Анализ и управление дебиторской и кредиторской задолженностью

  • Вид работы:
    Курсовая работа (т)
  • Предмет:
    Эктеория
  • Язык:
    Русский
    ,
    Формат файла:
    MS Word
    564,17 Кб
  • Опубликовано:
    2014-03-30
Вы можете узнать стоимость помощи в написании студенческой работы.
Помощь в написании работы, которую точно примут!

Анализ и управление дебиторской и кредиторской задолженностью

Шадринский финансово-экономический колледж-филиал федерального государственного образовательного бюджетного учреждения высшего профессионального образования «Финансовый университет

при Правительстве Российской Федерации»









КУРСОВАЯ РАБОТА

«Анализ и управление дебиторской и кредиторской задолженностью»


Студент: Урюпина О.Н.

Группа: 208

Специальность: «Экономика и

бухгалтерский учет»

Форма обучения: очная

Преподаватель Шпилева М.В.


Шадринск, 2013 г

ОГЛАВЛЕНИЕ

ВВЕДЕНИЕ

ГЛАВА 1.ТЕОРЕТИЧЕСКИЕ ОСНОВЫ УПРАВЛЕНИЯ ДЕБИТОРСКОЙ И КРЕДИТОРСКОЙ ЗАДОЛЖЕННОСТЬЮ

.1 Понятие и сущность дебиторской задолженности

.2 Понятие и сущность кредиторской задолженности

.3 Концепции управления дебиторской и кредиторской задолженностью

ГЛАВА 2. МЕТОДЫ АНАЛИЗА ДЕБИТОРСКОЙ И КРЕДИТОРСКОЙ ЗАДОЛЖЕННОСТИ

.1 Информационная база и организация анализа дебиторской и кредиторской задолженности

.2 Механизм применения методики анализа дебиторской и кредиторской задолженности

ГЛАВА 3. ИСПОЛЬЗОВАНИЕ РЕЗУЛЬТАТОВ АНАЛИЗА ДЕБИТОРСКОЙ И КРЕДИТОРСКОЙ ЗАДОЛЖЕННОСТИ В УПРАВЛЕНИИ ПРЕДПРИЯТИЕМ

ПРАКТИЧЕСКАЯ ЧАСТЬ

Заключение

Список литературы

Приложение

ВВЕДЕНИЕ

Обеспечение эффективного функционирования предприятия требует экономически грамотного управления его деятельностью, которая во многом определяется умением ее анализировать. С помощью анализа изучаются тенденции развития, глубоко и системно исследуются факторы изменения результатов деятельности, обосновываются планы и управленческие решения, осуществляется контроль за их выполнением, выявляются резервы повышения эффективности производства, оцениваются результаты деятельности предприятия, вырабатывается экономическая стратегия его развития.

Одним из наиболее важных разделов для проведения анализа является дебиторская и кредиторская задолженность. Анализ дебиторской и кредиторской задолженности наиболее актуален в сложившейся системе кредитных отношений и данная тема интересна для изучения. Важность данной темы определена тем, что полнота, своевременность, достоверность отражения расчетов с дебиторами и кредиторами является одним из оценочных показателей, определяющих качество работы предприятия. Грамотное построение и управление процессом расчетов с дебиторами и кредиторами имеет большое значение в успешной работе предприятия.

Дебиторская и кредиторская задолженность - неизбежное следствие существующей в настоящее время системы денежных расчетов между организациями, при которой всегда имеется разрыв времени платежа с моментом перехода права собственности на товар, между предъявлением платежных документов к оплате и временем их фактической оплаты.

Все вышесказанное и предопределяет актуальность темы курсового исследования. Цель работы - изучение особенностей организации анализа и управления дебиторской и кредиторской задолженностью предприятия. Задачами работы является:

исследование экономической сущности и видов дебиторской и кредиторской задолженности;

анализа сущности и задач политики управления дебиторской и кредиторской задолженностью;

рассмотрение методов анализа дебиторской и кредиторской задолженности как основы выработки управленческих решений.

В соответствии с целью и поставленными задачами курсовая работа состоит из трех глав.

В первой главе рассмотрены теоретические вопросы организации управления дебиторской и кредиторской задолженностью предприятия: сущность и виды дебиторской и кредиторской задолженности; концепция управления дебиторской и кредиторской задолженностью.

Во второй главе исследованы методы анализа дебиторской задолженности в части: информационной базы и организации анализа дебиторской и кредиторской задолженности; механизма применения методики анализа дебиторской и кредиторской задолженности.

В третьей главе рассмотрено использование результатов анализа дебиторской и кредиторской задолженности в управлении предприятием.

Теоретической основой курсового исследования послужили труды таких ученых, как: В.В. Ковалева, М.Ш. Галлеева, Ю.А. Бабаева, А.А. Максютова, О.М. Купрюшина, Л.Е. Басовского и др.

ГЛАВА 1. ТЕОРЕТИЧЕСКИЕ ОСНОВЫ УПРАВЛЕНИЯ ДЕБИТОРСКОЙ И КРЕДИТОРСКОЙ ЗАДОЛЖЕННОСТЬЮ

.1 Понятие и сущность дебиторской задолженности

В современных условиях правила диктуют покупатели и заказчики, которым выгодно сначала получить товар или принять работу, а только потом расплатиться. Для того чтобы удержать свои позиции на рынке, поставщики и подрядчики следуют желаниям клиентов и все чаще используют коммерческое кредитование, предоставляют отсрочки платежей и. т. д. Если факт поставки не совпадает по времени с получением за них денежных средств, у поставщика возникает дебиторская задолженность. Дебиторская задолженность составляет значительную часть оборотных средств предприятия.

Дебиторская задолженность в настоящее время стала наиболее ликвидным активом предприятия. Отсюда и необходимость серьезного внимания к ней, к анализу ее, к управлению ею.

Авторы В.Б. Ивашкевич и И.М. Семенова в своей работе «Учет и анализ дебиторской задолженности» определяют дебиторскую задолженность как сумму долгов, причитающихся организации от юридических или физических лиц в результате хозяйственных операций между ними, или, иными словами, отвлечения средств из оборота организации и использования их другими организациями или физическими лицами.

Дебиторская задолженность в процессе выполнения обязательств - естественный, объективный процесс хозяйственной деятельности предприятий. (Ю.А. Бабаев)

Дебиторская задолженность считает В.В. Ковалев - это требования предприятия по отношению к другим предприятиям, организациям и клиентам на получение денег, поставку товаров или оказание услуг, выполнение работ.

Дебиторская задолженность - это средства, временно отвлеченные из оборота предприятия.

Дебиторская задолженность - это средства, которые должны предприятию его контрагенты - продавцы и покупатели.

По мнению Л.Е. Басовского дебиторской задолженностью называются средства, причитающиеся предприятию, но еще не полученные им, или обязательства клиентов (дебиторов) перед предприятием по выплате денег за предоставление товаров или услуг. Дебиторы - это юридические и физические лица, которые имеют задолженность перед данным предприятием.

В большинстве случаев дебиторская задолженность рассматривается как:

― Один из видов оборотных активов предприятия;

― Неполученная часть его выручки от продаж;

― Отдельный вид обязательств, возникающий из договора, а также вследствие причинения вреда и иных оснований (ст. 307 ГК РФ).

Дебиторская задолженность возникает при следующих обстоятельствах:

― Коммерческое кредитование поставщиком покупателя, т. е. при отсрочке платежа;

― Несвоевременная оплата, т. е. при просрочке платежа;

― Недостачи, растраты, хищения;

― Поставки недоброкачественной или некомплектной продукции;

― Другие случаи.

В соответствии с бухгалтерской отчетностью в составе дебиторской задолженности учитывается следующее:

задолженность покупателей и заказчиков;

векселя к получению;

задолженность дочерних и зависимых обществ;

задолженность учредителей по взносам в уставный капитал;

авансы выданные;

прочие дебиторы.

У большинства предприятий в общей сумме дебиторской задолженности наибольший удельный вес занимают расчеты за товары, работы и услуги, т. е. счета к получению.

В отчетности дебиторская задолженность делится по срокам ее образования на две группы:

дебиторская задолженность, платежи по которой ожидаются в течение 12 мес. после отчетной даты, т. е. краткосрочная дебиторская задолженность;

дебиторская задолженность, платежи по которой ожидаются более чем через 12 мес. после отчетной даты, т. е. долгосрочная задолженность.

Дебиторская задолженность является фактором, который определяет следующее - рис.1(см. приложение)

В современной хозяйственной практике дебиторская задолженность классифицируется по следующим видам - таблица 1.(см. приложение).

Величина дебиторской задолженности определяется многими факторами. Их можно разделить на внешние и внутренние. - рис.1 (см. приложение). Внешние факторы не зависят от деятельности предприятия, и ограничить их влияние на предприятие практически невозможно. Внутренние факторы зависят от самого предприятия, от того, насколько финансовый менеджер владеет искусством управления дебиторской задолженностью.

Формой дебиторской задолженности в основном является кредит, предоставляемый по открытому счету. В этом случае единственным доказательством того, что покупатель должен поставщику деньги за полученные им товары или услуги, является запись в бухгалтерских книгах и счет, подписанный покупателем. Чтобы обезопасить себя от риска неоплаты счетов, поставщик может потребовать оформления сделки предоставления коммерческого кредита путем выписки векселя - обычного или переводного (акцептованного), либо выставления покупателем аккредитива.

Необходимость правильного управления уровнем дебиторской задолженности определяется не только стремлением к максимизации денежных потоков предприятия, но и желанием снизить издержки фирмы, возникающие из-за того, что любое увеличение дебиторской задолженности должно быть профинансировано каким-либо способом: за счет роста внешних заимствований (средств кредиторов или ссуд банков) или за счет собственной прибыли.

.2 Понятие и сущность кредиторской задолженности

Кредиторская задолженность - задолженность организации другим организациям, индивидуальным предпринимателям, физическим лицам, в том числе собственным работникам, образовавшаяся при расчетах за приобретаемые материально-производственные запасы, работы и услуги, при расчетах с бюджетом, а также при расчетах по оплате труда.

Кредиторская задолженность - денежные средства, временно привлеченные предприятием, учреждением, организацией и подлежащие возврату соответствующим физическим или юридическим лицам. Организация владеет и пользуется кредиторской задолженностью, однако она обязана вернуть или выплатить данную часть имущества кредиторам, которые имеют право требования на нее.

Таким образом, кредиторская задолженность имеет двойственную юридическую природу: как часть имущества она принадлежит предприятию на праве владения или даже на праве собственности относительно полученных заимообразно денег или вещей; как объект обязательственных правоотношений она представляет собой долги предприятия перед кредиторами, то есть лицами, управомоченными на истребование или взыскание от организации указанной части имущества. В упрощенном варианте кредиторская задолженность - это то, что данное предприятие должно другим лицам.

С учетом отмеченных признаков, кредиторскую задолженность можно определить как часть имущества предприятия, являющуюся предметом возникших из различных правовых оснований долговых обязательств организации-дебитора перед правомочными лицами - кредиторами, подлежащую бухгалтерскому учету и отражению в балансе в качестве долгов организации- балансодержателя. В тех случаях, когда организация-дебитор не принимает никаких мер по добровольному возврату долгов, у кредиторов остается возможность принудительного взыскания, которое в зависимости от характера кредиторской задолженности осуществляется в судебном или внесудебном порядке.

Понятием кредиторской задолженности охватываются долговые обязательства организации - дебитора, имеющие различное происхождение. Поскольку кредиторская задолженность служит одним из источников средств, находящихся в распоряжении предприятия, она показывается в пассиве баланса. Учет кредиторской задолженности ведется по каждому кредитору отдельно, а в обобщающих показателях отражают общую сумму кредиторской задолженности и дают ее, разбивая на группы.

Кредиторская задолженность является по существу бесплатным кредитом и относится к числу привлеченных предприятием в хозяйственный оборот средств. В отличие от устойчивых пассивов, кредиторская задолженность является не планируемым источником формирования оборотных средств. Кредиторская задолженность относится к краткосрочным обязательствам предприятия. Часть кредиторской задолженности закономерна, так как возникает в связи с особенностями расчетов. Однако в большинстве случаев кредиторская задолженность возникает в результате нарушения расчетно-платежной дисциплины и является следствием несоблюдения предприятием сроков оплаты продукции и расчетных документов.

Кредиторская задолженность характеризует наиболее краткосрочный вид используемых предприятием заемных средств, формируемых за счет внутренних источников. Начисления средств по различным видам этих счетов производится предприятием ежедневно, а погашение обязательств по этой кредиторской задолженности - в определенные сроки в диапазоне одного месяца. Так как с момента начисления средства, входящие в состав кредиторской задолженности, уже не являются собственностью предприятия, а лишь используются ими до наступления срока погашения обязательств, по своему экономическому содержанию они являются разновидностью заемного капитала.

Кредиторская задолженность, как форма заёмного капитала, характеризуется следующими основными особенностями:

. Это бесплатный источник используемых заёмных средств. Как бесплатный источник формирования капитала она обеспечивает снижение не только заемной его части, но и всей стоимости капитала предприятия.

. Размер оказывает влияние на продолжительность финансового цикла предприятия. Он влияет в определенной степени на необходимый объем средств для финансирования оборотных активов. Чем выше относительный размер кредиторской задолженности, тем меньший объем средств предприятию необходимо привлекать для текущего финансирования своей хозяйственной деятельности.

. Сумма кредиторской задолженности находится в прямой зависимости от объема хозяйственной деятельности предприятия, в первую очередь - от объема производства и реализации продукции. С ростом объема производства и реализации продукции возрастают расходы предприятия, начисляемые в составе кредиторской задолженности, а соответственно увеличивается ее общая сумма, и наоборот.

На величину кредиторской задолженности предприятия влияют общий объем покупок и доля в нем приобретения на условиях последующей оплаты, условия договоров с контрагентами; условия расчетов с поставщиками и подрядчиками, степень насыщенности рынка данной продукцией; политика погашения кредиторской задолженности, качество анализа кредиторской задолженности и последовательность в использовании его результатов, принятая на предприятии система расчетов.

При увеличении безналичных расчетов оборачиваемость и качество кредиторской задолженности увеличивается, а размер уменьшается, следовательно, платежеспособность и устойчивость предприятия повышается.

Среди основных видов кредиторской задолженности выделяют задолженности: (см. приложение 2)

По факту наступления платежа кредиторская задолженность может быть:

просроченной (долги по обязательствам, сроки погашения которых на момент составления баланса наступили);

непросроченной (долги предприятия по обязательствам, сроки погашения которых на момент составления баланса не наступили).

В составе просроченной кредиторской задолженности можно выделить два вида кредиторской задолженности:

. кредиторская задолженность, шансы на погашение которой, несмотря на пропуск срока возврата, у предприятия сохранились;

. кредиторская задолженность, погашение которой нереально по каким-либо фактическим основаниям. Нереальность погашения просроченных долгов может быть обусловлена, например, истечением срока исковой давности на принудительное взыскание долга.

Наиболее распространенный вид кредиторской задолженности - задолженность перед поставщиками и подрядчиками за поставленные материально-производственные запасы, оказанные услуги и не оплаченные в срок работы. Кредиторская задолженность может быть прекращена исполнением обязательств (в том числе зачётом), а также списана как невостребованная.

Таким образом можно сделать вывод, что привлечение заемных средств в оборот предприятия - явление, содействующее временному улучшению финансового состояния при условии, что они не замораживаются на продолжительное время в обороте и своевременно возвращаются. В противном случае может возникнуть просроченная кредиторская задолженность, что приводит к выплате штрафов и ухудшению финансового состояния. Поэтому в процессе управления необходимо изучить состав, давность появления кредиторской задолженности, наличие, частоту и причины образования.

.3 Концепции управления кредиторской и дебиторской задолженностью

В процессе своей повседневной хозяйственной деятельности предприятие вступает в различные виды отношений с юридическими и физическими лицами. Оно заключает и осуществляет сделки, выполняет обязанности, которые предусмотрены действующим законодательством. В результате такой деятельности появляются денежные обязательства, подлежащие исполнению (кредиторская задолженность). И, наоборот, у других лиц возникают долги по отношению к предприятию (дебиторская задолженность).

Дебиторская и кредиторская задолженность -- естественное явление для существующей в России системы расчетов между предприятиями. Вряд ли найдется хоть одна организация, у которой на отчетный период отсутствовала бы та или иная форма задолженности. Наличие как активных, так и пассивных обязательств у предприятия стало настолько обыденным и очевидным, что зачастую управлению дебиторской и кредиторской задолженностью уделяется недостаточно внимания. В каждом хозяйственном цикле авансированные денежные средства должны возобновляться, то есть возвращаться предприятию с прибылью. Дебиторская задолженность является одним из основных источников формирования финансовых потоков - платежей. В то же время кредиторская задолженность как долговое обязательство организации, всегда содержит суммы потенциальных выплат, нуждающихся в бухгалтерском наблюдении и контроле.

Систему управления дебиторской и кредиторской задолженностью можно разделить на два крупных блока:

Кредитная политика - позволяет максимально эффективно использовать задолженность как инструмент увеличения продаж.

Кредитная политика - позволяет максимально эффективно использовать задолженность как инструмент увеличения продаж.

При формировании кредитной политики нужно определить максимально допустимый размер дебиторской задолженности как в целом для компании, так и по каждому контрагенту (кредитный лимит). Рассчитывая эти показатели, предприятие в первую очередь ориентируется на свою стратегию, т.к. увеличение доли рынка требует большего кредитного лимита, чем удержание своей рыночной доли и аккумулирование свободных денежных средств. При этом нужно поддерживать достаточную ликвидность компании и учитывать кредитный риск.

Вместе с тем, для каждого предприятия важно:

не допускать необоснованного увеличения дебиторов и суммы их долгов;

избегать дебиторской задолженности с высокой степенью риска;

вовремя выставлять платежные счета, следить за сроками их оплаты;

своевременно, совместно с юридическими службами предприятия, принимать меры по истребованию просроченной дебиторской задолженности.

В то же время, представляется необходимым четко отслеживать расчеты с кредиторами, своевременно погашать возникшую кредиторскую задолженность. В противном случае предприятие может потерять доверие своих поставщиков, банков и других кредиторов, а также будет обречено на оплату штрафных санкций по расчетам с контрагентами. Также необходимо отметить, что дебиторская и кредиторская задолженность являются естественными составляющими бухгалтерского баланса предприятия, возникновение которых обусловлено несовпадением даты появления обязательств с датой платежа по ним.

От правильного учета и контроля кредиторской и дебиторской задолженностью зависит структура активов и пассивов баланса организации, а также определение прибыли, подлежащей налогообложению. Это еще раз подтверждает высокую значимость своевременного и качественного управления задолженностью предприятия. Основные функциональные направления деятельности при осуществлении контроля над задолженностью нацелены, прежде всего, на укрепление финансового состояния предприятия. Указанные направления условно можно разделить на две категории: общие и частные. К общим направлениям относятся:

организация системы постоянного контроля за дебиторской и кредиторской задолженностью по каждому дебитору и кредитору;

систематическое проведение финансово-хозяйственного контроля дебиторской и кредиторской задолженности, целью которого является проверка достоверности этих обязательств, целесообразности и эффективности использования;

определение внутренних и внешних причин, оказавших влияние на величину, структуру, динамику дебиторской и кредиторской задолженности, проведение оценки эффективности и влияния принятых мер на финансовое состояние предприятия, формирование соответствующих выводов и прогнозов.

Задачами частного направления являются:

снижение уровня дебиторской задолженности до размера, не превышающего уровень кредиторской задолженности;

уделение большего внимания контролю над движением дебиторской задолженности, так как именно она приводит к иммобилизации денежных средств, ведущей к дальнейшей неплатежеспособности предприятия;

своевременное погашение долгов, не допуская просрочек и штрафных санкций;

разумное использование такой формы привлечения клиентов, как коммерческий кредит. С помощью такой формы кредитования можно не только привлечь дополнительных покупателей, но и значительно увеличить объем продаж, а, следовательно, и прибыли. При предоставлении коммерческого кредита необходима предварительная работа с потенциальными дебиторами на предмет их платежеспособности. В дальнейшем следует четко отслеживать своевременность погашения ими своих обязательств;

выявление степени риска появления недобросовестных покупателей путем расчета резерва по сомнительным долгам;

проведение совместной работы бухгалтерских подразделений, осуществляющих контроль над движением дебиторской и кредиторской задолженности, с юридическими службами предприятия, направленной на своевременное принятие мер воздействия на недобросовестных и (или) неплатежеспособных контрагентов.

Организуется работа по возврату долгов от дебиторов, мерами воздействия на которых является следующие пункты:

подготовка и направление мотивированных претензий просрочившим дебиторам, тем самым осуществление возможности прерывания течения срока исковой давности (в случае признания должником долга или его части);

подготовка и направление искового заявления в арбитражный суд к должнику, не признающему долг, о взыскании задолженности и предусмотренных договором или законом штрафных санкций;

в случае неспособности дебитора погасить свой долг видится целесообразным предъявить иск о несостоятельности.

При условии, что управление задолженностью предприятия построено в соответствии с вышеприведенными направлениями, механизм контроля над движением дебиторской и кредиторской задолженности помогает решить основные задачи по укреплению финансового состояния предприятия, а именно:

содействие росту объема продаж путем предоставления коммерческого кредита и, тем самым, росту прибыли;

повышение конкурентоспособности с помощью отсрочки платежа;

определение степени риска неплатежеспособности покупателей;

расчет размера резерва по сомнительным долгам;

выработка рекомендаций по работе с фактически или потенциально неплатежеспособными контрагентами.

Анализ и контроль за движением дебиторской задолженностью являются одним из важнейших факторов максимизации нормы прибыли, увеличения ликвидности, кредитоспособности и минимизации финансовых рисков. Правильно разработанная стратегия контролирования кредиторских долгов позволяет своевременно и в полном объеме выполнять обязательства перед клиентами, что способствует созданию репутации надежного и ответственного предприятия.

К задачам финансового менеджмента, по мнению Бланка И. А. относится поддержание рационального соотношения между уровнем и динамикой дебиторской и кредиторской задолженности. Рациональным следует считать соблюдение следующих соотношений: общая сумма дебиторской задолженности должна превышать сумму кредиторской задолженности. Это - одно из условий обеспечения финансовой устойчивости предприятия. Кроме того, дебиторская задолженность - важнейший источник погашения кредиторской задолженности. Инкассация дебиторской задолженности по срокам и суммам должна сочетаться с планируемым погашением кредиторской задолженности; оборачиваемость дебиторской и кредиторской задолженности должна быть сопоставима. Средняя продолжительность одного оборота в днях должна быть меньше, чем продолжительность оборота дебиторской задолженности, а среднее число оборотов дебиторской задолженности (отношение выручки от реализации - нетто к средним остаткам дебиторской задолженности) должно превышать оборачиваемость кредиторской задолженности (отношение себестоимости реализованной продукции к средней сумме остатков кредиторской задолженности). На основе этой группировки и с учетом условий договоров с заказчиками на каждый квартал разрабатывается график ожидаемого поступления средств от реализации.

Минимизации просроченной дебиторской задолженности способствует налаживание партнерских отношений с заказчиками, поддержание с ними постоянных связей. Таким образом, если деятельность предприятия направлена, прежде всего, на повышение и укрепление своего финансового благосостояния, управлению дебиторской и кредиторской задолженностью в системе бухгалтерского и управленческого учета предприятия должно уделяться особое внимание.

2. МЕТОДЫ АНАЛИЗА ДЕБИТОРСКОЙ И КРЕДИТОРСКОЙ ЗАДОЛЖЕННОСТИ

.1 Информационная база и организация анализа дебиторской икредиторской задолженности

Увеличение или снижение дебиторской и кредиторской задолженности приводит к изменению финансового положения организации. Так, например, значительное превышение дебиторской задолженности над кредиторской может привести к так называемому техническому банкротству. Это связано со значительным отвлечением средств организации из оборота и невозможностью гасить вовремя задолженность перед кредиторами. В связи с этим необходимо проводить анализ состояния расчетов, немаловажную роль при этом играет правильная организация учета расчетных операций.

Источниками информации для данного анализа являются:

бухгалтерский баланс (форма 1);

отчет о прибылях и убытках (форма 2);

отчет о движении денежных средств (форма 4);

приложение к бухгалтерскому балансу (форма 5);

отчет о целевом использовании полученных средств (форма 6);

оборотно-сальдовые ведомости, карточки аналитического учета, данные инвентаризации, журналы-ордера и ведомости синтетического учета, в которых отражается движение соответствующих платежей.

Результативность анализа хозяйственной деятельности в значительной степени зависит от его информационного и методического обеспечения. Все источники данных делятся на плановые, учетные и внеучетные.

К источникам информации планового характера относятся все типы планов, которые разрабатываются на предприятии (перспективные, текущие, оперативные, технологические карты), а так же нормативные материалы, сметы, ценники, проектные задания и др. Источники информации учетного характера - это все данные, которые содержат документы бухгалтерского, статистического и оперативного учета и отчетности.

Ведущая роль в информационном обеспечении анализа принадлежит бухгалтерской отчетности, где наиболее полно отражаются хозяйственные явления, процессы их результаты. Своевременный и полный анализ данных, которые имеются в первичных и сводных учетных регистрах и отчетности, обеспечивает принятие необходимых мер, направленных на улучшение выполнения планов, достижение лучших результатов хозяйствования.

Данные статистического учета и отчетности, в которых содержится количественная характеристика массовых явлений и процессов, используется для углубленного изучения и осмысления взаимосвязей, выявления экономических закономерностей.

Оперативный учет и отчетность способствуют более оперативному по сравнению со статистикой или бухгалтерским учетом обеспечению анализа необходимыми данными (например, о производстве и отгрузке продукции, о состоянии производственных запасов) и тем самым создают условия для повышения эффективности аналитических исследований.

К внеучетным источникам информации относятся документы, регулирующие хозяйственную деятельность, а также данные, которые не относятся к перечисленным ранее. В их число входят следующие документы:

Официальные документы, которыми обязано пользоваться предприятие в своей деятельности: законы государства, указы президента, постановление правительства, приказы вышестоящих органов управления, акты ревизий и проверок, приказы и распоряжения руководителей предприятия;

Хозяйственно-правовые документы: договора, соглашения, решения арбитража и судебных органов, рекламации;

Научно-техническая информация (публикации, отчеты по результатам научно-исследовательской работы и др.). Решения общих собраний коллектива, совета трудового коллектива предприятия в целом или отдельных подразделений;

Техническая и технологическая документация;

Материалы специальных обследований состояния производства на отдельных рабочих местах (хронометраж, фотография рабочего дня и т.п.);

Устная информация, которая получена во время деловых встреч с членами трудового коллектива или представителями других предприятий.

С помощью информационной базы организации производится анализ показателей, но для информационного обеспечения анализа предъявляется ряд требований. Это аналитичность информации, ее достоверность, оперативность, сопоставимость, рациональность и др.

По мнению Ковалева В.В. управление дебиторской и кредиторской задолженностью должно способствовать расширению объема реализации продукции, финансовой устойчивости организации. Как и при управлении иными оборотными активами, принятию любых решений по управлению дебиторской и кредиторской задолженностью должен предшествовать анализ ее состава, уровня и динамики в предшествующем периоде. Поскольку в общей сумме дебиторской задолженности преобладает задолженность заказчиков за поставленные им товары, а в общей сумме кредиторской задолженности преобладает задолженность перед кредиторами за предоставленные ими товары, то при анализе дебиторской задолженности целесообразно сопоставлять ее динамику с динамикой выручки от проданных товаров, а при анализе кредиторской задолженности сопоставлять с динамикой полученных товаров.

К непосредственным задачам анализа дебиторской и кредиторской задолженности относятся следующие:

точный, полный и своевременный учет движения денежных средств и операций по их движению;

контроль за соблюдением кассовой и платежно-расчетной дисциплины;

определение структуры кредиторской и дебиторской задолженности по срокам погашения, по виду задолженности, по степени обоснованности задолженности;

определение состава и структуры просроченной дебиторской и кредиторской задолженности, ее доли в общем объеме дебиторской и кредиторской задолженности;

выявление структуры данных по поставщикам по неоплаченным в расчетным документам, поставщикам по просроченным векселям, поставщикам по полученному коммерческому кредиту, установление их целесообразности и законности;

выявление объемов и структуры задолженности по векселям, по претензиям, по выданным и полученным авансам, по страхованию имущества и персонала, задолженности, возникающей вследствие расчетов с другими дебиторами и кредиторами, задолженности по банковским кредитам и др. определение причин их возникновения и возможных путей устранения;

определение правильности использования банковских ссуд;

выявление неправильного перечисления или получения авансов и платежей по бестоварным счетам и т.п. операциям;

определение правильности расчетов с работниками по оплате труда, с поставщиками и подрядчиками, с другими дебиторами и кредиторами и выявление резервов погашения имеющейся задолженности по обязательствам перед кредиторами, а также возможностей взыскания долгов (посредством денежных или не денежных расчетов или обращения в суд) с дебиторов.

Выделяют следующие этапы анализа дебиторской и кредиторской задолженности:

Первый этап. Изучение состава, структуры и изменения дебиторской задолженности по данным раздела II актива баланса.

Второй этап. Оценка качества дебиторской задолженности. Под качеством дебиторской задолженности понимается вероятность получения этой задолженности в полной сумме. Показателем вероятности является срок образования задолженности, а также удельный вес просроченной задолженности. Чем больше срок дебиторской задолженности, тем ниже вероятность ее получения.

Третий этап. Оценка оборачиваемости дебиторской задолженности. Для оценки оборачиваемости дебиторской задолженности используют следующие показатели:

оборачиваемость дебиторской задолженности;

период погашения дебиторской задолженности;

доля дебиторской задолженности в общем объеме оборотных активов.

Четвертый этап. Анализ состояния расчетов с заказчиками. В связи с тем что, как правило, наибольший удельный вес в общем объеме дебиторской задолженности приходится на расчеты с заказчиками, их необходимо изучить более подробно. Анализ состояния расчетов с заказчиками должен проводиться по итогам каждого отчетного месяца.

Пятый этап. Анализ кредиторской задолженности. Состояние кредиторской задолженности характеризует расчетные взаимоотношения с поставщиками, бюджетом, рабочими и служащими.

Шестой этап. Сравнительный анализ дебиторской и кредиторской задолженности. После изучения состава, структуры и изменения дебиторской и кредиторской задолженностей необходимо провести их сравнительный анализ

Седьмой этап. Анализ оборачиваемости кредиторской задолженности.

На заключительном этапе следует оценить платежеспособность организации.

Таким образом, следует отметить, что результативность анализа хозяйственной деятельности в значительной степени зависит от его информационного и методического обеспечения. Особую роль в процветании компании играют и аналитические процедуры, по итогам которых можно сделать вывод о деятельности данной фирмы и запланировать пути усовершенствования и решения проблем.

.2 Механизм применения методики анализа дебиторской и кредиторской задолженности

Анализ финансовых показателей позволяет выявить критические точки в деятельности фирмы, определить причины проблем и запланировать действия, направленные на их решение. Финансовый анализ складывается из четырех основных шагов:

) выбор показателей, подходящих для анализа стратегических проблем;

) расчет этих показателей;

) сравнение полученных величин с аналогичными показателями данной фирмы за предыдущие годы, среднеотраслевыми, конкурентными величинами;

) использование показателей при составлении финансовых планов для определения способов решения проблем и будущих возможностей фирмы.

При анализе дебиторской и кредиторской задолженности используются следующие методы анализа, предполагающие расчет и оценку относительных показателей. К ним относятся горизонтальный, вертикальный анализ и расчет коэффициентов.

Горизонтальный анализ предполагает изучение абсолютных показателей статей отчетности организации за определенный период, расчет темпов их изменения и оценку.

При горизонтальном анализе строятся аналитические таблицы, в которых абсолютные показатели отчетности дополняются относительными, т.е. просчитывается изменения абсолютных показателей в сумме и в процентах.

Горизонтальный анализ - это оценка темпов роста (снижения) показателей бухгалтерского баланса за отчетный период. Он помогает оценить темпы роста (или снижения) по каждой группе средств организации и их источников за рассматриваемый период.

Горизонтальный анализ заключается в построении одной или нескольких таблиц, в которых абсолютные финансовые показатели дополняются данными об относительных темпах роста или снижения этих показателей. Степень обобщения статей баланса определяет бухгалтер. Как правило, для анализа используют полученные на основании опыта темпы роста за ряд лет и сравнивают их с реальными результатами за рассматриваемый период. Это позволяет не только определить изменения по отдельным балансовым статьям, но и делать прогнозы на будущее.

Горизонтальный и вертикальный анализ взаимно дополняют друг друга. На практике нередко строят аналитические таблицы, характеризующие как структуру отчетной бухгалтерской формы, так и динамику отдельных ее показателей

Проведение горизонтального анализа целесообразно, только если имеются несколько исследуемых периодов. Тогда становиться возможным, проследить за динамикой изменения средств и их источников.

Назначение вертикального анализа заключается в возможности проанализировать целое через отдельные элементы, составляющие это целое. Его широко используют для объективной оценки результатов работы организации.

При рассмотрении результатов дебиторской и кредиторской задолженности вертикальный анализ позволяет увидеть удельный вес статьи в общем итоге, определить структуру средств и их источников, а так же произошедшие в них изменения.

Первой особенностью вертикального анализа является расчет относительных показателей по значениям абсолютных показателей, представленных в бухгалтерском балансе. Относительные показатели позволяют сглаживать внешние экономические воздействия, которые на абсолютные показатели способны оказывать сильное влияние (например инфляция), выявляя таким образом результаты деятельности собственно организации.

Второй особенностью вертикального анализа является обязательное присутствие показателей на разный момент времени. Это позволяет отслеживать и прогнозировать структурные изменения в составе активов и источников их покрытия в динамики.

Таким образом, к преимуществам вертикального анализа относиться возможность:

изучать результаты финансово-хозяйственной деятельности на основе относительных показателей, сглаживающих влияние субъективных внешних факторов, которое имеет место при работе с абсолютными показателями и затрудняет их сопоставление в динамике;

проводить межхозяйственные сравнения различных организаций, различающихся по величине используемых ресурсов и другим показателям объема.

Для анализа можно проводить выборку долгов и обязательств, сроки, погашения которых наступают в отчетном периоде, а также отсроченных и просроченных обязательств, долгов. Состояние дебиторской задолженности, его размеры и качество оказывают сильное влияние на финансовое состояние организации.

Для улучшения финансового положения любой организации необходимо:

следить за соотношением дебиторской и кредиторской задолженности. Значительное превышение дебиторской задолженности над кредиторской создает угрозу финансовой устойчивости организации, приводит к необходимости привлечения дополнительных источников финансирования;

контролировать состояние расчетов по просроченным задолженностям;

ориентироваться на увеличение количества заказчиков с целью уменьшения риска неуплаты монопольным заказчикам.

Одним из инструментов анализа дебиторско-кредиторской задолженности является инвентаризация расчетов с дебиторами и кредиторами.

Коэффициент оборачиваемости рассчитывается как отношение объема дохода (выручки) от реализации продукции (работ, услуг) к средней дебиторской задолженности по формуле:


Код - коэффициент оборачиваемости дебиторской задолженности;

ДЗср - средняя величина дебиторской задолженности.

Этот показатель используется для оценки качества дебиторской задолженности и ее объема. Он показывает расширение или снижение коммерческого кредита, предоставленного предприятием. Рост его означает сокращение продаж в кредит, снижение - увеличение объема предоставленного кредита. Этот коэффициент показывает, сколько раз задолженность образуется и поступает предприятию за исследуемый период.

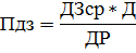
В процессе анализа рассчитывается период оборота дебиторской задолженности:


Пдз - период оборота дебиторской задолженности;

Д - дни.

Он характеризует среднюю продолжительность отсрочки платежей, представляемых покупателю.

В статье источников средств в разделе пассива баланса большой удельный вес занимает группа: «Кредиторская задолженность».

Коэффициент оборачиваемости кредиторской задолженности рассчитывается по формуле:


КОкз - оборачиваемость кредиторской задолженности

Вр - Выручка от реализации продукции

КЗср - Средняя кредиторская задолженность

Коэффициент оборачиваемости кредиторской задолженности показывает расширение или снижение коммерческого кредита предоставленного предприятию. Рост коэффициента означает увеличение скорости оплаты задолженности предприятия, снижение - рост закупок в кредит.

Одновременно определяется период оборота кредиторской задолженности:


Пкз - период кредиторской задолженности;

Д - дни.

Период погашения кредиторской задолженности показывает среднюю продолжительность отсрочки платежей предоставленной предприятию кредиторами.

Необходимость и целесообразность контроля за состоянием кредиторской и дебиторской задолженности зависят от ряда причин, как внешних, так и внутренних, отраслевой принадлежности, существующей системы расчетов, уровня организации коммерческой работы. Финансовое состояние предприятия связано с наличием и использованием денежных средств, характеризуется обеспеченностью собственными оборотными средствами, величиной оборачиваемости оборотных средств, платежеспособностью, поэтому анализ состояния дебиторской и кредиторской задолженности позволяет выявить суммы «неоправданных» средств, которые отвлечены из оборота, а значит отрицательно влияют на финансовое положение предприятия, от наличия дебиторской задолженности предприятия имеет косвенные потери в доходах, чем больше период погашения, тем меньше доход, в условиях инфляции возвращенные деньги обесцениваются, данный вид активов требует дополнительных источников финансирования, и каждый источник имеет свою цену.

3.ИСПОЛЬЗОВАНИЕ РЕЗУЛЬТАТОВ АНАЛИЗА ДЕБИТОРСКОЙ И КРЕДИТОРСКОЙ ЗАДОЛЖЕННОСТИ В УПРАВЛЕНИИ ПРЕДПРИЯТИЕМ

Для улучшения финансового состояния предприятия необходимо четко контролировать и управлять как дебиторской, так и кредиторской задолженностью, следить за их качеством и соотношением.

Дебиторская задолженность является источником погашения кредиторской задолженности предприятия. Если на предприятии будут заморожены суммы в расчетах с покупателями и заказчиками, то оно может почувствовать большой дефицит денежных средств, что приведет к образованию кредиторской задолженности, просрочкам платежей в бюджет, внебюджетные фонды, отчислениям по социальному страхованию и обеспечению, задолженности по заработной плате и прочим платежам. Это в свою очередь повлечет за собой уплату штрафов, пеней, неустоек. Нарушение договорных обязательств и несвоевременная оплата продукции поставщикам приведут к потери деловой репутации фирмы и в конечном итоге к неплатежеспособности и не ликвидности.

Поэтому каждому предприятию для улучшения финансового состояния необходимо следить за соотношением дебиторской и кредиторской задолженности, находить пути и способы, позволяющие сократить величину задолженности на предприятии.

Потребителями информации, получаемой в ходе анализа, являются:

. На предприятии: дебиторская кредиторская задолженность

Совет директоров и администрация предприятия, которые используют результаты финансового анализа в работе по управлению предприятия, и выводу его в случае необходимости из кризисного или неустойчивого финансового состояния;

финансово - экономические службы, которые используют полученную информацию для оперативного управления и разработки финансовой стратегии предприятия;

служба маркетинга, которая нуждается в такой информации для получения объективной картины финансового состояния предприятия, его партнеров, конкурентов;

работники, которым такая информация необходима для оценки возможностей предприятия по выплате заработной платы и стабильности функционирования (обеспечения гарантий занятости);

. Вне предприятия:

акционеры, которые используют данные финансового анализа для оценки текущего состояния и перспектив предприятия , в том числе по выплате дивидендов и возможному повышению/понижению цены акций;

инвесторы - для оценки прибыльности деятельности предприятия;

кредиторы - для оценки возможностей предприятия по своевременной выплате процентов и погашения капитальной суммы долга;

государство (налоговые и статистические органы) - для обобщения информации о финансовом состоянии предприятий по отраслям, регионам, стране в целом;

страховые компании - для оценки страховых рисков и величины возможных возмещений;

банки - для оценки надежности предприятия в качестве клиента и заемщика;

инвестиционные компании - для оценки надежности и прибыльности капитальных вложений на предприятии.

Для того, чтобы на предприятии не образовывалось необоснованной кредиторской задолженности, оно должно, прежде всего, грамотно управлять дебиторской задолженностью. Анализ и управление дебиторской задолженностью предполагает, прежде всего, контроль за оборачиваемостью средств в расчетах. Ускорение оборачиваемости в динамике рассматривается, как положительная тенденция. Чтобы уменьшить дебиторскую задолженность покупателей и заказчиков, а значит и кредиторскую задолженность предприятию необходимо проводить отбор потенциальных покупателей и определить условия оплаты товаров, предусмотренных в контрактах, договорах.

Отбор можно осуществлять с помощью неформальных критериев: соблюдение платежной дисциплины в прошлом, прогнозные финансовые возможности покупателя по оплате запрашиваемого ими объема товаров, уровень текущей платежеспособности, уровень финансовой устойчивости, экономические и финансовые возможности предприятия, т.е. затоваренность, степень нуждаемости в денежной наличности и т.д.

Предприятию необходимо также ранжировать дебиторскую и кредиторскую задолженность по срокам ее возникновения, наиболее распространенная классификация предусматривает следующую группировку (дни): 0-30; 31-60; 61-90; 91-120; свыше 120. Возможны и иные группировки. Кроме того, предприятию необходимо проводить контроль безнадежных долгов с целью образования необходимого резерва.

Все эти мероприятия помогут сократить уровень дебиторской и кредиторской задолженности на предприятии.

Наиболее употребительным способом воздействия на дебиторов с целью погашения задолженности является направление писем, телефонные звонки, персональные визиты, продажа задолженности специальным организациям.

Особое внимание следует уделять анализу данных о резервах по сомнительным долгам и фактических потерях, связанных с непогашением дебиторской задолженности.

Для предприятий одним из путей уменьшения дебиторской и кредиторской задолженности является пересмотр ведения аналитического учета. Необходимо построить аналитический учет таким образом, чтобы обеспечить получение данных о сроках погашения дебиторской и кредиторской задолженности, об образовании просроченной задолженности, о задолженности, обеспеченной векселями и т.д.

Пересмотр ведения аналитического учета позволит предприятиям не допускать возникновение необоснованной задолженности, повысить ее оборачиваемость, высвободить замороженные средства из расчетов с разными покупателями и заказчиками и направить их на покрытие собственных долгов, приобретение товарно-материальных ценностей и т.д.

Указанные выше рекомендации помогут выявить недопустимые виды дебиторской и кредиторской задолженности (просроченная задолженность поставщикам в бюджет и др., кредиторская задолженность по претензиям, сверхнормативная задолженность по устойчивым пассивам, товары отгруженные, не оплаченные в срок, задолженность по расчетам возмещения материального ущерба, задолженность по статье "Прочие дебиторы") помогут правильно определить налогооблагаемую базу и построить отношения с бюджетом. Результаты анализа позволяют заинтересованным лицам и организациям принимать управленческие решения на основе оценки текущего финансового положения и деятельности предприятия за предшествующие годы.

ПРАКТИЧЕСКАЯ ЧАСТЬ

на примере организации ОАО «Нижнесергинский метизно - металлургический завод»

Информация об организации

Полное фирменное наименование: Открытое акционерное общество «Нижнесергинский метизно - металлургический завод».

Место нахождения Общества: Свердловская область, город Ревда, ул. Карла Либкнехта, 3.

Почтовый адрес: 623280, Свердловская область, город Ревда, ул. Карла Либкнехта, 3.

Адрес страницы в сети интернет - www.nsmmz.ru <#"731202.files/image005.gif">

Ко д.з.10 = 28283894/(7887709+7774375)/2 = 3,36

Ко д.з.11 = 34489998/(7774375+5295904)/2 = 2,64

В 2011 году по сравнению с 2010 годом скорость оборота дебиторской задолженности уменьшилась на 0,97 что свидетельствует о снижении интенсивности взыскания задолженности с дебиторов.

.П д.з. =

П д.з.10 = 7831042 * 360/28283894 = 99,67

П д.з.11 = 13070279 * 360/ 34489998 = 136,43

В 2011 году по сравнению с 2010 годом увеличилась средняя стоимость отсрочки платежей на 36,76 дня, что свидетельствует о снижении интенсивности взыскания дебиторской задолженности.

.Горизонтальный анализ кредиторской задолженности

Показатель

Сумма тыс. руб.

Отклонения



2010

2011

Абсолют.

Относит.

Кредиторская задолженность в том числе:

3564156

2660371

-903785

-25,36

-

Поставщики и подрядчики

1126139

1212772

86633

7,69

-

Зад-ть перед персоналом орг-ции

55768

51614

-4154

-7,45

-

Зад-ть перед гос. и внебюд. фондами

16081

18914

2833

17,62

-

Зад-ть перед бюджетом

841390

728008

-113382

-13,48

-

Прочие кредиторы

204947

38407

-166540

-81,26


В 2011 году по сравнению с 2010 годом кредиторская задолженность уменьшилась на 903785 или на 25,36%, в том числе значительно снизился показатель прочие кредиторы на 166540 или на 81,26%, это говорит о том, что у предприятия идет рост покупок в кредит.

.Горизонтальный анализ кредиторской задолженности

Показатель

Сумма тыс. руб.

Удельный вес в %

По структуре



2010

2011

2010

2011


1

Кредиторская задолженность в том числе:

3564156

2660371




-

Поставщики и подрядчики

1126139

1212772

31,6

45,59

13,99

-

Зад-ть перед персоналом орг-ции

55768

51614

1,56

1,94

0,38

-

Зад-ть перед гос. и внебюд. фондами

16081

18914

0,45

0,71

-

Зад-ть перед бюджетом

841390

728008

23,61

27,36

3,75

-

Прочие кредиторы

204947

38407

5,75

1,44

-4,31


В 2011 году по сравнению с 2010

.Расчет коэффициентов

. Ко к.з. =

Ко к.з.10 = 28283894/(3838793+3564146)/2 = 7,64

Ко к.з.11 = 34489998/(3564156+2660371)/2 = 11,08

В 2011 году по сравнению с 2010 годом количество погашения кредиторской задолженности увеличилось на 3,44 что свидетельствует о повышении интенсивности погашения обязательств организации.

.П к.з. =

Пк.з.10 = 3701475*360/28283894 = 47,11

Пк.з.11 = 3112264*360/34489998 = 32,49

В 2011 году по сравнению с 2010 годом средняя продолжительность отсрочки платежей предоставляемых кредиторами данному предприятию снизилось на 14,62 дня, что свидетельствует о повышении интенсивности погашения обязательств.

ЗАКЛЮЧЕНИЕ

От организации системы финансовых расчетов на предприятии зависит весьма многое. Отсутствие должного внимания к задолженности заказчиков может спровоцировать нехватку средств для погашения обязательств перед поставщиками, бюджетом, сотрудниками. В формировании системы расчетов участвуют такие процессы как управление дебиторской и кредиторской задолженностью, выбор условий реализации продукции и востребования задолженности заказчиков, выработку политики произведения платежей и движения денежных средств. Контрольные мероприятия по управлению дебиторской и кредиторской задолженностью проводятся непрерывно.

Таким образом можно сделать вывод что необходимо правильно управлять уровнем дебиторской задолженности что будет определяется не только стремлением к максимизации денежных потоков предприятия, но и желанием снизить издержки фирмы.

При изучении вопроса о кредиторской задолженности были представлены различные интерпретации данной задолженности. Исходя из них можно сделать вывод о том, что кредиторская задолженность является временно привлеченным денежным средством, которые подлежат возврату соответствующим кредиторам. Таким образом, кредиторская задолженность имеет двойственную юридическую природу: как часть имущества она принадлежит предприятию на праве владения или даже на праве собственности относительно полученных заимообразно денег или вещей; как объект обязательственных правоотношений она представляет собой долги предприятия перед кредиторами, то есть лицами, управомоченными на истребование или взыскание от организации указанной части имущества.

Дебиторская и кредиторская задолженность распространённое явление для каждой организации, но не все уделяют должное внимание изучению этих показателей. В курсовой работе приведены методы оценки показателей, при расчете которых можно сделать вывод о финансовом благосостоянии организации. Своевременный и полный анализ бухгалтерской отчетности обеспечивает принятие необходимых мер, направленных на улучшение выполнения планов, достижение лучших результатов хозяйствования.

При анализе дебиторской и кредиторской задолженности используют горизонтальный, вертикальный анализ, а также расчет коэффициентов. Эти методы рассчитываются за несколько периодов, благодаря этому становиться возможным, проследить за динамикой изменения средств и их источников.

В курсовой работе представлены рекомендации по выявлению недопустимых видов дебиторской и кредиторской задолженности. Результаты анализа позволяют следить за соотношением дебиторской и кредиторской задолженности, находить пути и способы, позволяющие сократить величину задолженности на предприятии. Позволяют заинтересованным лицам принимать управленческие решения на основе оценки текущего финансового положения и деятельности предприятия за предшествующие годы.


СПИСОК ЛИТЕРАТУРЫ

1.Федеральный Закон «О бухгалтерском учете» от 21 ноября 1996г. № 129-ФЗ (в редакции от 03.11.2006г).

. Приказ Минфина РФ от 22 июля 2003г. № 67н «О формах бухгалтерской отчетности» (в редакции от 18.09.2006г.).

. Алборов Р.А. Бухгалтерский управленческий учет. - М.: Дело и сервис, 2005. - С. 150.

. Донцова Л.В., Никифорова Н.А. Анализ финансовой отчетности. - М: Дело и сервис, 2007. - С. 368.

. Галлеев М.Ш. Дебиторская и кредиторская задолженность: острые вопросы учета и налогообложения. - Москва : Вершина, 2006.

. Бабаев Ю.А., Петров А.М. Бухгалтерский учет и контроль дебиторской и кредиторской задолженности. - М. : ТК Велби, Проспект, 2004.

. Городецкая И.А., Зенкин И.В. Кредиторская и дебиторская задолженность предприятий: актуальные правовые и экономические проблемы. - М. : АФПИ еженедельника «Экономика и жизнь», 1996.

. Купрюшина О.М. Дебиторская и кредиторская задолженность хозяйствующего субъекта: Анализ и контроль. - Воронеж : Изд-во Воронеж. гос. ун-та, 2004.

. Максютов А.А./Управление кредиторскими и дебиторскими долгами компании. //Финансы. - М., 2006. - № 12. - С. 20.

. Никоноров Ю.В../Управление на производстве.//Финансовые консультации. - М., 2008. - № 11.- С. 18.

. Попова Л.В. Учебно-методическое пособие. Учет затрат, калькулирование и бюджетирование в отдельных отраслях производственной сферы. - М.: Дело и сервис, 2007. - С 448.

. Ковалев В.В. Введение в финансовый менеджмент. М: Финансы и статистика, 2007. - С. 511.

. Межуева Е.В./Дыра в кармане предприятия.//Консультант. - М., 2008. - № 14.- С. 18.

. Ковалев В. В. Финансовый анализ. - М.: Проспект, 2007. - 416 с.

. Шеремет А. Д., Сайфулин Р. С., Негашев Е. В. Методика финансового анализа. - М.: «ИНФРА-М», 2005. - 241 с

. Ильина А. Списание дебиторской задолженности // Антикризисное и внешнее управление. №3. 2010. с. 45 - 49.

. Безруких П.С. Бухгалтерский учет.- М.: Финансы и статистика, 2006. - 504 с

. Лебедев К. Понятие, правовой режим и механизм реализации дебиторской задолженности // Хозяйство и право № 4. с. 28 - 34.

. Родионова В.М., Федотова М.А. Финансовая устойчивость предприятия в условиях инфляции. М.: Перспектива, 2007г. - 350 с.

ПРИЛОЖЕНИЕ 1

Виды дебиторской задолженности

Задолженность

Сроки наступления

Особенности

1. Срочная

В пределах срока, установленного договором

Возникает в результате применения форм безналичных расчетов (инкассо) или как результат отсрочки платежа.

2. Просроченная - сомнительная

Более срока, установленного договором

Часть задолженности может оказаться безнадежной до истечения срока исковой давности.

3. Безнадежная - истек срок исковой давности

Более 3 лет с момента окончания срока исполнения

Возникает из законной просроченной дебиторской задолженности; Списывается на убытки с уменьшением налогооблагаемой базы; Отражается на забалансовом счете.

4. Находящаяся на забалансовом счете

В течение 5 лет с момента списания

Цель - контроль за возможностью ее получения.




ПРИЛОЖЕНИЕ 2

Виды кредиторской задолженности


Кредиторская задолженность по перечислением взносов на личное страхование персонала.


Кредиторская задолженность поставщикам и подрядчикам.


Кредиторская задолженность по авансам полученным.


Кредиторская задолженность по векселям к уплате.


Кредиторская задолженность дочерними или зависимыми обществами и персоналом организации.


Кредиторская задолженность по перечислениям налогов в бюджеты разных уровней.


Кредиторская задолженность учредителям по выплате доходов.


Кредиторская задолженность по отчислениям во внебюджетные фонды социального страхования, медицинского страхования и пенсионный фонд.


Кредиторская задолженность организации перед бюджетом и социальными фондами.


Кредиторская задолженность организации перед ее персоналом.


Кредиторская задолженность перед партерами и контрагентами по договорным и кооперативным обязательствам.

Рис. Виды кредиторской задолженности

ПРИЛОЖЕНИЕ 3

Рис. 1 Влияние дебиторской задолженности на функционирование организации

ПРИЛОЖЕНИЕ 4

Рис. 2 Факторы дебиторской задолженности.

Похожие работы на - Анализ и управление дебиторской и кредиторской задолженностью

 

Не нашли материал для своей работы?
Поможем написать уникальную работу
Без плагиата!
Без нейросетей!