Синтез и моделирование промышленной системы автоматического управления
МИНИСТЕРСТВО ОБРАЗОВАНИЯ И НАУКИ
РОССИЙСКОЙ ФЕДЕРАЦИИ
МОСКОВСКИЙ ГОСУДАРСТВЕННЫЙ
МАШИНОСТРОИТЕЛЬНЫЙ УНИВЕРСИТЕТ "МАМИ"
Кафедра: "Автоматика и процессы
управления"
Факультет: "АиУ"
Курсовая работа по дисциплине:
"Технические средства"
по теме:
"Синтез и моделирование
промышленной системы автоматического управления"
Москва 2012
Содержание
1. Вычисление передаточной функции объекта управления
2. Структура системы управления
3. ЛАФЧХ разомкнутой системы и ее переходная характеристика
4. Выбор исполнительного механизма совместно с регулирующим органом
5. Выбор датчика уровня
6. Выбор автоматического регулятора
7. Расчет передаточной функции ПИ-регулятора. Синтез желаемой ЛАФЧХ
8. Исследование реакции системы на возмущающее воздействие
Заключение
Список литературы
Задание по
курсовому проектированию
"Синтез и моделирование САУ".
Блок - схема системы автоматического регулирования уровня.
Провести синтез промышленной системы автоматического
управления (рис 1), обеспечивающей время регулирования tр, ориентировочно
соответствующее наибольшему значению динамической константы объекта управления
при статической ошибке dст=0 и монотонности переходной функции по каналу
управления (xmax=0).
Метод синтеза - на основе Логарифмических Амплитудно-Фазовых
Частотных Характеристик (ЛАФЧХ).
САУ реализовать на основе современных средствах КИПиА.
Результаты синтеза САУ подтвердить моделированием в среде Simulink (МАТLAB).
Обьект управления - бак напорный.
Передаточная функция объекта по каналам вход - поступающий расход
воды 
уровень воды в напорном баке
имеет вид
,
Где
площадь сечения цилиндрического бака
напорного (
-диаметр бака напорного)
- номинальный режим по уровню воды.
- номинальное значение поступающего расхода при
.
1. Вычисление
передаточной функции объекта управления
Численные значения констант передаточной функции неизменяемой
части САУ (объекта управления):

- номинальный
режим по уровню воды;

- номинальное
значение поступающего расхода при 
;

- диаметр
бака напорного.
Передаточная функция ОУ:
Численное значение передаточной функции:

- площадь
сечения цилиндрического бака напорного;

- номинальное
значение поступающего расхода при 
;

- передаточный коэффициент

- постоянная
времени
датчик промышленный автоматическое управление
Тогда:
2. Структура
системы управления
Исходная структура системы управления:
Расчет коэффициента усиления регулирующего органа Kр. о:

,
где 
- изменение поступающего потока;

изменение степени открытия клапана (в процентах).
Зависимость поступающего потока от степени открытия клапана:
Чтобы осуществить возможность регулирования поступающего потока
выбираем двойной расход 
:
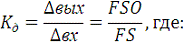
Расчет коэффициента усиления датчика уровня Kд:
FS=10м - (FullScale) -
диапазон измеряемых величин;
FSO=4.20мА - (FullScaleOutput) - диапазон выходных значений.
Передаточная функция датчика уровня:
Исходная структура системы управления с численными значениями:
Упростим структуру системы управления:
Упрощенная структура системы управления с численными
значениями:
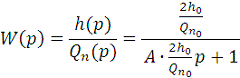
3. ЛАФЧХ
разомкнутой системы и ее переходная характеристика
ЛАФЧХ неизменяемой части САУ строятся приближенным методом,
состоящим в том, что для звена с передаточной функцией Wнч (p) =K/ (Tp+1) (Tф+1) в логарифмической
сетке координат до частоты 1/T, где T=1589,6с - постоянная времени, ЛАЧХ имеет вид прямой,
параллельной частотной оси на уровне 20lgK=20lg0.29 - 5дб-коэффициент
передачи, а для частот, больших 1/T, ЛАЧХ имеет вид прямой линии с наклоном -
20дб/дек до сопрягающей частоты 1/Tф, (Tф=10c), где наклон ЛАЧХ изменяется дополнительно на -
20дб/дек и составляет - 40дб/дек.
Результаты построений в matcad:
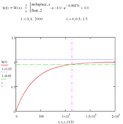
Переходная характеристика:
4. Выбор
исполнительного механизма совместно с регулирующим органом
Вычисление Kv (величины пропускной способности) производится
по DINEN 60534. Типовые листы
содержат необходимые индивидуальные параметры клапана. Для предварительного
упрощенного расчета регулирующих клапанов можно использовать формулу:
Влияние соединительных фитингов и ограничение потока не
учитываются.
Расчет условной пропускной способности для расхода Qп:
Расход Qп принимаем в 2 раза больше номинального, поэтому
выбираем клапан с Kv=0,2.
Зависимость пропускной способности от степени открытия
клапана:
Расчет условной пропускной способности для расхода Q0:
Расход Q0 принимаем в 2 раза больше номинального, поэтому
выбираем клапан с Kv=3,2.
Выбираем клапан запорно-регулирующий 25ч945п односедельный
фланцевый DN=20мм с характеристиками Kv=2.5 ЭИМ клапана имеет
управляющий сигнал 4.20 мА.
Клапан запорно-регулирующий 25ч945п
Клапан запорно-регулирующий (КЗР) 25ч945 подноседельный фланцевый
с электрическим исполнительным механизмом (ЭИМ),6МПа
Код ОКП 37 2250
Изготовление и поставка - по ТУ 3722-011-50987615-2002
Сертификат соответствия №РОСС RU. МУ04. В00207
Назначение
Клапан запорно-регулирующий (КЗР) 25ч945п односедельный фланцевый
с электрическим исполнительным механизмом (ЭИМ) PN1,6МПа предназначен для
использования на центральных и индивидуальных тепловых пунктах (ЦТП и ИТП), в
системах горячего водоснабжения, системах приточной вентиляции тепличных
хозяйств и в других областях как для автоматического регулирования
технологических процессов, так и в качестве запорного устройства.
Фторопластовое уплотнение в затворе обеспечивает требуемую
герметичность в положении "закрыто".
Материал основных деталей
|
Наименование
детали
|
Марка материала
|
|
PN1,6МПа
|
PN2,5МПа
|
|
Корпус, крышка
|
СЧ20 ГОСТ1412
|
КЧ30 ГОСТ1215
|
|
Плунжер, седло
|
Сталь 12Х18Н10Т
ГОСТ5632
|
|
Уплотнение в
затворе
|
"мягкое"
(Фторопласт-4 ГОСТ10007)
|
|
Уплотнение
сальниковое
|
Фторопласт-4
ГОСТ10007, графлекс
|
Технические характеристики:
|
Диаметр
номинальный (DN), мм:
|
20мм
|
|
Давление
номинальное PN, МПа:
|
1,6
|
|
Пропускная
характеристика:
|
линейная
|
|
Рабочий ход
плунжера h, мм:
|
10
|
|
Условная
пропускная способность Кv, мі/ч:
|
1,6 2,5 4,0 6,3
|
|
Относительная
протечка в затворе, % от Кv:
|
0,001 (при ∆Рисп
= PN)
|
|
Рабочая среда:
|
Вода, пар,
воздух и др. жидкие и газообразные среды, нейтральные к материалам деталей,
соприкасающихся со средой
|
|
Температура
рабочей среды Т,°С:
|
-15…+150
|
исполнение 1
ряд 2 по ГОСТ12815
|
|
Тип ЭИМ:
|
ST0
|
|
Масса клапана,
кг:
|
5,5.10
|
Гарантии
Гарантийный срок эксплуатации - 12 месяцев со дня ввода в
эксплуатацию. Срок консервации - 3 года. Срок службы - не менее 10 лет.
Наработка на отказ - 10000 часов.
Габаритные и присоединительные размеры
D1=58 мм
D2=75 мм
D3=105 мм
B=80 мм
L=150мм
H=375 мм
n=4
d=14 мм
5. Выбор
датчика уровня
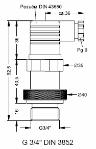
Выбираем датчик гидростатического давления LMP 331 (ЛМП 331)
Врезные датчики уровня серии LMP предназначены для непрерывного
измерения уровня жидкости в открытых емкостях. Датчики этой серии применяются
для измерения низкого и среднего давления вязких субстанций, где требуется
защита чувствительной мембраны от засорения и налипания.
Столб жидкости над датчиком давит на разделительную мембрану.
Давление через инертный масленый наполнитель передается на полупроводниковый
чувствительный элемент. Электронная цепь усиления обеспечивает питание сенсора,
усиление сигнала, преобразование в стандартный электрический сигнал, а также
температурную компенсацию. Уровень сигнала пропорционален высоте столба
жидкости над датчиком.
Наличие открытой мембраны исключает возможность ее засорения.
Подключение к процессу обеспечено наличием резьбы 3.4 дюйма. Уплотнение,
расположенное непосредственно за резьбой, позволяет добиться герметичного
соединения при монтаже датчика.
Области
применения:
· измерение уровня жидкости
природных и искусственных агрессивных жидкостей
· химическое и
фармацевтическое производство
· пищевая промышленность
· гальвано-производство
· очистка воды и сточных вод
Технические
характеристики:
· Диапазоны давления: от
0.0,4 м вод. ст. до 0.400 м вод. ст.
· Выходные сигналы: 4.20 мА
/ 2-х пров.
· 0.20 мА / 3-х пров.
· 0.10 В / 3-х пров.
· Класс защиты IP 65-68
Преимущества
и особенности
· Индивидуальная настройка
диапазона по требованию заказчика. Например: 0.55 м вод. ст.
· Применим для воды и
других жидкостей не агрессивных к нержавеющей стали
· Открытая мембрана
· Компенсация температурной
погрешности
· Долговременная
стабильность калибровочных характеристик
· Высокая степень защиты от
неправильного подключения, коротких замыканий и перепадов напряжений
· Прочная и надёжная
конструкция для тяжелых условий эксплуатации
· Искробезопасное
исполнение: EExia IIC T4
Подключение источника давления
Электрические разъёмы
|
Подключение
выводов
|
Разъемы
|
|
Питание +
|
1
|
|
Питание -
|
2
|
|
Защитное
заземление
|
Клемма
заземления
|
Схема подключения
6. Выбор
автоматического регулятора
Выбираем микропроцессорный регулятор МИНИТЕРМ 400.00
ТЕХНИЧЕСКИЕ ХАРАКТЕРИСТИКИ:
НАЗНАЧЕНИЕ
Регуляторы микропроцессорные МИНИТЕРМ 400.00 предназначены
для регулирования давления, расхода, уровня и т.д. при работе с датчиками
унифицированного сигнала постоянного тока (шесть входов).
Питание:
· Напряжение - (24±6) В
постоянного тока при амплитуде переменной составляющей от 0.4 до 1.5В;
· Потребляемая мощность -
не более 3.6ВА.
Типы и количество подключаемых датчиков:
· шесть датчиков 4-20 мА
постоянного тока.
Импульсный выход:
· Вид - “сухой”
транзисторный ключ (45В, 0.15А) либо сигнал 0, 24В постоянного тока.
Дискретные выходы:
· Назначение и количество:
o для сигнализации верхнего
и нижнего предельных отклонений регулируемого параметра от задания - 2;
o для сигнализации отказа -
1;
Аналоговый выход:
· Вид - 0-10В либо 0-5мА
постоянного тока;
· Назначение:
o для регуляторов с
импульсным выходом - для подключения внешнего регистратора (самописца)
регулируемого параметра (например, температуры);
o для регулятора с
аналоговым выходом - в качестве выходного сигнала регулятора.
Интерфейс:
· RS232C.
. Расчет
передаточной функции ПИ-регулятора. Синтез желаемой ЛАФЧХ
Построение ЛАФЧХ разомкнутой САУ исходит из следствия теории
линейных систем заключающегося в том, что если ЛАЧХ разомкнутой системы имеет в
области существенных частот (в секторе, отсекаемом линиями 
) наклон 
, то:
1) Замкнутая САУ устойчива;
2) Переходная функция близка к монотонной;
3) Время регулирования 
.
Структура разомкнутой исходной систему с ПИ-регулятором:
Желаемый ЛАЧХ (Lж) простейшего вида разомкнутой САУ, которая бы в замкнутом
виде удовлетворяла заданным показателям качества должна иметь в окрестности
существенных частот наклон ЛАЧХ равный - 20дб/дек и пересечение с осью частот
при
В области низкочастотной асимптоты, для создания нулей
статической ошибки δст=0 частотные
характеристики разомкнутой системы должны соответствовать интегратору по
крайней мере первого порядка. Тогда естественно сформировать в этой области
желаемый ЛАЧХ в виде прямой с наклоном - 20дб/дек. как продолжение Lж из области существенных
частот. С целью упрощения реализации САУ высокочастотная асимптота должна
соответствовать высокочастотной асимптоте неизменяемой части системы
Согласно принятой структуре промышленной САУ, единственным
средством приведения ЛАФЧХ неизменяемой части Lнч к Lж является
ПИ-регулятор с передаточной функцией

,
ЛАФЧХ (при Kp=1) которого
показаны на рисунке:
Примем постоянную интегрирования регулятора равной постоянной
времени Tобъекта управления, т.е. 
, при Kp=1. Тогда ЛАЧХ разомкнутой САУ примет вид L1=Lнч+Lпи, качественно соответствующий виду Lжна рисунке, но с меньшим коэффициентом усиления. Для
совпадения ЛАЧХ проектируемой системы с Lж необходимо увеличить коэффициент усиления разомкнутой системы на
20 дб, т.е. в 10 раз. Следовательно 
. Настройки регулятора определены.
При 
, передаточная функция разомкнутой системы имеет вид
, в состав которой имеет место интегрирующее звено. При построении
ЛАЧХ, соответствующей Wp (p) коэффициент передачи 
0.29/1589 должен численно соответствовать частоте пересечения ЛАЧХ
с осью 
на частоте 
, откуда 
или 
.
Результаты построений ЛАФЧХ разомкнутой системы с ПИ-регулятором в
Matcad:
Переходная характеристика:
8.
Исследование реакции системы на возмущающее воздействие
Подадим возмущающее воздействие и рассмотрим получившийся
переходный процесс:
Вывод: после подачи возмущающего воздействия система
вернулась в исходное состояние.
Заключение
В соответствии с заданием была спроектирована промышленная
система автоматического регулирования на основе заданных параметров объекта
регулирования. Были проанализированы основные элементы системы. Произведен
синтез САУ, обеспечивающей время регулирования tр=1589 [c], соответствующее
наибольшему значению динамической константы объекта управления при статической
ошибке δст=0 и монотонности переходной функции по каналу управления (ξmax=0). Результаты синтеза САУ были подтверждены
моделированием в средеMathCADиMatLab (Simulink).
Список
литературы
1.
Дж Фрайден. Современные датчики. Москва.: Техносфера 2006г.
.
Каталоги фирм - производителей средств измерения, воздействия на процесс и
автоматического управления: ЗАО МЗТА; МЕТРАН - 100 (РФ); ООО МАНОМЕТР (Москва),
ООО ELEMER (Зеленоград); HONEYWELL; SIEMENS; COOL-PARMER; EMERSON; BARATRON; KAMMER; BRONKHORST-HIGH-TEC; MKSINSRUMENTSINC; SWAGELOK; SAMSON.
.
Справочные сведения в цифровой форме (200Мгб) по средствам измерения,
воздействия на процесс и автоматического управления, подготовленные на основе
каталогов перечисленных в Л.2 фирм - производителей. Предоставляются каждому
студенту
.
Ч. Филипс, Р. Харбор. Системы управления с обратной связью. Москва.:
Лаборатория Базовых Знаний. 2001.
.
Е. Никулин Основы теории автоматического управления. Частные методы анализа и
синтеза систем. СПб.: "БХВ-Петербург". 2004.
.
Дж. Дэбни, Т. Хартман. Simulink 4. Секреты мастерства. МОСКВА.: БИНОМ,
Лаборатория знаний., 2003