Статистическое изучение численности и воспроизводства сельского населения Орловской области

  • Вид работы:
    Курсовая работа (т)
  • Предмет:
    Эктеория
  • Язык:
    Русский
    ,
    Формат файла:
    MS Word
    551,61 Кб
  • Опубликовано:
    2015-01-28
Вы можете узнать стоимость помощи в написании студенческой работы.
Помощь в написании работы, которую точно примут!

Статистическое изучение численности и воспроизводства сельского населения Орловской области

Российская Федерация

Министерство сельского хозяйства

ФГБОУ ВПО

«Орловский государственный аграрный университет»

Кафедра «Статистика и экономический анализ деятельности предприятия»








КУРСОВАЯ РАБОТА

ПО СТАТИСТИКЕ

на тему:

СТАТИСТИЧЕСКОЕ ИЗУЧЕНИЕ ЧИСЛЕННОСТИ И ВОСПРОИЗВОДСТВА СЕЛЬСКОГО НАСЕЛЕНИЯ ОРЛОВСКОЙ ОБЛАСТИ








ОРЕЛ 2014

Оглавление

Введение

Глава 1. Статистические показатели, характеризующие уровень жизни населения

Глава 2. Динамика уровня жизни населения, структура доходов и расходов

Глава 3. Построение и анализ вариационного ряда по уровню номинальной оплаты труда

Глава 4. Применение статистических методов в анализе факторов, влияющих на изменение уровня жизни населения

4.1 Метод статистических группировок

4.2 Дисперсионный анализ

4.3 Корреляционный анализ

Заключение

Список использованной литературы

Приложения

Введение

Социальная статистика исследует вопросы, затрагивающие личные интересы каждого человека, с которыми связаны его благополучие, удовлетворение потребностей, реализация жизненных планов.

К числу наиболее значимых направлений исследования в социальной статистике относятся: социальная и демографическая структура населения и ее динамика, уровень жизни населения.

Изучение любого социального процесса невозможно без учета численности и структуры тех групп населения, которые в нем участвуют. Демографические процессы оказывают влияние на ход всех других общественных процессов.

В современных российских условиях, социально - экономическое развитие Орловской области, как и в целом России, проходит в условиях недостаточного с точки зрения государственных интересов демографического потенциала населения. Дефицит населения - это объективная реальность, которую необходимо учитывать в государственной политике. Неслучайно Президент Российской Федерации В.В. Путин в послании Федеральному Собранию РФ 10 мая 2011 г. назвал демографическую ситуацию самой острой проблемой в России, и в этой связи была поставлена задача по ее оздоровлению в трех направлениях: снижение смертности, эффективная миграционная политика и повышение рождаемости.

Для решения этих задач необходимо не только вести учет показателей рождаемости, смертности и миграции, но и выявлять и устранять причины, негативно влияющие на них. И это особенно важно проводить на региональном уровне, поскольку каждый регион имеет свои отличительные особенности, и факторы, оказывающие сильное влияние на демографические процессы в одном регионе, могут быть несущественными для других.

Цель курсовой работы заключается в статистической оценке демографической ситуации в Орловской области.

Для достижения поставленной цели предусматривается решение следующих задач:

·        рассмотрение источников статистических данных, основной системы статистических показателей и методов статистических исследований демографических процессов;

·        статистический анализ демографической ситуации;

·        статистическое изучение численности населения области;

·        анализ показателей воспроизводства населения

·        факторный анализ показателей движения населения,

·        статистическое прогнозирование численности населения.

Объектом исследования является население Орловской области за период 2004 - 2012 гг.

В данной курсовой работе были использованы методы демографической статистики, которая включает в себя приемы общей теории статистики, что предполагает использование системы таких методов, как, абсолютные, относительные и средние величины; динамические ряды, индексы, метод экстраполяции. В приложении к статистике населения названная система включает в себя следующие наиболее важные и поэтому распространенные в международной и национальной практике индикаторы, - общая численность на начало и конец года; среднегодовая численность населения; темпы прироста, а также абсолютные ежегодные и среднегодовые приросты этих показателей, использование метода экстраполяции и т.д.

В процессе написания курсовой работы были использованы источники следующих авторов: Г.В. Савицкой, Ефимовой М.Р., и др. данные работы составили информационную базу написания курсовой работы.

Глава 1. Статистические показатели, характеризующие уровень жизни населения

Росстатом разработана система показателей, дающих возможности оценки уровня жизни на современном этапе и сопоставления уровня жизни населения в России и других странах.


К интегральным показателям относятся:

макроэкономические индикаторы уровня жизни населения;

демографические показатели;

показатели экономической активности населения;

показатели пенсионного обеспечения

К макроэкономическим показателям, характеризующим уровень жизни, относятся следующие:

располагаемый доход домашних хозяйств;

скорректированный располагаемый доход домашних хозяйств;

реальный располагаемый доход домашних хозяйств;

фактическое конечное потребление домашних хозяйств;

индекс потребительских цен.

Под располагаемым доходом домашних хозяйств понимается сумма текущих доходов, которая может быть использована домашними хозяйствами для финансирования конечного потребления товаров и услуг или для сбережения. В эту сумму включаются доходы от производственной деятельности, от собственности и текущие доходы, полученные домашними хозяйствами в результате перераспределительных операций (текущие трансферты). Данный индикатор показывает, какой объем экономических ресурсов поступает в распоряжение населения и может быть использован им для удовлетворения своих потребностей.

Скорректированный располагаемый доход домашних хозяйств превышает располагаемый доход на величину социальных трансфертов в натуральной форме. К социальным трансфертам относятся бесплатные или предоставляемые по льготным ценам услуги в области образования, культуры, здравоохранения, социального обеспечения, жилищно-коммунального хозяйства.

Реальный располагаемый доход домашних хозяйств равен располагаемому доходу текущего периода, скорректированному на индекс потребительских цен (ИПЦ), и отражает максимальную стоимость товаров и услуг, которые могли бы приобрести домашние хозяйства на свои текущие доходы по ценам базисного периода, не прибегая к использованию своих накопленных финансовых или нефинансовых активов и не увеличивая финансовые обязательства.

Фактическое конечное потребление домашних хозяйств - это стоимость товаров и услуг, фактически приобретенных домашними хозяйствами-резидентами за счет текущих доходов для индивидуального потребления или полученных ими от государственных учреждений или некоммерческих организаций бесплатно или по льготным ценам в виде социальных трансфертов.

Индекс потребительских цен предназначен для характеристики изменения во времени общего уровня цен на товары и услуги, приобретаемые населением для непроизводственного потребления. Изменение общего уровня потребительских цен оценивается на основе сопоставления стоимости потребительской корзины (фиксированного набора товаров и услуг, наиболее часто потребляемых населением). Индексы потребительских цен исчисляются как для всего населения, так и по отдельным группам с учетом специфики их потребительских расходов (по группам "пенсионеры", "домохозяйства с доходами ниже прожиточного минимума" и др.).

Демографические показатели оценки уровня жизни играют чрезвычайно важную роль, поскольку население, с одной стороны, является объектом наблюдения при исследовании уровня жизни, а с другой стороны, отражает своими характеристиками уровень экономического и социального развития страны. В систему демографических показателей, отражающих уровень и качество жизни, включены следующие: темпы роста численности постоянного населения; ожидаемая продолжительность жизни при рождении, в том числе по полу; уровень младенческой смертности, в том числе по полу; уровень детской смертности, в том числе по полу; уровень материнской смертности; показатели миграции населения.

Показатели экономической активности включают уровень экономической активности, уровень занятости, соотношение численности занятых в экономике к численности населения, уровень безработицы.

Одной из важнейших характеристик уровня жизни является экономическое положение пенсионеров, поскольку с учетом демографического старения населения их доля в стране увеличивается. В связи с этим в систему интегральных индикаторов уровня жизни включены следующие показатели пенсионного обеспечения: численность пенсионеров, в том числе в группировке по возрасту; суммы назначенных месячных пенсий, в том числе по возрасту; средний номинальный размер назначенных пенсий; темпы роста среднего реального размера назначенных пенсий; минимальный размер пенсий.

Показатели личных доходов населения

Существуют два подхода к исследованию личных доходов населения: баланс денежных доходов и расходов населения; выборочное обследование бюджетов домашних хозяйств.

Источниками информации для составления баланса денежных доходов и расходов населения служат статистическая и финансовая отчетность субъектов экономической деятельности, являющихся единицами статистического наблюдения, а также результаты специально организованных обследований, данные налоговых служб и экспертные оценки.

В доходной части баланса отражаются следующие виды денежных доходов населения:

• оплата труда наемных работников в денежной и натуральной форме со всеми надбавками, относящимися к фонду заработной платы;

• доходы наемных работников, не относящиеся к фонду заработной платы;

• дивиденды;

• поступления от продажи продуктов сельского хозяйства предприятиями и организациями;

• пенсии, пособия, стипендии и другие поступления из финансовой системы;

• доходы населения от продажи валюты;

• доходы от предпринимательской деятельности некорпорированных предприятий, принадлежащих домашним хозяйствам;

• другие поступления.

Руководствуясь данными баланса денежных доходов и расходов населения, определяют общую сумму денежных доходов всего населения, а затем на ее основе - среднедушевой денежный доход.

Среднедушевые денежные доходы рассчитываются как отношение общей суммы денежных доходов населения за текущий период к среднегодовой численности населения за тот же период.

На основе величины совокупных денежных доходов населения проводится расчет располагаемых денежных доходов путем вычитания обязательных платежей и взносов.

Индексы реальных денежных доходов и реальных располагаемых доходов определяются путем деления соответствующих индексов денежных доходов населения в номинальном выражении на индекс потребительских цен:

Иреал.д = Ином.д / Ип.ц.

где Иреал.д - индекс реальных доходов;

Ином.д - индекс номинальных доходов;

Ип.ц. - индекс потребительских цен.

Обследование бюджетов домашних хозяйств (второй метод определения доходов населения) представляет собой специально организованное выборочное наблюдение. Единицей наблюдения служит домашнее хозяйство. Обследование проводится путем непосредственного опроса членов домашних хозяйств, вошедших в выборочную совокупность

Один из недостатков данного обследования - практически полное отсутствие в выборочной совокупности домашних хозяйств с наиболее высокими доходами, что приводит к наличию систематических ошибок показателей.

При изучении уровня жизни большое значение имеет не только размер денежных доходов, но и потенциальная возможность их использования на приобретение товаров и услуг, т.е. покупательная способность денежных доходов. Уровень покупательной способности денежных доходов может быть измерен либо количеством определенного вида товара (услуги), либо количеством фиксированного набора товаров и услуг, которые можно приобрести на сумму среднедушевого денежного дохода:

ПС=Д:Р

где ПС - покупательная способность среднедушевого денежного дохода населения в целом или отдельной группы, исчисленная в виде товарного эквивалента по конкретному товару, услуге или определенному набору товаров и услуг (например, для минимальной продовольственной корзины); Д - среднедушевой денежный доход населения в целом или отдельной его группы;

Р - средняя цена товара, услуги или стоимость определенного набора товаров и услуг.

Показатели расходов и потребления населения

Объем потребления населением материальных благ и услуг, определяемый по балансу денежных доходов и расходов населения, является наиболее обобщающим показателем потребления, поскольку по балансу может быть проанализирована структура потребления населения.

Денежные расходы населения сгруппированы следующим образом:

• покупка товаров и оплата услуг;

• обязательные платежи и добровольные взносы;

• прирост сбережений во вкладах и ценных бумагах;

• покупка недвижимости;

• расходы населения на приобретение иностранной валюты;

• деньги, отосланные по переводам.

Потребительскими расходами населения называется только та часть денежных расходов, которая направляется домашними хозяйствами непосредственно на приобретение потребительских товаров и личных услуг для текущего потребления.

Сюда входят следующие расходы:

• на покупку продуктов для домашнего питания;

• на питание вне дома;

• на покупку непродовольственных товаров (одежды, обуви, теле- и радиоаппаратуры, предметов для отдыха, транспортных средств, топлива, мебели и др.);

• на покупку алкогольных напитков;

• на оплату услуг (жилья, коммунальных, бытовых и медицинских услуг, образования, услуг учреждений культуры и др.).

При изучении объемов потребления фактическое потребление сравнивают с существующими нормативами. В качестве одного из основных нормативов выступает прожиточный минимум (минимальный потребительский бюджет), исчисляемый по различным социально-демографическим группам населения (трудоспособное население с разбивкой по полу и возрасту; пенсионеры; дети двух возрастных групп: 0-6 и 7-15 лет), а также по регионам России.

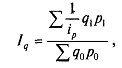
Прожиточный минимум определяется как сумма стоимостной оценки установленного набора продуктов питания, расходов на непродовольственные товары и услуги, налогов и обязательных платежей:

=B+C+D + E

где А - величина прожиточного минимума;

В - стоимость минимальной продовольственной корзины (B=∑qipi; где qi - норматив потребления i-го продукта питания, рi - его средняя цена);

С - стоимостная оценка потребления непродовольственных товаров;- стоимостная оценка расходов на платные услуги;

Е - расходы на налоги и обязательные платежи.

При расчете последних трех компонентов учитывается фактическая структура расходов в бюджетах 10% наименее обеспеченного населения.

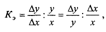
На основе информации о доходах и расходах населения рассчитывается коэффициент эластичности потребительских расходов населения по доходам, характеризующий, на сколько процентов изменяются расходы населения при изменении их доходов на 1%:

Кэл = ∆Y/Y0 / ∆X/X0

где ∆Y абсолютный прирост расходов населения по сравнению с базисным периодом;

∆X - абсолютный прирост доходов населения по сравнению с базисным периодом;0 - величина доходов в базисном периоде;0 - величина доходов в базисном периоде;

Показатели дифференциации населения по уровню жизни

В основе измерения экономической дифференциации населения лежит анализ неравенства в распределении доходов между отдельными группами населения. Для оценки дифференциации населения по уровню жизни используются следующие показатели:

распределение населения по уровню среднедушевых доходов;

коэффициенты дифференциации доходов населения;

распределение общего объема денежных доходов по различным группам населения;

коэффициент концентрации доходов (индекс Джини);

численность населения с доходами ниже черты бедности, коэффициент бедности

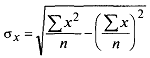
Для изучения дифференциации населения по уровню доходов используются структурные характеристики рядов распределения (среднее квадратическое отклонение, среднее квартильное отклонение, коэффициент вариации и др.)

Модальный доход Мо - это уровень дохода, встречающийся наиболее часто среди населения. Для расчета моды в рядах распределения с равными интервалами используется формула:

0 - нижняя граница модального интервала;- величина интервала;0 - частота модального интервала;  0-1 - частота интервала, предшествующего модальному;0+1 - частота интервала, следующего за модальным.

В случае неравномерного распределения признака внутри интервалов (в частности, при постепенном увеличении интервалов) частоты для расчета моды использованы быть не могут. Для сопоставления групп между собой вместо частоты используют плотность распределения (т = fi/i), характеризующая число единиц совокупности, приходящееся на единицу длины интервала. В этом случае модальный интервал определяется по максимальной плотности, а мода рассчитывается следующим образом:


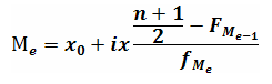
Медианный доход Me - это уровень дохода, делящий ряд распределения дохода на две равные части: половина населения имеет душевой доход, не превышающий медианное значение дохода, а другая половина - доход не менее медианного.

Для расчета медианы используется формула:


x0 - нижняя граница медианного интервала;- численность совокупности;e-1 - накопленная частота интервала, предшествующего медианному;e - частота медианного интервала.

Аналогично определяются квартили (уровни дохода, делящие совокупность на четыре равные части) и децили (уровни дохода, делящие совокупность на десять равных частей).

Степень дифференциации населения по размеру среднедушевого дохода оценивается с помощью коэффициентов дифференциации доходов. Различают два показателя дифференциации:

коэффициент фондовой дифференциации (Кф) - соотношение между средними значениями доходов сравниваемых групп населения (обычно это средние доходы, полученные 10% населения с самыми высокими и 10% населения с самыми низкими доходами):

Кф = xнаиб / xнаим

децильный коэффициент дифференциации доходов (Кd), который показывает, во сколько раз минимальный доход среди 10% наиболее обеспеченного населения превышает максимальный доход среди 10% наименее обеспеченного населения. Он исчисляется сопоставлением девятого и первого децилей:

= D9 / D1

Инструментом анализа концентрации доходов населения является кривая Лоренца и исчисляемые на ее основе индекс концентрации доходов (коэффициент Джини) и коэффициент фондовой дифференциации.

Кривая Лоренца устанавливает соответствие между численностью населения и объемом получаемого суммарного дохода. Для ее построения население разбивают на группы, равные по численности и отличающиеся уровнем среднедушевого дохода. Группы ранжируются по величине среднедушевого дохода. Для каждой группы определяются частости - доли в общей численности населения (щ = fi / ∑fi, где fi численность населения i-й группы; ∑fi - общая численность населения) и доли в общей сумме доходов xifi / ∑xifi где xi среднее значение дохода в i-й группе), а на их основе - накопленные частости. При равномерном распределении доходов десятая часть населения с самыми низкими доходами будет иметь 10% общей суммы доходов, двадцатая часть - 20% общей суммы доходов и т.д.

На рис.1 равномерное распределение доходов представлено прямой, которая соединяет начало координат и точку С.

Линия, соответствующая фактическому распределению доходов, отклоняется от линии равномерного распределения тем больше, чем значительнее неравенство в распределении доходов.

Рис.1

Коэффициент концентрации доходов G (коэффициент Джини) позволяет проанализировать степень концентрации доходов у различных групп населения и количественно оценить неравномерность их распределения. Коэффициент Джини рассчитывается по данным о накопленных частостях численности и денежного дохода населения и изменяется от 0 до 1:


где к - число интервалов группировки;

рi - доля населения, имеющего среднедушевой доход,

не превышающий верхнюю границу i-го интервала;- доля доходов i-й группы населения в общей сумме доходов, рассчитанная нарастающим итогом.

Коэффициентом бедности называют относительный показатель, исчисляемый как процентное отношение численности населения, имеющего уровень доходов ниже прожиточного минимума, к общей численности населения страны (региона).

Социальные индикаторы качества жизни населения

Для качественной характеристики условий жизни населения необходимо использовать показатели социальной статистики.

В настоящее время ООН разработана концепция уровня жизни, в которую включены следующие основные составляющие:

Здоровье:

качество системы здравоохранения;

обеспечение здоровой жизни человека.

Обеспечение получения знаний:

обучение детей;

возможность обучения личности;

возможность поддержания знаний;

удовлетворенность человека уровнем своего развития.

Сохранение и обогащение культурного уровня.

Занятость и качество трудовой жизни.

Возможность приобретения товаров и пользования услугами:

уровень личного дохода и владение собственностью;

степень равенства в распределении доходов и собственности;

качество, разнообразие и доступность услуг для личного и общественного потребления.

Состояние окружающей среды.

Личная безопасность и правосудие.

Участие в общественной жизни.

Для изучения такой составляющей уровня жизни, как здоровье населения, необходимо иметь информацию о продолжительности жизни, уровне смертности, распространенности и частоте возникновения заболеваний по населению в целом и его демографическим группам, об уровне развития лечебно-профилактической помощи населению. В свою очередь, уровень развития лечебно-профилактической помощи населению характеризуют такие показатели, как число медицинских учреждений и число больничных коек, а также численность медицинского персонала на 10 тыс. человек и др.

Для характеристики состояния образования в стране используются такие показатели, как численность и состав образовательных учреждений, численность контингента обучающихся, численность и качественный состав преподавательского персонала, обеспеченность техническими средствами обучения, библиотечными фондами и др.

Уровень образования определяется для всего населения, мужчин и женщин, для различных возрастных групп и измеряется следующими показателями:

• число грамотных на 100 человек в возрасте от 9 до 49 лет;

• число лиц, имеющих определенный уровень образования (высшее, незаконченное высшее, среднее специальное, среднее общее, неполное среднее, начальное) на 1000 человек в возрасте от 15 лет и старше.

Важными характеристиками при изучении уровня благосостояния населения являются обеспеченность его информацией, степень развития сети спортивных сооружений, учреждений культуры и искусства, отдыха и туризма.

Огромное влияние на качество жизни оказывает состояние окружающей среды. В связи с этим необходима информация о качестве среды обитания (воды, почвы, воздуха), о соответствии фактических уровней загрязнения нормативным показателям.

В последние годы XX столетия широко обсуждалась концепция человеческого развития. Авторы концепции подчеркивали необходимость создания условий, при которых жизнь людей была бы долгой, здоровой и наполненной творчеством.

Поскольку понятие человеческого развития чрезвычайно разностороннее, очень важно построить наиболее полную систему показателей.

В качестве обобщающей характеристики используется индекс человеческого развития (ИЧР), однако он не может отразить все аспекты жизнедеятельности человека. В отличие от ВНП на душу населения, который служит измерителем лишь благосостояния, экономического благополучия, ИЧР рассчитывается на основе базовых показателей (определяемых для всех стран по сопоставимой методике), каждый из которых характеризует какое-либо одно направление человеческого развития - долголетие, достигнутый уровень образования, уровень жизни. Индекс человеческого развития позволяет не только сравнивать страны и регионы, но и обосновывать приоритеты их развития.

В Докладе о развитии человеческого потенциала в Российской Федерации за 2005 г. выделяются следующие цели развития применительно к ситуации в стране.

Цель 1. Сокращение бедности и ликвидация голода:

) сократить к 2005 г. уровень общей бедности в два раза и ликвидировать экстремальную бедность;

) обеспечить бедному населению доступ к продуктам питания.

Цель 2. Обеспечение доступности образования:

) вовлечь в образование социально незащищенные группы населения;

) обеспечить доступ к дошкольному образованию детей из малообеспеченных семей и детей, проживающих в сельской местности;

) снизить дифференциацию регионов по уровню финансирования и доступности образования;

) обновить содержание образования с точки зрения практических навыков;

) переориентировать систему профессионального образования в соответствии с потребностями рынка труда.

Цель 3. Обеспечение гендерного равенства и улучшения положения женщин:

) ликвидировать к 2015 г. неравенство между полами на всех уровнях образования;

) обеспечить возможность равного доступа мужчин и женщин к политическим институтам;

) ликвидировать дискриминационную практику в области труда и занятости;

) создать систему реальных механизмов предотвращения насилия в отношении женщин;

) снизить воздействие неблагоприятных социально-экономических факторов на здоровье и продолжительность жизни, особенно мужчин.

Цели 4 и 5. Снижение материнской смертности и смертности детей до 5 лет:

) повысить продолжительность жизни и снизить смертность по основным классам;

) повысить ориентацию общества на здоровый образ жизни;

) снизить смертность детей до пяти лет хотя бы на 50%;

) снизить материнскую смертность хотя бы на 50% в период с 1990 г.

Цель 6. Борьба с ВИЧ/СПИДом, туберкулезом и другими заболеваниями.

) остановить распространение ВИЧ/СПИДа и положить начало тенденции к сокращению заболеваемости;

) остановить распространение туберкулеза и других "социальных" заболеваний.

Цель 7. Обеспечение экологической устойчивости:

) включить принципы устойчивого развития в стратегию развития страны;

) обеспечить население чистой питьевой водой;

) обеспечить улучшение качества жилищных условий населения.

Цель 8. Участие в глобальном сотрудничестве, отвечающее российским национальным интересам:

) содействовать созданию благоприятных международных условий для устранения внутренних препятствий для развития человеческого потенциала.

) оказывать приоритетное содействие решению глобальных проблем, проявления которых наиболее чувствительно для России;

) постепенно наращивать вклад России в международные программы помощи развитию.

Из приведенного перечня очевидно, что в ближайшие годы перед Российской Федерацией стоят достаточно серьезные задачи в области развития человеческого потенциала и повышения его качественных характеристик как в стране в целом, так и в отдельных субъектах. Реализация сформулированных целей призвана способствовать более сбалансированному развитию страны и ориентации на приоритеты развития именно социального государства.

Глава 2. Динамика уровня жизни населения, структура доходов и расходов


Статистика населения - древнейшая отрасль статистической науки, которая изучает население и процессы, связанные с его динамикой, с количественной стороны в конкретных условиях общественного развития. Таким образом, предметом изучения этой отрасли статистики являются население и закономерности его развития.

Население - это совокупность людей, проживающих в пределах определенной территории: части страны, всей страны, группы стран, всего земного шара.

Статистика населения включает такие единицы учета, как семья и домохозяйство. Семья как статистическая единица определяется как группа лиц, связанных родственными отношениями, проживающих на одной территории и имеющих общий бюджет. По рекомендациям Статистической Комиссии ООН в переписях 1999-2001 гг. будет использоваться в основном в качестве учетной единицы домохозяйство, поскольку это понятие в большей степени соответствует рыночному критерию.

Под домохозяйством понимается группа лиц, которые совместно проживают в жилищной единице и которые полностью или частично объединили свои индивидуальные бюджеты в общий бюджет, подчиняясь общим правилам как связанных, так и не связанных отношениями родства. Домохозяйства, соответствующие данным критериям, принято относить к частным домохозяйствам (домохозяйство может состоять и из одного человека, проживающего самостоятельно).

Кроме частных имеются и коллективные (групповые) домохозяйства. В этом случае речь идет о группе лиц, проживающих в одной жилищной единице, совместно питающихся, но не имеющих индивидуальных бюджетов, подчиняющихся общим правилам и обычно не связанных родственными отношениями (дома-интернаты, детские дома, дома ребенка, религиозные учреждения, воинские части и т.д.).

Как известно, свой предмет статистика изучает при помощи совокупности специфических приемов и способов, составляющих ее метод. Наряду с общепринятыми приемами массового наблюдения, сводки и группировки его данных, обобщающих показателей, статистика населения использует свои, особенные способы, такие как построение вероятностных таблиц, демографической сетки, возрастных пирамид и др.

Основная цель расчета показателей статистики населения - оценка демографической ситуации, сложившейся на конкретной территории в конкретных условиях места и времени, ее прогноз на будущее.

Расчет демографических показателей очень часто бывает связан с необходимостью определения среднегодовой численности населения территории. Выбор способа ее расчета зависит от исходных данных.

Если имеются данные на начало (S1) и конец периода (S2), то средняя численность населения определяется по формуле средней арифметической простой:

                                                                      (1)

Если имеются данные равноотстоящего моментного ряда динамики, то:

                     (2)

где S1, S2, ..., Sn-1, Sn - численность населения на начало месяца;- число месяцев.

Если требуется найти среднюю численность населения в не равноотстоящем моментном ряду динамики, то используется формула средней арифметической взвешенной:

                                                                      (3)

где - средняя численность населения в i-м интервале, рассчитываемая по приведенным выше формулам;- длительность i-го интервала времени. Если нужно определить среднюю численность населения за длительный период времени, то используется формула средней логарифмической:

                                                    (4)

где S1 - численность населения на начало периода;- то же на конец периода.

Среднегодовая численность населения Российской Федерации за последние 9 лет по данным приложения 1 составила 143,625 тыс человек. Мы видим, что население Орловской области постепенно убывает и в период с 2010 по 2012 года его численность сократилась на 4,4 тыс человек.

В основу отечественной статистики положено деление населения на городское и сельское. К городскому населению относятся жители городских поселений, поселков городского типа, дачных поселков. Сельское население проживает в населенных пунктах, которые классифицируются как сельские поселения. По данным приложения 1 можно сделать вывод о том, что в Орловской области преобладает городское население. Так на 1 января 2012 г. численность населения Российской Федерации составила 141,9 тыс чел., в том числе 103,7 тыс чел. - городское (73%) и 38,2 тыс чел. - сельское (27%) население.

В статистике населения также выделяют группы по полу и возрасту. В последние годы наблюдается женского населения в общей численности нашей страны. Из приложений 2 и 3 на 1 января 2012 г. мужчины составляли 46%, женщины - 54%, или на 1000 мужчин приходилось 1162 женщины.

Изменение численности населения между переписями отслеживается с помощью текущего учета населения, который основывается на статистике естественного и миграционного (механического) движения населения.

Естественное движение населения - изменение численности населения за счет рождения и смертей. В статистике широко используется показатель естественного прироста населения, который определяют как разность между числом родившихся живыми и числом умерших за определенный период, имея в виду прежде всего положительный результат (число родившихся должно превышать численность умерших). Если разница имеет отрицательный результат, то речь идет о показателе естественной убыли населения.

Воспроизводство населения измеряется с помощью общего коэффициента рождаемости и общего коэффициента смертности (рассчитываются на 1000 человек, т.е. в промилле, ‰).

Общий коэффициент рождаемости характеризует интенсивность деторождения по отношению к населению в целом (всех возрастов) и вычисляется как отношение числа родившихся живыми в течение года (N) к среднегодовой численности населения ():

                                                                           (5)

Интенсивность смертности населения измеряется общим коэффициентом смертности, который представляет собой отношение общего числа умерших в течение года (М) к среднегодовой численности населения:

                                                                        (6)

В статистике населения используется также коэффициент естественного прироста (убыли), который представляет собой разность между коэффициентом рождаемости и коэффициентом смертности.

По данным приложения 4 рассчитаем основные показатели, характеризующие естественное движение (воспроизводство населения):

Таблица 1 - Коэффициенты рождаемости, смертности, естественного прироста (убыли)

Годы

На 1000 человек населения


родившихся (коэффициент рождаемости)

умерших (коэффициент смертности)

естественный прирост (коэффициент естественного прироста)

2004

8,7

15,3

-6,6

2005

9,0

15,6

-6,6

2006

9,7

16,2

-6,5

2007

10,2

16,4

-6,2

2008

10,4

16,0

-5,6

2009

10,2

16,1

-5,9

2010

10,4

15,2

-4,8

2011

11,3

14,6

-3,3

2012

12,1

14,6

-2,5


По данным таблицы 1 можно сделать вывод о том, что коэффициент смертности превышает коэффициент рождаемости уже на протяжении долгого времени, что соответственно ведет к естественной убыли населения. Но есть и положительный момент - коэффициент естественного прироста, хоть и имеет отрицательный знак, постепенно возрастает.

Большое значение для анализа естественного движения населения имеет расчет возрастных коэффициентов рождаемости (коэффициентов для отдельных возрастных групп женщин) и суммарного коэффициента рождаемости, который характеризует среднее число детей, рожденных женщиной за свою жизнь. В последние годы в Орловской области суммарный коэффициент рождаемости имеет тенденцию к росту - от 1,195 в 2004 г. до 1,494 в 2012 г. Но не смотря на это в настоящее время не обеспечивается даже простое воспроизводство населения.

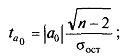
Важнейшей частью статистической информации о смертности населения является показатель смертности детей на первом году жизни. Речь идет о коэффициенте младенческой смертности, который представляет собой отношение числа умерших в возрасте до одного года (М0) к числу родившихся живыми:

                                                                       (7)

Рассчитаем коэффициент младенческой смертности:

Таблица 2 - Коэффициент младенческой смертности


2005

2006

2007

2008

2009

2010

2011

2012

Коэффициент младенческой смертности

14,6

13,3

12,4

11,6

11,0

10,2

9,4

8,5


Из таблицы видно, что четко прослеживается снижение младенеской смертности.

Обобщающим показателем является показатель средней продолжительности предстоящей жизни, который может быть рассчитан для любой возрастной группы населения путем деления суммы предстоящих человеко-лет, которые предстоит прожить группе лиц от возраста х до предельного возраста включительно (Tx), на численность изучаемого поколения, дожившего до возраста х (Lx):

                                                                                  (8)

По продолжительности жизни Россия уступает развитым странам. Ожидаемая продолжительность жизни при рождении - это число лет, которое в среднем предстоит прожить одному человеку из поколения родившихся при условии, что на протяжении всей жизни этого поколения уровень смертности будет таким, как в данном периоде. Рассмотрим таблицу 3:

Таблица 3 - Ожидаемая продолжительность жизни при рождении в РФ (годы)


2005

2006

2007

2008

2009

2010

2011

2012

все население

65,2

65,0

64,9

65,3

65,3

66,6

67,5

67,9

мужчины

58,9

58,7

58,6

58,9

58,9

60,4

61,4

61,8

женщины

72,2

71,9

71,8

72,3

72,4

73,2

73,9

74,2


По данным таблицы, приведенной выше, можно сделать вывод о том, что ожидаемая продолжительность жизни имела тенденцию к снижению с 2005 г. до 2008 г. Анализируя следующие 4 года мы видим, что данный показатель повышается. Так же стоит заметить, что женщины живут дольше мужчин (разница в возрасте составляет более чем 10 лет).

Кроме естественного движения большое влияние на численность населения страны оказывает перемещение населения по территории страны (миграция населения). Изменение численности населения на отдельных территориях за счет миграции представляет собой механическое движение населения.

К основным показателям миграции относятся следующие:

число прибытий - П;

число выбытий - В;

миграционный прирост - (П - В), если П > В;

миграционный отток - (П - В), если П < В.

Выбывшим считается лицо, которое выехало за пределы данной территории. К прибывшим относятся лица, которые въехали на данную территорию из-за ее пределов. Число выбывших и прибывших определяется по показателям регистрационных учетов по месту прибытия и месту убытия.

Для статистической характеристики миграционных процессов используют расчетные относительные показатели: коэффициенты интенсивности (прибытия, выбытия, миграционного оборота), коэффициент эффективности миграции.

Коэффициент прибытия

                                                                       (9)

Данный коэффициент характеризует число прибывших на 1000 человек населения в среднем за год.

Коэффициент выбытия

                                                                        (10)

Этот коэффициент характеризует число выбывших на 1000 человек населения в среднем за год.

Коэффициент интенсивности миграционного оборота

                                                                 (11)

Данный коэффициент может иметь как положительное значение (+), так и отрицательное (-) и характеризует в положительном значении приток, а в отрицательном - отток.

Коэффициент интенсивности миграции

                                                                 (12)

Наконец, важным показателем является коэффициент эффективности миграции

                                                                   (13)

Таблица 4 - Основные показатели миграции населения


2004

2005

2006

2007

2008

2009

2010

2011

2012

Число прибывших, чел

359330

193450

184612

129144

119157

177230

186380

286956

281614

Число выбывших, чел

145720

121166

106695

94018

79795

69798

54061

47013

39508

Коэффициент прибытия

2,474

1,322

1,267

0,890

0,826

1,235

1,305

2,017

1,983

Коэффициент выбытия

1,004

0,828

0,732

0,649

0,553

0,486

0,379

0,331

0,278

Коэффициент интенсивности миграционного оборота

3,47

2,150

2,000

1,539

1,380

1,722

1,684

2,348

2,261

Коэффициент интенсивности миграции

1,471

0,494

0,535

0,242

0,198

0,749

0,927

1,687

1,705

Коэффициент эффективности миграции

0,423

0,230

0,268

0,157

0,273

0,435

0,550

0,718

0,754


Для планирования многих народнохозяйственных показателей очень важно предвидеть численность населения на планируемый период, поэтому одной из задач статистики населения является определение численности населения на перспективу. Общий прирост численности населения за год складывается как в результате его естественного движения, так и в результате механического перемещения отдельных лиц. Для его характеристики в статистике применяется коэффициент общего прироста населения:

                                                           (14)

Таблица 5 - Коэффициенты общего прироста населения


Коэффициент рождаемости

Коэффициент смертности

Коэффициент интенсивности миграции

Коэффициент общего прироста населения

2004

8,7

15,3

1,471

-5,129  

2005

9

15,6

0,494

-6,106

2006

9,7

16,2

0,535

-5,965

2007

10,2

16,4

0,242

-5,958

2008

10,4

16

0,198

-5,327

2009

10,2

16,1

0,749

-5,151

2010

10,4

15,2

0,927

-3,873

2011

11,3

14,6

1,687

-1,613

2012

12,1

14,6

1,705

-0,795


Мы видим, что коэффициент общего прироста населения отрицательный за рассматриваемый период времени, что означает убыль на каждые 1000 человек. Но все же этот показатель с каждым годом повышается.

Перспективная численность населения рассчитывается на основе данных о естественном и механическом приросте населения за определенный анализируемый период и предположения о сохранении выявленной закономерности на прогнозируемый отрезок времени:

,                                                               (15)

где  - численность населения на начало планируемого периода;- число лет, на которое прогнозируется расчет;

- коэффициент общего прироста населения за период, предшествующий плановому.

Так, например, перспективная численность населения Орловской области через 50 лет будет приблизительно равна 136464 тысяч человек.

Трудовые ресурсы - население, занятое экономической деятельностью или способное трудиться, но не работающее по или иным причинам.

В состав трудовых ресурсов включаются: население в трудоспособном возрасте (мужчины 16 - 59 лет и женщины 16 - 54года), кроме неработающих инвалидов 1 и II групп и неработающих лиц, получающих пенсию на льготных условиях; работающие подростки и работающие лица пенсионного возраста. В условиях рыночной экономики трудовые ресурсы им важное значение, поскольку интегрируют категории, принятые международными Конференциями статистиков труда, peкомендации Международной организации труда (МОТ) и учитывают национальные особенности Орловской области.

Экономически активное население (рабочая сила) - часть населения, которая предлагает свой труд для производства товаров и услуг. Численность экономически активного населения чает занятых и безработных.

В международной статистике исходными показателями для па занятых является коэффициент (уровень) экономической активности населения - доля численности экономически активного населения в общей численности населения страны на определенную дату:

                                                                  (16)

К занятым в экономике относятся лица обоего пола в возрасте 16 лет и старше, а также младших возрастов, которые в рассматриваемый период выполняли работу по найму за вознаграждение, а также приносящую доход работу не по найму самостоятельно или с одним или несколькими партнерами как с лечением, так и без привлечения наемных работников. В число занятых включаются лица, которые выполняют работу без ты на семейном предприятии, а также лица, которые временно отсутствовали на работе из-за болезни, ухода за больными ежегодного отпуска или выходных дней, обучения, учебного отпуска, отпуска без сохранения или с частичным сохранением заработной платы по инициативе администрации, забастовки и других подобных причин.

Статистика изучает занятость как по секторам, так и по отраслям экономики.

Количественно занятость характеризуется коэффициентом (уровнем) занятости, который рассчитывается по формуле:

                                                                   (17)

К безработным, применительно к стандартам международной организации труда (МОТ), относятся лица в возрасте 16 лет и старше, которые в рассматриваемый период:

не имели работы (доходного занятия);

занимались поиском работы, т.е. обращались в государственную или коммерческую службу занятости, использовали или помещали объявления в печати, непосредственно обращались к администрации предприятия (работодателю), использовали личные связи и т.д. или предпринимали шаги к организации собственного дела;

были готовы приступить к работе.

В составе безработных выделяются лица, не занятые трудовой деятельностью, зарегистрированные в службе занятости 11 качестве ищущих работу или признанных безработными. Коэффициент (уровень) безработицы определяется отношением общей численности безработных к численности экономически активного населения:

                                                                        (18)

где Б - численность безработных.

Коэффициент (уровень) зарегистрированной безработицы отношение численности зарегистрированных безработных численности экономически активного населения:

                                                                 (19)

Продолжительность безработицы - промежуток времени, в течение которого человек ищет работу (с момента начала поиска работы и до момента трудоустройства или до рассматриваемого периода, используя при этом любые способы.

Экономически неактивное население - население обследуемого возраста, которое не входит в состав рабочей силы, т.е. занятых и безработных. Эту часть населения составляют следующие категории:

а) учащиеся и студенты, слушатели и курсанты, посещающие дневные учебные заведения;

б) лица, получающие пенсии по старости и на льготных условиях, по инвалидности;

в) лица, занятые ведением домашнего хозяйства, уходом детьми, больными родственниками;

г) отчаявшиеся найти работу, т.е. лица прекратившие работы, но которые могут и готовы работать;

д) другие лица, которым нет необходимости работать, независимо от источника их дохода.

Статус занятого экономической деятельностью - правовое положение различных групп лиц, отнесенных к занятым экономической деятельностью и классифицируемых в системе общественных отношений в зависимости от степени экономического иска, элементом которого является вид взаимоотношений лица, наделенного определенными полномочиями (в пределах установленных обязанностей), с другими работниками и предприятиями. Классификация занятых по статусу предусматривает выделение двух основных групп: работающие по найму и работающие не по найму.

В составе работающих не по найму выделяются подгруппы:

• работодатели;

• лица, работающие на индивидуальной основе;

• неоплачиваемые семейные работники.

Основная работа (доходное занятие) и дополнительная работа определяются для всех лиц, относящихся к категории занятых имеющих более одной работы (занятия).

Основной является та работа, где находится трудовая книжка, и та которую лицо само считает основной.

Дополнительной работой - может быть совместительство любого рода, другая работа по контракту или случайная (разовая работа).

Неполная видимая занятость определяется количеством лиц много труда, вынужденных работать (по инициативе администрации, работодателя и т.д.) меньше установленной законом нормальной продолжительности рабочего времени в рассматриваемый период. Это лица, вынуждено работающие с «неполной рабочей неделей, или с неполным рабочим днем».

Коэффициент нагрузки на одного занятою в экономике - это ело незанятых в экономике, приходящееся на одного занятого:

                                                                 (20)

Таблица 6 - Уровень экономической активности населения, уровень занятости и уровень безработицы


Уровень экономической активности (экономически активное население  к численности населения соответствующей возрастной группы)

Уровень занятости (занятое население к численности населения соответствующей возрастной группы)

Уровень безработицы (безработные к численности экономически активного населения соответствующей возрастной группы)

Уровень зарегистрированной  безработицы (зарегистрированные безработные к численности экономически активного населения)


в возрасте 15-72 года

в трудоспособном возрасте 2)

в возрасте 15-72 года

в трудоспособном возрасте 2)

в возрасте 15-72 года

в трудоспособном возрасте 2)


2004

65,1

78,2

58,7

70,4

9,8

10,0

1,4

2005

64,1

77,0

58,4

70,1

8,8

9,0

1,6

2006

64,9

77,2

59,4

70,5

8,5

8,7

2,1

2007

65,2

77,0

60,1

70,8

7,8

8,0

2,3

2008

65,4

76,6

60,2

70,4

7,9

8,1

2,6

2009

66,2

76,9

61,5

71,3

7,1

7,3

2,5

2010

66,2

76,8

61,8

71,5

6,7

7,0

2,3

2011

67,0

77,3

63,2

72,8

5,7

5,9

2,1

2012

67,8

78,6

63,1

73,0

7,0

7,1

2,0


С переходом Орловской области к рыночным отношениям большое значение стало придаваться анализу баланса трудовых ресурсов, который представляет собой систему статистических показателей, отражающих количественные характеристики двух важнейших составляющих использования трудовых ресурсов: формирования (наличие и источники воспроизводства) и распределения трудовых ресурсов по сферам и видам экономической деятельности.

Статистический анализ количественных характеристик формирования трудовых ресурсов осуществляется с помощью следующих показателей.

Абсолютный прирост трудовых ресурсов (АПтр ) рассчитывается как разность численностей трудовых ресурсов на конец и начало года:

                                                             (21)

где ТРп - численность трудовых ресурсов на конец года; ТР0 - численность трудовых ресурсов на начало года

Темп роста (Тр ) рассчитывается как отношение абсолютных величин численности трудовых ресурсов на конец и начало года.

Определяем вначале коэффициент роста:

                                                                                 (22)

затем определяем темп роста, который равен коэффициенту роста, умноженному на 100%:

                                                                       (23)

Темп прироста (Тпр ) равен темпу роста минус 100%:

                                                                      (24)

Таблица 7 - Численность экономически активного населения РФ, тыс.чел.


2004

2005

2006

2007

2008

2009

2010

2011

2012

Численность экономически активного  населения

72332

71411

72421

72835

72909

73811

74156

75060

75892

занятые в экономике

65273

65124

66266

67152

67134

68603

69157

70814

70603

безработные

7059

6288

6155

5683

5775

5208

4999

4246

5289

Численность безработных, зарегистрированных в государственных учреждениях службы занятости (на конец года)

1037

1123

1500

1639

1920

1830

1742

1553

1522

Из них безработные, которым назначено  пособие по безработице

909

1007

1293

1305

1624

1570

1522

1305

1253


Рассчитанные на основе абсолютных величин относительные показатели более наглядно иллюстрируют различия в уровне и динамике занятости и безработицы в эти годы в области (таблица 7).

Показатели

2004г.

2005г.

2006г.

2007г.

2008г.

2009г.

2010г.

2011г.

2012г.

Экономически активное население - всего

100

100

100

100

100

100

100

100

100

Занято в экономике - всего

90,24

91,19

91,5

92,19

92,08

92,94

93,25

94,34

93,03

Безработные - всего

9,76

8,81

8,5

7,81

7,92

7,06

6,75

5,66

6,97

Численность безработных, зарегистрированных в службы занятости - всего

1,4

1,6

2,1

2,3

2,6

2,5

2,3

2,1

2,0

 

Анализ данных этих двух таблиц свидетельствует о росте численности экономически активного населения, увеличении уровня занятости и снижении уровня безработицы в Орловской области, а так же о повышении официально зарегистрированной безработицы.

Под уровнем жизни населения в статистике понимается обеспеченность населения теми благами и услугами, которые необходимы и достаточны для удовлетворения как жизненно важных материальных потребностей людей (питание, одежда, жилище, предметы культуры и быта), так и социально-культурных (труд, занятость, досуг, здоровье, образование, природная среда обитания и т.д.).

В денежном выражении вся данная совокупность благ и услуг, фактически потребляемых в течение данного времени в домохозяйстве, представляет собой стоимость жизни.

В статистике выделяют следующие виды уровня жизни:

достаток (пользование благами и услугами, которые обеспечивают всестороннее развитие человека);

нормальный уровень (потребление благ и услуг по научно обоснованным нормам, которые достаточны для полноценного восстановления физических и интеллектуальных сил человека);

бедность (потребление благ и услуг на уровне возможности сохранения работоспособности человека);

нищета (минимальное потребление благ и услуг на уровне биологического выживания человека).

Чтобы получить всю совокупность характеристик по уровню жизни, исследуются все статистические совокупности:

население в целом;

отдельные социальные и профессиональные группы;

домохозяйства с различным доходом.

В мировой практике накоплен определенный опыт по комплексному исследованию уровня жизни населения по основным социально-экономическим показателям, из которых можно выделить следующие:

показатели прожиточного минимума;

показатели дифференциации населения;

показатели денежных доходов (в среднем на душу населения в месяц);

средний размер пенсий;

показатели расходов и потребления населения;

показатели покупательной способности населения;

достигнутый уровень образования;

показатели расходов в социальной сфере;

продолжительность жизни и уровень рождаемости и т.д.

Информационными источниками для построения системы показателей по уровню жизни населения являются данные из материалов различных разделов государственной статистики (демографической, статистики труда, статистики цен, социальной статистики), материалы выборочных обследований бюджетов домохозяйств, материалы переписи населения.

Обобщающим показателем уровня жизни населения является индекс развития человеческого потенциала (ИРЧП). Он предложен группой специалистов Программы развития ООН и включает 3 показателя, отражающих наиболее важные аспекты уровня жизни:

ожидаемая продолжительность жизни при рождении (I1);

достигнутый уровень образования (I2);

реальный объем ВВП в расчете на душу населения в долларах США на основе паритета покупательной способности (ППС) (I3).

ИРЧП = (I1 + I2 + I3) / 3 (25)

Расчет индекса каждого показателя (за исключением индекса реального объема ВВП):

,                                                                          (26)

где xi, xi min, xi max -фактическое, минимальное и максимальное значение i-го показателя.

) Индекс ожидаемой продолжительности жизни при рождении (I1):

.                                                                        (27)

) Индекс достигнутого уровня образования (I2):

,                                                                 (28)

где i21 - индекс грамотности взрослого населения (в возрасте 15 лет и старше);- индекс коэффициента поступивших в начальные, средние и высшие учебные заведения. Рассчитывается для лиц моложе 24 лет.

) Индекс реального объема ВВП в расчете на душу населения:

.                                                             (29)

Таблица 9 - Предельные значения исходных показателей ИРЧП

Показатель

Максимальное значение

Минимальное значение

Ожидаемая продолжительность жизни при рождении (лет):

x1 min

85

x1 max

25

Уровень грамотности взрослого населения (%)

x21 min

100

x21 max

0

Коэффициент поступивших в начальные, средние и высшие учебные заведения (%)

x22 min

100

x22 max

0

Реальный ВВП на душу населения (долл. США по ППС)

x3 min

40000

x3 max

100


Россия занимает 73 место в списке с индексом ИРЧП = 0,806 (что является довольно высоким показателем, но при этом этот индекс в Орловской области на 2012 год хуже, чем в Белоруссии и Казахстане). Индекс стал падать с началом 90-х из-за сокращения ВВП и повышения смертности. В 1992 Россия занимала 52 место,1995 - 114, в 2008 - 57 [1], в 2009 - 62 с индексом 0,795 [2], в 2010 - 65 с индексом 0,797 [3], в 2011 году - 67 место с индексом 0,802 [4]. Однако, следует учитывать, что индекс составляется с отставанием в два года, поэтому цифры, опубликованные ООН 27 ноября 2011 года на самом деле относятся к 2009. От своих соседей по таблице Россия отличается очень низкой продолжительностью жизни и чуть снизившимся уровнем образования.

Индекс сильно варьируется по регионам Орловской области. По данным Независимого Института Социальной Политики [5], в 2010 году наивысший среди российских регионов ИРЧП у города Москвы - 0,907 (что сопоставимо с такими странами как Германия, Италия и др.), в то время как наименьший индекс у Республики Тувы - 0,691 (сопоставим с Киргизией, Таджикистаном и др.). При этом важно отметить, что индекс для Москвы и Санкт-Петербурга завышен, в то время как занижен для Московской и Ленинградской областей. Такая ситуация получается из-за того, что отдельная часть Индекса РЧП считается как отношение студентов ВУЗов к общему числу учащихся. Однако значительная (если не подавляющая) часть студентов-жителей соответствующих областей учится в двух федеральных городах, внося тем самым вклад в их индекс (для Москвы вклад в ИРЧП индекса образования - 0,999, для Санкт-Петербурга - 0,985). Большинство же российских регионов относятся к категории со значением индекса 0,750-0,799, что вполне сопоставимо с такими странами, как Казахстан, Украина и др.

доход статистический население

Глава 3. Построение и анализ вариационного ряда по уровню номинальной оплаты труда


Центральное место в системе показателей жизненного уровня занимают показатели доходов населения. В их состав включаются все денежные и натуральные поступления населению за исследуемый период. Существуют следующие основные виды доходов населения:

) доходы от занятий (оплата труда);

) доходы от личного подсобного хозяйства;

) пенсии, пособия, стипендии, дотации на путевки в санатории, дома отдыха, профилактории, детские оздоровительные лагеря, на содержание детей в детских дошкольных учреждениях;

) доходы из других источников.

Доходы населения имеют как денежную, так и натуральную форму. Подавляющее большинство доходов поступает населению в виде денег. Натуральными доходами являются доходы от личного подсобного хозяйства, доходы фермеров, часть фонда оплаты труда, большая часть благотворительной помощи.

При изучении доходов населения большое значение имеет его группировка по источникам средств существования и дохода. Эта группировка охватывает все население, независимо от возраста. При этом выделяются следующие источники:

) заработная плата на предприятии, организации, учреждении всех форм собственности, оплата труда в колхозе. Помимо лиц, работающих постоянно в этих экономических единицах, сюда относятся лица, занятые на сезонных или вахтовых работах; лица, находящиеся в неоплачиваемых вынужденных отпусках; лица, находящиеся в трудовых конфликтах с владельцами и администрацией; женщины, находящиеся в отпуске по уходу за ребенком; служители культа; учащиеся в аспирантуре, ординатуре, адъюнктуре;

) доход от предпринимательской деятельности. В эту группу входят предприниматели (предприниматель - лицо, исполняющее труд хотя бы одного наемного работника); уличные торговцы; лица, занятые индивидуальной трудовой деятельностью; лица, свободных профессий (частнопрактикующие врачи, учителя, юристы; писатели, артисты, композиторы, не состоящие в штате какого-либо учреждения);

) доход от фермерского хозяйства;

) доход от работы по найму у отдельных граждан (домработницы, охрана, водители, воспитательницы и т.п.);

) доходы от личного подсобного хозяйства. Сюда относят доходы лиц, занятых личным подсобным хозяйством, если оно имеет приоритетное значение для домохозяйства;

) доходы от собственности. Эта группа охватывает население, основным источником средств существования которого служат рента, проценты, дивиденды, курсовая разница от реализации ценных бумаг, выигрыши по займам; сдачи в аренду жилья, непроизводственных помещений, земельных участков, транспортных средств, недвижимости, орудий труда (компьютеров, машин, оборудования и т.п.);

) стипендия, пенсии по старости или за выслугу лет, пенсии по инвалидности или по случаю потери кормильца;

) пособие по безработице; другие виды пособий (на детей, на больных СПИДом и т.п.);

) другой вид государственного обеспечения. В эту группу входят лица, живущие в домах ребенка, школах-интернатах; домах инвалидов и престарелых и т.п.;

) на иждивении отдельных лиц - это члены домохозяйства, живущие за счет других членов домохозяйства;

) прочие источники; не указавшие источник средств существования.

Для измерения уровня и структуры доходов населения используется ряд показателей, характеризующих их в различных аспектах. Одним из основных показателей является объем личных доходов населения - все виды доходов населения, полученных в денежной форме или в натуре. Этот показатель может быть рассчитан прямым путем для отдельных домохозяйств на основе статистики семейных бюджетов, однако он не отражает ни общих, ни реальных доходов населения. Совокупные (общие) доходы населения (СДН) определяются суммированием личных доходов и стоимости бесплатных или на льготных условиях предоставленных населению услуг за счет общественных фондов потребления. Стоимость услуг определяется расчетным путем.

Названные показатели, рассчитанные в ценах текущего периода, называются номинальными показателями доходов. Они не определяют реального содержания доходов, т.е. не показывают, какое количество материальных благ и услуг доступно населению при сложившемся уровне доходов. Владельцы дохода могут в окончательном виде располагать лишь частью номинального дохода, так как должны уплатить индивидуальные налоги и сделать другие обязательные отчисления. Вычитая из личных номинальных доходов (ЛНД) налоги, обязательные платежи и взносы в общественные организации (НП), находят личные располагаемые доходы (ЛРД) населения - ту часть личных доходов, которую владельцы их направляют на потребление и сбережение:

ЛРД = ЛНД - НП.                                                                  (30)

Доля этой части в общем объеме доходов составит

                                                   (31)

Среднедушевые денежные доходы исчисляются как отношение общей суммы денежных доходов населения за год (или текущий период) к среднегодовой численности наличного населения.

Рис. 1

В 2009г. объем денежных доходов населения сложился в размере 28388,8 млрд.рублей и увеличился на 12,5% по сравнению с 2012 годом. Население израсходовало средств на покупку товаров и оплату услуг 19635,6 млрд.рублей, что на 5,0% больше, чем в 2012 году. Сбережения за этот период составили 5602,3 млрд.рублей, что на 67,3% больше, чем в предыдущем году.

Между номинальными и реальными величинами доходов могут быть существенные расхождения в связи с изменением покупательной способности денег - показателя, обратного уровню цен. Реальное значение показатели дохода приобретают, если для расчетов используются постоянные цены либо их изменение учитывается (компенсируется) с помощью индексов покупательной способности денег (Iп.с.д.) или индексов цен на потребительские товары и услуги (Ip). С поправкой на изменение потребительских цен рассчитывается величина реальных располагаемых доходов населения:

                 (32)

Аналогично рассчитываются реальные общие доходы (РОД) населения - как совокупные доходы (СДН) с поправкой на покупательную способность денег:

                                                   (33)

Для характеристики динамики этих показателей строятся соответствующие индексы, например индекс реальных располагаемых доходов:

 (34)

Отсюда следует, что скорость изменения реальных доходов зависит от трех факторов: темпов роста номинальных доходов, изменения ставок налоговых платежей и изменения покупательной способности денег.

Реальные располагаемые денежные доходы, по оценке, в 2009г. по сравнению с 2012г. увеличились на 1,9%, в декабре 2009г. по сравнению с соответствующим периодом 2012г. - на 7,6%.

Глава 4. Применение статистических методов в анализе факторов, влияющих на изменение уровня жизни населения

 

.1 Метод статистических группировок


Денежные расходы населения - это использование доходов населения на покупку товаров и оплату услуг и различного рода платежи: обязательные платежи и профсоюзные взносы (налоги, сборы, платежи по страхованию, взносы в общественные и кооперативные организации, возврат банковских ссуд), покупку иностранной валюты, а также прирост сбережений во вкладах и ценных бумагах. При этом в СНС проводится различие между расходами на конечное потребление и объемом фактического конечного потребления.

Расходы на конечное потребление домашних хозяйств включают:

. расходы за счет личного бюджета на покупку потребительских товаров;

. расходы на оплату потребительских товаров;

. потребление продуктов в натуральной форме, произведенных домашними хозяйствами для собственного конечного потребления;

. потребление продуктов, полученных домашними хозяйствами в натуральной форме в качестве оплаты труда;

. услуги по проживанию в собственном жилище

Объем фактического потребления домашних хозяйств - реальная величина конечного потребления, которое обеспечивается как за счет реального дохода, так и за счет социальных трансфертов в натуральной форме, предоставляемых населению органами государственного управления, и некоммерческими организациями, обслуживающими домашние хозяйства.

Основным показателем потребления служит уровень индивидуального потребления как средний размер потребления определенных товаров и услуг на душу населения. Он рассчитывается в виде отношения годового объема потребляемых товаров и услуг по видам к среднегодовой численности населения как в целом, так и по отдельным социальным группам, группам по доходу, возрасту, характеру занятий.

Важнейшим способом количественного выражения общей тенденции изменения уровней потреблении (динамического ряда) является аналитическое выравнивание ряда динамики, которое позволяет получить описание плавной линии развития ряда. При этом эмпирические уровни заменяются уровнями, которые рассчитываются на основе определенной кривой, где уравнение рассматривается как функция времени. Вид уравнения зависит от конкретного характера динамики развития. Его можно определить как теоретически, так и практически. Теоретический анализ основывается на рассчитанных показателях динамики. Практический анализ - на исследовании линейной диаграммы.

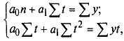
Рассмотрим выравнивание уровней потребления по прямой: . Параметры а0 и а1 согласно методу наименьших квадратов находятся решением следующей системы нормальных уравнений:

                                                           (40)

где у - фактические (эмпирические) уровни ряда;- время (порядковый номер периода или момента времени).

Таблица 12 - Выравнивание по прямой ряда динамики уровней потребления в РФ

Год

Фактическое конечное потребление на душу населения, руб.

t

t2

y*t

    

    

    

2004

26014

-4

16

-104056

12393,7

13620,29

185512299,7

2005

34347

-3

9

-103041

29182,6

5164,44

26671440,51

2006

43976

-2

4

-87952

45971,4

-1995,41

3981661,068

2007

53330

-1

1

-53330

62760,3

-9430,26

88929803,67

2008

68240

0

0

0

79549,1

-11309,1

127895969

2009

86582

1

1

86582

96338

-9755,96

95178755,52

2010

106401

2

4

212802

113127

-6725,81

45236520,16

2011

131882

3

9

395646

129916

1966,34

3866492,996

2012

165170

4

16

660680

146705

18465,49

340974320,9

Итого

715942

0

60

1007331

715942

0,01

918247263,5


Из таблицы 12 найдем  = 715942; = 1007331; = 60; откуда

, а0 = 79549,11; , а1= 16788,85. Уравнение прямой, представляющее собой трендовую модель искомой функции, будет иметь вид: = 79549,11 + 16788,85t.

Полученное уравнение показывает, что несмотря на незначительные колебания, наблюдается тенденция увеличение потребления на душу населения: с 2004 по 2012 гг. уровень потребления возрастал на а1= 16788,85 руб. в год.

4.2 Дисперсионный анализ


Сравнение фактического потребления отдельных товаров с нормативным позволяет определить уровень удовлетворения потребности населения в данном товаре.

Коэффициент удовлетворения потребности в i-м товаре имеет вид:

                                                                   (41)

где факт - фактическое потребление i-го товара в среднем на душу населения;

норм - нормативный уровень потребления i-го товара в среднем на душу населения;

Коэффициент удовлетворения потребностей населения по всем потребительским товарам и услугам (К у.п.о.) определяется в агрегатной форме:

,                                          (42)

где p - цена товара;количество фактически потребленных товаров;- количество фактически потребленных услуг;- фактический тариф за определенную услугу;н - норматив потребления определенного товара на душу населения;н - норматив потребления определенного вида услуг на душу населения;- средняя численность населения за период.

Разность числителя и знаменате6ля этого показателя определяет стоимость общего недопотребления товаров и услуг по сравнению с нормативным его уровнем.

Динамика общего и среднедушевого потребления изучается с помощью индексов. По отдельным видам товаров рассчитываются индивидуальные индексы изменения потребления:

общего потребления i-го товара:

                                                                                (43)

где ∑qi1, ∑qi10 - объемы потребления i - го товара в натуральном выражении в отчетном и базисном периодах соответственно;

среднедушевого потребления i-го товара:

                                                         (44)

где N1,N0 - средняя численность населения в отчетном и базисном периодах, соответственно;

разница между числителем и знаменателем индексов показывает абсолютное изменение соответственно общего и среднедушевого потребления i-го товара:

                                                                 (45)

Потребление населением услуг измеряется так же, как и товаров. При этом должна быть обеспечена сопоставимость цен (тарифов - t) на услуги в отчетном и базисном периодах в результате использования сопоставимой (базисной) цены или применения метода дефлятирования.

Динамика общего потребления населением товаров и услуг характеризуется агрегатным индексом объема потребления:

                                                              (46)

где q1, q0; s1,s0 - количество потребленных в отчетном и базисном периодах соответственно товаров и услуг;, t0 - цена товара и тариф за определенную услугу в базисном периоде.

Для изучения динамики потребления отдельных групп товаров или услуг применяется средний гармонический индекс физического объема следующего вида:

                                                                       (47)

где ip - индивидуальные индексы цен на отдельные товары и услуги.

Для изучения зависимости объема потребления от дохода в социальной статистике на практике используется коэффициент эластичности потребления от изменения дохода, который показывает, насколько процентов возрастает (или снижается) потребление товаров и услуг при росте дохода на 1% (формула А. Маршалла):

                                                      (48)

где x, y - начальный доход и потребление;

Дx, Дy - их приращение за некоторый период.

Если коэффициент эластичности отрицательный, то с ростом доходов потребление «малоценных» (низкого качества) товаров уменьшается

Если Кэ>1, то потребление растет быстрее доходов.

Если Кэ=1, то между доходом и потреблением существует пропорциональная зависимость.

Если Кэ<1, то потребление увеличивается медленнее, чем доход.

Таблица 13 - Потребление продуктов питания в Орловской области (на душу населения в год)


2010

2011

2012

Рациональная норма

Коэффициент удовлетворения потребности в i-м товаре

мясо и мясопродукты, кг

53

56

61

70

0,87

молоко и молочные продукты, л

239

242

243

360

0,68

яйца, шт

256

254

254

265

0,96

рыба и рыбопродукты, кг

13,1

13,9

15

33

0,45

сахар и кондитерские изделия, кг

39

39

40

35,3

1,13

картофель, кг

132

132

111

105

1,06

овощи и бахчевые, кг

106

110

100

140

0,71

фрукты и ягоды, кг

51

54

53

75

0,71

хлебные продукты

121

121

120

105

1,14


Как видно из таблицы 13, душевое потребление основных продуктов питания в стране увеличилось за период с 2010 г по 2012 г (исключение составляют картофель и овощи). По некоторым продуктам потребление не отвечает не только рациональным, но даже минимальным нормам.


4.3 Корреляционный анализ


Корреляцией называется такая связь между двумя варьирующими признаками в статистической совокупности, при которой различиям в величине одного из них соответствует закономерное различие между средними значениями другого. Задачами корреляционно - регрессионного анализа являются отражение статистической связи в форме уравнения регрессии (регрессионной анализ) и измерение тесноты связи (корреляционный анализ), т.е. измерение всех основных параметров статистической связи.

Уровень жизни населения во многом зависит от доходов населения, основным источником которых является заработная плата. Рассмотрим методику проведения корреляционно-регрессионного анализа (КРА) зависимости между уровнем заработной платы населения и численностью населения с доходами ниже прожиточного минимума, чем больше уровень заработной платы, тем ниже уровень бедного населения.

Важнейшей задачей является определение формы связи с последующим расчетом параметров уравнения, или, иначе, нахождение уравнения связи (уравнения регрессии). Мы рассмотрим прямолинейную форму связи, которая выражается уравнением:

                                                                            (49)

Параметры для этого уравнения связи определим из системы нормальных уравнений, которые должны отвечать требованию метода наименьших квадратов (МНК):

                                                               (50)

Таблица 13 - Зависимость между уровнем заработной платы населения и численностью населения с доходами ниже прожиточного минимума

Исходные данные

Расчетные данные

Годы

Среднемесячная номинальная начисленная заработная плата работающих в экономике, руб. (х)

Численность населения с денежными доходами ниже величины прожиточного минимума: тыс. человек (у)

х2

y2

xy

y

2004

2223,4

42,3

4943507,56

1789,29

94049,82

37,8300957

2005

3240,4

40

10500192,16

1600

129616

36,1878136

2006

4360,3

35,6

19012216,09

1267,36

155226,68

34,3793655

2007

5498,5

29,3

30233502,25

858,49

161106,05

32,541366

2008

6739,5

25,2

45420860,25

635,04

169835,4

30,537362

2009

8554,9

25,2

73186314,01

635,04

215583,48

27,6057996

2010

10633,9

21,5

113079829,2

462,25

228628,85

24,248568

2011

13593,4

18,7

184780523,6

349,69

254196,58

19,4694786

2012

17290,1

18,5

298947558

342,25

319866,85

13,4999366

Итого

72134,4

256,3

780104503,1

7939,41

1728109,71

256,299786

Средние значения

8014,933333

28,47777778

86678278,12

882,16

192012,19



Для уточнения формы связи между рассматриваемыми признаками используем графический метод. Нанесем на график точки, соответствующие значениям х и у (см. табл.13), получим корреляционное поле, а соединив их отрезками - ломанную регрессию.

Параметры уравнения парной линейной регрессии исчислим по следующим формулам:

 

или по другим формулам, дающим тот же результат:

 

 

 

Мы получим следующие значения а0=41,42050876; а1= - 0,00161483.

Следовательно регрессионная модель распределения заработной платы по численности населения с денежными доходами ниже прожиточного минимума для данного примера может быть записана в виде конкретного простого уравнения регрессии: = 41,4205 - 0,0016х. Расчетные значения , найденные по данному уравнению, приведены в таблице 13.

В рассмотренном уравнении =41,4205-0,0016х, характеризующем зависимость численности населения с доходами ниже прожиточного минимума у от среднемесячной заработной платы х, параметр а1  0. Следовательно с возрастанием уровня среднемесячной заработной платы численность населения с доходами ниже прожиточного минимума, как и ожидалось, уменьшается. Из уравнения следует, что возрастание среднемесячной зарплаты на 1 рубль приводит к уменьшению численности населения с доходами ниже прожиточного минимума на 0,0016 тыс человек.

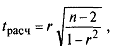
Значимость коэффициентов простой линейной регрессии осуществляют с помощью t-критерия Стьюдента. При этом вычисляют расчетные (фактические) значения t-критерия:

для параметра а0

                                                                       (56)

для параметра а1

,                                                                   (57)

где n - объем выборки;

- среднее квадратическое отклонение результативного признака у от выровненных значений ;

- среднее квадратическое отклонение факторного признака х от общей средней.

По данным таблицы 14 средние квадратические отклонения равны: = 3,557962487, = 4736,995. Расчетные значения t-критерия Стьюдента:= 30,80008; = 5,6882.

По таблице распределения Стьюдента для v=7 находим критическое значение t-критерия: (tтабл=2,3646 при б=0,05). Поскольку расчетное значение tрасч  tтабл, оба параметра а0 и а1 признаются значимыми.

Проверка адекватности регрессионной модели может быть дополнена корреляционным анализом. Для этого необходимо определить тесноту корреляционной связи между переменными х и у. Рассчитаем теоретическое корреляционное отношение двумя способами:

), = 0,906718737

) , = 0,90671707

Полученное значение теоретического корреляционного отношения свидетельствует о возможном наличии весьма тесной зависимости между рассматриваемыми признаками.

Подкоренное выражение корреляционного отношения представляет собой коэффициент детерминации, который равен 0,82213584. Отсюда заключаем, что 82,2 % общей вариации численности населения с доходами ниже прожиточного минимума обусловлено вариацией фактора - среднемесячной заработной платы, и только 17,8% общей вариации нельзя объяснить изменением уровня среднемесячной заработной платы.

Рассчитаем линейный коэффициент корреляции:

                                                           (58)

= -0,90671707.

Отрицательное значение данного коэффициента указывает на то, что связь между признаками обратная.

Для оценки значимости коэффициента корреляции r используем t-критерий Стьюдента. При линейной однофакторной связи t-критерий можно рассчитать по формуле:

                                                                         (59)

Так, для коэффициента корреляции между численностью населения с доходами ниже прожиточного минимума и среднемесячной заработной платой получим |tрасч|= 5,68822273. Это значительно больше критического значения t для n-2=7 степеней свободы и б=0,05 (tтабл=2,3646243), что свидетельствует о значимости коэффициента корреляции и существенности связи между численностью населения с доходами ниже прожиточного минимума и среднемесячной заработной платой.

Таким образом, построенная регрессионная модель=41,4205-0,0016х в целом адекватна, и выводы, полученные по результатам малой выборки, можно с достаточной вероятностью распространить на всю гипотетическую генеральную совокупность.

Заключение

В данной курсовой работе были рассмотрены такие вопросы, как статистическая оценка населения и уровня его жизни, социальные нормативы и потребности, основные индикаторы уровня жизни, современный уровень жизни населения, социальная защищенность и борьба с бедностью.

Тенденции изменения состава населения в Орловской области на современном этапе складываются и развиваются на фоне общего социально-экономического кризиса. Все или почти все сегодняшние демографические проблемы Орловской области, идет ли речь о низкой рождаемости или высокой смертности, о суженном воспроизводстве населения или новых тенденциях процессов формирования и распадения семей, связаны с историческими изменениями в условиях жизни людей, происходящими во всех странах с высоким уровнем индустриализации и урбанизации. Но существует и Российская специфика. Это - высокая смертность от устранимых причин смерти, недостаточная обеспеченность репродуктивных прав женщины и семьи, низкий уровень репродуктивного здоровья, неразвитость методов планирования семьи, высокая материнская смертность и пр. Преодоление этих негативных тенденций требует длительных и разносторонних усилий, которые, по причине обычной ограниченности ресурсов, не могут быть предприняты одновременно и с одинаковой интенсивностью. Необходим правильный выбор приоритетов, который позволил бы сконцентрировать имеющиеся ресурсы на наиболее важных и перспективных направлениях действий, на решении проблем, которые, по тем или иным причинам достигли критической остроты.

Но кроме экономических есть и серьезные политико-идеологические препятствия. Усилия, направленные на развитие полового просвещения или служб планирования семьи в Орловской области, не всегда находят понимание общественного мнения.

Велико значение обобщающих статистических показателей в решении важнейших проблем при рассмотрении демографической политики. Они необходимы для определения роста населения, в изучении миграции населения, составляющей основу межрайонного перераспределения рабочей силы и достижения равномерности ее распределения.

Стоящие перед нашей страной задачи обновления должны затронуть и решение демографических проблем. Разработка комплексных программ экономического и социального развития должна включать в себя разделы по демографическим программам. Их решение должно способствовать развитию населения с наименьшими демографическими потерями.

Уровень жизни является одной из важнейших социальных категорий, которая характеризует структуру потребностей человека и возможности их удовлетворения. Важнейшими составляющими уровня жизни выступают доходы населения и его социальное обеспечение, потребление им материальных благ и услуг, условия жизни, свободное время.

Уровень жизни населения Орловской области постоянно изменяется. Но если смотреть тенденции этого изменения, то видно явное снижение уровня жизни населения Орловской области в последние годы. Несмотря на то, что и доходы и расходы населения с каждым годом растут, разница между доходами и расходами снижается. Это далеко не положительно влияет на благосостояние населения Орловской области.

Экономико-статистический анализ уровня жизни населения Орловской области проводится для того, чтобы улучшать те или иные условия жизни населения. Повышение уровня жизни - это не только результат экономического роста, но и его условие. В современной Орловской области наиболее актуальными проблемами повышения уровня жизни являются обеспечение занятости, усиление социальной защищенности населения, борьба с бедностью. Но, в настоящее время, в нынешней нестабильной экономической ситуации делать это становится все сложнее.

Список использованной литературы

1.   Алексеев А.Р. - экономическая статистика: учебник (под ред. Иванова Ю.Н.) - М.: Инфра - М, 2010 - 736с.

2.      Гусаров В.М. Теория статистики: Учеб. пособие для вузов. М.: Аудит, ЮНИТИ, 1998.

.        Елисеева И.И. Статистические методы измерения связей. - Л.: Изд-во ЛГУ, 1982.

.        Елисеева И.И., Юзбашев М.М. Общая теория статистики: Учебник для вузов. - М.: Финансы и статистика, 1995.

.        Ефимова М.Р. , Бычкова С.В. - Социальная статистика (под ред. Ефимовой М.Р.) - М.: ТК Велби Издательство Проспект, 2007 - 456с.

.        Курс социально-экономической статистики: Учебник для вузов/ Под ред. М.Г. Назарова. - М.: Финстатинформ, ЮНИ ТИ - ДАНА, 2004.

.        Об основных тенденциях развития демографической ситуации в Орловской области до 2015 г., М., 2012

.        Сироткина т.С., Хорин А.Н Статистическое моделирование и прогнозирование. - М.: Изд-во ВЗФЭИ, 1988.

.        Социальная статистика / Под ред. Елисеевой И.И., М., 1997

.        Социальное положение и уровень жизни населения Орловской области: статистический сборник - М. Росстат, 2009

.        Вопросы статистики: Ежемесячный научно-информационный журнал Госкомстата РФ. - М.: 2004 - 2009 гг.

.        Российский статистический ежегодник. - М. 2004-2009 гг.

Приложение 1

Численность населения

Годы

Все население, тыс.человек

в том числе

В общей численности населения, процентов



городское

сельское

городское

сельское

2004

146,3

107,1

39,2

73

27

2005

145,2

106,4

38,8

73

27

2006

145,0

106,3

38,7

73

27

2007

144,2

105,8

38,4

73

27

2008

143,5

104,7

38,8

73

27

2009

142,8

104,1

38,7

73

27

2010

142,2

103,8

38,4

73

27

2011

142,0

103,8

38,2

73

27

2012

141,9

103,7

38,2

73

27


Приложение 2

Распределение населения по величине среднедушевых денежных доходов


2007

2008

2009

2010

2011

2012

Все население

100

100

100

100

100

100

в том числе со среднедушевыми  денежными доходами, руб. в месяц:







до 4000,0

51,1

40,4

28,9

20,5

14,3

9,8

4000,1-6000,0

20,5

21,1

20,3

17,7

14,8

12,0

6000,1-8000,0

11,5

13,4

14,9

14,7

13,6

12,1

8000,1-10000,0

6,5

8,4

10,3

11,2

11,3

10,9

10000,1-15000,02)

10,4

10,0

13,9

17,1

19,1

20,1

15000,1-20040,03)

...

6,7

11,7

8,4

10,6

12,4

20040,1-30000,04)

...

...

...

10,4

9,6

12,4

свыше 30000,0

...

...

...

...

6,7

10,3


Похожие работы на - Статистическое изучение численности и воспроизводства сельского населения Орловской области

 

Не нашли материал для своей работы?
Поможем написать уникальную работу
Без плагиата!
Без нейросетей!