Расчет сушильной установки
В прямоточной простой сушильной
установке высушивается материал в количестве G1=5650
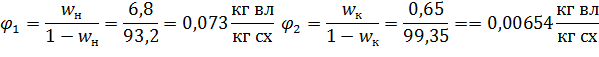
кг/час от начальной влажности w1=6,8
% (масс) до конечной влажности w2=0,65
% (масс). В качестве сушильного агента используется воздух, предварительно
нагретый в калорифере, с параметрами t0=100С
и φ0=5
%; t1=1500С;
φ2=80
%(или t2).
Удельная потеря тепла в
окружающую среду и с транспортными устройствами составляют К=8 % от удельного
расхода тепла в калорифере идеальной сушилки qк.
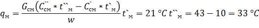
Теплоемкость сухого материала сс.м. =0,9. Температура материала на
входе в аппарат t`М
=210С. Температура материала на выходе из аппарата на 100С
ниже t2
Рассчитать: потребный расход
абсолютно сухого воздуха, влажного воздуха с параметрами точки «2»; объемный
расход влажного воздуха с параметрами точки «2»; мощность калорифера, а также
расход греющего пара в калорифере, если давление греющего пара составляет pn=9
ата.
1. Заполнение
таблицы параметров сушильного агента
|
t0С
|
φ%
|
x кг/кга.с.в.
|
y кДж/кга.с.в.
|
|
0
|
10
|
5
|
0,0001
|
11
|
|
1
|
150
|
>5
|
0,0001
|
155
|
|
2
|
43
|
0,0439
|
155
|
|
2р
|
43
|
80
|
0,0438
|
154
|
2. Построение
линий нагрева и сушки (идеальной)






калорифер пар сушка
воздух
3. Построение
линии реальной сушки
задаемся произвольным значением
х на участке «х0-х2ид» возьмём 0,04
Тогда 
4. Основной
расчет. Удельный расход а.с.в.
5. Расход
а.с.в.
6. Объемный
расход отработанного воздуха
7. Удельный
расход тепла в калорифере
8. Мощность
калорифера
9. Расход
греющего пара в калорифере