонению их доходов от прожиточного минимума (т.е. придается больший вес
домохозяйствам с более высоким дефицитом дохода).
Денежные расходы населения - это использование
доходов населения на покупку товаров и оплату услуг и различного рода платежи:
обязательные платежи и профсоюзные взносы (налоги, сборы, платежи по
страхованию, взносы в общественные и кооперативные организации, возврат
банковских ссуд), покупку иностранной валюты, а также прирост сбережений во
вкладах и ценных бумагах. При этом в СНС проводится различие между расходами на
конечное потребление и объемом фактического конечного потребления.
Основным показателем потребления служит уровень
индивидуального потребления как средний размер потребления определенных товаров
и услуг на душу населения. Он рассчитывается в виде отношения годового объема
потребляемых товаров и услуг по видам к среднегодовой численности населения,
как в целом, так и по отдельным социальным группам, группам по доходу,
возрасту, характеру занятий.
Сравнение фактического потребления отдельных
товаров с нормативным позволяет определить уровень удовлетворения потребности
населения в данном товаре.
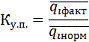
Коэффициент удовлетворения потребности в i-м
товаре имеет вид:
где
-
фактическое потребление i-го товара в среднем на душу населения;
- нормативный
уровень потребления i-го товара в среднем на душу населения;
Коэффициент удовлетворения потребностей
населения по всем потребительским товарам и услугам (К у.п.о.) определяется в
агрегатной форме:
где p - цена товара;количество фактически
потребленных товаров;- количество фактически потребленных услуг;- фактический
тариф за определенную услугу;н - норматив потребления определенного товара на
душу населения;н - норматив потребления определенного вида услуг на душу
населения;
- средняя численность
населения за период.
Разность числителя и знаменате6ля этого
показателя определяет стоимость общего недопотребления товаров и услуг по
сравнению с нормативным его уровнем.
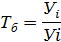
Динамика общего и среднедушевого потребления
изучается с помощью индексов. По отдельным видам товаров рассчитываются
индивидуальные индексы изменения потребления:
общего потребления i-го товара:
где ∑qi1, ∑qi10 - объемы потребления
i - го товара в натуральном выражении в отчетном и базисном периодах
соответственно;
среднедушевого потребления i-го товара:
=
Где
-
средняя численность населения в отчетном и базисном периодах, соответственно;
разница между числителем и знаменателем индексов
показывает абсолютное изменение соответственно общего и среднедушевого
потребления i-го товара:
Потребление населением услуг измеряется так же,
как и товаров. При этом должна быть обеспечена сопоставимость цен (тарифов - t)
на услуги в отчетном и базисном периодах в результате использования
сопоставимой (базисной) цены или применения метода дефлятирования.
Динамика общего потребления населением товаров и
услуг характеризуется агрегатным индексом объема потребления:
где q1, q0; s1,s0 - количество потребленных в
отчетном и базисном периодах соответственно товаров и услуг;, t0 - цена товара
и тариф за определенную услугу в базисном периоде.
Для изучения динамики потребления отдельных
групп товаров или услуг применяется средний гармонический индекс физического
объема следующего вида:
где ip - индивидуальные индексы цен на отдельные
товары и услуги.
Для изучения зависимости объема потребления от
дохода в социальной статистике на практике используется коэффициент
эластичности потребления от изменения дохода, который показывает, насколько
процентов возрастает (или снижается) потребление товаров и услуг при росте
дохода на 1% (формула А. Маршалла):
КЭ
где x, y - начальный доход и потребление;
Δx, Δy - их
приращение за некоторый период.
Если коэффициент эластичности отрицательный, то
с ростом доходов потребление «малоценных» (низкого качества) товаров
уменьшается.
Если Кэ>1, то потребление растет быстрее
доходов.
Если Кэ=1, то между доходом и потреблением
существует пропорциональная зависимость.
Если Кэ<1, то потребление увеличивается
медленнее, чем доход.
Кроме рассмотренных показателей социальная
статистика изучает жизненные условия и бытовое обслуживание населения,
свободное время населения, здоровье населения, уровень образования и развитие
системы обучения, культуру, искусство, отдых и др.
Глава 2. Статистический анализ уровня жизни
населения
.1 Доходы населения
Уровень жизни во многом определяется доходами
населения, от которых главным образом и зависит степень удовлетворения личных
потребностей. Основными источниками данных о доходах населения являются данные
государственной и ведомственной статистики. Государственная статистика собирает
информацию непосредственно от населения и домохозяйств при проведении
выборочного обследования домашних хозяйств и от крупных и средних фирм,
представляющих отчетность по труду и выплате заработной платы. Кроме того,
проводятся периодические обследования задержки выплат заработной платы по
некоторым отраслям экономики, а также изучение дифференциации заработной платы
по выборке фирм. Ведомственная статистика обобщает информацию о выплатах,
произведенных населению, о платежах, от него полученных, на основе
ведомственной отчетности.
К таким данным относятся: 1. баланс денежных
доходов и расходов населения, который обобщает информацию от финансовых
учреждений и строится Центральным банком РФ; 2. данные о размере выплаченных
пенсий и пособий, предоставляемые Государственным пенсионным фондом; 3. суммы
декларируемых населением доходов и уплаченных с них налогов по данным
Государственной налоговой службы РФ (ГНС РФ). В ГНС создается реестр
налогоплательщиков, в котором будет накапливаться и обобщаться информация,
характеризующая выплаченные доходы, удержанные налоги и крупные расходы,
подлежащие декларированию в соответствии с законодательством.
Информация о доходах наименее достоверна из-за
многообразия источников доходов, наличия не учитываемых доходов от
"теневой" экономической деятельности, разрыва во времени между
осуществленной деятельностью и ее оплатой, а также наличия не только денежной
формы доходов, но и натуральных поступлений продуктов питания и предоставляемых
льгот населению. Поэтому статистика все в большей степени сосредоточивает
внимание на изучении расходов, т.е. изучает доходы через расходы населения. На
основе таблицы 1 рассмотрим состав и использование денежных доходов населения
Пензенской области.
Таблица 1 - Состав и использование денежных
доходов населения Пензенской области за период 2001 - 2011 гг. (тыс. руб.)
|
2002
|
2003
|
2004
|
2005
|
2006
|
2007
|
2008
|
2009
|
2010
|
2011
|
|
Денежные
доходы
|
38856970
|
47863576
|
58675416
|
74493917
|
95205681
|
133672451
|
168942457
|
190532342
|
211617681
|
234117614
|
|
в
том числе:
|
|
|
|
|
|
|
|
|
|
|
|
доходы
от собственности, предпринимательской деятельности
|
14885680
|
16397526
|
24046522
|
30212989
|
42756615
|
65287646
|
77555599
|
88445174
|
88608768
|
91898255
|
|
оплата
труда
|
15505682
|
21017979
|
22593512
|
28897629
|
34405046
|
45898305
|
61865484
|
65128299
|
73404882
|
82792985
|
|
социальные
трансферты
|
8465608
|
10448071
|
12035382
|
15383299
|
18044020
|
22486500
|
29521374
|
36958869
|
49604031
|
59426374
|
Проанализировав данные таблицы 1, можно сделать
вывод, что доходы населения Пензенской области за исследуемый период увеличиваются
и в 2011 году они составили 234117614 тыс. рублей, что на 22499933 тыс. рублей
выше, чем в предыдущем году и составляют почти 91% к 2010 году. Из таблицы
также можно заметить, что максимальный прирост доходов наблюдался в 2007 году и
составил 38466770 тыс. рублей, что на15966837 тыс. рублей выше, чем в 2011
году, но все-таки в период с 2001 по 2011 гг. наблюдается значительный рост
доходов населения Пензенской области.
Для наглядности отобразим структуру денежных
доходов населения на рисунке 1.
Пронаблюдаем динамику среднедушевых ежемесячных
денежных доходов населения Пензенской области. Это так же важно при изучении
статистики доходов населения. Для этого рассмотрим таблицу 2.
Таблица 2 - Среднедушевые ежемесячные денежные
доходы населения Пензенской области за период 2002-20121 гг. (рублей)
|
Годы
|
2002
|
2003
|
2005
|
2006
|
2007
|
2008
|
2009
|
2010
|
2011
|
20121
|
|
Среднедушевые
денежные доходы
|
2221
|
2765
|
4386
|
5659
|
8002
|
10044
|
11416
|
12920
|
14172
|
15763
|
По данным таблицы 2 можно заметить, что динамика
среднедушевых ежемесячных денежных доходов населения Пензенской области
положительна. Если сравнивать 2002 год, где доход составлял 2221 руб. и 20121
год, где доход составил 15763 руб., видно, что в этот период ярко выражена
тенденция к увеличению доходов. Доходы населения увеличились почти в 7 раз, в
денежном выражении это составляет 13542 руб. Размер среднедушевого дохода в
20121 году по сравнению с 2011 годом возрос на 1591 руб. и составил почти 90% к
предыдущему году.
Таким образом, мы видим заметный рост доходов
населения Пензенской области, а значит и повышается его благосостояние.
2.2 Показатели дифференциации доходов населения
Под дифференциацией доходов понимается
объективно обусловленный существующей системой производственных отношений
результат распределения доходов, выражающий степень неравномерности благ.
Исследование дифференциации доходов населения - одна из актуальных задач
статистика, которая заключается в установлении масштабов расслоения населения
по уровню доходов и выявлении основных факторов, создающих предпосылки для
такого расслоения. Дифференциация совокупных душевых доходов формируется не
только под воздействием трудовых различий, но и в результате влияния
демографических факторов (числа работающих в семье, числа детей, соотношения
иждивенцев и работающих), уровня и источников совокупного дохода семьи
(домашнего хозяйства), жилищных условий и наличия накопленного имущества,
уровня профессионального образования трудоспособных членов и его реализация в
занятиях и т.д.
При изучении дифференциации основным источником
являются данные выборочных обследований, данные о денежных доходах, полученные
из баланса доходов и расходов населения, а также данные бюджетной и массовой
статистики. Дифференциация доходов изучается по величине среднедушевого
совокупного дохода населения в целом и по отдельным группам домохозяйств, по
проживающим в городской и сельской местностях (выделяя хозяйства пенсионеров,
семьи с детьми до 16 лет и т.д.). В статистике бюджетов домашних хозяйств используются
среднемесячный совокупный доход и средний доход на одного члена домохозяйств.
Среди работающих лиц за основу берется среднемесячная начисленная заработная
плата по отраслям экономики.
Рассмотрим распределение населения Пензенской
области по величине среднедушевых денежных доходов на основе данных таблицы 3.
Таблица 3 - Распределение населения Пензенской
области по величине среднедушевых денежных доходов за период 2000-2009 гг., в
процентах
|
2000
|
2001
|
2002
|
2003
|
2004
|
2005
|
2006
|
2007
|
2008
|
2009
|
|
Всё
население
|
100
|
100
|
100
|
100
|
100
|
100
|
100
|
100
|
100
|
100
|
|
в
том числе со среднедушевыми доходами, руб. в месяц:
|
|
|
|
|
|
|
|
|
|
|
|
до
1000,0 1000,1-1500,0 2000,1-3000,0 3000,1-4000,0 4000,1-5000,0 5000,1-7000,0
7000,1-12000,0 свыше 12000
|
44,4
29,3 9,3 1,9 0,4 0,2 0,0 …
|
24,7
28,0 18,5 5,8 1,9 0,9 … …
|
12,2
22,5 26,1 10,7 4,1 2,3 … …
|
7,6
15,2 26,9 15,4 8,2 6,6 … …
|
3,8
9,9 25,9 18,3 11,3 10,8 … …
|
1,8
5,8 21,1 18,4 13,6 15,9 11,7 2,6
|
0,8
3,1 16,0 16,7 14,2 19,4 24,0 …
|
0,3
1,4 9,1 11,3 11,4 19,4 26,8 17,5
|
0,1
0,7 5,5 7,8 8,9 17,3 29,7 28,4
|
0,1
0,4 4,3 6,6
7,8
16,9 29,9
34,0
|
Исследовав данные таблицы 3 можно сделать вывод,
что за период 2000 - 2009 гг. явно наблюдается тенденция к снижению доли
населения со среднедушевыми доходами в интервалах от 1000,0 до 3000,0 рублей в
месяц. Доля населения со среднедушевыми доходами от 3000,1 до 4000,0 в
2000-2005 гг. возрастает, а в 2006-2009 гг. снижается. Доля населения со
среднедушевыми денежными доходами от 4000,1 до 7000,0 так же сначала
увеличивается, затем уменьшается. Доля же населения со среднедушевыми денежными
доходами от 7000,1 до 12000,0 и свыше 12000,0 рублей в месяц имеет тенденцию к
увеличению. К примеру, явно увеличилось население с доходами свыше 12000 и
составило 34,0 в 2009 году, что почти на 6,5 % больше по сравнению с предыдущим
годом. Заметно сократилась доля населения с доходами до 1000,0 рублей в месяц,
в 2000 году она составляла почти половину всего населения. За данный период эта
доля уменьшилась и составила в 2009 году 0,1 %.
Для того чтобы более подробно изучить
дифференциацию доходов необходимо построить и проанализировать вариационный ряд
распределения населения по величине среднедушевых денежных доходов в 2009 году.
Найдём выборочную среднюю по формуле:
Она равняется 8799,55.
Мода М0 - значение признака, имеющее
наибольшую частоту в статистическом ряду распределения. Здесь М0 = 12500,05.
Медиана Ме - это такое значение признака, которое разделяет ранжированный ряд
распределения на две равные части - со значениями признака меньше медианы и со
значениями признака больше медианы. Для нахождения медианы, нужно отыскать
значение признака, которое находится на середине упорядоченного ряда. Ме =
4000,05.
Таблица 4 - Распределение общего
объема денежных доходов населения Пензенской области за период 2003-2012 гг., в
процентах
|
2003
|
2004
|
2005
|
2006
|
2007
|
2008
|
2009
|
2010
|
2011
|
2012
|
|
Денежные
доходы - всего, % в том числе по 20-процентным группам населения: первая (с
наименьшими доходами) вторая третья четвертая пятая Коэффициент фондов, в
разах Коэффициент Джини
|
100
7,5 12,4 16,9 23,1 40,1 8,4 0,32
|
100
7,4 12,3 16,9 23,1 40,3 8,6 0,32
|
100
7,1 12,0 16,6 23,1 41,2 9,3 0,33
|
100
6,8 11,7 16,4 23,1 42,0 9,9 0,34
|
100
6,3 11,1 15,9 22,9 43,8 11,7 0,37
|
100
6,1 11,0 15,8 22,9 44,2 12,2 0,37
|
100
6,0 10,8 15,7 22,9 44,6 12,5 0,38
|
100
6,1 10,9 15,8 22,9 44,3 12,3 0,37
|
100
6,1 10,9 15,8 22,9 44,3 12,2 0,37
|
100
5,9 10,715,722,8 45,1 13,6 0,38
|
Коэффициент концентрации доходов характеризует
степень неравномерности распределения доходов между отдельными группами
населения. Коэффициент Джини изменяется в пределах от 0 до 1. При равномерном распределении
этот коэффициент стремится к нулю, а чем выше поляризация доходов в обществе,
тем он ближе к единице. По данным таблицы 4 можно сделать вывод, что с каждым
годом поляризация доходов в обществе становится всё выше. Если в 2002 году
коэффициент Джини составлял 0,322, то в 2012 году - уже 0,389, что
свидетельствует о довольно высоком уровне расслоения общества по доходам.
Расчет коэффициента Джини производится на основании данных о распределении
населения по уровню среднедушевого совокупного дохода. Вся совокупность
получателей доходов делится на 5 равных групп (квинтельных) и определяется,
какой долей дохода владеет каждая группа населения.
На графике это изображается диагональю квадрата
и рассматривается как линия равномерного распределения. При неравномерном
распределении "линия концентрации" представляет собой вогнутую вниз
кривую (кривая Лоренца). Чем больше отклонение кривой от диагонали квадрата,
тем выше поляризация доходов общества. Коэффициент Джини рассчитывается как
отношение площади фигуры, образуемой кривой Лоренца и линией равномерного
распределения, к площади треугольника ниже линии равномерного распределения.
Определяется с целью изучения характера изменений во времени в распределении
доходов общества. Для измерения фактического распределения доходов также
используют «кривую Лоренца», показывающую, какая доля совокупного дохода
приходится на каждую группу населения, что позволяет судить об уровне
экономического неравенства в данной стране.
Кривая Лоренца - кривая на графике, отражающая
степень распределения среди населения какой-либо переменной, обычно доходов или
богатства. Она строится путем нанесения показателей суммарного процента
населения (например, семей) и суммарного процента, к примеру, дохода, начиная
от самого низкого и кончая максимально высоким. Полное равенство будет
представлено прямой, которая идет между осями под углом в 45°. Степень
отклонения от 45° представляет степень неравенства в распределении доходов.
Масштабы этого неравенства определяются при помощи коэффициента Джини, который
представляет собой отношение площади между реальной кривой и линией, идущей под
углом в 45°, к площади, находящейся под линией, идущей под углом в 45°.
Коэффициент фондов (коэффициент дифференциации доходов) характеризует степень
социального расслоения и определяется как соотношение между средними уровнями
денежных доходов 10% населения с самыми высокими доходами и 10% населения с
самыми низкими доходами. В таблице 4 данный коэффициент равен в 2012 году 13,6,
что означает, что среднедушевой доход 10% наиболее высокодоходного населения в
13,6 раз больше, чем доход у 10% населения с наименьшими доходами. По данным
таблицы видно, что этот показатель растет на протяжении всего исследуемого
периода.
.3 Показатели статистики бедности
Одной из характеристик неравенства в
распределении доходов является показатель бедности. К бедным слоям населения
относят тех, чьи доходы ниже границы бедности. В качестве границы бедности
используется прожиточный минимум, т.е. уровень дохода, обеспечивающий приобретение
научно обоснованного минимального набора материальных благ и услуг для
поддержания жизнедеятельности человека. Прожиточный минимум включает стоимость
минимальной продовольственной корзины, минимально необходимые затраты на
приобретение непродовольственных товаров, платных услуг, а также расходов на
уплату налогов и других обязательных платежей. Основу прожиточного минимума
составляют натуральные сборы продуктов питания по минимальным нормам
потребления и сбалансированные по калорийности и химическому составу пищевых
веществ.Величина прожиточного минимума рассчитывается Госкомстатом России на
душу населения в целом по стране и по субъектам Федерации с использованием
утвержденных потребительских корзин и потребительских цен на продукты питания,
непродовольственные товары и услуги, а также данных о расходах населения по
обязательным платежам и сборам. Расчеты проводятся по всему населению и по
основным социально-демографическим группам. Величина прожиточного минимума
утверждается правительством, а в субъектах Федерации - органами исполнительной
власти.
Прожиточный минимум в Российской Федерации
регулируется федеральным законом, который вступил в силу с 1 января 1998 г. и
Методическими рекомендациями по определению минимальной потребительской корзины
для основных социально-демографических групп населения в целом по Российской
Федерации и ее субъектам, утвержденными Правительством РФ в феврале 1999
г.Основу прожиточного минимума составляют натуральные наборы продуктов питания
по минимальным нормам потребления и сбалансированные по калорийности и
химическому составу пищевых веществ.
Минимальный набор продуктов питания обеспечивает
потребление в среднем на душу в сутки 73,6 г белков (в том числе 28,9 г
животного происхождения), 56,8 г жиров, 353,3 г углеводов, энергетическая
ценность минимальной продовольственной корзины - 2236,7 ккал. Стоимость
минимальной продовольственной корзины Госкомстатом России определяется по
средним ценам продаж товаров предприятиями торговли, полученными на основе
регистрации цен на товары-представители. Такие корзины в России формируются для
различных природно-климатических зон(вся территория страны разделена на 8 зон).
Расчет величины продовольственной части прожиточного минимума производится по
домохозяйству в целом в зависимости от числа его членов, их пола и возраста.
После расчета затрат на питание к стоимости минимальной продовольственной
корзины добавляются расходы на непродовольственные товары, платные услуги и
уплату налогов и взносов. Доля стоимости продовольственной корзины в
прожиточном минимуме составляет 68,3%. Нормативы доли стоимости
продовольственных товаров были установлены на уровне 19,1%, услуг - 7,4%,
налогов - 5,2%. Досчет прожиточного минимума до полной величины производится в
соответствии с этими соотношениями. Рассмотрим динамику величины прожиточного
минимума в Пензенской области, представленную в таблице 5.
Таблица 5 - Величина прожиточного минимума в
Пензенской области в 2000 - 2012 гг. (в среднем на душу населения; рублей в
месяц)
|
Годы
|
Всё
население
|
из
него по социально-демографическим группам
|
Соотношение
среднедушевых денежных доходов населения с величиной прожиточного минимума,
процентов
|
|
|
трудоспособное
население
|
пенсионеры
|
дети
|
|
|
2000
2005 2006 2007 2008 2009 2010 2011 2012
|
1067
2444 2896 3321 3982 4360 4923 5487 5513
|
1169
2695 3152 3596 4321 4721 5319 5941 6011
|
802
1890 2319 2696 3198 3519 3993 4449 4420
|
1088
2376 2785 3167 3838 4229 4814 5387 5382
|
118,1
179,5 195,4 241,0 257,9 265,4 258,0 261,0 259,0
|
Исходя из данных таблицы 5 можно сделать вывод о
том, что величина прожиточного минимума за период 2000-2012 гг. постоянно
увеличивается. Данный показатель увеличился на 4446 рублей в месяц и в 2012
году составил 5513 рублей в месяц, что в процентном отношении к 2000 году составляет
почти 20%. Подобная тенденция роста прожиточного минимума характерна для
трудоспособного населения. По сравнению с 2011 годом прожиточный минимум
трудоспособного населения увеличился на 70 руб. Прожиточный минимум снизился у
пенсионеров - на 29 руб., а у детей - на 5 руб. в месяц.
Необходимо также рассмотреть долю населения с
низкими доходами, так как эти данные являются наиболее общими показателями,
характеризующими бедность. Изучим этот показатель с помощью таблицы 6.
Таблица 6 - Численность населения Пензенской
области с денежными доходами ниже величины прожиточного минимума и дефицит
денежного дохода за период с 2000 - 2011 гг.
|
2000
|
2005
|
2006
|
2007
|
2008
|
2009
|
2010
|
2011
|
2012
|
|
Численность
населения с денежными доходами ниже величины прожиточного минимума:
|
|
|
|
|
|
|
|
|
|
|
тыс.
человек
|
756,1
|
369,9
|
325,3
|
238,7
|
217,9
|
206,0
|
216,3
|
213,4
|
182,2
|
|
в
процентах от общей численности населения
|
49,4
|
26,0
|
23,1
|
17,1
|
15,7
|
14,9
|
15,5
|
15,4
|
13,2
|
|
Дефицит
денежного дохода:
|
|
|
|
|
|
|
|
|
|
|
млн.
руб.
|
253,8
|
263,8
|
275,1
|
232,3
|
254,8
|
265,4
|
313,1
|
343,7
|
297,2
|
|
в
процентах от общего объёма денежных доходов населения
|
13,8
|
4,2
|
3,4
|
2,1
|
1,8
|
1,7
|
1,8
|
1,8
|
1,4
|
На основе данных, приведенных в таблице 6,
нетрудно заметить, что численность населения с денежными доходами ниже величины
прожиточного минимума в период 2000-2012 гг. постепенно снижалась и в 2012 году
составила 182,2 тыс. человек, что составляет 13,2 % от общей численности
населения.
Посмотрим динамику численности населения с
денежными доходами ниже величины прожиточного минимума в 2000-2012 годах на
графике.
Таким образом, мы видим, что численность
населения Пензенской области с денежными доходами ниже величины прожиточного
минимума за период 2000-2012 гг. снижается, следовательно, можно говорить о
повышении благосостояния.
.4 Питание населения как объект статистического
наблюдения
Один из ключевых объектов статистического
наблюдения за потреблением населения - это питание, которое является важнейшим
фактором, определяющим здоровье населения. Правильное питание обеспечивает
нормальный рост и развитие детей, способствует профилактике заболеваний,
продлению жизни людей, повышению их работоспособности. И наоборот,
неполноценное питание - недостаточное потребление пищевых веществ: белков,
витаминов, макро- и микроэлементов (кальция, йода, железа, фтора и др.) или
нерациональное их соотношение - приводят к ухудшению показателей здоровья
населения. Исходя из этого, продукты питания относятся к предметам первой
необходимости.
Необходимые для изучения питания населения
данные получают в настоящее время из двух основных источников. Во-первых,
производятся расчеты потребления населением основных продуктов питания на
основании данных баланса ресурсов и использования сельскохозяйственных
продуктов, полученных от предприятий и организаций перерабатывающей
промышленности, сельского хозяйства, торговли; данных статистики
внешнеэкономических связей, домашних хозяйств и других сведений об источниках
образования продовольственных ресурсов и направлениях их использования.
Эти данные дают общую картину в части душевого
потребления продуктов питания по населению страны в целом и территориальным
единицам без дифференциации показателей по отдельным социально-экономическим
группам и имеют в связи с этим ограниченные аналитические возможности.
Во-вторых, источником более детальной информации
являются сведения о потреблении продовольственных товаров, полученные на основе
обследования бюджетов домашних хозяйств. Потребление продуктов питания
рассчитывается в среднем на одного члена домашнего хозяйства, как по отдельным
продуктам, так и по их группам: мясо и мясопродукты; молоко и молочные
продукты; яйца; рыба и рыбопродукты; сахар; картофель; хлеб и хлебные продукты.
Уровень потребления исчисляется в натуральных показателях - килограммах, литрах
и штуках, в пересчете на первичный продукт: молочные продукты - на молоко;
мясные продукты - на мясо; рыбные - на рыбу; сахар и кондитерские изделия - на
сахар; хлебные продукты - на муку.
Обратимся к таблице 7.
Таблица 7 - Потребление основных продуктов
питания в домашних хозяйствах Пензенской области в среднем на потребителя в
год, кг
|
2003
|
2004
|
2005
|
2006
|
2007
|
2008
|
2009
|
2010
|
2011
|
|
Хлеб
и хлебные продукты
|
147,7
|
134,0
|
130,7
|
134,9
|
121,6
|
118,2
|
117,0
|
124,8
|
116,8
|
|
Картофель
|
94,9
|
89,5
|
78,2
|
71,0
|
71,4
|
65,1
|
63,2
|
65,4
|
62,0
|
|
Овощи
и бахчевые
|
103,6
|
116,2
|
108,8
|
106,3
|
104,3
|
109,6
|
107,7
|
108,1
|
109,8
|
|
Фрукты
и ягоды
|
33,3
|
40,1
|
41,3
|
45,8
|
55,0
|
59,1
|
59,1
|
69,8
|
75,7
|
|
Мясо
и мясные продукты
|
60,4
|
62,9
|
61,8
|
66,8
|
68,8
|
68,2
|
64,4
|
81,1
|
90,5
|
|
Молоко
и молочные продукты
|
264,7
|
259,1
|
262,9
|
262,0
|
258,0
|
266,0
|
260,1
|
258,4
|
274,4
|
|
Яйца
|
236
|
241
|
250
|
259
|
270
|
265
|
252
|
237
|
248
|
|
Рыба
и рыбные продукты
|
18,1
|
18,8
|
21,2
|
20,8
|
21,2
|
23,0
|
22,8
|
25,4
|
28,2
|
|
Сахар
и кондитерские изделия
|
43,0
|
40,5
|
38,5
|
36,6
|
36,5
|
35,1
|
32,6
|
36,8
|
37,1
|
|
Масло
растительное и другие жиры
|
10,7
|
10,9
|
10,2
|
12,0
|
11,3
|
11,2
|
11,5
|
11,0
|
11,7
|
Рациональные нормы потребления: хлеб и хлебные
продукты 90-105 кг, картофель 95-100 кг, овощи и бахчевые 120-140 кг, фрукты и
ягоды 90-100 кг, мясо и мясо продукты 70-75 кг, молоко и молочные продукты
320-340 кг, яйца 260 кг, рыба и рыбные продукты 18-22 кг, сахар и кондитерские
изделия 24-28 кг, масло растительное и другие жиры 10-12 кг. Зная рациональные
нормы потребления можно сделать вывод о том, что потребление картофеля, овощей
и бахчевых, фруктов и ягод, молока и молочных продуктов ниже рациональных норм
потребления. Потребление мяса и мясных продуктов, яиц, рыбы и рыбных продуктов,
масла и других растительных жиров находится в пределах рациональных норм. Выше
рациональных норм потребление хлеба и хлебных продуктов, сахара и кондитерских
изделий.
Пронаблюдаем структуру расходов на потребление
продуктов питания в Пензенской области. Для этого рассмотрим таблицу 8.
Таблица 8 - Структура потребительских расходов
домашних хозяйств в Пензенской области за период 2006-2012 гг., в % к итогу
|
2006
|
2007
|
2008
|
2009
|
2010
|
2011
|
2012
|
|
Потребительские
расходы - всего, в т.ч.:
|
100
|
100
|
100
|
100
|
100
|
100
|
100
|
|
Продукты
питания и безалкогольные напитки
|
41,6
|
35,4
|
37,2
|
36,2
|
38,5
|
38,1
|
37,1
|
|
Из
них:
|
|
|
|
|
|
|
|
|
Продукты
питания, в т.ч.:
|
41,0
|
33,6
|
35,5
|
34,5
|
36,5
|
36,4
|
34,4
|
|
Хлебобулочные
изделия и крупы
|
7,7
|
6,0
|
6,6
|
6,3
|
6,2
|
5,9
|
5,6
|
|
Мясо
|
13,1
|
10,9
|
11,0
|
10,7
|
11,6
|
11,6
|
11,5
|
|
Рыба,
морепродукты
|
2,7
|
2,5
|
2,5
|
2,7
|
2,6
|
2,6
|
2,7
|
|
Молочные
изделия, сыр и мясо
|
5,1
|
4,8
|
5,2
|
5,0
|
5,2
|
5,0
|
5,9
|
|
Масла
и жиры
|
2,0
|
0,9
|
1,9
|
1,7
|
1,4
|
1,4
|
0,7
|
|
Фрукты
|
2,3
|
2,2
|
2,3
|
2,2
|
2,7
|
2,7
|
2,9
|
|
Овощи
|
1,7
|
1,8
|
2,0
|
1,7
|
2,0
|
2,4
|
1,6
|
|
Сахар,
джем, мед, шоколад и конфеты
|
4,1
|
2,9
|
2,9
|
3,0
|
3,7
|
3,8
|
3,2
|
|
Другие
продукты питания
|
2,3
|
1,0
|
1,1
|
1,2
|
1,1
|
1,0
|
0,3
|
|
Безалкогольные
напитки
|
0,6
|
1,8
|
1,7
|
1,7
|
2,0
|
1,7
|
2,7
|
Исследовав данные таблицы 8, можно утверждать,
что расходы населения Пензенской области на покупку продуктов питания носят
довольно стабильный характер, год от года изменения незначительные.
Подробнее остановлюсь на динамике потребления
молока и молочных продуктов, т.к. это очень важные продукты в жизни человека.
Молоко содержит много полезных веществ, витаминов и минералов. В молоке
содержится лактоза, необходимая для работы сердца, печени, почек. Из молока и
молочных продуктов организм получает необходимый ему кальций. Потребление
молока и молочных продуктов на протяжении периода 2003-2011 гг. носит довольно
стабильный характер (изменения незначительные).С 2008 г на фоне мирового
финансового кризиса произошло замедление темпов прироста реальных доходов
населения, в результате чего ограниченный спрос стал одним из факторов,
сдерживающих дальнейшее развитие молочного рынка.
Рассмотрим динамику потребления молока и
молочных продуктов в Пензенской области в 2003-2011 гг.
Для более подробного изучения динамики
потребления молока и молочных продуктов необходимо построить динамический ряд.
Далее провести его анализ с расчётом цепных и базисных показателей динамики,
механических и аналитических показателей выявления тенденции.
Таблица 9 - Выявление тенденции в потреблении
домашними хозяйствами Пензенской области молока и молочных продуктов в среднем
на потребителя за 2003-2011 гг.
|
Годы
|
Потребление
молока и молочных продуктов в среднем на потребителя, кг в год
|
Абсолютный
прирост
|
Темп
роста, %
|
Темп
прироста, %
|
Абсолютный
процент прироста
|
|
|
цепной
|
базисный
|
цепной
|
базисный
|
цепной
|
базисный
|
264,7
259,1 262,9 262,0 258,0 266,0 260,1 258,4 274,4
|
-
-5,6 3,8 -0,9 -4 8 -5,9 -1,7 16
|
-
-5,6 -1,8 -2,7 -6,7 1,3 -4,6 -6,3 9,7
|
-
98 101 100 98 103 98 99 106
|
-
98 99 99 97 100 98 98 104
|
-
-2 1 0 -2 3 -2 -1 6
|
-
-2 -1 -1 -3 0 -2 -2 4
|
-
-0,02 0,01 0 -0,02 0,03 -0,02 -0,01 0,06
|
Анализируя данные таблицы 9 можно убедиться, что
на протяжении всего периода с 2003 по 2011 гг. абсолютный прирост потребления
молока и молочных продуктов как повышался, так и понижался.
Для выявления тенденции в динамических рядах
используются некоторые методы. Суть их заключается в том, что сглаживается
влияние случайных факторов и на этом фоне влияние основных факторов проявляется
более отчётливо. К механическим методам выравнивания относятся методы
укрупнения периодов и скользящих средних.
Проведём расчёт среднего потребления домашними
хозяйствами молока и молочных продуктов методом укрупнения периодов и
скользящих средних для выявления тенденции в динамике потребления.
Обратимся к таблице 10.
Таблица 10 - Динамика потребления молока и
молочных продуктов домашними хозяйствами Пензенской области за период 2003-2011
гг.
|
Год
|
Потребление
молока и молочных продуктов в среднем на потребителя, кг в год
|
Выравнивание
методом укрупнения периодов
|
Выравнивание
методом скользящей средней
|
|
|
|
|
|
|
сумма
потребления
|
среднее
3-х летнее потребление на потребителя, кг в год
|
суммы
по скользящим 3-х летним интервалам
|
скользящие
средние, кг в год
|
|
|
|
|
|
|
|
|
|
|
|
|
|
|
|
|
|
|
|
2003
|
264,7
|
|
|
|
|
|
2004
|
259,1
|
786,7
|
262,2
|
786,7
|
262,2
|
|
2005
|
262,9
|
|
|
784
|
261,3
|
|
2006
|
262,0
|
|
|
782,9
|
261
|
|
2007
|
258,0
|
1052
|
350,7
|
1052
|
350,7
|
|
2008
|
266,0
|
|
|
784,1
|
261,3
|
|
2009
|
260,1
|
|
|
784,5
|
261,5
|
|
2010
|
258,4
|
792,9
|
264,3
|
792,9
|
264,3
|
|
2011
|
274,4
|
|
|
|
|
Метод укрупнения периодов и метод скользящих
средних показывают неустойчивую тенденцию потребления домашними хозяйствами
молока и молочных продуктов.
Наряду с методами укрупнения периодов и
скользящих средних широкое применение получил метод аналитического выравнивания
динамического ряда или метод наименьших квадратов. Суть этого метода
заключается в том, что тенденция развития описывается в виде математического
уравнения, при этом должно соблюдаться условие, чтобы сумма квадратов
отклонений выровненных уравнений от фактических была минимальной. Для
выравнивания ряда могут быть использованы различные функции. Та из моделей,
которая имеет минимальное значение средней ошибки аппроксимации или
максимальное значение величины достоверности аппроксимации, наиболее точно
воспроизводит тенденцию развития данного явления.
Таблица 11 - Трендовая модель потребления молока
и молочных продуктов домашними хозяйствами Пензенской области в 2003-2011 гг.
|
Наименование
функции
|
Вид
модели
|
Величина
достоверности аппроксимации
|
|
1.
Линейная 2. Степенная 3. Логарифмическая 4. Экспоненциальная 5.
Полиномиальная
|
y = 0,585x+259,9 y
= 261,1x0,004
y
= 1,198Ln(x)+261,1
y
= 259,9e0,002x y
= 0,43x2+3,714x+267,8
|
0,096
0,026 0,028 0,093 0,364
|
Наиболее удачной здесь будет являться
полиномиальная функция, которая имеет вид y
=0,43x2+3,714x+267,8.Величина достоверности аппроксимации в данном случае будет
максимальной - 0,364. Для наглядного представления отобразим данную трендовую
модель на рисунке.
.5 Потребление непродовольственных товаров и
услуг
Границы потребления непродовольственных товаров
и услуг гораздо шире, чем продуктов питания. Они зависят от множества факторов
и этапов жизненного цикла человека и его семьи. Это возраст, пол и уровень
образования, характер трудовой деятельности и образ жизни, семейное положение и
состояние здоровья; имущественная обеспеченность и текущие доходы; степень развития
тех или иных потребностей и возможности их реализации; климатические условия и
национальные особенности потребления и т.д. Границы статистического изучения и
группировочные признаки потребления непродовольственных товаров могут
существенно различаться в зависимости от конкретных задач анализа.
Наиболее общие задачи статистики потребления
непродовольственных товаров и услуг сводятся к получению информации об их
уровне и динамике, распределении между отдельными группами населения, о доле
затрат на них в общей сумме потребительских расходов в расчете на душу
населения или на домашнее хозяйство (100 домашних хозяйств).Основными
источниками информации о потреблении населением непродовольственных товаров
являются данные статистики розничного товарооборота и выборочных бюджетных
обследований домашних хозяйств. В свете поставленных задач розничный
товарооборот выступает как канал реализации платежеспособного спроса населения,
и поэтому его стоимостные и натуральные показатели используются для оценки на
макроуровне потребления непродовольственных товаров. К числу таких показателей
относятся:
• продажа потребительских товаров в розничной
торговле в текущих и сопоставимых ценах;
• товарная структура розничного товарооборота и
физические объемы продаж непродовольственных товаров;
• потребление важнейших непродовольственных
товаров в расчете на душу населения;
• продажа основных потребительских товаров
длительного пользования и обеспеченность ими населения.
Эти показатели позволяют оценить на макроуровне
уровень и динамику потребления непродовольственных товаров населением страны и
отдельных регионов, сопоставить фактическое потребление с соответствующими
нормативными показателями минимального и рационального потребления, выявить
тенденции в сдвигах структуры потребления и динамике платежеспособности
населения, установить покупательские предпочтения и адекватность
потребительского рынка по объему, ассортименту и качеству предлагаемых
непродовольственных товаров потребностям населения.
Изменения объемов и структуры потребления
отдельных видов непродовольственных товаров могут изучаться и в связи с
инфляционными процессами или ростом (снижением) потребительских цен на
отдельные товары, а также в связи с появлением на потребительском рынке их
новых образцов. При предметно-количественном анализе потребления
непродовольственных товаров они группируются по различным признакам, в основном
по их назначению и сроку службы. В отечественной практике наиболее широко
применяется следующая группировка: одежда (включая трикотажные и меховые
изделия, белье, ткани, головные уборы); обувь (кожаная, текстильная, резиновая
и т.д.); предметы личной гигиены и личного обихода; фармацевтические и
медицинские товары; товары бытовой химии и хозяйственного назначения; табачные
изделия; мебель; часы; кухонная и столовая посуда, домашнее оборудование;
теле-радио-товары; транспортные средства и запасные части; основное
оборудование и сельскохозяйственный инвентарь; топливо и другие
горюче-смазочные материалы; строительные материалы; печатные издания и канцелярские
товары; предметы досугового назначения; ювелирные изделия; вычислительная
техника. Объемы потребления по каждой из перечисленных групп
непродовольственных товаров характеризуются в статистике розничного
товарооборота объемами соответствующих продаж, а в статистике бюджетов домашних
хозяйств - затратами на приобретение непродовольственных товаров, которые
отражаются в расходной части бюджета. Возможность исчислить по данным бюджетных
обследований среднюю цену покупки единицы товара позволяет определять объемы
покупок дешевых и дорогих товаров. Подобные статистические наблюдения имеют
большое значение для выявления платежеспособного спроса, формирования
перспектив развития потребительского рынка.
Обратимся к таблице 12 и с помощью нее
рассмотрим расходы населения Пензенской областина непродовольственные товары и
услуги, а также различия в расходах населения, проживающих в городской и
сельской местности.
Проанализировав данные таблицы 12, можно
утверждать, что большая часть расходов населения Пензенской области идет на
непродовольственные товары, оплату услуг, а также на алкогольные напитки. Эти
расходы составляют 58% от общего объема расходов на конечное потребление. Если
рассматривать два вида домашних хозяйств - проживающих в городской и сельской местности,
можно заметить, что жители сельской местности тратят на покупку
непродовольственных товаров и оплату услуг меньше чем жители городов (в
процентном выражении эта разница почти 17%). Это можно объяснить тем, что
сельская местность в какой-то степени изолирована от развитых торговых сетей.
Таблица 12 - Структура расходов на конечное
потребление домашних хозяйств Пензенской области в 2011 году
|
Расходы
на конечное потребление (в среднем на одного члена домашнего хозяйства в
месяц),рублей
|
В
процентах от общего объёма расходов на конечное потребление
|
|
|
расходы
на питание
|
в
том числе
|
Расходы
|
Стоимость
услуг, предоставленных работодателем бесплатно или по льготным ценам
|
|
|
|
денежные
расходы на покупку продуктов питания
|
стоимость
натуральных поступлений продуктов питания
|
из
нее
|
на
непродовольственные товары
|
на
алкогольные напитки
|
на
оплату услуг
|
|
|
|
|
|
|
поступлений
из личного подсобного хозяйства
|
полученных
подарков и других поступлений
|
|
|
|
|
|
Все
домашние хозяйства
|
8986,6
|
42,0
|
36,4
|
5,6
|
4,5
|
1,1
|
36,1
|
2,0
|
19,9
|
0,0
|
|
Домашние
хозяйства, проживающие:
|
|
|
|
|
|
|
|
|
|
|
|
в
городской местности
|
9688,9
|
37,7
|
34,1
|
3,6
|
2,4
|
1,2
|
39,8
|
1,8
|
20,7
|
0,0
|
|
в
сельской местности
|
7548,4
|
53,4
|
42,4
|
11,0
|
10,2
|
0,8
|
26,4
|
2,5
|
17,7
|
-
|
Обратимся к таблице 13 и рассмотрим
обеспеченность населения Пензенской области основными непродовольственными
товарами длительного пользования и сделаем соответствующие выводы.
Таблица 13 - Наличие предметов длительного
пользования в домашних хозяйствах Пензенской области за период 2000-2011 гг.
(на конец года; на 100 домохозяйств; штук)
|
Телевизоры
|
Видеомагнитофоны,
видеокамеры
|
Магнитофоны,
плееры
|
Персональные
компьютеры
|
Музыкальные
центры
|
Холодильники,
морозильники
|
Стиральные
машины
|
Электропылесосы
|
Швейные,
вязальные машины
|
|
2000
|
114
|
29
|
55
|
…
|
2
|
107
|
98
|
73
|
77
|
|
2005
|
137
|
54
|
58
|
15
|
18
|
110
|
104
|
83
|
74
|
|
2006
|
132
|
52
|
52
|
19
|
23
|
114
|
103
|
84
|
66
|
|
2007
|
146
|
54
|
51
|
25
|
27
|
125
|
106
|
86
|
63
|
|
2008
|
150
|
55
|
44
|
30
|
26
|
117
|
111
|
89
|
61
|
|
2009
|
147
|
56
|
40
|
40
|
27
|
117
|
111
|
89
|
55
|
|
2010
|
159
|
34
|
12
|
41
|
35
|
122
|
101
|
95
|
32
|
|
2011
|
160
|
38
|
20
|
47
|
40
|
122
|
101
|
89
|
37
|
По данным таблицы 13 видно, что идет заметное
снижение покупки таких товаров как швейные и вязальные машины. Также можно
заметить постоянное повышение покупки персональных компьютеров. Это можно
объяснить компьютеризацией современного общества. Покупка же других товаров
длительного пользования за данный период как увеличивается, так и уменьшается.
Далее построим трендовые модели наличия в
домохозяйствах швейных и вязальных машин. Обратимся к таблице 14.
Таблица 14 - Трендовые модели наличия у домашних
хозяйств Пензенской области швейных и вязальных машин
|
Название
функции
|
Тип
модели
|
Величина
достоверности аппроксимации
|
|
1.
Линейная
|
y
= -6,25x + 86,25
|
0,891
|
|
2.
Степенная
|
y
= 90,82x^(-0,36)
|
0,656
|
|
3.
Логарифмическая
|
y
= -20,0Ln(x) + 84,65
|
0,753
|
|
4.
Полиномиальная
|
y
= -0,470x^2 - 2,017x
+ 79,19
|
0,911
|
|
5.
Экспоненциальная
|
y
= 94,85e^(-0,11x)
|
0,819
|
Если сравнивать величины достоверности
аппроксимации можно заметить, что наибольшая величина равна 0,911, то есть
наиболее точно характеризует наличие данного товара у домохозяйств
полиномиальная функция. Ее уравнение выглядит следующим образом: y =-0,470x2 -
2,017x + 79,19. Далее отразим на графике приведенную трендовую модель. Можно
заметить постепенный спад на протяжении всего изучаемого периода наличия у
домашних хозяйств Пензенской области швейных и вязальных машин.
Из данных таблицы 13 можно заметить тенденцию к
увеличению приобретения населением персональных компьютеров. Построим трендовые
модели наличия у домашних хозяйств персональных компьютеров.
Таблица 15 - Трендовые модели наличия у домашних
хозяйств Пензенской области персональных компьютеров
|
Название
функции
|
Тип
модели
|
Величина
достоверности аппроксимации
|
|
1.
Линейная
|
y=5,535x+8,857
|
0,981
|
|
2.
Степенная
|
y
= 13,65x^0,612
|
0,967
|
|
3.
Логарифмическая
|
y
= 16,78Ln(x) +10,55
|
0,907
|
|
4.
Полиномиальная
|
y
=-0,059x^2+6,011x+8,142
|
0,982
|
|
5.
Экспоненциальная
|
y
= 13,25e^0,194x
|
0,965
|
Сравнивая величины достоверности аппроксимации,
видим, что наиболее точно характеризующей динамику и тенденцию наличия
персональных компьютеров у населения отражает полиномиальная функция, которая
имеет вид: y=-0,059x2+6,011x+8,142. Величина достоверности аппроксимации здесь
равна 0,982. Отразим на графике приведенную трендовую модель. Мы видим, что
тенденция наличия персональных компьютеров у населения с последующими годами
постепенно повышается.
Глава 3. Прогнозирование потребления
Процесс прогнозирования достаточно актуален в
настоящее время. Сфера его применения очень широка. Прогнозирование широко
используется в экономике, а именно в управлении. Статистические методы
прогнозирования охватывают разработку, изучение и применение современных
математико-статистических методов прогнозирования на основе объективных данных
(в том числе непараметрических методов наименьших квадратов с оцениванием
точности прогноза, адаптивных методов, методов авторегрессии и других);
развитие теории и практики вероятностно-статистического моделирования
экспертных методов прогнозирования, в том числе методов анализа субъективных
экспертных оценок на основе статистики нечисловых данных; разработку, изучение
и применение методов прогнозирования в условиях риска и комбинированных методов
прогнозирования с использованием совместно экономико-математических и
эконометрических (как математико-статистических, так и экспертных) моделей.
Научная база статистических методов
прогнозирования - прикладная статистика и теория принятия решений. На основе
выявленных особенностей и закономерностей изменения явлений в прошлом
происходит стремление предугадать поведение ряда в будущем, то есть различные прогнозы
строятся путем экстраполяции (продления) рядов. Экстраполяция рядов динамики -
это распространение тенденций, установленных в прошлом, на будущий период.
Применение экстраполяции в прогнозировании базируется на следующих
предпосылках:
. развитие исследуемого явления в целом
описывается плавной кривой;
. общая тенденция развития явления в прошлом и
настоящем не претерпит серьезных изменений в будущем
Математические методы экстраполяции сводятся к
определению значений, которые будет принимать показатель, если известен ряд
значений в прошлые моменты времени. В ряде случаев используется только
несколько последних точек ряда динамики. Если их две, то экстраполяция сводится
к проведению через них прямой и называется линейной. Во многих случаях производится
выравнивание рядов динамики в целях устранения нехарактерных для них
отклонений. Среди наиболее распространенных методов решения этой задачи - метод
наименьших квадратов. Модели экстраполяции успешно используются в рамках
среднесрочного горизонта прогнозирования (период, для которого прогноз
действителен с заданной точностью), но не обеспечивают надежных результатов на
более отдаленную перспективу.
Рассмотрим следующие элементарные методы
экстраполяции:
по среднему абсолютному приросту, по среднему
темпу роста на основе выявленного тренда. Данное прогнозирование может быть
выполнено в случае, если есть уверенность считать общую тенденцию линейной, то
есть метод основан на предположении равномерного изменения уровней.
,
Где
- экстраполируемый уровень;
i+t - номер
уровня (года);
i- номер
последнего уровня 11 года) исследуемого периода, за который рассчитан средний
абсолютный прирост;
t - срок
прогноза.
- по среднему темпу роста. Прогнозирование
осуществляется в том случае, когда есть основания считать, что общая тенденция
ряда характеризуется показательной кривой.
при прогнозировании на основе
трендовой модели необходимо убедиться в том, что выявленная тенденция является
устойчивой во времени. Для этого рассчитывается коэффициент корреляции:
Если r>0,7, то
тенденция считается устойчивой, значит можно делать прогноз путем подстановки в
уравнение тренда порядкового номера года, на который делается прогноз.
Таким образом, экстраполяцию ряда
динамики можно осуществлять различными способами. Но любому прогнозированию в
виде экстраполяции ряда должен предшествовать анализ «длительных» рядов
динамики для определения тенденций. А так как в действительности тенденция
развития, в свою очередь, может изменяться, то данные, полученные путем
экстраполяции ряда, надо рассматривать как вероятностные оценки.
Начнем с прогнозирования наличия у
домашних хозяйств швейных и вязальных машин. Воспользуемся приведенной ранее
полиномиальной моделью, которая имеет уравнение y = -0,470x2 - 2,017x + 79,19.
Вместо х необходимо подставлять номера нужным нам лет для прогнозирования.
Таким образом, получаем, что в 2012, 2013, 2014 году население будет
приобретать соответственно 26, 23, 20 швейных и вязальных машин. Отобразим
полученную тенденцию наличия у домашних хозяйств Пензенской области швейных и
вязальных машин на графике.
Из графика видим, что приобретение
населением швейных и вязальных машин в будущем будет так же постепенно
снижаться.
Далее делаем прогноз наличия у
домашних хозяйств Пензенской области персональных компьютеров по приведенной
ранее полиномиальной модели, уравнение которой выглядит так: y
=-0,059x2+6,011x+8,142.
Следует так же, как и в предыдущем
случае подставлять поочередно порядковые номера лет. Таким образом, количество
компьютеров будет в 2012 году - 57, в 2013 г. - 67, в 2014 г. - 77. Отобразим
эту зависимость на графике.
Проанализировав данный рисунок, мы
видим устойчивую тенденцию к увеличению наличия в домашних хозяйствах
Пензенской области персональных компьютеров. Необходимо так же заметить, что с
каждым годом рост идет все более и более интенсивно.
Исследование проблем оценки уровня и качества
жизни населения занимаются ученые и государственные деятели на протяжении
многих лет. Уровень жизни занимает центральное место в социально-экономической
жизни общества. В цивилизованных странах главная задача государства - это обеспечение
достойного уровня и качества жизни населения.
Исследования, проводимые мной, в курсовой работе
позволили сделать следующие выводы. Доходы населения Пензенской области на
протяжении последних 11 лет увеличиваются и в 2011 году они составили 234117614
тыс. рублей, что на22499933 тыс. рублей выше, чем в предыдущем году и
составляют почти 91% к 2010 году. Необходимо заметить, что основную часть
доходов составляют доходы от собственности, предпринимательской деятельности.
Среднедушевые ежемесячные денежные доходы населения Пензенской области также
возрастают. Если сравнивать 2000 год, где доход составлял 1260 руб. и 2011 год,
где доход составил 14135 руб., видно, что в этот период ярко выражена тенденция
к увеличению доходов. Доходы населения увеличились почти в 11 раз, в денежном
выражении это составляет 12875 руб. Размер среднедушевого дохода в 2012 году по
сравнению с 2011 годом возрос на 1591 руб. и составил почти 90% к предыдущему
году. Исследования позволили выявить, что с каждым годом поляризация доходов в
обществе становится всё выше. Если в 2002 году коэффициент Джини составлял
0,322, то в 2012 году - уже 0,389, что свидетельствует о довольно высоком
уровне расслоения общества по доходам.
Коэффициент фондов характеризует степень
социального расслоения и определяется как соотношение между средними уровнями
денежных доходов 10% населения с самыми высокими доходами и 10% населения с
самыми низкими доходами. В 2012 году этот коэффициент равен 13,6, что означает,
что среднедушевой доход 10% наиболее высокодоходного населения в 13,6 раз
больше, чем доход у 10% населения с наименьшими доходами. Этот показатель
растет на протяжении всего исследуемого периода. Величина прожиточного минимума
за период 2000-2012 гг. так же увеличивается. Данный показатель увеличился на
4446 рублей в месяц и в 2012 году составил 5513 рублей в месяц, что в
процентном отношении к 2000 году составляет почти 20%. Подобная тенденция роста
прожиточного минимума характерна для трудоспособного населения, пенсионеров,
детей. По сравнению с 2011 годом прожиточный минимум трудоспособного населения
увеличился на 70 руб., уменьшился для пенсионеров - на 29 руб., детей - на 4
руб. в месяц. Численность населения с денежными доходами ниже величины
прожиточного минимума в период 2000-2012 гг. постепенно снижалась и в 2012 году
составила 182,2 тыс. человек, что составляет 15,6 % от общей численности
населения.
Исходя из результатов исследований, нельзя
утверждать, что уровень жизни населения в Пензенской области низкий. Но
правительство нашей страны, и Пензенской области в частности, все-таки должно
выполнять ряд мер по повышению существующего уровня жизни населения.
Высокий уровень жизни можно обеспечить, повышая
доходы населения. Достойная зарплата решит хотя бы частично проблему занятости.
Повышение доходов повлечет повышение расходов, следовательно, уровень жизни
повысится. Далее следует обратить внимание на меры по снижению безработицы,
повышению уровня занятости населения путем создания благоприятных условий
труда, сохранения длительной трудоспособности (снижение смертности, повышение
уровня здоровья населения), повышение профессионально-квалификационного уровня
основной части специалистов, особенно высококвалифицированных работников, во
всех отраслях народного хозяйства. К числу основных направлений повышения
уровня жизни следует отнести необходимость ускорения темпов экономического
роста, так как развитие производства, обеспечивающее экономический рост,
определяет совокупность, уровень развития человеческих потребностей и степень
их удовлетворения через количество и качество производимой продукции, объем
получаемых доходов.
Особую важность представляют меры по сохранению
и развитию отечественного научно-технического потенциала. Достойный уровень
жизни населения государство сможет обеспечить, решив квартирный вопрос, ведь от
качества жилья во многом зависит здоровье людей, их семейное благополучие.
Особое значение следует придавать ипотеке - кредитам на покупку жилья под залог
самого этого жилья. Основой формирования здорового и деятельного общества
является состояние здоровья граждан. Граждан необходимо не только хорошо
лечить, но и хорошо учить. Для этого нужно выделить значительные суммы на
приобретение вузами и школами, активно внедряющими инновационные
образовательные программы, лабораторного оборудования, программного
обеспечения. Эти деньги должны пойти также на модернизацию учебных классов и
подготовку преподавателей. Все преобразования в сфере здравоохранения, в
социальной сфере должны быть связаны с проведением мер по повышению рождаемости
и уменьшению уровня смертности. Говоря о здоровье населения, нельзя забывать об
экологии и состоянии окружающей среды, особенно в наши дни. Для того чтобы
повысить уровень жизни населения наше правительство должно работать именно в
этих направлениях, так как именно эти компоненты являются важнейшими
составляющими уровня жизни.
Список литературы
1. Елисеева, И.И. Общая теория
статистики: учебник / И.И. Елисеева, М.М. Юзбашев - 5-е изд., переработ. и доп.
- М.: Финансы и статистика, 2004. - 655 с.
. Статистика: учебник/И.И. Елисеева,
И.И. Егорова и др.; Под ред. проф. И.И. Елисеевой. - М.: Велви, Проспект, 2003.
- 448 с.
. Минина, И.Д. Статистика:
методические указания к выполнению курсовых работ для студентов экономического
факультета по специальности 080502 - Экономика и управление на предприятии /
И.Д. Минина. - Пенза: РИО ПГСХА, 2006. - 95с.
. Минина, И.Д.
Социально-экономическая статистика: учебное пособие / И.Д. Минина. - Пенза: РИО
ПГСХА, 2004. - 159 с.
. Голуб, Л.А.
Социально-экономическая статистика: учебное пособие. /Л.А. Голуб. - М.:ВЛАДОС,
2001. - 272 с.
. Зинченко, А.П.
Сельскохозяйственная статистика с основами социально-экономической статистики /
А.П. Зинченко. - М.: Изд-во МСХА, 1998. - 423 с.
. Курс социально-экономической
статистики: учебник/под ред. проф. М.Г. Назарова. - Москва.: Финстатинформ,
2002. - 976 с.
. Измайлова Р.А. Теория статистики:
учебник/Р.А. Измайлова, В.Г. Минашкин, Н.А. Садовникова и др. - М.: Финансы и
статистика, 2003. - 656с.
. Уровень жизни населения Пензенской
области/Территориальный орган федеральной службы государственной статистики по
Пензенской области. - Пенза, 2013.
. Гурьев В.И. Основы социальной
статистики. М.: Финансы и статистика, 2009.
. Качество жизни [Электронный
ресурс].
. Гусаров В.М. Статистика: Учебное
пособие для вузов, - Москва: ЮНИТИ-ДАНА, 2005 год;
. Электронный научный журнал
«Управление экономическими системами» [Электронный ресурс]. Критерии оценки
качества жизни как основа формирования региональной социальной политики.
. Соградов А.А. Теория и методы
изучения качества населения, - Москва: «Гуманитарный фонд», 2001 год
. Жеребин В.М. Уровень жизни
населения, - Москва: ИНФРА-М, 2003 год
. Ефимова М.Р.
Социально-экономическая статистика: учебник.- М.: Высшее образование, 2009.-590
с. - (Университеты России)
Приложения
1. Выборочная средняя:
. Мода М0 - значение признака,
имеющее наибольшую частоту в статистическом ряду распределения.
. Медиана Ме - это такое значение
признака, которое разделяет ранжированный ряд распределения на две равные части
- со значениями признака меньше медианы и со значениями признака больше
медианы. Для нахождения медианы, нужно отыскать значение признака, которое
находится на середине упорядоченного ряда.
4. Абсолютный прирост:
∆yц=уi
- уi-1
∆уб=уi-
yi
. Темп роста
. Темп прироста:
Тпр=Тр - 100%
. Абсолютный процент прироста:
α = 0,01*Уi-1
8. Цепная система расчета - уровни сравниваются
друг с другом.
. Базисная система расчета - уровни сравниваются
с первым.